Polyketides and Meroterpenes from the Marine-Derived Fungi Aspergillus unguis 158SC-067 and A. flocculosus 01NT-1.1.5 and Their Cytotoxic and Antioxidant Activities
Abstract
:1. Introduction
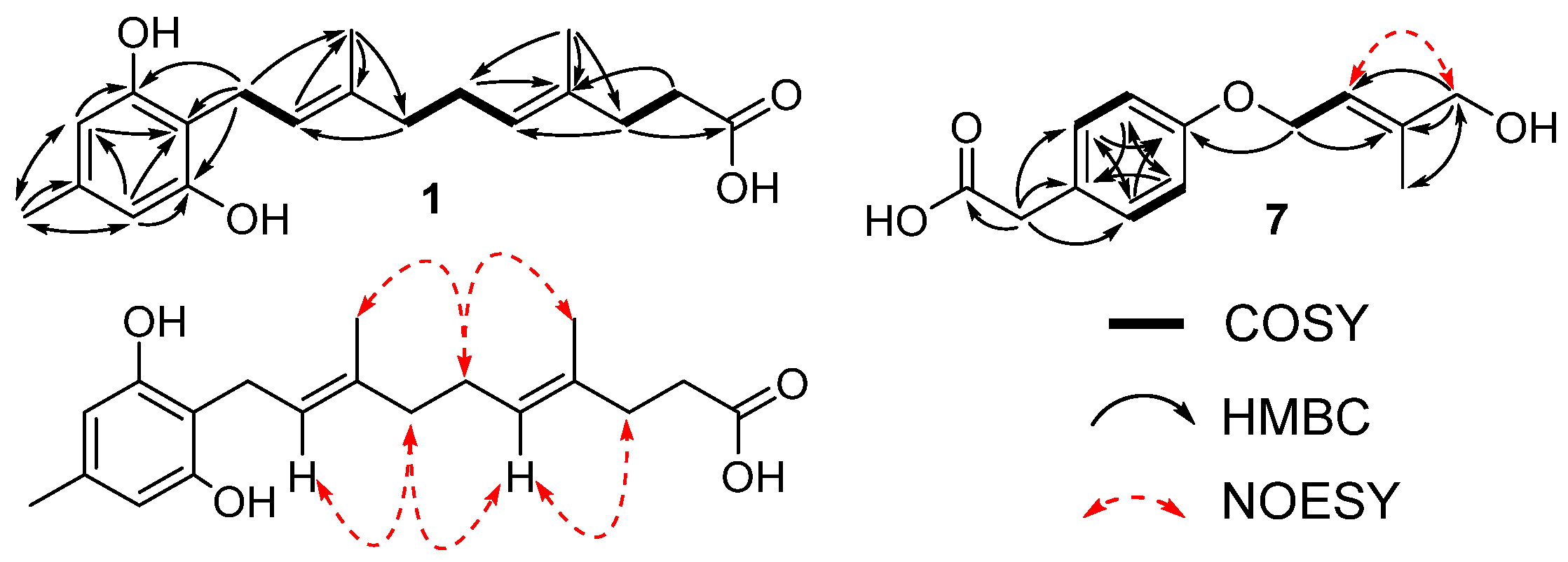
2. Results and Discussion
3. Materials and Methods
3.1. General Experimental Procedures
3.2. Fungal Material, Fermentation and Isolation of Secondary Metabolites
3.2.1. Fungal Material, Fermentation, and Isolation of 1–6 from Aspergillus unguis 158SC-067
3.2.2. Fungal Material, Fermentation, and Isolation of 7–10 from Aspergillus flocculosus 01NT-1.1.5
3.3. Cytotoxicity Test by SRB Assay
3.4. DPPH Radical Scavenging Assay
4. Conclusions
Supplementary Materials
Author Contributions
Funding
Institutional Review Board Statement
Data Availability Statement
Acknowledgments
Conflicts of Interest
References
- Ameen, F.; AlNadhari, S.; Al-Homaidan, A.A. Marine microorganisms as an untapped source of bioactive compounds. Saudi J. Biol. Sci. 2021, 28, 224–231. [Google Scholar] [CrossRef] [PubMed]
- Carroll, A.R.; Copp, B.R.; Davis, R.A.; Keyzers, R.A.; Prinsep, M.R. Marine natural products. Nat. Prod. Rep. 2021, 38, 362–413. [Google Scholar] [CrossRef] [PubMed]
- Yang, L.-J.; Peng, X.-Y.; Zhang, Y.-H.; Liu, Z.-Q.; Li, X.; Gu, Y.-C.; Shao, C.-L.; Han, Z.; Wang, C.-Y. Antimicrobial and Antioxidant Polyketides from a Deep-Sea-Derived Fungus Aspergillus versicolor SH0105. Mar. Drugs 2020, 18, 636. [Google Scholar] [CrossRef] [PubMed]
- Shin, H.J.; Choi, B.-K.; Trinh, P.T.H.; Lee, H.-S.; Kang, J.S.; Van, T.T.T.; Lee, H.-S.; Lee, J.S.; Lee, Y.-J.; Lee, J. Suppression of RANKL-Induced Osteoclastogenesis by the Metabolites from the Marine Fungus Aspergillus flocculosus Isolated from a Sponge Stylissa sp. Mar. Drugs 2018, 16, 14. [Google Scholar] [CrossRef] [PubMed] [Green Version]
- Trinh, P.T.H.; Van, T.T.T.; Ly, B.M.; Choi, B.-K.; Shin, H.J.; Lee, J.S.; Lee, H.S.; Tien, P.Q. Antimicrobial activity of natural compounds from sponge-derived fungus Aspergillus flocculosus 01NT.1.1.5. Vietnam J. Biotechnol. 2018, 16, 729–735. [Google Scholar] [CrossRef]
- Grabovyi, G.A.; Mohr, J.T. Total Synthesis of Grifolin, Grifolic Acid, LL-Z1272α, LL-Z1272β, and Ilicicolinic Acid A. Org. Lett. 2016, 18, 5010–5013. [Google Scholar] [CrossRef] [PubMed]
- Awad, G.; Mathieu, F.; Coppel, Y.; Lebrihi, A. Characterization and regulation of new secondary metabolites from Aspergillus ochraceus M18 obtained by UV mutagenesis. Can. J. Microbiol. 2005, 51, 59–67. [Google Scholar] [CrossRef] [PubMed]
- Huang, H.; Wang, F.; Luo, M.; Chen, Y.; Song, Y.; Zhang, W.; Zhang, S.; Ju, J. Halogenated Anthraquinones from the Marine-Derived Fungus Aspergillus sp. SCSIO F063. J. Nat. Prod. 2012, 75, 1346–1352. [Google Scholar] [CrossRef] [PubMed]
- Tian, Y.-Q.; Lin, X.-P.; Wang, Z.; Zhou, X.-F.; Qin, X.-C.; Kaliyaperumal, K.; Zhang, T.-Y.; Tu, Z.-C.; Liu, Y. Asteltoxins with Antiviral Activities from the Marine Sponge-Derived Fungus Aspergillus sp. SCSIO XWS02F40. Molecules 2016, 21, 34. [Google Scholar] [CrossRef] [PubMed] [Green Version]
- Stierle, A.A.; Stierle, D.B.; Priestley, N.D. 16-Methyl-oxacyclohexadecan-2-one and 16-Methyl-azacyclohexadecan-2-one Derivatives as Antimicrobial Agents. International Patent WO 2018/175418 Al, 7 September 2018. [Google Scholar]
- Stierle, A.A.; Stierle, D.B.; Decato, D.; Priestley, N.D.; Alverson, J.B.; Hoody, J.; McGrath, K.; Klepacki, D. The Berkeleylactones, Antibiotic Macrolides from Fungal Coculture. J. Nat. Prod. 2017, 80, 1150–1160. [Google Scholar] [CrossRef] [PubMed] [Green Version]
- Ye, M.; Luo, X.; Li, L.; Shi, Y.; Tan, M.; Weng, X.; Li, W.; Liu, J.; Cao, Y. Grifolin, a potential antitumor natural product from the mushroom Albatrellus confluens, induces cell-cycle arrest in G1 phase via the ERK1/2 pathway. Cancer Lett. 2007, 258, 199–207. [Google Scholar] [CrossRef] [PubMed]
- Cao, V.A.; Choi, B.-K.; Lee, H.-S.; Heo, C.-S.; Shin, H.J. Reisolation and Structure Revision of Asperspiropene A. J. Nat. Prod. 2021, 84, 1843–1847. [Google Scholar] [CrossRef] [PubMed]
- Choi, B.-K.; Lee, H.-S.; Kang, J.S.; Shin, H.J. Dokdolipids A–C, Hydroxylated Rhamnolipids from the Marine-Derived Actinomycete Actinoalloteichus hymeniacidonis. Mar. Drugs 2019, 17, 237. [Google Scholar] [CrossRef] [PubMed] [Green Version]
- Sharma, O.P.; Bhat, T.K. DPPH antioxidant assay revisited. Food Chem. 2009, 113, 1202–1205. [Google Scholar] [CrossRef]


| Compound | 1 | 7 | |||
|---|---|---|---|---|---|
| Position | δH (Mult, J in Hz) | δC, Type | Position | δH (Mult, J in Hz) | δC, Type |
| 1, 3 | 156.9, C | 1 | 176.0, C | ||
| 2 | 113.3, C | 2 | 3.52, s | 41.1, CH2 | |
| 4, 6 | 6.12, s | 108.5, CH | 3 | 128.2, C | |
| 5 | 137.2, C | 4, 8 | 7.18, d (8.5) | 131.3, CH | |
| 7 | 2.13, s | 21.3, CH3 | 5, 7 | 6.86, d (8.6) | 115.7, CH |
| 1′ | 3.24, d (7.1) | 22.9, CH2 | 6 | 159.2, C | |
| 2′ | 5.21, t (7.0) | 125.2, CH | 9 | 4.60, d (6.3) | 65.6, CH2 |
| 3′ | 134.2, C | 10 | 5.71, td (1.2, 6.3) | 121.1, CH | |
| 4′ | 1.96, t (7.4) | 40.7, CH2 | 11 | 140.8, C | |
| 5′ | 2.07, dd (7.3, 14.6) | 27.5, CH2 | 12 | 3.98, s | 67.8, CH2 |
| 6′ | 5.12, t (7.0) | 126.0, CH | 13 | 1.74, s | 14.0, CH3 |
| 7′ | 134.6, C | ||||
| 8′ | 2.20, m | 35.9, CH2 | |||
| 9′ | 2.26, m | 34.2, CH2 | |||
| 10′ | 177.9, C | ||||
| 11′ | 1.57, s | 16.0, CH3 | |||
| 12′ | 1.74, s | 16.2, CH3 | |||
| Cell Lines | 9 | 10 | Adr. |
|---|---|---|---|
| PC-3 | 2.7 | 3.6 | 0.17 |
| HCT-15 | 3.0 | 2.8 | 0.12 |
| MDA-MB-231 | 2.4 | 3.1 | 0.16 |
| ACHN | 3.4 | 3.1 | 0.16 |
| NCI-H23 | 1.1 | 1.2 | 0.13 |
| NUGC-3 | 2.7 | 2.6 | 0.16 |
Publisher’s Note: MDPI stays neutral with regard to jurisdictional claims in published maps and institutional affiliations. |
© 2021 by the authors. Licensee MDPI, Basel, Switzerland. This article is an open access article distributed under the terms and conditions of the Creative Commons Attribution (CC BY) license (https://creativecommons.org/licenses/by/4.0/).
Share and Cite
Anh, C.V.; Kang, J.S.; Choi, B.-K.; Lee, H.-S.; Heo, C.-S.; Shin, H.J. Polyketides and Meroterpenes from the Marine-Derived Fungi Aspergillus unguis 158SC-067 and A. flocculosus 01NT-1.1.5 and Their Cytotoxic and Antioxidant Activities. Mar. Drugs 2021, 19, 415. https://doi.org/10.3390/md19080415
Anh CV, Kang JS, Choi B-K, Lee H-S, Heo C-S, Shin HJ. Polyketides and Meroterpenes from the Marine-Derived Fungi Aspergillus unguis 158SC-067 and A. flocculosus 01NT-1.1.5 and Their Cytotoxic and Antioxidant Activities. Marine Drugs. 2021; 19(8):415. https://doi.org/10.3390/md19080415
Chicago/Turabian StyleAnh, Cao Van, Jong Soon Kang, Byeoung-Kyu Choi, Hwa-Sun Lee, Chang-Su Heo, and Hee Jae Shin. 2021. "Polyketides and Meroterpenes from the Marine-Derived Fungi Aspergillus unguis 158SC-067 and A. flocculosus 01NT-1.1.5 and Their Cytotoxic and Antioxidant Activities" Marine Drugs 19, no. 8: 415. https://doi.org/10.3390/md19080415
APA StyleAnh, C. V., Kang, J. S., Choi, B.-K., Lee, H.-S., Heo, C.-S., & Shin, H. J. (2021). Polyketides and Meroterpenes from the Marine-Derived Fungi Aspergillus unguis 158SC-067 and A. flocculosus 01NT-1.1.5 and Their Cytotoxic and Antioxidant Activities. Marine Drugs, 19(8), 415. https://doi.org/10.3390/md19080415

