Abstract
The review of the 2016–2017 marine pharmacology literature was prepared in a manner similar as the 10 prior reviews of this series. Preclinical marine pharmacology research during 2016–2017 assessed 313 marine compounds with novel pharmacology reported by a growing number of investigators from 54 countries. The peer-reviewed literature reported antibacterial, antifungal, antiprotozoal, antituberculosis, and antiviral activities for 123 marine natural products, 111 marine compounds with antidiabetic and anti-inflammatory activities as well as affecting the immune and nervous system, while in contrast 79 marine compounds displayed miscellaneous mechanisms of action which upon further investigation may contribute to several pharmacological classes. Therefore, in 2016–2017, the preclinical marine natural product pharmacology pipeline generated both novel pharmacology as well as potentially new lead compounds for the growing clinical marine pharmaceutical pipeline, and thus sustained with its contributions the global research for novel and effective therapeutic strategies for multiple disease categories.
Keywords:
drug; marine; sea; chemical; natural product; pharmacology; pharmaceutical; review; toxicology; pipeline; preclinical 1. Introduction
The present review aims to consolidate the 2016–2017 preclinical marine pharmacology literature, with a format similar to our previous 10 reviews of this series which cover the period 1998–2015 [1,2,3,4,5,6,7,8,9,10]. All peer-reviewed articles were retrieved from the following databases: MarinLit, PubMed, Chemical Abstracts®, ISI Web of Knowledge, and Google Scholar. As in our previous reviews we have decided to limit the review to the bioactivity and/or pharmacology of structurally characterized marine chemicals, which we have classified using a modification of Schmitz’s chemical classification [11] into six major chemical classes, namely, polyketides, terpenes, peptides, alkaloids, shikimates, and sugars. The preclinical antibacterial, antifungal, antiprotozoal, antituberculosis, and antiviral pharmacology of marine chemicals is reported in Table 1, with the structures, shown in Figure 1. Marine compounds that showed immune and nervous systems activities, as well as antidiabetic and anti-inflammatory effects are exhibited in Table 2, with their respective structures consolidated in Figure 2. Finally, marine compounds affecting a variety of cellular and molecular targets are noted in Table 3, and their structures presented in Figure 3.
Several publications during 2016–2017 reported on several marine extracts or structurally uncharacterized compounds, with potentially novel preclinical and/or clinical pharmacology: In vitro antibacterial and antibiotic potentiating activities of tropical Mauritian marine sponge extracts [12]; a sterol-rich fraction with significant synergistic anti-inflammatory activity isolated from the South Korean soft coral Dendronephthya gigantea [13]; two metabolites with anti-methicillin-resistant Staphylococcus aureus activity from an Indian marine sponge Clathria procera associated actinomycete S. pharmamarensis ICN40 with antimicrobial potential “after structure identification and clinical studies” are completed [14]; 49 of 251 bacterial isolates from sediments from several Red Sea harbor and lagoon environments with the potential to produce secondary metabolites with “antimicrobial activity” [15]; antibacterial activity in extracts from the marine bacterium Salinispora arenicola from the Gulf of California, Mexico [16]; activation by cyanobacterium Oscillatoria sp. lipopolysaccharide of rat microglia and murine B cells with concomitant Toll-like receptor 4 signaling in vitro [17,18]; and lipophilic fractions from the Icelandic marine sponge Halichondria sitiens that decrease dendritic cells’ pro-inflammatory cytokine release [19].
Table 1.
Marine pharmacology in 2016–2017: marine compounds with antibacterial, antifungal, antituberculosis, antiprotozoal and antiviral activities.
Table 1.
Marine pharmacology in 2016–2017: marine compounds with antibacterial, antifungal, antituberculosis, antiprotozoal and antiviral activities.
| Drug Class | Compound/ Organism a | Chemistry | Pharmacologic Activity | IC50 b1 | MMOA b2 | Country c | References |
|---|---|---|---|---|---|---|---|
| Antibacterial | ageloline A (1)/bacterium | Alkaloid f | C. trachomatis inhibition | 9.5 μM | Antioxidant activity | DEU | [20] |
| Antibacterial | blasticidin S analog (2)/sponge | Alkaloid f | S. aureus inhibition | 6.2 μg/mL + | norA multidrug trasporter inactivation | CAN, USA | [21] |
| Antibacterial | dibromohemibastadin-1(3)/sponge | Peptide f | P. auruginosa biofilm disruption | 10 μM * | Quorum sensing activity | DEU, FRA, GBR | [22] |
| Antibacterial | ecteinamycin (4)/bacterium | Polyketide d | C. difficile inhibition | 0.059 μM + | K+ transport dysregulation | JPN, USA | [23] |
| Antibacterial | 5-episinuleptolide (5)/soft coral | Terpenoid e | A. baumannii biofilm formation inhibition | 20 μM * | PNAG gene expression inhibition | TWN | [24] |
| Antibacterial | E. esculentus peptides (6,7)/sea urchin | Peptide f | Gram-positive and negative inhibition | 0.1–3.1 μM + | Heavy chains bioactive | NOR, SWE | [25] |
| Antibacterial | granaticin and granatomycin D (8,9)/bacterium | Polyketide d | B. subtilis and MR S. aureus inhibition | 1.6, 6.2 μg/mL + | Co-culture enhanced MIC | USA | [26] |
| Antibacterial | keyicin (10)/bacterium | Polyketide d | B. subtilis and MR S. aureus inhibition | 2.5–9.9 μM + | Fatty acid metabolism modulation | USA | [27] |
| Antibacterial | microcionamides C and D (11, 12)/sponge | Peptide f | S. aureus inhibition | 6.2 μM + | Depolarize cytoplasmic membranes | DEU, IDN, IRN | [28] |
| Antibacterial | myticalin A5 (13)/mussel | Peptide f | Gram-positive and negative inhibition | 2–8 μM + | RNA synthesis inhibition | DEU, ITA | [29] |
| Antibacterial | plakofuranolactone (14)/sponge | Polyketide d | Quorum quenching inhibition | 0.1 μM * | Specificity to QS systems | ITA | [30] |
| Antibacterial | psammaplin A (15)/sponge | Peptide f | V. vulnificus in vivo growth inhibition | 50 μg/mouse ** | Associated in vitro and in vivo pathology suppressed | S. KOR | [31] |
| Antibacterial | abyssomicin 2 (16)/bacterium | Polyketide d | B. thuringiensis and M. luteus inhibition | 3.6, 7.2 μg/mL + | Undetermined | CHN | [32] |
| Antibacterial | actinomycins D, V, and X2 (17–19)/bacterium | Peptide f | MR S. aureus, B. subtilis and E. coli inhibition | 0.08–0.61 μM | Undetermined | CHN, EGY, SAU | [33,34] |
| Antibacterial | aneurinifactin (20)/bacterium | Lipopeptide f | K. pneumoniae and S. aureus inhibition | 4, 8 μg/mL + | Undetermined | IND | [35] |
| Antibacterial | aspewentins D and H (21, 22)/fungus | Terpenoid e | P. aeruginosa and M. luteus inhibition | 4 μg/mL + | Undetermined | CHN | [36] |
| Antibacterial | B. subtilis furanoterpenoid (23)/bacterium | Terpenoid e | V. vulnificus and parahaemolyticus inhibition | 3.12 μg/mL + | Undetermined | IND | [37] |
| Antibacterial | bacillisporin A (24)/fungus | Polyketide d | B. subtilis inhibition | 0.12 μM + | Undetermined | BGD, CHN | [38] |
| Antibacterial | bacilotetrin A (25)/bacterium | Peptide f | MR S. aureus inhibition | 8 μg/mL + | Undetermined | S. KOR | [39] |
| Antibacterial | branimycin B (26)/bacterium | Polyketide d | M. luteus and C. urealyticum inhibition | 1, 8 μg/mL + | Undetermined | ESP | [40] |
| Antibacterial | brocazine G (27)/fungus | Alkaloid f | S. aureus inhibition | 0.25 μg/mL + | Undetermined | CHN, DEU, HUN | [41] |
| Antibacterial | cadiolides K and M (28, 29)/ascidian | Polyketide d | MR S. aureus inhibition | 1–2 μg/mL + | Undetermined | S. KOR | [42] |
| Antibacterial | cahuitamycin D (30)/bacterium | Peptide f | A. baumannii biofilm inhibition | 8.4 μM | Undetermined | CRI, USA | [43] |
| Antibacterial | chalcomycin (31)/bacterium | Polyketide d | S. aureus inhibition | 4 μg/mL + | Undetermined | CHN | [44,45] |
| Antibacterial | chermesins A and B (32, 33)/fungus | Terpenoid e | M. luteus inhibition | 8 μg/mL + | Undetermined | CHN | [46] |
| Antibacterial | chloro-preussomerins A and B (34, 35)/fungus | Polyketide d | S. aureus inhibition | 3.2, 6.2 μg/mL + | Undetermined | CHN | [47] |
| Antibacterial | collismycin C (36)/bacterium | Alkaloid f | MR S. aureus biofilm inhibition | 10 μg/mL * | Undetermined | S. KOR | [48] |
| Antibacterial | engyodontochones A and B (37, 38)/fungus | Polyketide d | MR S. aureus inhibition | 0.17, 0.24 μM | Undetermined | CHN, DEU | [49] |
| Antibacterial | hydroanthraquinones (39–43/fungus | Polyketide d | S. aureus inhibition | 2–8 μg/mL * | Undetermined | CHN, DEU | [50] |
| Antibacterial | langcoquinone C (44)/sponge | Terpenoid e | B. subtilis inhibition | 6.2 μM + | Undetermined | JPN, MMR, VNM | [51] |
| Antibacterial | luffariellolide (45)/sponge | Terpenoid e | S. enterica inhibition | 4 μg/mL + | Undetermined | S. KOR | [52] |
| Antibacterial | manzamine alkaloids (46–48)/sponge | Alkaloid f | Gram-positive and negative inhibition | 2–8 ng/mL + | Undetermined | IDN, S. KOR | [53] |
| Antibacterial | napyradiomycin A1 (49)/bacterium | Terpenoid e | MR S. aureus inhibition | 0.5–1 μg/mL + | Undetermined | ESP | [54] |
| Antibacterial | oxysporizoline (50)/fungus | Alkaloid f | MR S. aureus inhibition | 6.25 μg/mL + | Undetermined | S. KOR | [55] |
| Antibacterial | P. citrinum 1-(2,6-dihydroxyphenyl)butan-1-one (51)/fungus | Polyketide d | S. aureus inhibition | 6.95 μM + | Undetermined | CHN | [56] |
| Antibacterial | penicillstressols (52, 53)/fungus | Polyketide d | MR S. aureus inhibition | 0.5 μg/mL + | Undetermined | CHN | [57] |
| Antibacterial | pestalone (54)/fungus | Polyketide d | MR S. aureus inhibition | 6.25 μM + | Undetermined | CHN | [58] |
| Antibacterial | pestalotionol (55)/fungus | Polyketide d | B. subtilis and S. aureus inhibition | 2, 8 μg/mL + | Undetermined | CHN, TWN | [59] |
| Antibacterial | phomaethers A and C (56, 57)/fungus | Polyketide d | E. coli and S. aureus inhibition | 0.15–1.25 μM + | Undetermined | CHN | [60] |
| Antibacterial | 4-methyl-3”-prenylcandidusin A (58)/fungus | Polyketide d | MR S. aureus and V. vulnificus inhibition | 3.8, 7.8 μg/mL + | Undetermined | CHN | [61] |
| Antibacterial | Pseudomonas sp. rhamnolipid (59)/bacterium | Lipid e | B. cenocepacia and S. aureus inhibition | 1.6–3.1 μg/mL + | Undetermined | GBR, ITA | [62] |
| Antibacterial | smenospongine (60)/sponge | Terpenoid e | B. cereus and S. aureus inhibition | 3.1 μM + | Undetermined | CHN, USA | [63] |
| Antibacterial | S. cheonanensis phthalate (61)/bacterium | Polyketide d | P. vulgaris inhibition | 4 μg/mL + | Undetermined | IND | [64] |
| Antibacterial | sporalactam B (62)/bacterium | Polyketide d | MR S. aureus and E. coli inhibition | 0.4–1.8 μM ** | Undetermined | CAN, PHL | [65] |
| Antibacterial | tetrocarcin A (63)/fungus | Polyketide d | B. subtilis inhibition | 0.03–0.125 μg/mL + | Undetermined | CHN | [66,67] |
| Antibacterial | tricepyridinium (64)/sponge | Alkaloid f | B. subtilis and S. aureus inhibition | 0.78–1.56 μg/mL + | Undetermined | JPN | [68] |
| Antibacterial | trocheliane (65)/soft coral | Terpenoid e | A. baumannii and S. aureus inhibition | 4–4.2 μM + | Undetermined | EGY, IDN, SAU | [69] |
| Antibacterial | tulongicin (66)/sponge | Alkaloid f | S. aureus inhibition | 1.2 μg/mL + | Undetermined | ITA, NZL, USA | [70] |
| Antibacterial | vineomycin A1 (67)/bacterium | Polyketide d | S. aureus inhibition | 4 μg/mL+ | Undetermined | CHN | [71] |
| Antifungal | amphidinol 3 (68)/dinoflagellate | Polyketide d | Pore formation requires cholesterol or ergosterol | 2.0 μM * | Toroidal pore 2.6-4.0 nM | JPN, PHL | [72,73] |
| Antifungal | avarol (69)/sponge | Terpenoid e | C. albicans inhibition | 6–8 µg/mL + | Undetermined | SRB | [74] |
| Antifungal | dihydromaltophilin (70)/bacterium | Polyketide d | C. albicans inhibition | 3 μM | Undetermined | AUS, MEX | [75] |
| Antifungal | hippolide j (71a, 71b)/sponge | Terpenoid e | C. albicans inhibition | 0.1 µg/mL + | Undetermined | CHN, GBR | [76] |
| Antifungal | ilicicolin H (72)/fungus | Polyketide d | C. albicans inhibition | <0.25 µg/mL + | Undetermined | DEU, DNK, ESP | [77] |
| Antifungal | iturin F1 and F2 (73, 74)/bacterium | Peptide f | A. flavus and P. griseofulvum inhibition | 3.1 µg/mL + | Undetermined | JPN, S. KOR | [78] |
| Antifungal | P. meleagrinum macrolides (75, 76)/fungus | Polyketide d | C. albicans inhibition | 1–2 μg/mL ** | Undetermined | JPN | [79] |
| Antifungal | plakinic acid M (77)/sponge | Polyketide d | C. gattii inhibition | 2.4 μM ** | Undetermined | USA | [80] |
| Antifungal | poecillastroside D (78)/sponge | Terpenoid e | A. fumigatus inhibition | 6 μg/mL ** | Undetermined | ESP, FRA, IRL, OMN, SWE | [81] |
| Antifungal | rocheicoside A (79)/ bacterium | Alkaloid f | C. albicans inhibition | 4 μg/mL + | Undetermined | TUR | [82] |
| Antimalarial | diacarperoxide A (80)/sponge | Terpenoid e | P. falciparum D6 and W2 strain inhibition | 1.9–2.0 μM | Undetermined | CHN, USA | [83] |
| Antimalarial | dudawalamide A and D (81, 82)/cyanobacterium | Peptide f | P. falciparum W2 strain inhibition | 3.5 μM | Undetermined | JOR, PAN, USA | [84] |
| Antimalarial | eudistidine A (83)/soft coral | Alkaloid f | P. falciparum D6 and W2 strain inhibition | 1.1–1.4 μM | Undetermined | CAN, USA | [85] |
| Antimalarial | naseseazine C (84)/bacterium | Alkaloid f | P. falciparum 3D7 inhibition | 3.5 μM | Undetermined | AUS | [86] |
| Antimalarial | P. opacum β-carboline (85)/ascidian | Alkaloid f | P. falciparum FcB1inhibition | 3.8 μM | Undetermined | FRA, NZL | [87] |
| Antimalarial | ptilomycalin F (86)/sponge | Alkaloid f | P. falciparum 3D7 strain inhibition | 0.23 μM | Undetermined | BEL, FRA, CHE, NLD | [88] |
| Antimalarial | pustulosaisonitrile-1 (88)/nudibranch | Terpenoid e | P. falciparum 3D7 strain inhibition | 1.08 μM | Undetermined | AUS, USA | [89] |
| Antileishmanial | A. Niger fatty acids (89, 90)/sponge | Lipid e | L. infantum inhibition | 0.17, 0.34 mg/mL | TopIB inhibition | ESP, USA | [90] |
| Antileishmanial | dudawalamide D (82)/cyanobacterium | Peptide f | L. donovani inhibition | 2.6 μM | Undetermined | JOR, PAN, USA | [84] |
| Antileishmanial | Gorgonia sp. sterol (91) sponge | Terpenoid e | L. infantum inhibition | >10 μM * | Undetermined | ESP, PAN | [91] |
| Antileishmanial | ircinin-1 and 2 (92, 93)/sponge | Terpenoid e | L. donovani inhibition | 28–31 μM | Undetermined | CHE, DEU, ITA, TUR | [92] |
| Antitrypanosomal | janadolide (94)/cyanobacterium | Peptide f | T. b. brucei inhibition | 0.047 μM | Undetermined | JPN | [93] |
| Antitrypanosomal | malformin A1 (95)/fungus | Peptide f | T. congolense inhibition | 0.015 µg/mL | Undetermined | JPN, PHL | [94] |
| Antitrypanosomal | rhodozepinone (96)/bacterium | Alkaloid f | T. b. brucei inhibition | 16.3 µg/mL | Undetermined | DEU, EGY | [95] |
| Antituberculosis | melophlin A (97)/sponge | Alkaloid f | M. smegmatis inhibition | 0.8 μg/mL + | BCG1083 & BCG1321c proteins targeted | IDN, JPN | [96] |
| Antituberculosis | methoxypuupehenol (98)/sponge | Terpenoid e | Dormant M. tuberculosis inhibition | 0.5 μg/mL + | Bactericidal activity | USA | [97] |
| Antituberculosis | gliotoxin (99)/fungus | Alkaloid f | M. tuberculosis inhibition | 0.03 μM + | Undetermined | CHN | [98] |
| Antituberculosis | proximicin B (100)/bacterium | Peptide f | M. bovis Pasteur 1173P2 inhibition | 6.25 μg/mL + | Undetermined | AUS, CHN, EGY, NGA | [99] |
| Antituberculosis | smenothiazole A (101)/sponge | Peptide f | M. tuberculosis H37Rv inhibition | 4.1 μg/mL + | Undetermined | POL, USA | [100] |
| Antituberculosis | sporalactam B (62)/bacterium | Polyketide d | M. tuberculosis inhibition | 0.06 μM ** | Undetermined | CAN, PHL | [65] |
| Antituberculosis | talaramide A (102)/fungus | Alkaloid f | Mycobacterial PknG inhibition | 55 μM | Undetermined | CHN | [101] |
| Antituberculosis | viomellein (103)/fungus | Polyketide d | Dormant M. bovis BCG inhibition | 1.56 μg/mL + | Undetermined | IDN, JPN | [102] |
| Antiviral | hymenialdisine (104)/sponge | Alkaloid f | HIV-1 inhibition | >3.1 μM * | Reverse transcriptase inhibition | DEU, SAU, USA | [103] |
| Antiviral | metachromin A (105)/sponge | Terpenoid e | HBV inhibition | 0.8 μM | Viral promoter inhibition | JPN, NLD | [104] |
| Antiviral | peridinin (106)/coral | Terpenoid e | HTLV-1 infected T cell inhibition | 0.7-5.4 μM | NF-κB inhibition | JPN | [105] |
| Antiviral | spiromastilactone D (107)/fungus | Polyketide d | H1N1 influenza A virus inhibition | 6.0 μM | HA-sialic acid receptor binding inhibition | CHN, USA | [106] |
| Antiviral | xiamycin D (108)/bacterium | Terpenoid e | PEDV virus inhibition | 0.93 μM | Virion structural proteins inhibition | S. KOR | [107] |
| Antiviral | zoanthone A (109)/sea anemone | Terpenoid e | DENV-2 virus inhibition | 19.6 μM | RNA pocket tunnel binding | TWN | [108] |
| Antiviral | A. polycladia aromatic sulfate (110)/crinoid | Polyketide d | HCV NS3 helicase inhibition | 5 μM | Undetermined | JPN | [109] |
| Antiviral | alotaketal C (111)/sponge | Terpenoid e | HIV expression activation | 1 μM * | Undetermined | CAN | [110] |
| Antiviral | aspergillipeptide D (112)/fungus | Peptide f | HSV-1 inhibition | 9.5 μM | Undetermined | CHN | [111] |
| Antiviral | aspergilols H and I (113, 114)/fungus | Polyketide d | HSV-1 inhibition | 4.7, 6.2 μM | Undetermined | CHN | [112] |
| Antiviral | asteltoxin E (115)/fungus | Polyketide d | H1N1 and H3N2 influenza virus inhibition | 3.5, 6.2 μM | Undetermined | CHN | [113] |
| Antiviral | S. verruca cyclopentenone (116)/soft coral | Polyketide d | HIV infection inhibition | 5.8 μM | Undetermined | CHN, USA | [114] |
| Antiviral | eutypellazine E (117)/fungus | Alkaloid f | HIV-1 inhibition | 3.2 μM | Undetermined | CHN, DEU | [115] |
| Antiviral | ω-hydroxyemodin (118)/fungus | Polyketide d | HCV NS3 protease inhibition | 10.7 μM | Undetermined | EGY, SAU | [116] |
| Antiviral | malformin C (119)/fungus | Peptide f | HIV infection inhibition | 1.4 μM | Undetermined | CHN | [117] |
| Antiviral | manzamine A (120)/sponge | Alkaloid f | HSV-1 inhibition | 1 μM + | Undetermined | USA | [118] |
| Antiviral | peridinin (106)/zoanthid | Terpenoid e | Anti-dengue virus 2 inhibition | 4.5 μM | Undetermined | TWN | [119] |
| Antiviral | stachybonoid A (121)/fungus | Terpenoid e | Dengue virus prM protein expression inhibition | 25 μM | Undetermined | CHN | [120] |
| Antiviral | subergorgols T and U (122, 123)/soft coral | Terpenoid e | H1N1 influenza A virus inhibition | 35–37 μM | Undetermined | CHN, NLD | [121] |
a Organism, Kingdom Animalia: ascidian (Phylum Chordata); gorgonian, coral, crinoids, sea anemone, zoanthid (Phylum Cnidaria); sea urchin (Phylum Echinodermata), nudibranch (Phylum Mollusca), sponge (Phylum Porifera); Kingdom Monera: bacterium, cyanobacterium (Phylum Cyanobacteria); Kingdom Fungi: fungus; Kingdom Protista: dinoflagellates; b1 IC50: concentration of a compound required for 50% inhibition in vitro, *: estimated IC50, **: in vivo study; + MIC: minimum inhibitory concentration, b2 MMOA: molecular mechanism of action; c Country: AUS: Australia; BEL: Belgium; BGD: Bangladesh; CAN: Canada; CHE: Switzerland; CHN: China; CRI: Costa Rica; DEU: Germany; DNK: Denmark; EGY: Egypt; ESP: Spain; FRA: France; GBR: United Kingdom; HUN: Hungary; IDN: Indonesia; IND: India; IRL: Ireland; IRN: Iran; ITA: Italy; JOR: Jordan; JPN: Japan; MEX: Mexico; MMR: Myanmar; NGA: Nigeria; NLD: The Netherlands; NOR: Norway; NZL: New Zealand; OMN: Oman; PAN: Panama; PHL: Philippines; POL: Poland; SAU: Saudi Arabia; S. KOR: South Korea; SAU: Saudi Arabia; SRB: Serbia; SWE: Sweden; TWN: Taiwan; TUR: Turkey; VNM: Vietnam; Chemistry: d Polyketide; e Terpene; f Nitrogen-containing compound; Abbreviations: AHL: acylated homoserine lactones; DENV-2: dengue virus type 2; HA: hemagglutinin; HBV: hepatitis B virus; HCV: hepatitis C virus; HSV: herpes simplex virus; MR: methicillin-resistant; PEDV: porcine epidemic diarrhea virus; PknG: mycobacterial protein kinase G; PNAG: polysaccharide poly-β-(1,6)-N-acetylglucosamine; TopIB: topoisomerase IB.
3. Marine Compounds with Antidiabetic and Anti-Inflammatory Activity, and Affecting the Immune and Nervous System
Table 2 presents the 2016–2017 preclinical pharmacology of marine chemicals (124–234), which demonstrated either antidiabetic or anti-inflammatory activity, as well as affected the immune or nervous system, and whose structures are depicted in Figure 2.
Table 2.
Marine pharmacology in 2016–2017: marine compounds with antidiabetic and anti-inflammatory activity; and affecting the immune and nervous system.
Table 2.
Marine pharmacology in 2016–2017: marine compounds with antidiabetic and anti-inflammatory activity; and affecting the immune and nervous system.
| Drug Class | Compound/ Organism a | Chemistry | Pharmacological Activity | IC50 b | MMOA c | Country d | References |
|---|---|---|---|---|---|---|---|
| Antidiabetic | agelasine G (124)/sponge | Alkaloid-terpenoid f | PTP1B inhibition | 15 µM * | Akt insulin pathway increase | IDN, JAP | [151] |
| Antidiabetic | BDDE (125)/alga | Shikimate h | Decrease glucose levels in vivo | 10 mg/kg ** | PTP1B expression inhibition | CHN | [152] |
| Antidiabetic | dieckol (126)/alga | Shikimate h | Decrease in glucose levels | 1 µg/g ** | Akt insulin pathway increase | S. KOR | [153] |
| Antidiabetic | gombasterol E (127)/sponge | Terpenoid f | Enhanced glucose uptake in vitro | 20 µM * | AMPK phosphorylation increase | S. KOR | [154] |
| Antidiabetic | leptolide (128)/soft coral | Terpenoid f | Murine glucose tolerance and insulin sensitivity increased | 0.1 mg/kg ** | PKB phosphorylation | ESP | [155] |
| Antidiabetic | nectriacids B and C (129, 130)/fungus | Polyketides d | α-glucosidase inhibition | 23.5, 42.3 µM | C-12 carboxyl esterification required | CHN | [156] |
| Antidiabetic | penicilliumin B (131)/fungus | Terpenoid f | Glomerular mesangial cells fibrogenic inhibition | 0.5 µM * | NADPH oxidase inhibition | CHN | [157] |
| Antidiabetic | wailupemycin I (132)/bacterium | Polyketide d | α-glucosidase inhibition | 8.3 µM | Competitive inhibition | CHN | [158] |
| Antidiabetic | asperentin B (133)/fungus | Polyketide d | PTP1B inhibition | 2 μM | Undetermined | DEU | [159] |
| Antidiabetic | lasiodiplactone A (134)/fungus | Polyketide d | α-glucosidase inhibition | 29.4 μM | Undetermined | CHN | [160] |
| Antidiabetic | 7-hydroxy-de-O-methyllasiodiplodin (135)/bacterium | Polyketide d | α-glucosidase inhibition | 25.8 μM | Undetermined | CHN | [161] |
| Antidiabetic | sescandelin B (136)/fungus | Polyketide d | α-glucosidase inhibition | 17.2 μM | Undetermined | CHN | [162] |
| Anti-inflammatory | AMT-E (127)/alga | Terpenoid f | Murine colitis inhibition | 10 mg/kg ** | Inhibition of TNF-α, IL-6 | ESP, MAR | [163] |
| Anti-inflammatory | Bacillus sp. diketopiperazines (138–140)/bacterium | Peptide g | TGFBIp inhibition in vivo | 5 μM ** | Septic responses inhibition | S. KOR | [164,165] |
| Anti-inflammatory | 6-bromoisatin (141)/mollusc | Alkaloid g | Lung inflammation inhibition in vivo | 0.05 mg/g ** | Inhibition of TNF-α, IL-6 | AUS | [166] |
| Anti-inflammatory | ceylonamide A (142)/sponge | Terpenoid f | Macrophage RANKL inhibition | 13 μM * | SAR completed | IDN, JPN, NLD | [167] |
| Anti-inflammatory | citrinin H1 (143)/fungus | Polyketide e | Microglia NO and PGE2 release inhibition | 8 μM | NF-κB inhibition | S. KOR, VNM | [168] |
| Anti-inflammatory | nonenolide derivative (144)/alga | Polyketide e | BMDC cytokine release inhibition | 7.6–10.9 μM | JNK, ERK, AP-1, NF-κB inhibition | S. KOR | [169] |
| Anti-inflammatory | cucumarioside A2-2 (145)/sea cucumber | Terpenoid f | Binding of macrophage P2X purinergic receptors | 0.02 μM * | Induction Ca2+ oscillations | RUS | [170] |
| Anti-inflammatory | curvularin derivative (146)/fungus | Polyketide e | Macrophage PGE2 and NO release inhibition | 1.9–2.7 μM | NF-κB signaling inhibition | S. KOR | [171] |
| Anti-inflammatory | 9,11-dihydrogracilin A (147)/sponge | Terpenoid f | PBMC proliferation inhibition | 3 μM * | IL-6 and IL-10 inhibition | ITA | [172] |
| Anti-inflammatory | dysivillosin A (148)/sponge | Terpenoid f | Basophil β-hexosaminidase inhibition | 8.2 μM | IL-4 and LTB4 inhibition | CHN | [173] |
| Anti-inflammatory | epinecidin-1 (149)/fish | Peptide g | Inhibition of MyD88 protein levels | 6 µg/mL * | Proteasome degradation required | TWN | [174] |
| Anti-inflammatory | excavatolide B (150)/soft coral | Terpenoid f | Attenuation of rat arthritis [175] | 2.5, 5 mg/kg ** | Decreased MMP-2, MMP-9, CD11b in tissues | CHN, TWN | [175] |
| Anti-inflammatory | fucoxanthin (151)/alga | Terpenoid f | Decreased mice paw edema, adipogenesis and ear inflammation | 4 mg/kg ** | Modulation of iNOS, PLA2, COX-2, ACC, IL-6 and Nrf2 expression | JPN, S. KOR, MEX | [176,177,178,179] |
| Anti-inflammatory | H. crispa peptide (152)/sea anemone | Peptide g | Macrophage histamine receptor inhibition | 10 μM * | Intracellular Ca2+ increase inhibition | RUS | [180] |
| Anti-inflammatory | hipposponlachnin B (153)/sponge | Terpenoid f | Basophil β-hexosaminidase inhibition | 24 μM | IL-4 and LTB4 inhibition | CHN | [181] |
| Anti-inflammatory | ogipeptins A-D (154–157)/bacterium | Peptide g | Macrophage TNF-α production inhibition | 1 µM * | Block LPS binding to CD14 | JPN | [182] |
| Anti-inflammatory | oscarellin (158)/sponge | Alkaloid g | Macrophage TNF-α and IL-6 expression inhibition | >10 μM | JNK, ERK, AP-1, NF-κB inhibition | S. KOR, USA | [183] |
| Anti-inflammatory | pseudane-VIII (159)/bacterium | Alkaloid g | Macrophage NO release inhibition | 6 µM * | iNOS and IL-1β inhibition | S. KOR | [184] |
| Anti-inflammatory | acremeremophilane B (160)/fungus | Terpenoid f | Macrophage NO release inhibition | 8 µM | Undetermined | CHN, DEU | [185] |
| Anti-inflammatory | actinoquinolines A and B (161, 162)/bacterium | Alkaloid g | COX-1 and -2 inhibition | 1.4–7.6 μM | Undetermined | EGY, USA | [186] |
| Anti-inflammatory | anthenoside O (163)/starfish | Terpenoid f | Macrophage SOX inhibition | >10 µM * | Undetermined | RUS, VNM | [187] |
| Anti-inflammatory | aurasperone C (164)/fungus | Polyketide e | COX-2 inhibition | 4.2 μM | Undetermined | CHN | [188] |
| Anti-inflammatory | briarenolides M and N (165, 166)/soft coral | Terpenoid f | Macrophage iNOS expression inhibition | 10 μM * | Undetermined | TWN | [189] |
| Anti-inflammatory | briarenolides ZII and ZVI (167, 168)/soft coral | Terpenoid f | Macrophage iNOS and COX-2 expression inhibition | 10 μM * | Undetermined | TWN | [190] |
| Anti-inflammatory | dihydrobipolaroxin (169)/fungus | Terpenoid f | Macrophage NO release inhibition | >12.5 μM * | Undetermined | CHN | [191] |
| Anti-inflammatory | echinulin (170)/fungus | Alkaloid g | Microglia NO release inhibition | 4.6 μM | Undetermined | CHN, S. KOR | [192] |
| Anti-inflammatory | 5α-iodozoanthenamine (171)/zoanthid | Alkaloid g | Neutrophil SOX and elastase inhibition | >10 μM * | Undetermined | TWN | [193] |
| Anti-inflammatory | klyflaccisteroid J and K (172, 173)/soft coral | Terpenoid f | Neutrophil SOX and elastase inhibition | 1.5–5.8 μM | Undetermined | TWN | [194,195] |
| Anti-inflammatory | L. varium diterpenoid (174)/soft coral | Terpenoid f | Neutrophil elastase inhibition | >10 μM * | Undetermined | EGY, SAU, TWN | [196] |
| Anti-inflammatory | petasitosterones B and C (175, 176)/soft coral | Terpenoid f | Neutrophil SOX and elastase inhibition | 2.7–4.4 µM | Undetermined | TWN | [197] |
| Anti-inflammatory | Pinnnigorgia sp. sterols (177, 178)/soft coral | Terpenoid f | Macrophage COX-2 and iNOS expression inhibition | 10 µM * | Undetermined | TWN | [198] |
| Anti-inflammatory | pinnigorgiol A (179)/soft coral | Terpenoid f | Neutrophil SOX and elastase inhibition | 4, 5 µM | Undetermined | TWN | [199] |
| Anti-inflammatory | pinnigorgiol E (180)/soft coral | Terpenoid f | Neutrophil SOX and elastase inhibition | 1.6, 3.9 µM | Undetermined | TWN | [200] |
| Anti-inflammatory | pinnisterols A and H (181, 182)/soft coral | Terpenoid f | Neutrophil SOX and elastase inhibition | 2.3–3.3 µM | Undetermined | TWN | [201,202] |
| Anti-inflammatory | plancipyrroside B (183)/starfish | Terpenoid f | Macrophage iNOS expression inhibition | 5.9 µM | Undetermined | RUS, VNM | [203] |
| Anti-inflammatory | protolinckioside A (184)/starfish | Terpenoid f | Macrophage SOX inhibition | 10 µM | Undetermined | IND, RUS | [204] |
| Anti-inflammatory | sarcophytonolide O (185)/soft coral | Terpenoid f | Macrophage iNOS expression inhibition | 8 μM | Undetermined | CHN, USA | [205] |
| Anti-inflammatory | sinularectols A and B (186, 187)/soft coral | Terpenoid f | Neutrophil SOX and elastase inhibition | 0.9–8.5 μM | Undetermined | TWN | [206] |
| Anti-inflammatory | sinubrasolides A and D (188, 189)/soft coral | Terpenoid f | Neutrophil SOX and elastase inhibition | 1.4–8 μM | Undetermined | CAN, SAU, TWN | [207,208] |
| Anti-inflammatory | uprolides N, O and P (190–192)/soft coral | Terpenoid f | Macrophage TNF-α and IL-6 release inhibition | 1.4–4.2 μM | Undetermined | IND, PAN, USA | [209] |
| Immune system | cucumarioside A2-2 (145)/sea cucumber | Terpenoid f | Increase in spleen white pulp and macrophage activation | 3 mg/kg ** | Increased B cell PCNA and M1 macrophages | RUS, TWN | [210,211] |
| Immune system | gracilins A, H and L (193–195)/sponge | Terpenoid f | CD147 receptor modulation and T-cell IL-2 release inhibition | 1 μM * | Hypersensitivity and NFATc inhibition | ESP, GBR | [212,213] |
| Immune system | shinorine and porphyra-334 (196, 197)/alga | Peptide g | NF-κB stimulation | 50 µg/mL * | Tryptophan metabolism modulation | AUT | [214] |
| Immune system | sinulariolide (198)/soft coral | Terpenoid f | Dendritic cell maturation suppression | 25 µg/mL * | IL-6, IL-12 and NO inhibition | TWN | [215] |
| Immune system | CDMW-3 (199)/fungus | Peptide g | PCA inhibition in vivo | 20 mg/kg ** | Mast cell histamine and cytokine release inhibition | CHN | [216] |
| Immune system | chrysamide C (200)/fungus | Alkaloid g | IL-17 inhibition | >1 μM * | Undetermined | CHN | [217] |
| Immune system | cocosolide (201)/cyanobacterium | Polyketide d | IL-2 inhibition | 2.5 μM * | Undetermined | CHN, USA | [218] |
| Immune system | myxillin A (202)/sponge | Alkaloid g | IL-12p40 release inhibition | 10 µg/mL * | Undetermined | DNK, ISL | [219] |
| Immune system | pectinioside A (203)/starfish | Terpenoid f | Increase OVA-specific IgG1 in vivo | 25 µg * | Undetermined | JPN | [220] |
| Immune system | peniphenone (204)/fungus | Polyketide d | Lymphocyte immune suppression | 8.1–9.3 µg/mL | Undetermined | CHN | [221] |
| Immune system | USF-19A (205)/bacterium | Peptide g | Splenocyte IL-5 release inhibition | 0.57 μM | Undetermined | CHN | [222] |
| Nervous system | APETx4 (206)/sea anemone | Peptide g | Kv10.1 potassium channel inhibition | 1.1 µM | Binds channel in closed state | BEL, DEU | [223] |
| Nervous system | astaxanthin (207)/shrimp | Terpenoid f | Penitrem A toxicity reversal | 20 µM * | Block BK channel | EGY, USA | [224] |
| Nervous system | crambescidin 816 (208)/sponge | Alkaloid g | Cortical neurons cytosolic Ca2+ increase | 10 µM * | AMPA and NMDA receptors involved | ESP, FRA, IRL | [225] |
| Nervous system | C. generalis O-conotoxin (209)/cone snail | Peptide g | Α9α10 nACh receptor inhibition | 16.2 nM | Non-competitive inhibition | AUS, CHN | [226] |
| Nervous system | C. princeps PiVIIA peptide (210)/cone snail | Peptide g | Neuronal Ca2+ current increase | 3 µM * | Potentiates two types Ca2+ channels | CUB, MEX | [227] |
| Nervous system | conorphin T (211)/cone snail | Peptide g | KOR agonist | 9.8 µM | In vivo colonic receptor inhibition | AUS | [228] |
| Nervous system | 11-dehydrosinulariolide (212)/soft coral | Terpenoid f | Amelioration PD and spinal cord injury attenuation | 5 µg/rat ** | DJ-1 expression upregulation and microglia activation | TWN | [229,230] |
| Nervous system | discorhabdin G (213)/sponge | Alkaloid g | Eel and human AChE inhibition | 1.3 µM | Reversible competitive inhibition | DEU, ITA, SVN | [231] |
| Nervous system | fucoxanthin (151)/alga | Terpenoid f | BACE1 inhibition | 5.3 µM | Mixed inhibition | GBR, S. KOR | [232] |
| Nervous system | fucoxanthin (151)/alga | Terpenoid f | Reversal BDNF expression | 50 mg/kg ** | Reversed AChE activity | CHN | [233] |
| Nervous system | fucoxanthin (151)/alga | Terpenoid f | Neuroprotection after TBI-induced brain injury | 100 mg/kg ** | Nrf2-ARE pathway modulation | CHN | [234] |
| Nervous system | 5-hydroxycyclopenicillone (214)/fungus | Polyketide d | H2O2-induced neuronal death protection | 30 µM * | DHHP free radical inhibition | CHN, USA | [235] |
| Nervous system | maitotoxin (215)/alga | Polyketide d | Activation of NSCC | 10 pM * | TRPC1 inhibition | MEX | [236] |
| Nervous system | makaluvamine J (216)/sponge | Alkaloid g | Reduction of mitochondrial damage | 0.1–1 µM * | Nrf2 activation | ESP, FJI, GBR | [237] |
| Nervous system | MEC-1 (217)/sponge | Polyketide d | AChE inhibition | 20.9 µM | Docking studies | EGY | [238] |
| Nervous system | mellpaladine A (218)/ascidian | Alkaloid g | In vivo behavior modulation | 8 nM/mouse ** | Serotonin receptor affinity | JPN | [239] |
| Nervous system | Ms 9a-1 peptide (219)/sea anemone | Peptide g | Decrease in nociceptive and inflammatory response in vivo | 0.3 mg/kg ** | TRPA1 modulation | NOR, RUS | [240] |
| Nervous tissue | phlorofucofuroeckol-A (220)/alga | Polyketide d | Glutamate-induced neurotoxicity inhibition | 10 µM * | Intracellular and mitochondrial ROS inhibtion | S. KOR | [241] |
| Nervous system | piloquinone (221)/bacterium | Polyketide d | MAO-B inhibition | 1.2 µM | Reversible competitive inhibition | S. KOR, USA | [242] |
| Nervous system | pseudopterosin A (222)/soft coral | Terpenoid f | Synaptic transmission alteration | 1 µM * | Extensive brain distribution | USA | [243] |
| Nervous system | squalamine (223)/shark | Terpenoid f | Reduction of α-synuclein aggregation in vivo | 50 µM ** | α-synuclein displaced from lipid membranes | ESP, GBR, ITA, NLD, USA | [244] |
| Nervous system | stryphnusin (224)/sponge | Alkaloid g | Eel AChR inhibition | 232 µM | Reversible competitive inhibition | HRV, NOR, SVN, SWE | [245] |
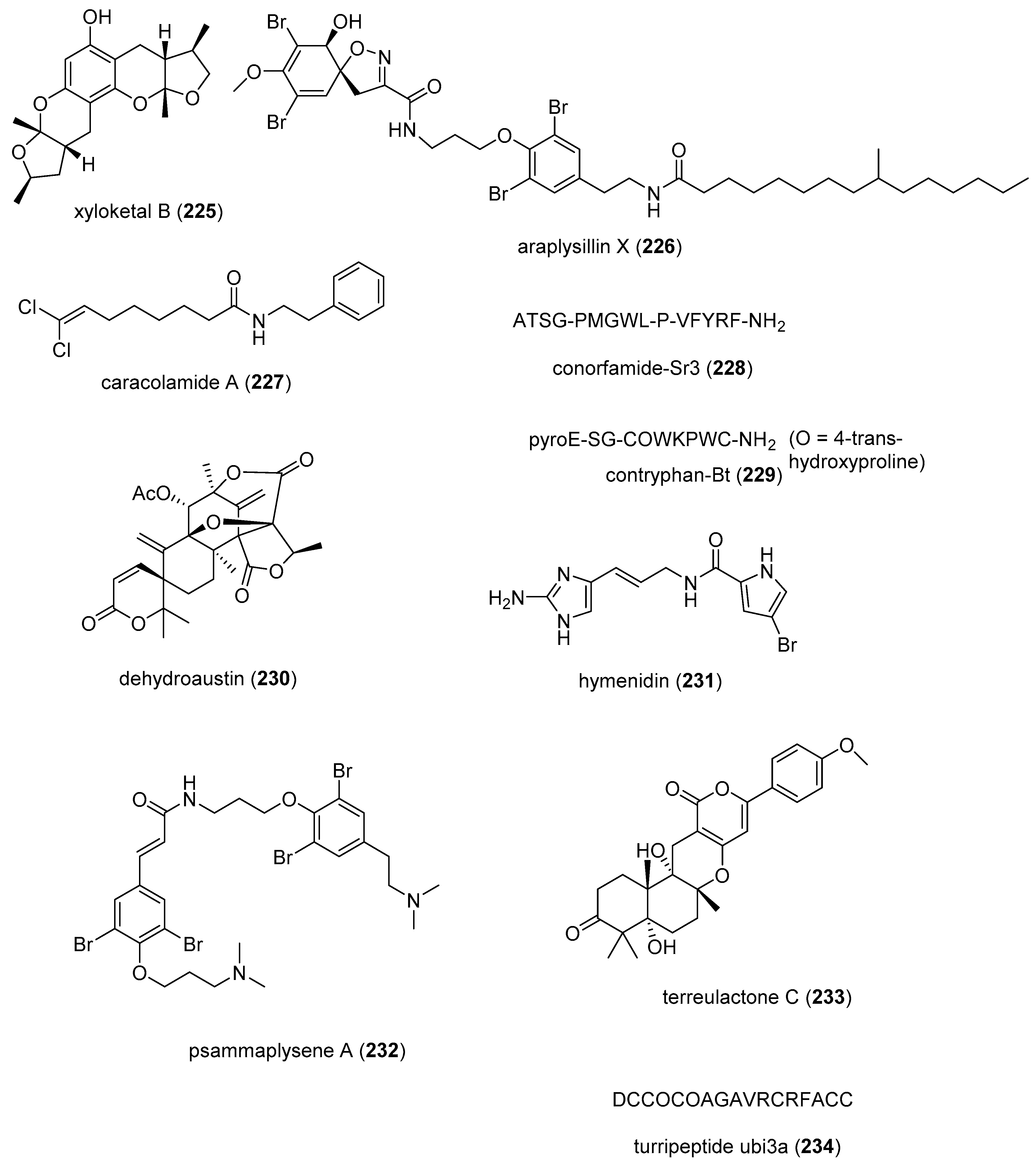
| Nervous system | xyloketal B (225)/fungus | Polyketide d | Cerebral infarction modulation | 50 mg/kg ** | Decreased ROS and cytokines | CAN, CHN, USA | [246] |
| Nervous system | araplysillin X (226)/sponge | Alkaloid g | BACE1 inhibition | 31.4 µM | Undetermined | NZL, USA | [247] |
| Nervous system | caracolamide A (227)/cyanobacterium | Alkaloid g | Ca2+ channel modulation | 10 pM * | Undetermined | BRA, JOR, PAN, USA, | [248] |
| Nervous system | conorfamide-Sr3 (228)/snail | Peptide g | Blocks volatage-gated K+ channel | 2.7 µM *** | Shaker channel specific | MEX | [249] |
| Nervous system | contryphan-Bt (229)/cone snail | Peptide g | Stiff-tail syndrome in vivo | 5 ng/mouse ** | Undetermined | CHN | [250] |
| Nervous system | dehydroaustin (230)/fungus | Meroterpenoid f | AChE inhibition | 0.4 µM | Undetermined | CHN | [251] |
| Nervous system | hymenidin (231)/sponge | Alkaloid g | Kv1.3- Kv1.6 K+ channel inhibition | 2.5–7.6 µM | Undetermined | BEL, GBR, SVN | [252] |
| Nervous system | psammaplysene A (232)/sponge | Alkaloid g | Binding to RNA-binding protein HNRNPK | 86.2 µM *** | Undetermined | USA | [253] |
| Nervous system | terreulactone C (233)/fungus | Meroterpenoid f | AChE inhibition | 28 nM | Undetermined | CHN | [254] |
| Nervous system | turripeptide (234)/turrid snail | Peptide g | Α9α10 nAChR inhibition | 10.2 µM | Undetermined | AUS, KAS, MEX, PHL, USA | [255] |
a Organism:Kingdom Animalia: shrimp (Phylum Arthropoda); ascidian, fish (Phylum Chordata; coral, sea anemone and zoanthid (Phylum Cnidaria); sea cucumber, starfish (Phylum Echinodermata); cone snail, turrid snail (Phylum Mollusca); sponge (Phylum Porifera); Kingdom Fungi: fungus; Kingdom Plantae: alga; diatoms; Kingdom Monera: bacterium; b IC50: concentration of a compound required for 50% inhibition, *: apparent IC50, ** in vivo study; ***: Ki: concentration needed to reduce the activity of an enzyme by half; c MMOA: molecular mechanism of action; d Country: AUS: Australia; AUT: Austria; BEL: Belgium; BRA: Brazil; CAN: Canada; CHN: China; CUB: Cuba; DEU: Germany; DNK: Denmark; EGY: Egypt; ESP: Spain; FJI: Fiji; FRA: France; GBR: United Kingdom; HRV: Croatia; IDN: Indonesia; IND, India; ISL: Iceland; IRL: Ireland; ITA: Italy; JOR: Jordan; JPN: Japan; KAS: Kazakhstan; MAR: Morocco; MEX: Mexico; NZL: New Zealand; NLD: Netherlands; NOR: Norway; PAN: Panama; PHL: Philippines; RUS: Russian Federation; SAU: Saudi Arabia; S. KOR: South Korea; SVN: Slovenia; SWE: Sweden; TWN: Taiwan; VNM: Vietnam; Chemistry: e Polyketide; f Terpene; g Nitrogen-containing compound; h Shikimate. Abbreviations: ACC: acetyl-CoA carboxylase; Ach: acetylcholine; AChE: acetylcholinesterase; Akt: also known as protein kinase B is a serine/threonine protein kinase; AMPA: α-amino-3-hydroxy-5-methyl-4-isoxazolepropionic acid; AMPK: AMP-activated protein kinase; AMT-E: 11-hydroxy-1′-O-methylamentadione; AP-1: activator protein-1; BACE1: beta secretase aspartic protease; BDDE: Bis (2,3-dibromo-4,5-dihydroxybenzyl) ether; BK: voltage-gated potassium channels; BMDC: bone marrow-derived dendritic cells; CD14: cluster of differentiation 14; COX: cyclooxygenase; DHHP: α, α-diphenyl-β-picrylhydrazyl; DJ-1: cysteine protease encoded by PARK7 gene; ERK: extracellular signal-regulated kinase; HNRNPK: heterogenous nuclear ribonucleoprotein K; IL: interleukin; iNOS: inducible nitric oxide synthase; JNK: c-Jun NH2-terminal kinase; LPS: Lipopolysaccharide; MAO-B: monoamine oxidase B; MyD88: myeloid differentiation primary response protein 88; iNOS: inducible nitric oxide synthase; KOR: κ-opioid receptor; Kv current: voltage-gated K+ current; nAChR: nicotinic acetylcholine receptor; NF-κB: nuclear factor kappa-light-chain-enhancer of activated B cells; NMDA: N-methyl-d-aspartate receptor; NO: nitric oxide; nAChR: nicotinic acetylcholine receptor; Nrf2-ARE: nuclear transcription factor E2-related factor antioxidant response element; NSCC: non-selective cation channel; PBMC: human peripheral blood mononuclear cells; PCA: passive cutaneous anaphylaxis; PCNA: proliferating cell nuclear antigen; PD: Parkinson’s disease; PKB: protein kinase B; PLA2: phospholipase A2; PTP1B: tyrosine protein; phosphatase 1B; RANKL: receptor activator of nuclear factor-κB ligand; ROS: reactive oxygen species; SOX: superoxide; SQDC: sulfoquinovosyl diacylglycerols; TGFBIp: transforming growth factor β- induced protein; TNF-α: tumor necrosis factor-α; TRPA1: transient receptor potential ankyrin-repeat 1 receptor; TRPC1: transient receptor potential canonical type 1.







Figure 2.
Marine pharmacology in 2016–2017: marine compounds with antidiabetic and anti-inflammatory activity; and affecting the immune and nervous system.
Figure 2.
Marine pharmacology in 2016–2017: marine compounds with antidiabetic and anti-inflammatory activity; and affecting the immune and nervous system.








3.1. Antidiabetic Activity
As shown in Table 2 and Figure 2, twelve publications reported on the mode of action of marine-derived antidiabetic compounds (124–132) during 2016–2017. Yamazaki and colleagues contributed to the pharmacology of diabetes by noting that the diterpene marine alkaloid agelasine G (124) isolated from the Japanese marine sponge Agelas nakamurai selectively inhibited protein tyrosine phosphase B (PTP1B) and enhanced insulin-stimulated phosphorylation of serine/threonine protein kinase B or Akt in vitro, noting that further studies may “provide a candidate for anti-diabetes therapeutic agents” [151]. Xu and colleagues observed that a novel bromophenol bis (2,3-dibromo-4,5-dihydroxybenzyl) ether (BDDE) (125) isolated from the red alga Odonthalia corymbifera, increased glucose uptake in vitro, decreased the expression of protein tyrosine phosphatase 1B, activated the insulin signaling pathway and in mice “significantly decreased the blood glucose”, thus, suggesting BDDE might be a “treatment of type-2 diabetes” [152]. Kim and colleagues reported that the marine algal polyphenol dieckol (126), isolated from the marine brown alga Ecklonia cava attenuated blood glucose levels in the zebrafish model of hyperglycemia, an in vivo paradigm used to study chronic diseases, such as diabetes, by a mechanism that stimulated the protein kinase B (Akt) pathway, thus demonstrating the “anti-diabetic effect” of this compound [153]. Woo and colleagues showed that the novel polyoxygenated steroid gombasterol E (127) isolated from the Korean marine sponge Clathria gombawuiensis moderately enhanced both glucose uptake in adipocytes and phosphorylation of AMP-activated protein kinase and acetyl-CoA carboxylase in mouse skeletal myoblasts [154]. Villa-Pérez and colleagues reported that the furanocembranolide diterpenoid leptolide (128) isolated from soft coral Leptogorgia alba improved insulin sensitivity by increasing intracellular insulin signaling in both liver and skeletal muscle tissues of a diet-induced obese mice model, a “preclinical model of insulin resistance”, concluding that “furanocembranolides as a new therapeutic class to treat Type 2 diabetes” [155]. Cui and colleagues demonstrated that two new polyketides nectriacids B and C (129, 130) isolated from a South China Sea mangrove Sonneratia ovata-derived endophytic fungus Nectria sp. HN001 moderately inhibited α-glucosidase, a significant finding because this enzyme prevents “breaking down complex carbohydrates for absorption” [156]. Lin and colleagues discovered a new sesquiterpene penicilliumin B (131) isolated from South China Sea deep sea (1300 m) sediment-derived Penicillium strain F00120 that potently inhibited kidney fibrogenic action of high glucose in vitro through oxidative stress disruption, thus, suggesting this compound had potential for “therapy of diabetic nephropathy” [157]. Chen and colleagues studied a polyketide wailupemycin I (132) isolated from a Chinese marine alga Enteromorpha prolifera-derived Streptomyces sp. OUCMDZ-3434 that moderately inhibited α-glucosidase by competitive inhibition of the enzyme [158].
Moreover, four marine natural products (133–136) listed in Table 2 and shown Figure 2, demonstrated antidiabetic activity during 2016–2017, but the mechanism of action of these compounds remained undetermined at the time of publication: a new polyketide asperentin B (133) isolated from a deep (2769 m) Mediterranean Sea sediment-derived Aspergillus sydowii which “strongly” inhibited human protein tyrosine phosphatase 1B, an important “target for the treatment of type 2 diabetes” [159]; a novel lactone lasiodiplactone (134) isolated from a South China Sea mangrove Acanthus ilicifolius-derived endophytic fungus Lasiodiplodia theobromae ZJ-HQ1 that exhibited α-glucosidase inhibitory activity that was better “than the clinical α-glucosidase inhibitor acarbose” [160]; a new de-O-methyllasiodiplodin (135) isolated from the co-cultivation of the Chinese mangrove Clerodendrum inerme-derived endophytic fungus Trichoderma sp. 307 and the aquatic pathogenic bacterium Acinetobacter johnsonii B2 that inhibited α-glucosidase better “than the positive control acarbose” [161]; and a known isocoumarin analogue sescandelin B (136) isolated form the Chinese Kandelia obovata-derived endophytic fungus Talaromyces amesolkiae, which showed moderate inhibition of α-glucosidase, “which was much better than acarbose” [162].
3.2. Anti-Inflammatory Activity
As shown in Table 2 and Figure 2, there was a remarkable increase in anti-inflammatory pharmacology of marine compounds (127, 138–192) during 2016–2017. The molecular mechanism of action of anti-inflammatory marine natural products (127, 138–159) was assessed in both in vitro and in vivo preclinical pharmacological studies in twenty one papers, which used several in vitro and in vivo models of inflammation.
Zbakh and colleagues evaluated the anti-inflammatory properties of the meroterpene 11-hydroxy-1′-O-methylamentadione (AMT-E) (127) isolated from the brown alga Cystoseira usneoides in a murine model of experimental colitis, observing that the levels of myeloperoxidase, cytokines and the expression of the pro-inflammatory genes nitric oxide synthase (iNOS) and cyclooxygenase-2 (COX-2) were reduced, concluding that AMG-W might be a candidate for “prevention/treatment of inflammatory bowel disease” [163]. Jung and colleagues investigated three known diketopiperazines (138–140) isolated from a Korean marine sediment-derived bacteria Bacillus sp. HC001 and Piscicoccus sp. 12L081 and observed that they effectively inhibited LPS-induced release and expression of transforming growth factor β-induced protein in human endothelial cells, as well as protected against cecal ligation and puncture-induced lethality and organ damage in a murine model of experimental sepsis [164,165]. Ahmad and colleagues reported that the orally administered brominated indol 6-bromoisatin (141) isolated form the Australian marine gastropod mollusc Dicathais orbita inhibited inflammation in a murine model of lipopolysaccharide-induced acute lung injury by significantly reducing pro-inflammatory tumor necrosis-α (TNF-α) and interleukin-1 β (IL-1β) production and associated lung damage, thus, concluding this compound “provides a lead for the development of safer anti-inflammatory drugs” [166]. El-Desoky and colleagues studied a new nitrogenous diterpene ceylonamide A (142), isolated from the Indonesian marine sponge Spongia ceylonensis and determined that they exhibited moderate in vitro anti-inflammatory activity of receptor activator of nuclear factor-κB ligand (RANKL)-induced osteoclastogenesis in RAW264 macrophages with structure-activity relationships studies. This revealed that the “position of the carbonyl group of the γ-lactam ring …at its nitrogen atom were important for inhibitory activity” [167]. Ngan and colleagues isolated a known polyketide citrinin H1 (143) from the Korean sand-derived bacterium Penicillium sp. SF-5629 and observed moderate inhibition E. coli LPS-activated BV-2 microglia in vitro nitric oxide (NO) and prostaglandin E2 (PGE2) release with concomitant downregulation of the inducible enzymes nitric oxide synthase and cyclooxygenase-2 attributed to “inhibition of NF-κB and p38 MAPK signaling pathways” [168]. Manzoor and colleagues observed that 4-hydroxy-2,3-dimethyl-2-nonen-4-olide (144) extracted from Korean marine alga Ulva pertusa moderately inhibited pro-inflammatory cytokines IL-12 p40 and IL-6 release from bone marrow-derived dendritic cells, as well as signal transduction by inhibiting phosphorylation of nuclear factor -κB (NF-κB), and thus, warranted further study to evaluate its potential as a “therapeutic agent for inflammation-associated maladies” [169]. Aminin and colleagues assessed the anti-inflammatory pharmacology of the triterpene glycoside cucumarioside A2-2 (145) isolated from the Russian edible sea cucumber Cucumaria japonica by demonstrating that this compound potently interacted with P2X purinergic receptors, in particular P2X4, on mature macrophage membranes and enhanced reversible ATP-dependent Ca2+ signaling thus leading to “activation of cellular immunity” [170]. Ha and colleagues studied the anti-inflammatory effects of a known curvularin-type metabolite (146) derived from an Antarctic Ross Sea sponge-derived fungus Penicillium sp. SF-5850 that potently inhibited LPS-induced RAW264.7 macrophages production of pro-inflammatory NO and PGE2 as well as the expression of iNOS and COX-2 by inhibition of the NF-κB, a “transcriptional factor(s) involved in inflammation-related disorders” [171]. Ciaglia and colleagues characterized the anti-inflammatory effects of the terpenoid 9,11-dihydrogracilin A (147) isolated from the Antarctic marine sponge Dendrilla membranosa and observed that, in human peripheral blood mononuclear cells, in vitro, it downregulated NF-κB as well as inhibition of IL-10, while in vivo it significantly attenuated mouse ear edema and inflammation, thus supporting the use of this compound “in inflammatory cutaneous diseases [172]. Jiao and colleagues investigated the “terpene-polyketide-pyridine hybrid” dysivillosin A (148) isolated from the South China Sea marine sponge Dysidea villosa that inhibited RBL-2H3 mast cell release of β-hexosaminidase, a marker of degranulation, as well as pro-inflammatory leukotriene B4 and IL-4 by suppressing the IgE/Syk signaling pathway, thus suggesting a “new chemotherapeutic scaffold targeting Syk-associated allergy” [173]. Su and colleagues extended the pharmacology of the known antimicrobial peptide epinecidin-1 (149) isolated from the orange-spotted grouper Epinephelus coioides by showing that its anti-inflamatory activity resulted from degradation of the Toll-like receptor signaling adaptor protein MyD88 in RAW 264.7 mouse macrophages and concomitant activation of the Smurf E3 ligase proteasome degradation pathway [174]. Lin and colleagues continued the evaluation of the terpenoid excavatolide (150) isolated from the Taiwanese gorgonia coral Briareum excavatum, observing that it inhibited LPS-induced osteoclast-like cell formation and tartrate-resistant acid phosphatase (TRAP) expression, in vitro, while also significantly reducing paw oedema and TRAP-positive multinucleated cell formation in two rat models of experimental arthritis [175]. Several studies extended the anti-inflammatory mechanisms of the marine carotenoid fucoxanthin (151) isolated from the edible brown alga Undaria pinnatifida: Choe and colleagues reported that fucoxanthin inhibited paw edema in an experimental in vivo model of inflammation by reducing activation of iNOS, COX-2 and NF-κB [176]; Grassa-López and colleagues observed that fucoxanthin ameliorated lipogenesis, decreased insulin resistance as well as biomarkers of both inflammation and cardiovascular disfunction in an experimental rat obesity model [177]; Sugiura and colleagues determined that in vitro fucoxanthin suppressed PLA2 and COX-2 expression in a rat basophilic leukemia-2H3 cells, while in vivo inhibiting PLA2, COX-2 and hyaluronidase in several ICR mouse ear models of inflammation [178]; Taira and colleagues observed that concentration-dependent cytoprotection or apoptosis in RAW264.7 macrophage cells by the carotenoids fucoxanthinol and fucoxanthin resulted from activation of the Nrf2-ARE signaling pathway [179]. Sintsova and colleagues characterized a novel Kunitz-type peptide (152) isolated from the sea anemone Heteractis crispa that significantly decreased intracellular Ca2+ in histamine-treated murine bone marrow-derived macrophages thus suggesting the involvement of “H1-type histamine receptor blockage” in the anti-inflammatory mechanism of action of this peptide [180]. Hong and colleagues determined that the diterpenoid hipposponlachnin B (153) isolated from the South China Sea marine sponge Hippospongia lachne decreased production of β-hexosaminidase, a degranulation biomarker and pro-inflammatory mediators IL-4 and LTB4 by RBL-2H3 cells, suggesting a possible therapeutic use for “the treatment of allergy” [181]. Kozuma and colleagues isolated new cyclic peptides ogipeptins A-D (154–157) from the culture broth of the Japanese marine Gram-negative bacterium Pseudoalteromonas sp. SANK 71903 that blocked the binding of LPS to the cluster of differentiation 14 (CD14) in vitro and decreased TNF-α release by human U937 monocytic cells, concluding that these peptides could be developed for use “as anti-LPS drugs against LPS-associated diseases” [182]. Kwon and colleagues reported a new anthranilic acid derivative oscarellin (158) isolated from a Philippine sponge Oscarella stillans that strongly inhibited LPS-induced TNF-αand IL-6 production in murine macrophage RAW 264.7 macrophages by a mechanism “associated with inactivation of c-Jun NH2-terminal kinase (JNK), extracellular signal-regulated kinase (ERK), activator protein-1 (AP-1), and NF-κB and activation of activating transcription factor-3 (ATF-3)” [183]. Kim and colleagues observed that the novel alkaloid pseudane-VII (159) isolated from the marine bacterium Pseudolateromonas sp. M2 modulated release of pro-inflammatory mediators (NO, IL-1β and IL-6) by LPS-treated RAW 264.7 murine macrophage cell line in vitro via inhibition of “MAPK phosphorylation and NF-κB translocation”, while in vivo treatment with this compound suppressed production of IL-1β and iNOS expression, suggesting “pseudane VII has potential as treatment for inflammatory responses and diseases” [184].
In contrast, for marine compounds (160–192) shown in Table 2 and Figure 2, only the anti-inflammatory activity (IC50) was reported, no molecular mechanism of action was reported at the time of publication: A new eremophilane-sesquiterpene acremeremophilane B (160) isolated from a South Atlantic deep sea (2869 m)-sediment derived fungus Acremonium sp. [185]; two new quinoline alkaloids actinoquinolines A and B (161, 162) isolated from a Californian marine-derived Streptomyces sp. strain CNP975 [186]; a new polyhydroxysteroidal glycoside anthenoside O (163) isolated from the tropical South China Sea starfish Anthenea aspera [187]; a new polyketide aurasperone C (164), isolated from a South China Sea brown alga Sargassum sp.-derived Aspergillus niger SCSIO Jcsw6F30 [188]; two new 9-hydroxybriarane diterpenoids briarenolides ZII and ZVI (167, 168) isolated from the Taiwanese gorgonian coral Briareum sp. [190]; a known eremophilane sesquiterpene dihydrobipolaroxin (169) isolated from a South China Sea deep (2439 m) marine sediment-derived Aspergillus sp. SCSIOW2 [191]; a known alkaloid echinulin (170) isolated from an Antarctic Ross Sea “unidentified” marine organism-derived Aspergillus sp. SF-5976 [192]; a novel halogenated 5α-iodozoanthenamine (171) isolated from the colorful Taiwanese zoanthid Zoanthus kuroshio [193]; two novel steroids klyflaccisteroid J and K (172, 173) isolated from the Taiwanese soft coral Klyxum flaccidum [194,195]; a known lobane diterpenoid (174) isolated from a Taiwanese soft coral Lobophytum varium [196]; two new bioactive steroids petasitosterones B and C (175, 176) isolated from the Taiwanese soft coral Umbellulifera petasites [197]; two new sterols (177, 178) [198], and novel 9,11-secosterols pinnigorgiol A (179) [199], pinnigorgiol E (180) [200], pinnisterol A (181) [201] and pinnisterol H (182) [202] isolated from the Taiwanese gorgonian coral Pinnigorgia sp.; a new pyrrole oligoglycoside plancipyrroside B (183) isolated from an extract of the Vietnamese starfish Acanthaster planci [203]; a novel steroidal glycoside protolinckioside A (184) isolated from an Arabian sea starfish Protoreaster lincki [204]; a known terpenoid sarcophytonolide O (185) isolated from the Chinese soft coral Lobophytum crassum [205]; two novel norcembranoids sinulerectols A and B (186, 187) isolated from South China Sea soft coral Sinularia erecta [206]; a known terpenoid sinubrasolide A (188) and the steroid sinubrasone D (189) isolated from the Taiwanese “cultivation pool” soft coral Sinularia brassica [207,208]; and the novel diterpenes uprolides N, O and P (190–192) isolated from the Panamanian octocoral Eunicea succinea [209].
3.3. Marine Compounds with Activity on the Immune System
In 2016–2017, the preclinical pharmacology of marine compounds that were reported to affect the immune system is shown in Table 2 and Figure 2. The molecular mechanism of action of marine natural products that affected the immune system (145, 193–199) was described in seven papers which used several in vitro and in vivo models. Pislyagin and colleagues reported that the triterpene glycoside cucumarioside A2-2 (145) isolated from the Far Eastern sea cucumber Cucumaria japonica caused changes in mouse spleen morphology, proliferative activity “predominantly in B-cells” and macrophage activation in mouse spleen, concomitant with increase in IL-1β, iNOs, ROS and NO production [210,211]. Sánchez and colleagues investigated three terpenoids gracillin A, H and L (193–195) isolated from the marine sponge Spongionella gracillis that inhibited human T lymphocyte IL-2 production, as well as CD147 expression by reducing calcineurin phosphatase activity, thus concluding that gracilins are a “valuable option for synthetic drug development” [212,213]. Kicha and colleagues determined the immunomodulatory effects of the mycosporine-like amino acids (MAA) shinorine and porphyra-334 (196, 197) isolated from the red alga Porphyra sp. and reported they both induced NF-κB activity and moderated tryptophan metabolism in human myelomonocytic cell line THP-1, thus recommending “a more detailed risk-benefit assessment” before MAA are used “in daily care products” [214]. Chung and colleagues studied the cembrane-type diterpenoid sinulariolide (198), isolated from the Taiwanese cultured soft coral Sinularia flexibilis and observed suppression of LPS-phenotypic maturation, cytokine and NO production and co-stimulatory molecule expression of murine bone marrow-derived dendritic cells, as well as signaling pathways, concluding “that sinulariolide may be utilized in the treatment of autoimmune andinflammatory disorders” [215]. Gao and colleagues determined significant effects of several peptides (199) isolated from Indian Ocean deep (1654 m) sediment-derived actinomycete Williamsia sp. MCCC 1A11233 on both IgE-sensitized RBL-2H3 mast cell histamine and proinflammatory cytokine release, and a murine model of passive cutaneous anaphylaxis, thus observing that “the three compounds have the potential to prevent or treat IgE-sensitized allergic disorders” [216].
In contrast, for the marine compounds (200–205) listed in Table 2 and depicted in Figure 2, only the immune bioactivity (IC50) was reported, but no molecular mechanism of action had been described by the time of publication: A novel dimeric nitrophenyl trans-epoxyamide chrysamide C (200) produced by a Indian Ocean deep (3386 m) sediment-derived fungus Penicillium chrysogenum SCSIO41001 [217]; a new dimeric macrolide xylopyranoside cocosolide (201) isolated from the Guamanian marine cyanobacterium Symploca sp. [218]; a new N-acyl dopamine glycoside myxillin A (202) isolated from the Icelandic hydrothermal vent-derived sponge Myxilla incrustans [219]; the known steroidal saponin pectinioside A (203) isolated from the starfish Patiria pectinifera [220]; a new benzophenone polyketide peniphenone (204) obtained from the mangrove Sonneratia apetala endophytic fungus Penicillium sp. ZJ-SY2 [221]; and a known analog of the antimycin-type depsipeptide somalimycin, named USF-19A (205) isolated from the South China Sea deep (3536 m) sediment-derived Streptomyces somaliensis SCSIO ZH66 [222].
3.4. Marine Compounds Affecting the Nervous System
As shown in Table 2 and Figure 2, in 2016–2017, the preclinical nervous system pharmacology of marine compounds (206–225) reported several mechanisms of action involving potassium (K+) channels, nicotinic acetylcholine, calcium (Ca2+) and serotonin receptors, as well as in vivo models of antinociception and neuroprotection.
Five marine compounds were shown to bind K+ channels (206, 207), calcium channels (208), nicotinic acetylcholine receptors (nACHR) (209) and serotonin receptor 5-HT7 (218). Moreels and colleagues electrophysiologically demonstrated that the novel peptide APETx4 (206) isolated from the marine sea anemone Anthopleura elegantissima inhibited the K+ channel Kv10.1 by keeping it in a closed state and thus, because the Kv10.1 is overexpressed in a human tumors, APETx4 could become a “scaffold for design and synthesis of more potent and safer anticancer drugs” [223]. Goda and colleagues conducted detailed studies that determined that the marine xanthophyll carotenoid astaxanthin (207) reversed the toxicity of the calcium-dependent Maxi-K (BK) K+ channel antagonist food mycotoxin penitrem A (PA) “by restoring normal levels of the targeted neurotransmitters” both in Schwann cells CRL-2765 in vitro and in both the nematode Caenorhabditis elegans and rat in vivo models thus concluding astaxanthin might be useful “for in vivo prevention of PA-induced brain toxicity [224]. Mendez and colleagues investigated the marine guanidine alkaloid crambrescidin 816 (208) produced by the Mediterranean sponge Crambe crambe and known to block voltage dependent L-type Ca2+ channels, and observed that cytotoxicity was concomitant with an increase of cytosolic Ca2+ in a primary culture of cortical neurons by a mechanism that “was mediated by both NMDA and AMPA glutamate receptor subtypes” activation [225]. Jiang and colleagues discovered a novel O-conotoxin GeXXVIIA linear peptide (209) from the venom of the South China sea cone snail Conus generalis that potently inhibited the human α9α10 nicotinic acetylcholine receptor (nACh), a nAChR receptor expressed in both the nervous system, as well as in other non-neuronal cells, by a non-competitive and voltage-independent mechanism. The data suggest that this new inhibitor “would facilitate unraveling the functions of this nAChR subtype” [226]. Uchimasu and colleagues reported a novel guanidine alkaloid mellpaladine A (218) isolated from a Palauan Didemnidae tunicate that modulated mice behavioral profiles after an intracerebroventricular injection with particular selectivity for the serotonin receptor 5-HT7, thus, supporting the notion that “marine alkaloids are unique…source of neuroactive compounds” [239].
Two additional studies extended the pharmacology of conopeptides (210–211). Bernáldez and colleagues discovered a novel 25-mer peptide member of the γ-conotoxin family PiVIIA (210) in the venom of the Mexican marine snail Conus princepts that increased Ca2+ currents in dorsal root ganglion neurons without affecting the Na+, K+ or acid sensing ionic channel currents, further studies being proposed to “define its potential use as a positive modulator of neuronal activity” [227]. Brust and colleagues identified a previously uncharacterized nine amino acid conorphin-T (211) from a Conus textile venom peptide library with selectivity for κ-opioid receptors (KOR) that led to the development of several novel KOR agonists, which potently inhibited splanchnic colonic nociceptors, thus, becoming promising leads “for the development of irritable bowel syndrome treatments” [228].
One study contributed to nociceptive pharmacology. Logashina and colleagues reported that the novel peptide Ms 9a-1 (219), isolated from the venom of the sea anemone Metridium senile, produced significant analgesic and anti-inflammatory effects in a murine thermal hyperalgesia model by a mechanism that potentiated the response of transient receptor potential ankyrin-repeat 1 receptor (TRPA1) and was followed by loss of TRPA1-expressing neurons [240].
The neuroprotective activity of marine compounds (151, 212, 214, 216, 220, 223, 225) was reported in ten studies. Three studies reported on the neuroprotective pharmacology of the marine carotenoid fucoxanthin (151) isolated from several brown algae: Undaria pinnatifida, Ecklonia stolonifera and Sargassum horneri: Jung and colleagues studied β-site amyloid precursor protein cleaving enzyme 1 (BACE-1), which is strongly correlated with Alzheimer’s disease, and observed that fucoxanthin inhibited BACE1 activity exhibiting mixed-type inhibition in vitro, while molecular docking simulations showed that two fucoxanthin hydroxyl groups interacted with two BACE1 residues (Gly11 and Ala127), mechanistic studies that suggest fucoxanthin “may be a good template for anti-AD drugs” [232]. Lin and colleagues demonstrated that in mice fucoxanthin reversed scopolamine-induced cognitive impairments by inhibiting brain acetylcholinesterase by a non-competitive mechanism, as well as increasing choline acetyltransferase activity and brain-derived neurotrophic factor (BDNF) expression in hippocampus and cortex. The studies appear to anticipate fucoxanthin’s “therapeutic efficacy for the treatment of AD by acting on multiple targets” [233]. Zhang and colleagues discovered that fucoxanthin provided neuroprotection in an experimental murine model of traumatic brain injury (TBI), “a major public health problem” by alleviating TBI-induced secondary brain injury, cerebral edema and lesions, while also demonstrating that it attenuated TBI-induced apoptosis and oxidative stress “at least partly” via regulation of the nuclear factor erythroid 2-related factor (Nrf2)-antioxidant-response element (ARE) and Nrf2-autophagy pathways, thus, making fucoxanthin “an attractive therapeutic agent in the treatment of TBI in the future” [234]. Two studies were reported by the same research group describing the neuroprotective and anti-inflammatory effects of the cembranolide analog 11-dehydrosinulariolide (11-de) (212) isolated from the soft coral Sinularia flexibilis: Feng and colleagues observed that 11-de increased the expression of BDNF in a neuroblastoma cell line in vitro and had a protective effect in both an in vivo zebrafish and rat Parkinson’s disease model, results that the investigators hoped would “help treat patients diagnosed with Parkinson’s disease” [229]. Chen and colleagues reported that 11-de improved the functional recovery in a rat thoracic spinal cord contusion injury experimental model with an antiapoptotic and anti-inflammatory mechanism that attenuated iNOS and TNF-α, thus, proposing “this compound may be a promising therapeutic agent for spinal cord injury” [230]. Fang and colleagues showed that a new cyclopentenone 5-hydroxycyclopenicillone (214) isolated from a culture of the marine sponge Hymeniacidon perleve-derived fungus Trichoderma sp. HPQJ-34 acted as a moderate free radical scavenger, and had anti-Aβ fibrillization and neuroprotective properties, concluding that this compound “might be of interest to neuropharmacology research and anti-AD drug discovery programs” [235]. Alonso and colleagues evaluated the pyrroloiminoquinone makaluvamine J (216), isolated from a Fijian marine sponge Zyzzya sp. and showed that it “provided full neuroprotection”, as it potently reduced mitochondrial damage by reactive oxygen species, as well as improved endogenous glutathione and catalase in mouse and human neuronal models, thus, potentially contributing to “antioxidant therapies in neurodegenerative diseases” [237]. Kim and colleagues found that the phlorotannin phlorofucofuroeckol (220) isolated from the brown seaweed Ecklonia cava, increased cell viability in glutamate-treated rat adrenal phaeochromocytoma PC12 cells by inhibiting apoptotic cell death as well as mitochondrial reactive oxygen species generation, results, which taken together, suggest PFF may be developed as “ a neuroprotective agent in ischemic stroke” [241]. Perni and colleagues discovered that the aminosterol squalamine (223) isolated from the dogfish shark Squalus acanthias displaced the “intrinsically disordered” protein α-synuclein, associated with Parkinsons’s disease, from lipid vesicles and membranes by competitively binding at the surfaces, as well as suppressed muscle paralysis in a nematode worm Caenorhabditis elegans strain oversexpressing α-synuclein, suggesting squalamine “could be a means for a therapeutic intervention in Parkinsons’s disease” [244]. Pan and colleagues extended the pharmacology of xyloketal B (225) isolated from the mangrove fungus Xylaria sp. by investigating effects of xyloketal in an adult mice stroke model, observing that pre- and post-treatment treatment reduced both brain infarct volume and the generation of ROS and pro-inflammatory cytokines by suppression of ROS/TLR4/NF-κB inflammatory signaling pathway, thus providing evidence for “potential application of xyloketal B in stroke therapy” [246].
As shown in Table 2, five marine compounds were shown to modulate other molecular targets, i.e., the acetylcholinesterases (213, 217, 224), endogenous transient receptor potential canonical type 1 channel (TRPC1) (215), human monoamine oxidase B enzyme (221), and prolonged synaptic transmission (222). Botic Lee and colleagues discovered that the brominated alkaloid discorhabdin G (213) isolated from the Antarctic Latrunculia biformis sponge inhibited electric eel and human acetylcholinesterases by a reversible and competitive mechanism, observations that could potentially lead to new Alzheimer’s disease “cholinesterase inhibitors based on the scaffold of discorhabdins” [231]. Adelhameed and colleagues reported the isolation and structure elucidation of a new phytoceramide MEC-1-4 (217) from the Egyptian Red Sea sponge Mycale euplectellioides that moderately inhibited acetylcholinesterase by interacting with the enzyme “via hydrogen bonding, hydrophobic contacts and hydrophilic-hydrophobic interactions”, thus suggesting MEC-1-4 might become a “valuable lead compound for AD management” [238]. Moodie and colleagues evaluated the known brominated phenethylamine derivative stryphnusin (224) isolated from the Norwegian sponge Stryphus fortis that moderately inhibited electric eel acetylcholinesterase by a reversible competitive mechanism and with no effect on muscle function or neuromuscular transmission thus contributing to novel and promising approaches for “symptomatic treatment of AD” [245]. Flores and colleagues investigated the marine polyether toxin maitotoxin (215) produced by the dinoflagellate Gambierdiscus toxicus that is responsible for ciguatera fish poisoning, demonstrating that its mechanism of action involves activation of the non-voltage-gated cation TRPC1 in X. laevis oocytes and thus proposing this toxin as a “useful tool for further studies of TRPC1 channels” [236]. Lee and colleagues reported that the polyketide piloquinone (221) isolated from a Californian marine sediment-derived Streptomyces sp. CNQ-027 potently inhibited recombinant human monoamine oxidase B enzyme considered a “target in AD and Parkinson’s disease”, by a competitive and reversible mechanism which highlighted the importance of the “ester functionality in the ring system for bioactivity”, thus possibly becoming “a new potential lead compound for the development of MAO inhibitors” [242]. Caplan and colleagues extended the pharmacology of the marine diterpene glycoside pseudopterosin A (222) isolated from the Bahamanian gorgonian soft coral Pseudopterogorgia elisabethae by demonstrating it prolonged synaptic transmission in an experimental oxidative stress model, as well as extensively distributed in murine brain, findings that suggested a “potential as a novel neuromodulatory agent” [243].
Finally, and as shown in Table 2, several marine compounds (226–234) affected the nervous system, but their detailed molecular mechanisms of action remained undetermined at the time of publication: a novel Indonesian Aplysinellidae sponge-derived bromotyrosine araplysillin X (226) that inhibited the aspartic protease BACE1 involved in AD [247]; a novel Panamanian marine cyanobacterium cf. Symploca sp.-derived terpene caracolamide A (227) with in vitro calcium influx and calcium channel oscillation modulatory activity [248]; a Mexican marine cone snail Conus spurius peptide conorfamide-Sr3 (228) shown to block Shaker subtype voltage-gated potassium channels [249]; a new conopeptide contryphan-Bt (229) isolated from the South China Sea cone snail Conus betulinus shown to be neurotoxic to mice [250]; acetylcholinesterase inhibitory activity in two know meroterpenoids, dehydroaustin (230) isolated from the Chinese mangrove endophytic fungus Aspergillus sp. 16-5c [251], and terreulactone C (233) isolated from the South China Sea mangrove-derived endophytic fungus Penicillium sp. SK5GW1L [254]; a known alkaloid hymenidin (231), originally isolated from the Caribbean marine sponge Agelas citrina that inhibited voltage-gated potassium channels [252]; a neuroprotective and known bromotyrosine alkaloid psammaplysene A (232) originally isolated from the marine sponge Psammaplysilla sp. [253]; and inhibition of α9α10 nicotinic acetylcholine receptor by turripeptide (234) isolated from the Philippine marine gastropod Unedogemmula bisaya venom [255].
4. Marine Compounds with Miscellaneous Mechanisms of Action
Further 2016–2017 preclinical pharmacology for marine compounds (49, 51) as well as that of 79 compounds (235–313) with miscellaneous mechanisms of action is shown in Table 3, with their corresponding structures, presented in Figure 3. Given that, at the time of publication, a comprehensive pharmacological characterization of these compounds remained unavailable, their assignment to a particular drug class will probably require further investigation into their molecular mechanism of action.
Table 3 presents not only the pharmacological activity (an IC50), but also the molecular mechanism of action of the following marine natural compounds: Fungus Acremonium sp. (F9A015) polyketide acredinone C (235) [256]; algal terpenoid astaxanthin (207) [257]; sponge Axinyssa sp. bisabolene sesquiterpene (236) [258]; sponge Carteriospongia sp. scalarane sesterterpenoid (237) [259]; fungus Aspergillus ungui NKH-007 depsidone 7-chlorofolipastatin (238) [260]; sponge Acanthostrongylophora ingens halogenated alkaloid chloromethylhalicyclamine B (239) [261]; cyanobacterium Leptolyngbya sp. depsipeptide coibamide A (240) [262]; sponge Theonella aff. swinhoei cyclic peptide cyclotheonellazole A (241) [263]; bacterium SNA-024 N6,N6-dimethyladenosine (242) [264]; gorgonian Briareum excavatum briarane-type diterpene excavatolide B (150) [265]; brown algae Undaria pinnatifida, Ecklonia stolonifera and/or Sargassum horneri marine carotenoid fucoxanthin (51) [266]; sponge Phorbas sp. diterpenoid gagunin D (243) [267]; bacterium Bacillus sp. strain SCO-147 (-)-4-hydroxysattabacin (244) [268]; cyanobacteria Lyngbya majuscula and Tolypothrix sp. γ-pyrone kalkipyrone (245) [269]; sponge Stylissacarteri sp. alkaloid latonduine A (246) [270]; sponge Negombata sp. alkaloid latrunculin A (247) [271]; bacterium Streptomyces sp. polyketide nahuoic acid A (248) [272]; bacterium Streptomyces sp. YP127 napyradiomycin A1 (49) [273]; sponge Leucetta microraphis alkaloid leucettamine B-related synthetic analogue polyandrocarpamine A (249) [274]; sponge Cacospongia sp. terpenoid scalaradial (250) [275]; fungus Stachybotrys sp. KCB13F013 meroterpenoid stachybotrysin (251) [276]; soft coral Clavularia sp. terpenoid stolonidiol (252) [277]; cyanobacterium Lyngbya sp. peptide tasiamide F (253) [278]; sponge Theonella sp. cyclic peptide theonellamide A (254) [279]; fungus Penicillium sp. HL-85-ALS5-R004 polyketide toluquinol (255) [280]; fungus Penicillium janthinellum alkaloid N-Me-trichodermamide B (256) [281]; gorgonian-derived fungus Aspergillus versicolor cyclopeptides versicotides D-F (257–259) [282]; sponges Ircinia and Spongia spp. furanoterpene (7E, 12E, 20Z, 18S)-variabilin (260) [283]; and fungus Xylaria sp. terpenoid xyloketal B (225) [284].
Also presented in Table 3 is the pharmacological activity (IC50 for enzyme or receptor inhibition) of marine-derived compounds (261–313), although their respective mechanisms of action remained undetermined and will require further investigation: sponge Aaptos aaptos alkaloid 9-methoxyaaptamine (261) [285]; mangrove-derived fungus Ascomycota sp. SK2YWS-L polyketide ascomindone A (262) [286]; mudflat-derived fungus Aspergillus niger polyketide aurasperone B (263) [287]; alga-derived fungi Penicillium thomii and Penicillium lividum meroterpenoid austalide H acid ethyl ester (264) [288]; fungus Biscogniauxia mediterranea peptide biscogniauxone (265) [289]; fungus Aspergillus ustus sesterpenoid cerebroside D (266) [290]; sponge Spongia ceylonensis diterpene ceylonin A (267) [291]; sponge-derived fungus Stachybotrys chartarum sesquiterpene chartarene D (268) [292]; sponge-associated fungus Talaromyces stipitatus KUFA 0207 anthraquinone citreorosein (269) [293]; fungus Aspergillus sp. SCSIOW3 polyketide cordyol (270) [294]; fungus Chaetomium cristatum dioxopiperazine alkaloid cristazine (271) [295]; sponge-associated fungus Emericella variecolor polyketides diasteltoxins A-C (272–274) [296]; sponge Latrunculia sp. pyrroloiminoquinone alkaloid discorhabdin L (275) [297]; sponge Dysidea sp. polybrominated diphenyl ether 3,4,5-tribromo-2-(2′,4′-dibromophenoxy)-phenol (276) [298]; sponge Dysidea sp. tetracyclic meroterpene dysiherbol A (277) [299]; sand dollar Scaphechinus mirabilis aminonaphthoquinone echinamine B (278) [300]; sponge derived fungus Stachylidium sp. tetrapeptide endolide B (279) [301]; mangrove-derived fungus Eurotium rubrum MA-150 (±)-europhenol A (280) [302]; sponge Fascaplysinopsis sp. bis-indole alkaloid fascaplysin (281) [303]; nudibranch Jorunna funebris tetrahydroisoquinolinequinone alkaloid fennebricin A (282) [304]; sponge Petrosia sp. depsipeptide halicylindramide A (283) [305]; sponge Halichondria cf. panicea polyacetylene isopetrosynol (284) [306]; cyanobacterium Leptolyngbya sp. macrolide polyketide leptolyngbyolide B (285) [307]; ascidian Lissoclinum mandelai macrocyclic polyketide mandelalide C (286) [308]; sponge Hyrtios digitatus tetracyclic merosesquiterpene 19-methoxy-9,15-ene-puupehenol (287) [309]; sponge Monanchora pulchra cyclic guanidine alkaloid monanchomycalin B (288) [310]; sponge Plakortis simplex polyketide monotriajaponide A (289) [311]; sponge Mycale lissochela terpenoid mycalenitrile-15 (290) [312]; sponge Hyrtios sp. meroterpenoid nakijinol G (291) [313]; sponge Theonella swinhoei cyclic pentapeptide nazumazole D (292) [314]; fungus Aspergillus sp. LF660 benzocoumarin polyketide pannorin (293) [315]; fungus Alternaria sp. NH-F6 polyketides perylenequinones (294, 295) [316]; sponge Petrosia alfiani xestoquinone derivatives petroquinones A and B (296, 297) [317]; fungus Peyronellaea glomerata isocoumarin derivatives peyroisocoumarins B and D (298, 299) [318]; fungus Phoma sp. NTOU4195 polyketide phomaketide A (300) [319]; ascidian Sidnyum elegans phosphorylated polyketide phosphoeleganin (301) [320]; soft coral Pseudopterogorgia rigida sesquiterpenes (302, 303) [321]; sponge Spongia ceylonensis diterpene ent-13-norisocopalen-15-al-18-oic acid (304) [322]; bryozoan Schizomavella mamillata 5-alkylresorcinol derivatives schizols A and B (305, 306) [323]; fungus Stachybotrys longispora FG216 isoindolinone derivatives FGFC6 and FGFC7 (307, 308) [324]; sponge Spongia pertusa Esper sesquiterpene (309) [325]; sponge Psammocinia sp. furanosesterterpene tetronic acid sulawesin A (310) [326]; cyanobacterium Okeania sp. cyclic depsipeptide urumamide (311) [327]; gorgonian-derived fungus Aspergillus versicolor LZD-14-1 alkaloid versiquinazoline B (312) [328]; and sponge Xestospongia testudinaria new bioactive steroidal ketone (313) [329].
Table 3.
Marine pharmacology in 2016–2017: marine compounds with miscellaneous mechanisms of action.
Table 3.
Marine pharmacology in 2016–2017: marine compounds with miscellaneous mechanisms of action.
| Compound/Organism a | Chemistry | Pharmacological Activity | IC50 b | MMOA c | Country d | References |
|---|---|---|---|---|---|---|
| acredinone C (235)/fungus | Polyketide e | Osteoclast differentiation induction inhibition | 10 μM * | NFATc1 transcription inhibition | S. KOR | [256] |
| astaxanthin (207)/shrimp | Terpenoid f | Hepatic stellate cell activation inhibition | 10 μM * | Decreased ROS and NOX2 expression reduction | USA | [257] |
| Axinyssa sp. bisabolene (236)/sponge | Terpenoid f | PTP1B inhibition | 1.9 μM | Akt phosphorylation | JPN | [258] |
| Carteriospongia sp. terpenoid (237)/sponge | Terpenoid f | Apoptosis induction | 0.06 μg/mL * | Topoisomerase IIα and Hsp90 inhibition | EGY, SWE, TWN | [259] |
| 7-chlorofolipastatin (238)/fungus | Polyketide e | Macrophage SOAT 1 inhibition | 6.8 μM | SOAT 1 and 2 inhibition in vitro | JPN | [260] |
| chloromethylhalicyclamine B (239)/sponge | Alkaloid g | Protein kinase CK1δ/ε inhibition | 6 μM | ATP-binding site docking | FRA, ITA, NLD | [261] |
| coibamide A (240)/cyanobacterium | Peptide f | VEGFA secretion inhibition | <5 nM | Antiangiogenic properties | USA | [262] |
| cyclotheonellazole A (241)/sponge | Peptide f | chymotrypsin and elastase inhibition | 0.034–0.62 nM | Enzyme S2 subsite binding | BEL, ISR, NLD | [263] |
| N6,N6-dimethyladenosine (242)/bacterium | Alkaloid g | AKT phosphorylation inhibition | 5 μM * | S473 site inhibition | USA | [264] |
| excavatolide B (150)/soft coral | Terpenoid f | Modulation of atrial myocytes | 10 μM * | Ca2+ homeostasis modulation | TWN | [265] |
| fucoxanthin (51)/alga | Terpenoid f | Lung fibrosis attenuation | 10 mg/kg *** | Type 1 collagen expression decrease | S. KOR | [266] |
| gagunin D (243)/sponge | Terpenoid f | Melanin synthesis inhibition | 12.7 µM | Tyrosinase expression inhibition | S. KOR | [267] |
| (−)-4-hydroxysattabacin (244)/bacterium | Polyketide e | Melanin synthesis inhibition | 25 μg/mL * | Tyrosinase, TRP-1 and TRP-2 expression inhibition | S. KOR | [268] |
| kalkipyrone (245)/cyanobacterium | Polyketide e | Adipose tissue suppression | 5 mg/kg *** | Enhance LA plasma levels | JPN | [269] |
| latonduine A (246)/sponge | Alkaloid g | CTFR inhibition | 62 nM | PARP isozymes inhibition | CAN, GBR | [270] |
| latrunculin A (247)/sponge | Alkaloid g | ECFC tube inhibition | 0.043 µM | Specific kinases inhibition | USA | [271] |
| nahuoic acid (248)/bacterium | Polyketide e | SETD8 inhibition | 6.5 µM | Competitive inhibition of SAM binding | CAN, PNG | [272] |
| napyradiomycin A1 (49)/bacterium | Terpenoid f | Angiogenesis inhibition | 10 µM | VE-cadherin inhibition | S. KOR | [273] |
| polyandrocarpamine A (249)/sponge | Alkaloid g | DYRK and CLK selective inhibition | 0.17–0.93 µM | Cyclin D1 phosphorylation inhibition | AUS, BRA, DEU, FRA | [274] |
| scalaradial (250)/sponge | Terpenoid f | TRPM2 ion channel inhibition | 0.2 µM | Lack of PLA2 inhibition | JPN, NZL, USA | [275] |
| stachybotrysin (251)/fungus | Terpenoid f | Osteoclast differentiation inhibition | 5 μg/mL * | MAPK kinase pathway inhibition | JPN, S. KOR | [276] |
| stolonidiol (252)/soft coral | Terpenoid f | PKCα membrane translocation | 5 µM * | Increased ChAT activity | USA | [277] |
| tasiamide F (253)/cyanobacterium | Peptide g | Cathepsin D and E inhibition | 23–57 nM | Docking studies completed | USA | [278] |
| theonellamide A (254)/sponge | Peptide g | Bilipid membrane disruption | 20 µM * | Binding to sterols | JPN | [279] |
| toluquinol (255)/fungus | Polyketide e | Lymphangiogenesis inhibition | 6.2 µM | Suppression of Akt and ERK ½ phosphorylation | BEL | [280] |
| N-Me-trichodermamide B (256)/fungus | Alkaloid g | H2O2 oxidative damage inhibition | 5 µM * | Nrf2-signaling regulation | CHN | [281] |
| versicotides D–F (257–259)/fungus | Peptide g | Foam cell formation inhibition | 10 µM * | Cholesterol influx inhibition | CHN | [282] |
| variabilin (260)/sponge | Terpenoid f | PTP1B inhibition | 1.5 μM | TCPTP inhibition | IND, JPN | [283] |
| xyloketal B (225)/fungus | Terpenoid f | NAFLD attenuation | 5 mg/kg *** | SREBP-1c expression inhibition | CHN | [284] |
| 9-methoxyaaptamine (261)/sponge | Alkaloid g | PPRE activation | 0.039 μg/mL * | Undetermined | IDN, MYS | [285] |
| ascomindone A (262)/fungus | Polyketide e | DPPH radical scavenging inhibition | 18.1 μM | Undetermined | CHN | [286] |
| aurasperone B (263)/fungus | Polyketide e | DPPH radical scavenging inhibition | 0.01 μM | Undetermined | S. KOR | [287] |
| austalide H acid ethy ester (264)/ fungus | Terpenoid f | Endo-1,3-β-D-glucanase inhibition | 0.2 μM | Undetermined | RUS | [288] |
| B. mediterranea cyclopentapeptide (265)/fungus | Peptide g | GSK-3β inhibition | 8.04 μM | Undetermined | CHN, DEU | [289] |
| cerebroside (266)/fungus | Polyketide e | Spermatozoa inhibition | 8 μM | Undetermined | RUS | [290] |
| ceylonin A (267)/sponge | Terpenoid f | Osteoclast inhibition | <50 μM * | Undetermined | NLD, JPN | |
| chartarene D (268)/fungus | Terpenoid f | Tyrosine kinases inhibition | 0.1–0.8 μM | Undetermined | CHN, DEU | [292] |
| citreorosein (269)/fungus | Polyketide e | Anti-obesity activity | 0.17 μM | Undetermined | GBR, PRT, THAI | [293] |
| cordyol C (270)/fungus | Polyketide e | Erythrocyte biomembrane protection | 4.9 μM | Undetermined | CHN | [294] |
| cristazine (271)/fungus | Alkaloid g | DHHP radical scavenging | 19 μM | Undetermined | S. KOR | [295] |
| diasteltoxins A–C (272–274)/fungus | Polyketide e | Thioredoxin reductase inhibition | 7.2–12.8 μM | Undetermined | CHN, DEU | [296] |
| discorhabdin L (275)/sponge | Alkaloid g | HIF-1α transcription inhibition | 0.73 μM | Undetermined | NZL, USA | [297] |
| Dysidea sp. diphenyl ether (276)/sponge | Polyketide e | Mitochondrial complex II inhibition | 6.4 nM | Undetermined | JPN | [298] |
| dysiherbol A (277)/sponge | Terpenoid f | NF-κB inhibition | 0.49 μM | Undetermined | AUS, CHN | [299] |
| echinamine B (278)/sea urchin | Polyketide e | DHHP radical scavenging | 6.5 μM | Undetermined | RUS | [300] |
| endolide B (279)/fungus | Peptide g | Serotonin receptor 5HT2b inhibition | 0.77 μM ** | Undetermined | DEU | [301] |
| europhenol A (280)/fungus | Polyketide e | DHHP radical scavenging | 1.23 μg/mL | Undetermined | CHN, HUN | [302] |
| fascaplysin (281)/sponge | Alkaloid g | P-glycoprotein induction | 1 μM * | Undetermined | IDN | [303] |
| fennebricin A (282)/nudibranch | Alkaloid g | NF-κB inhibition | 1 μM | Undetermined | CHN, HUN | [304] |
| halicylindramide A(283)/sponge | Peptide g | FXR receptor inhibition | 0.5 μM | Undetermined | AUS, S.KOR | [305] |
| isopetrosynol (284)/sponge | Polyketide e | PTP1B inhibition | 8.2 μM | Undetermined | IDN, JPN | [306] |
| leptolyngbyolide B (285)/ cyanobacterium | Polyketide e | F-actin depolymerization | 11.6 μM | Undetermined | JPN | [307] |
| mandelalide C (286)/ascidian | Polyketide e | Mitochondrial complex V inhibition | 3.4 μM | Undetermined | USA | [308] |
| 19-methoxy-9,15-ene-puupehenol (287)/sponge | Terpenoid f | SR-B1 receptor activation | 1.78 μM | Undetermined | AUS, MYS | [309] |
| monanchomycalin B (288)/sponge | Alkaloid g | TRPV1, 2 and 3 receptor inhibition | 2.8–6.0 μM | Undetermined | RUS, S. KOR | [310] |
| monotriajaponide A (289)/sponge | Polyketide e | PPAR-α and -β activation | 12.5 μM * | Undetermined | CHN, ITA, USA | [311] |
| mycalenitrile-15 (290)/sponge | Terpenoid f | PTP1B inhibition | 8.6 μM * | Undetermined | CHN, ITA | [312] |
| nakijinol G (291)/sponge | Terpenoid f | PTP1B inhibition | 4.8 μM | Undetermined | CHN | [313] |
| nazumazole D (292)/sponge | Peptide g | chymotrypsin activity inhibition | 2 μM | Undetermined | JPN | [314] |
| pannorin (293)/fungus | Polyketide e | GSK-3β inhibition | 0.35 µM | Undetermined | DEU | [315] |
| perylenequinones (294, 295)/fungus | Polyketide e | BRD4 protein inhibition | 10 μM * | Undetermined | CHN | [316] |
| petroquinones A and B (296, 297)/sponge | Polyketide e | USP7 inhibition | 0.13–2.0 μM | Undetermined | IND, JPN, NLD | [317] |
| peyroisocoumarins B and D (298, 299)/fungus | Polyketide e | ARE expression induction | 10 μM * | Undetermined | CHN, DEU | [318] |
| phomaketide A (300)/fungus | Polyketide e | Angiogenesis inhibition | 8.1 μM | Undetermined | TWN | [319] |
| phosphoeleganin (301)/ascidian | Polyketide e | PTP1B inhibition | 11 μM | Undetermined | CHN, ITA | [320] |
| P. rigida sesquiterpenes (302, 303)/soft coral | Terpenoid f | CDC25 phosphatases | 12–3.4 μM | Undetermined | GRC, FRA | [321] |
| S. ceylonensis diterpene (304)/sponge | Terpenoid f | USP7 inhibition | 8.2 µM | Undetermined | EGY, JPN | [322] |
| schizols A and B (305, 306)/bryozoa | Polyketide e | ABTS cation radical inhibition | 6.2–7.6 µM | Undetermined | ESP | [323] |
| S. longispora isoindolinones (307, 308)/fungus | Alkaloid g | Fibrinolytic activity | 25 μg/mL * | Undetermined | CHN | [324] |
| S. pertusa quinone (309)/sponge | Terpenoid f | CDK-2 inhibition | 4.8 µM ** | Undetermined | CHN | [325] |
| sulawesin A (310)/sponge | Terpenoid f | USP7 inhibition | 2.8 μM | Undetermined | EGY, IDN, JPN, NLD | [326] |
| urumamide (311)/cyanobacterium | Peptide g | Chymotrypsin inhibition | 33 μM | Undetermined | JPN | [327] |
| versiquinazoline B (312)/fungus | Alkaloid g | Thioredoxin reductase inhibition | 12 µM | Undetermined | CHN, DEU | [328] |
| X. testudinaria steroidal ketone (313)/ sponge | Terpenoid f | PTP1B inhibition | 4.27 μM | Undetermined | CHN | [329] |
a Organism, Kingdom Animalia: shrimp (Phylum Arthropoda); bryozoan (Phylum Bryozoa); ascidian (Phylum Chordata), hydroids, soft corals (Phylum Cnidaria), sea urchin (Phylum Echinodermata), sponge (Phylum Porifera); Kingdom Fungi: fungus; Kingdom Plantae: alga; Kingdom Monera: bacterium; b IC50: concentration of a compound required for 50% inhibition in vitro; *: estimated IC50; ** Kd: equilibrium constant ratio of forward and reverse constants; Ki: concentration needed to reduce the activity of an enzyme by half.*** in vivo study; c MMOA: molecular mechanism of action; d Country: AUS: Australia; BEL: Belgium; BRA: Brazil; CAN: Canada; CHN: China; DEU: Germany; EGY: Egypt; FRA: France; ESP: Spain; GBR: United Kingdom; GRC: Greece; HUN: Hungary; IDN: Indonesia; ISR: Israel; ITA: Italy; JPN: Japan; MYS: Malaysia; NLD: The Netherlands; NZL: New Zealand; PNG: Papua New Guinea; PRT: Portugal; RUS: Russian Federation; S. KOR: South Korea; SWE: Sweden; THAI: Thailand; TWN: Taiwan; Chemistry: e Polyketide; f Terpene; g Nitrogen-containing compound; Abbreviations: ABTS: 2,2′-azinobis(3-ethylbenzothiazoline-6-sulphonic acid); Akt: protein kinase B; ARE: antioxidant response element; BRD4: bromodomain-containing protein 4; CDK: cyclin-dependent kinase; ChAT: choline acetyltansferase; CTFR: cystic fibrosis transmembrane conductance regulator; CLK: cdc2-like kinases; DDYRK: dual-specificity, tyrosine phosphorylation regulated kinase; DPPH: α, α-diphenyl-β-picrylhydrazyl; ECFC: endothelial colony-forming cell; ERK: extracellular signal-regulated kinase; FXR: farnesoid X receptor; GSK-3β: glycogen synthase kinase 3; Hsp90: heat shock protein 90; MAPK: mitogen-activated protein kinase; NAFLD: nonalcoholic fatty liver disease; NFATc1: nuclear factor of activated T cells, cytoplasmic 1; NF-κB: nuclear factor kappa-light-chain-enhancer of activated B cells; NO: nitric oxide; NOX2: NADPH oxidase 2; Nrf2:nuclear factor-erythroid 2-related factor 2; PARP: poly-ADP ribose polymerase; PKC: protein kinase C; PPAR: peroxisome proliferator-activated receptor; PTP1B: protein tyrosine phosphatase 1B; PPRE: peroxisome proliferator activated receptor response element; ROS: reactive oxygen species; SERCA2A: SR Ca2+ ATPase 2A; SETD8: lysine histone methyltransferase 5A; SOAT: sterol O-acyltransferase; SREBP-1c: sterol regulatory element-binding protein-1c;TLR5: Toll-like receptor 5; TCPTP: T-cell protein tyrosine phosphatase;TRP: tyrosinase-related protein; TRPM2: melastatin-like transient receptor potential ion channel; USP7: ubiquitin-specific protease 7; VEGF: vascular endothelial growth factor.








Figure 3.
Marine pharmacology in 2016–2017: Marine compounds with miscellaneous mechanisms of action.
Figure 3.
Marine pharmacology in 2016–2017: Marine compounds with miscellaneous mechanisms of action.









5. Reviews on Marine Pharmacology and Pharmaceuticals
In 2016–2017 several reviews covered general and/or specific areas of marine preclinical pharmacology: (a) marine pharmacology and marine pharmaceuticals: new marine natural products and relevant biological activities published in 2016 and 2017 [330,331]; chemistry and biology of guanidine natural products [332,333]; biological properties of secondary metabolites from sea hares of Aplysia genus [334]; alkynyl-containing peptides of marine cyanobacteria and molluscs [335]; bioactive cyanobacterial secondary metabolites for health [336]; biological active metabolites from marine-derived myxobacteria [337]; antimicrobial metabolites from the marine bacteria genus Pseudoalteromonas [338]; marine natural products from marine-derived Penicillium fungi [339]; biological activity of secondary metabolites from marine-algal-derived endophytic fungi [340]; pharmacological potential of fucosterol from marine algae [341]; pharmacological activities of Antarctic marine natural products [342]; bioactive acetylated triterpene glycosides from Holothuroidea in the past six decades [343]; terpenoids from octocorals of the genus Pachyclavularia [344]; bioactive marine natural products from sponges of the genus Hyrtios [345]; secondary metabolites from the marine sponge genus Phyllospongia [346]; discovery strategies of bioactive compounds synthetized by nonribosomal peptide synthetases and type-1 polyketide synthase derived from marine microbiomes [347]; developing natural product drugs: supply problems and how they have been overcome [348]; the global marine pharmaceutical pipeline in 2020: U.S. Food and Drug Administration-approved compounds and those in Phase I, II and III of clinical development http://marinepharmacology.midwestern.edu/clinPipeline.htm; (b) antimicrobial marine pharmacology: antimycobacterial metabolites from marine invertebrates [349]; antimicrobials from cnidarians [350]; (c) antiprotozoal and antimalarial marine pharmacology: natural products in drug discovery against neglected tropical diseases [351]; antimycobacterial natural products from marine Pseudopterogorgia elisabethae [352]; (d) immuno- and anti-inflammatory marine pharmacology: marine natural products inhibitors of neutrophil-associated inflammation [353]; (e) cardiovascular and antidiabetic marine pharmacology: bioactive components from fish for dyslipidemia and cardiovascular risk reduction [354]; (f) nervous system marine pharmacology: marine natural products from sponges with neuroprotective activity [355]; a transcriptomic survey of ion channel-based conotoxin in the Chinese cone snail Conus betulinus [356]; dinoflagellate cyclic imine toxins as potent antagonists of nicotinic acetylcholine receptors [357]; inhibition of nociception and pain transmission by analgesic conopeptides ion channel inhibition by targeting G protein-coupled receptors [358]; (g) miscellaneous molecular targets and uses: ichthyotoxicity evaluation of marine natural products [359]; pharmacological potential of non-ribosomal peptides from marine sponges and tunicates [360]; aeroplysinin-1 as a multi-targeted bioactive sponge-derived natural product [361]; therapeutic potential of the phycotoxin yessotoxin [362], and new modalities for challenging drug targets in pharmaceutical discovery [363].
6. Conclusions
This marine pharmacology 2016–2017 review is the eleventh contribution to the marine preclinical pharmacology pipeline review series that was initiated by Alejandro M. S. Mayer (AMSM) in 1998 [1,2,3,4,5,6,7,8,9,10], with the aim of providing a systematic overview of selected peer-reviewed preclinical marine pharmacological literature. The global preclinical marine pharmacology research highlighted in this review involved chemists and pharmacologists from 54 countries, a remarkable increase from our last review, namely: Australia, Austria, Bangladesh, Belgium, Brazil, Canada, China, Costa Rica, Croatia, Cuba, Denmark, Egypt, Fiji, France, Germany, Greece, Hungary, Iceland, India, Indonesia, Ireland, Israel, Italy, Japan, Jordan, Kazakhstan, Malaysia, Mexico, Morocco, Myanmar, the Netherlands, Nigeria, New Zealand, Norway, Oman, Panama, Papua New Guinea, Philippines, Poland, Portugal, Russian Federation, Saudi Arabia, Serbia, Slovenia, South Korea, Spain, Sweden, Switzerland, Taiwan, Thailand, Turkey, United Kingdom, United States and Vietnam. Thus, during 2016–2017 the marine preclinical pharmaceutical pipeline continued to provide novel pharmacology and potential new leads for the marine clinical pharmaceutical pipeline. As shown at the marine preclinical and clinical pharmaceutical pipeline website: https://www.midwestern.edu/departments/marinepharmacology.xml there are currently 13 marine-derived pharmaceuticals approved by the U.S. Food and Drug Administration and 1 by Australia, and more than 23 marine-derived compounds in Phases I, II and III of global clinical pharmaceutical development.
Author Contributions
Marine pharmacology review conceptualization, A.M.S.M.; 2016–2017 literature analysis and investigation, A.M.S.M. and Aimee J. Guerrero (A.J.G.); writing—original draft preparation, A.M.S.M., A.J.G., Abimael Rodríguez (A.D.R.), Orazio Taglialatela-Scafati (O.T.-S.), Nobuhiro Fusetani (N.F.) and Fumiaki Nakamura (F.N.); writing—review and editing, A.M.S.M., A.J.G., A.D.R., O.T.-S., N.F. and F.N. All authors have read and agreed to the published version of the manuscript.
Funding
We acknowledge financial support from Midwestern University to AMSM; and NIH-SC1 Award (Grant 1SC1GM086271-01A1) of the University of Puerto Rico to ADR, and a grant from Regione Campania-POR Campania FESR 2014/2020 “Combattere la resistenza tumorale: piattaforma integrata multidisciplinare per un approccio tecnologico innovativo alle oncoterapie-Campania Oncoterapie” (Project N. B61G18000470007) to OTS. The content of this review is solely the responsibility of the authors and does not necessarily represent the official views of the NIH.
Acknowledgments
We thank the contributions of Kelly Le, Pharm. D., Jefferson Trieu, Pharm. D., Linda Huang, Pharm. D from the Chicago College of Pharmacy, Midwestern University for 2016–2017 literature retrieval, and Colleen Bannon, Midwestern University Library, for Endnote database assistance. We particularly wish to acknowledge Mary Hall’s tireless and careful review of the pharmacology data presented in 940 peer-reviewed articles retrieved from the global marine preclinical pharmacology 2016–2017 literature. We are grateful for the secretarial assistance of Victoria Sears and Laura Phelps, Pharmacology Department, College of Graduate Studies.
Conflicts of Interest
The authors declare no conflict of interest.
References
- Mayer, A.M.S.; Lehmann, V.K.B. Marine pharmacology in 1998: Marine compounds with antibacterial, anticoagulant, antifungal, anti-inflammatory, anthelmintic, antiplatelet, antiprotozoal, and antiviral activities; with actions on the cardiovascular, endocrine, immune, and nervous systems; and other miscellaneous mechanisms of action. Pharmacologist 2000, 42, 62–69. [Google Scholar]
- Mayer, A.M.; Hamann, M.T. Marine pharmacology in 1999: Compounds with antibacterial, anticoagulant, antifungal, anthelmintic, anti-inflammatory, antiplatelet, antiprotozoal and antiviral activities affecting the cardiovascular, endocrine, immune and nervous systems, and other miscellaneous mechanisms of action. Comp. Biochem. Physiol. Part C Pharmacol. Toxicol. Endocrinol. 2002, 132, 315–339. [Google Scholar]
- Mayer, A.M.S.; Hamann, M.T. Marine pharmacology in 2000: Marine compounds with antibacterial, anticoagulant, antifungal, anti-inflammatory, antimalarial, antiplatelet, antituberculosis, and antiviral activities; affecting the cardiovascular, immune, and nervous systems and other miscellaneous mechanisms of action. Mar. Biotechnol. 2004, 6, 37–52. [Google Scholar]
- Mayer, A.M.; Hamann, M.T. Marine pharmacology in 2001–2002: Marine compounds with anthelmintic, antibacterial, anticoagulant, antidiabetic, antifungal, anti-inflammatory, antimalarial, antiplatelet, antiprotozoal, antituberculosis, and antiviral activities; affecting the cardiovascular, immune and nervous systems and other miscellaneous mechanisms of action. Comp. Biochem. Phys. C Toxicol. Pharmacol. 2005, 140, 265–286. [Google Scholar]
- Mayer, A.M.; Rodriguez, A.D.; Berlinck, R.G.; Hamann, M.T. Marine pharmacology in 2003–2004: Marine compounds with anthelmintic antibacterial, anticoagulant, antifungal, anti-inflammatory, antimalarial, antiplatelet, antiprotozoal, antituberculosis, and antiviral activities; affecting the cardiovascular, immune and nervous systems, and other miscellaneous mechanisms of action. Comp. Biochem. Phys. C Toxicol. Pharmacol. 2007, 145, 553–581. [Google Scholar]
- Mayer, A.M.; Rodriguez, A.D.; Berlinck, R.G.; Hamann, M.T. Marine pharmacology in 2005–2006: Marine compounds with anthelmintic, antibacterial, anticoagulant, antifungal, anti-inflammatory, antimalarial, antiprotozoal, antituberculosis, and antiviral activities; affecting the cardiovascular, immune and nervous systems, and other miscellaneous mechanisms of action. Biochim. Biophys. Acta 2009, 1790, 283–308. [Google Scholar]
- Mayer, A.M.; Rodriguez, A.D.; Berlinck, R.G.; Fusetani, N. Marine pharmacology in 2007–2008: Marine compounds with antibacterial, anticoagulant, antifungal, anti-inflammatory, antimalarial, antiprotozoal, antituberculosis, and antiviral activities; affecting the immune and nervous system, and other miscellaneous mechanisms of action. Comp. Biochem. Phys. C Toxicol. Pharmacol. 2011, 153, 191–222. [Google Scholar]
- Mayer, A.M.; Rodriguez, A.D.; Taglialatela-Scafati, O.; Fusetani, N. Marine Pharmacology in 2009–2011: Marine Compounds with Antibacterial, Antidiabetic, Antifungal, Anti-Inflammatory, Antiprotozoal, Antituberculosis, and Antiviral Activities; Affecting the Immune and Nervous Systems, and other Miscellaneous Mechanisms of Action. Mar. Drugs 2013, 11, 2510–2573. [Google Scholar]
- Mayer, A.M.S.; Rodriguez, A.D.; Taglialatela-Scafati, O.; Fusetani, N. Marine Pharmacology in 2012–2013: Marine Compounds with Antibacterial, Antidiabetic, Antifungal, Anti-Inflammatory, Antiprotozoal, Antituberculosis, and Antiviral Activities; Affecting the Immune and Nervous Systems, and Other Miscellaneous Mechanisms of Action. Mar. Drugs 2017, 15, 273. [Google Scholar]
- Mayer, A.M.S.; Guerrero, A.J.; Rodriguez, A.D.; Taglialatela-Scafati, O.; Nakamura, F.; Fusetani, N. Marine Pharmacology in 2014–2015: Marine Compounds with Antibacterial, Antidiabetic, Antifungal, Anti-Inflammatory, Antiprotozoal, Antituberculosis, Antiviral, and Anthelmintic Activities; Affecting the Immune and Nervous Systems, and Other Miscellaneous Mechanisms of Action. Mar. Drugs 2019, 18, 5. [Google Scholar]
- Schmitz, F.J.; Bowden, B.F.; Toth, S.I. Antitumor and Cytotoxic Compounds from Marine Organisms. In Marine Biotechnology, Pharmaceutical and Bioactive Natural Products; Attaway, D.H., Zaborsky, O.R., Eds.; Plenum Press: New York, NY, USA; London, UK, 1993; Volume 1, pp. 197–308. [Google Scholar]
- Beesoo, R.; Bhagooli, R.; Neergheen-Bhujun, V.S.; Li, W.W.; Kagansky, A.; Bahorun, T. Antibacterial and antibiotic potentiating activities of tropical marine sponge extracts. Comp. Biochem. Phys. C Toxicol. Pharmacol. 2017, 196, 81–90. [Google Scholar] [CrossRef] [PubMed]
- Fernando, I.P.S.; Sanjeewa, K.K.A.; Kim, H.S.; Kim, S.Y.; Lee, S.H.; Lee, W.W.; Jeon, Y.J. Identification of sterols from the soft coral Dendronephthya gigantea and their anti-inflammatory potential. Environ. Toxicol. Pharmacol. 2017, 55, 37–43. [Google Scholar] [CrossRef] [PubMed]
- Joseph, F.R.S.; Iniyan, A.M.; Vincent, S.G.P. HR-LC-MS based analysis of two antibacterial metabolites from a marine sponge symbiont Streptomyces pharmamarensis ICN40. Microb. Pathog. 2017, 111, 450–457. [Google Scholar] [CrossRef]
- Al-Amoudi, S.; Essack, M.; Simoes, M.F.; Bougouffa, S.; Soloviev, I.; Archer, J.A.; Lafi, F.F.; Bajic, V.B. Bioprospecting Red Sea Coastal Ecosystems for Culturable Microorganisms and Their Antimicrobial Potential. Mar. Drugs 2016, 14, 165. [Google Scholar] [CrossRef] [PubMed]
- Iniguez-Martinez, A.M.; Cardoso-Martinez, F.; de la Rosa, J.M.; Cueto, M.; Diaz-Marrero, A.R.; Darias, J.; Becerril-Espinosa, A.; Plata-Rosas, L.; Soria-Mercado, I.E. Compounds isolated from Salinispora arenicola of the Gulf of California, Mexico. Rev. Biol. Mar. Oceanogr. 2016, 51, 161–170. [Google Scholar] [CrossRef]
- Mayer, A.M.; Murphy, J.; MacAdam, D.; Osterbauer, C.; Baseer, I.; Hall, M.L.; Feher, D.; Williams, P. Classical and Alternative Activation of Cyanobacterium Oscillatoria sp. Lipopolysaccharide-Treated Rat Microglia in vitro. Toxicol. Sci. 2016, 149, 484–495. [Google Scholar] [CrossRef]
- Swanson-Mungerson, M.; Incrocci, R.; Subramaniam, V.; Williams, P.; Hall, M.L.; Mayer, A.M.S. Effects of cyanobacteria Oscillatoria sp. lipopolysaccharide on B cell activation and Toll-like receptor 4 signaling. Toxicol. Lett. 2017, 275, 101–107. [Google Scholar] [CrossRef]
- Di, X.; Oskarsson, J.T.; Omarsdottir, S.; Freysdottir, J.; Hardardottir, I. Lipophilic fractions from the marine sponge Halichondria sitiens decrease secretion of pro-inflammatory cytokines by dendritic cells and decrease their ability to induce a Th1 type response by allogeneic CD4+ T cells. Pharm. Biol. 2017, 55, 2116–2122. [Google Scholar] [CrossRef]
- Cheng, C.; Othman, E.M.; Reimer, A.; Grune, M.; Kozjak-Pavlovic, V.; Stopper, H.; Hentschel, U.; Abdelmohsen, U.R. Ageloline A, new antioxidant and antichlamydial quinolone from the marine sponge-derived bacterium Streptomyces sp. SBT345. Tetrahedrom Lett. 2016, 57, 2786–2789. [Google Scholar] [CrossRef]
- Davison, J.R.; Lohith, K.M.; Wang, X.; Bobyk, K.; Mandadapu, S.R.; Lee, S.L.; Cencic, R.; Nelson, J.; Simpkins, S.; Frank, K.M.; et al. A New Natural Product Analog of Blasticidin S Reveals Cellular Uptake Facilitated by the NorA Multidrug Transporter. Antimicrob. Agents Chemother. 2017, 61. [Google Scholar] [CrossRef]
- Le, N.T.; Niemann, H.; Proksch, P.; Tait, K.; Linossier, I.; Rehel, K.; Hellio, C.; Fay, F. Sponge-Inspired Dibromohemibastadin Prevents and Disrupts Bacterial Biofilms without Toxicity. Mar. Drugs 2017, 15. [Google Scholar] [CrossRef]
- Wyche, T.P.; Alvarenga, R.F.R.; Piotrowski, J.S.; Duster, M.N.; Warrack, S.R.; Cornilescu, G.; De Wolfe, T.J.; Hou, Y.; Braun, D.R.; Ellis, G.A.; et al. Chemical Genomics, Structure Elucidation, and in Vivo Studies of the Marine-Derived Anticlostridial Ecteinamycin. ACS Chem. Biol. 2017, 12, 222. [Google Scholar] [CrossRef] [PubMed]
- Tseng, S.P.; Hung, W.C.; Huang, C.Y.; Lin, Y.S.; Chan, M.Y.; Lu, P.L.; Lin, L.; Sheu, J.H. 5-Episinuleptolide Decreases the Expression of the Extracellular Matrix in Early Biofilm Formation of Multi-Drug Resistant Acinetobacter baumannii. Mar. Drugs 2016, 14, 143. [Google Scholar] [CrossRef] [PubMed]
- Solstad, R.G.; Li, C.; Isaksson, J.; Johansen, J.; Svenson, J.; Stensvag, K.; Haug, T. Novel Antimicrobial Peptides EeCentrocins 1, 2 and EeStrongylocin 2 from the Edible Sea Urchin Echinus esculentus Have 6-Br-Trp Post-Translational Modifications. PLoS ONE 2016, 11, e0151820. [Google Scholar] [CrossRef]
- Sung, A.A.; Gromek, S.M.; Balunas, M.J. Upregulation and Identification of Antibiotic Activity of a Marine-Derived Streptomyces sp. via Co-Cultures with Human Pathogens. Mar. Drugs 2017, 15, 250. [Google Scholar] [CrossRef]
- Adnani, N.; Chevrette, M.G.; Adibhatla, S.N.; Zhang, F.; Yu, Q.; Braun, D.R.; Nelson, J.; Simpkins, S.W.; McDonald, B.R.; Myers, C.L.; et al. Coculture of Marine Invertebrate-Associated Bacteria and Interdisciplinary Technologies Enable Biosynthesis and Discovery of a New Antibiotic, Keyicin. ACS Chem. Biol. 2017, 12, 3093–3102. [Google Scholar] [CrossRef]
- Mokhlesi, A.; Stuhldreier, F.; Wex, K.W.; Berscheid, A.; Hartmann, R.; Rehberg, N.; Sureechatchaiyan, P.; Chaidir, C.; Kassack, M.U.; Kalscheuer, R.; et al. Cyclic Cystine-Bridged Peptides from the Marine Sponge Clathria basilana Induce Apoptosis in Tumor Cells and Depolarize the Bacterial Cytoplasmic Membrane. J. Nat. Prod. 2017, 80, 2941–2952. [Google Scholar] [CrossRef]
- Leoni, G.; De, P.A.; Mardirossian, M.; Gambato, S.; Florian, F.; Venier, P.; Wilson, D.N.; Tossi, A.; Pallavicini, A.; Gerdol, M. Myticalins: A Novel Multigenic Family of Linear, Cationic Antimicrobial Peptides from Marine Mussels (Mytilus spp.). Mar. Drugs 2017, 15, 261. [Google Scholar] [CrossRef]
- Costantino, V.; Della, S.G.; Saurav, K.; Teta, R.; Bar-Shalom, R.; Mangoni, A.; Steindler, L. Plakofuranolactone as a Quorum Quenching Agent from the Indonesian Sponge Plakortis cf. lita. Mar. Drugs 2017, 15, 59. [Google Scholar] [CrossRef]
- Lee, B.C.; Lee, A.; Jung, J.H.; Choi, S.H.; Kim, T.S. In vitro and in vivo anti-Vibrio vulnificus activity of psammaplin A, a natural marine compound. Mol. Med. Rep 2016, 14, 2691–2696. [Google Scholar] [CrossRef]
- Song, Y.; Li, Q.; Qin, F.; Sun, C.; Liang, H.; Wei, X.; Wong, N.K.; Ye, L.; Zhang, Y.; Shao, M.; et al. Neoabyssomicins A–C, polycyclic macrolactones from the deep-sea derived Streptomyces koyangensis SCSIO 5802. Tetrahedron 2017, 73, 5366–5372. [Google Scholar] [CrossRef]
- Zhang, X.; Ye, X.; Chai, W.; Lian, X.Y.; Zhang, Z. New Metabolites and Bioactive Actinomycins from Marine-Derived Streptomyces sp. ZZ338. Mar. Drugs 2016, 14, 181. [Google Scholar] [CrossRef] [PubMed]
- Wang, D.; Wang, C.; Gui, P.; Liu, H.; Khalaf, S.M.H.; Elsayed, E.A.; Wadaan, M.A.M.; Hozzein, W.N.; Zhu, W. Identification, Bioactivity, and Productivity of Actinomycins from the Marine-Derived Streptomyces heliomycini. Front. Microbiol. 2017, 8, 1147. [Google Scholar] [CrossRef] [PubMed]
- Balan, S.S.; Kumar, C.G.; Jayalakshmi, S. Aneurinifactin, a new lipopeptide biosurfactant produced by a marine Aneurinibacillus aneurinilyticus SBP-11 isolated from Gulf of Mannar: Purification, characterization and its biological evaluation. Microbiol. Res. 2017, 194, 1–9. [Google Scholar] [CrossRef]
- Li, X.D.; Li, X.M.; Li, X.; Xu, G.M.; Liu, Y.; Wang, B.G. Aspewentins D-H, 20-Nor-isopimarane Derivatives from the Deep Sea Sediment-Derived Fungus Aspergillus wentii SD-310. J. Nat. Prod. 2016, 79, 1347–1353. [Google Scholar] [CrossRef]
- Chakraborty, K.; Thilakan, B.; Raola, V.K. Antimicrobial polyketide furanoterpenoids from seaweed-associated heterotrophic bacterium Bacillus subtilis MTCC 10403. Phytochemistry 2017, 142, 112–125. [Google Scholar] [CrossRef]
- Huang, H.; Liu, T.; Wu, X.; Guo, J.; Lan, X.; Zhu, Q.; Zheng, X.; Zhang, K. A new antibacterial chromone derivative from mangrove-derived fungus Penicillium aculeatum (No. 9EB). Nat. Prod. Res. 2017, 31, 2593–2598. [Google Scholar] [CrossRef]
- Tareq, F.S.; Shin, H.J. Bacilotetrins A and B, Anti-Staphylococcal Cyclic-Lipotetrapeptides from a Marine-Derived Bacillus subtilis. J. Nat. Prod. 2017, 80, 2889–2892. [Google Scholar] [CrossRef]
- Brana, A.F.; Sarmiento-Vizcaino, A.; Perez-Victoria, I.; Otero, L.; Fernandez, J.; Palacios, J.J.; Martin, J.; de la Cruz, M.; Diaz, C.; Vicente, F.; et al. Branimycins B and C, Antibiotics Produced by the Abyssal Actinobacterium Pseudonocardia carboxydivorans M-227. J. Nat. Prod. 2017, 80, 569–573. [Google Scholar] [CrossRef]
- Meng, L.H.; Wang, C.Y.; Mandi, A.; Li, X.M.; Hu, X.Y.; Kassack, M.U.; Kurtan, T.; Wang, B.G. Three Diketopiperazine Alkaloids with Spirocyclic Skeletons and One Bisthiodiketopiperazine Derivative from the Mangrove-Derived Endophytic Fungus Penicillium brocae MA-231. Org. Lett. 2016, 18, 5304–5307. [Google Scholar] [CrossRef]
- Wang, W.; Kim, H.; Patil, R.S.; Giri, A.G.; Won, D.H.; Hahn, D.; Sung, Y.; Lee, J.; Choi, H.; Nam, S.J.; et al. Cadiolides J-M, antibacterial polyphenyl butenolides from the Korean tunicate Pseudodistoma antinboja. Bioorg. Med. Chem. Lett. 2017, 27, 574–577. [Google Scholar] [CrossRef] [PubMed]
- Park, S.R.; Tripathi, A.; Wu, J.; Schultz, P.J.; Yim, I.; McQuade, T.J.; Yu, F.; Arevang, C.J.; Mensah, A.Y.; Tamayo-Castillo, G.; et al. Discovery of cahuitamycins as biofilm inhibitors derived from a convergent biosynthetic pathway. Nat. Commun. 2016, 7, 10710. [Google Scholar] [CrossRef] [PubMed]
- Wang, C.X.; Ding, R.; Jiang, S.T.; Tang, J.S.; Hu, D.; Chen, G.D.; Lin, F.; Hong, K.; Yao, X.S.; Gao, H. Aldgamycins J-O, 16-Membered Macrolides with a Branched Octose Unit from Streptomycetes sp. and Their Antibacterial Activities. J. Nat. Prod. 2016, 79, 2446–2454. [Google Scholar] [CrossRef] [PubMed]
- Jiang, S.; Zhang, L.; Pei, X.; Deng, F.; Hu, D.; Chen, G.; Wang, C.; Hong, K.; Yao, X.; Gao, A.H. Chalcomycins from Marine-Derived Streptomyces sp. and Their Antimicrobial Activities. Mar. Drugs 2017, 15, 153. [Google Scholar] [CrossRef] [PubMed]
- Liu, H.; Li, X.M.; Liu, Y.; Zhang, P.; Wang, J.N.; Wang, B.G. Chermesins A-D: Meroterpenoids with a Drimane-Type Spirosesquiterpene Skeleton from the Marine Algal-Derived Endophytic Fungus Penicillium chermesinum EN-480. J. Nat. Prod. 2016, 79, 806–811. [Google Scholar] [CrossRef] [PubMed]
- Chen, S.; Chen, D.; Cai, R.; Cui, H.; Long, Y.; Lu, Y.; Li, C.; She, Z. Cytotoxic and Antibacterial Preussomerins from the Mangrove Endophytic Fungus Lasiodiplodia theobromae ZJ-HQ1. J. Nat. Prod. 2016, 79, 2397–2402. [Google Scholar] [CrossRef]
- Lee, J.H.; Kim, E.; Choi, H.; Lee, J. Collismycin C from the Micronesian Marine Bacterium Streptomyces sp. MC025 Inhibits Staphylococcus aureus Biofilm Formation. Mar. Drugs 2017, 15, 387. [Google Scholar] [CrossRef]
- Wu, B.; Wiese, J.; Wenzel-Storjohann, A.; Malien, S.; Schmaljohann, R.; Imhoff, J.F. Engyodontochones, Antibiotic Polyketides from the Marine Fungus Engyodontium album Strain LF069. Chemistry 2016, 22, 7452–7462. [Google Scholar] [CrossRef]
- Li, H.L.; Li, X.M.; Li, X.; Wang, C.Y.; Liu, H.; Kassack, M.U.; Meng, L.H.; Wang, B.G. Antioxidant Hydroanthraquinones from the Marine Algal-Derived Endophytic Fungus Talaromyces islandicus EN-501. J. Nat. Prod. 2017, 80, 162–168. [Google Scholar] [CrossRef]
- Nguyen, H.M.; Ito, T.; Kurimoto, S.I.; Ogawa, M.; Win, N.N.; Hung, V.Q.; Nguyen, H.T.; Kubota, T.; Kobayashi, J.; Morita, H. New merosesquiterpenes from a Vietnamese marine sponge of Spongia sp. and their biological activities. Bioorg. Med. Chem. Lett. 2017, 27, 3043–3047. [Google Scholar] [CrossRef]
- Lee, J.; Shin, A.; Lee, H. Isolation and synthesis of luffariellolide derivatives and evaluation of antibacterial activities against gram-negative bacteria. Bull. Korean Chem. Soc. 2017, 38, 804–807. [Google Scholar] [CrossRef]
- Kim, C.K.; Riswanto, R.; Won, T.H.; Kim, H.; Elya, B.; Sim, C.J.; Oh, D.C.; Oh, K.B.; Shin, J. Manzamine Alkaloids from an Acanthostrongylophora sp. Sponge. J. Nat. Prod. 2017, 80, 1575–1583. [Google Scholar] [CrossRef] [PubMed]
- Lacret, R.; Perez-Victoria, I.; Oves-Costales, D.; de la Cruz, M.; Domingo, E.; Martin, J.; Diaz, C.; Vicente, F.; Genilloud, O.; Reyes, F. MDN-0170, a New Napyradiomycin from Streptomyces sp. Strain CA-271078. Mar. Drugs 2016, 14, 188. [Google Scholar] [CrossRef] [PubMed]
- Nenkep, V.; Yun, K.; Son, B.W. Oxysporizoline, an antibacterial polycyclic quinazoline alkaloid from the marine-mudflat-derived fungus Fusarium oxysporum. J. Antibiot. 2016, 69, 709–711. [Google Scholar] [CrossRef] [PubMed]
- Zheng, C.J.; Huang, G.L.; Xu, Y.; Song, X.M.; Yao, J.; Liu, H.; Wang, R.P.; Sun, X.P. A new benzopyrans derivatives from a mangrove-derived fungus Penicillium citrinum from the South China Sea. Nat. Prod. Res. 2016, 30, 821–825. [Google Scholar] [CrossRef]
- Auckloo, B.N.; Pan, C.; Akhter, N.; Wu, B.; Wu, X.; He, S. Stress-Driven Discovery of Novel Cryptic Antibiotics from a Marine Fungus Penicillium sp. BB1122. Front. Microbiol. 2017, 8, 1450. [Google Scholar] [CrossRef]
- Wang, C.F.; Wang, Y.; Zhang, X.L.; Wei, M.Y.; Wang, C.Y.; Shao, C.L. Two Dichlorinated Benzophenone Derivatives from the Soft Coral-Derived Pestalotiopsis sp. Fungus and Their Antibacterial Activity. Chem. Nat. Compd. 2017, 53, 1174–1176. [Google Scholar] [CrossRef]
- Pan, C.; Shi, Y.; Auckloo, B.N.; Hassan, S.S.U.; Akhter, N.; Wang, K.; Ye, Y.; Arthur Chen, C.T.; Tao, X.; Wu, B. Isolation and Antibiotic Screening of Fungi from a Hydrothermal Vent Site and Characterization of Secondary Metabolites from a Penicillium Isolate. Mar. Biotechnol. 2017, 19, 469–479. [Google Scholar] [CrossRef]
- Shi, T.; Qi, J.; Shao, C.L.; Zhao, D.L.; Hou, X.M.; Wang, C.Y. Bioactive Diphenyl Ethers and Isocoumarin Derivatives from a Gorgonian-Derived Fungus Phoma sp. (TA07-1). Mar. Drugs 2017, 15, 146. [Google Scholar] [CrossRef]
- Wang, W.; Liao, Y.; Tang, C.; Huang, X.; Luo, Z.; Chen, J.; Cai, P. Cytotoxic and Antibacterial Compounds from the Coral-Derived Fungus Aspergillus tritici SP2-8-1. Mar. Drugs 2017, 15, 348. [Google Scholar] [CrossRef]
- Tedesco, P.; Maida, I.; Palma, E.F.; Tortorella, E.; Subko, K.; Ezeofor, C.C.; Zhang, Y.; Tabudravu, J.; Jaspars, M.; Fani, R.; et al. Antimicrobial Activity of Monoramnholipids Produced by Bacterial Strains Isolated from the Ross Sea (Antarctica). Mar. Drugs 2016, 14, 83. [Google Scholar] [CrossRef] [PubMed]
- Zhang, X.; Xu, H.Y.; Huang, A.M.; Wang, L.; Wang, Q.; Cao, P.Y.; Yang, P.M. Antibacterial Meroterpenoids from the South China Sea Sponge Dysidea sp. Chem. Pharm. Bull. 2016, 64, 1036–1042. [Google Scholar] [CrossRef] [PubMed]
- Mangamuri, U.; Muvva, V.; Poda, S.; Naragani, K.; Munaganti, R.K.; Chitturi, B.; Yenamandra, V. Bioactive metabolites produced by Streptomyces Cheonanensis VUK-A from Coringa mangrove sediments: Isolation, structure elucidation and bioactivity. 3 Biotech. 2016, 6, 63. [Google Scholar] [CrossRef] [PubMed]
- Williams, D.E.; Dalisay, D.S.; Chen, J.; Polishchuck, E.A.; Patrick, B.O.; Narula, G.; Ko, M.; Av-Gay, Y.; Li, H.; Magarvey, N.; et al. Aminorifamycins and Sporalactams Produced in Culture by a Micromonospora sp. Isolated from a Northeastern-Pacific Marine Sediment Are Potent Antibiotics. Org. Lett. 2017, 19, 766–769. [Google Scholar] [CrossRef] [PubMed]
- Tan, Y.; Hu, Y.; Wang, Q.; Zhou, H.; Wang, Y.; Gan, M. Tetrocarcins N and O, glycosidic spirotetronates from a marine-derived Micromonospora sp. identified by PCR-based screening. RSC Adv. 2016, 6, 91773–91778. [Google Scholar] [CrossRef]
- Gui, C.; Zhang, S.; Zhu, X.; Ding, W.; Huang, H.; Gu, Y.C.; Duan, Y.; Ju, J. Antimicrobial Spirotetronate Metabolites from Marine-Derived Micromonospora harpali SCSIO GJ089. J. Nat. Prod. 2017, 80, 1594–1603. [Google Scholar] [CrossRef]
- Okada, M.; Sugita, T.; Wong, C.P.; Wakimoto, T.; Abe, I. Identification of Pyridinium with Three Indole Moieties as an Antimicrobial Agent. J. Nat. Prod. 2017, 80, 1205–1209. [Google Scholar] [CrossRef]
- Zubair, M.S.; Alarif, W.M.; Al-Footy, K.O.; Ph, M.; Ali, M.; Basaif, S.A.; Al-Lihaibi, S.S.; Ayyad, S.E. New antimicrobial biscembrane hydrocarbon and cembranoid diterpenes from the soft coral Sarcophyton trocheliophorum. Turk. J. Chem. 2016, 40, 385–392. [Google Scholar] [CrossRef]
- Liu, H.B.; Lauro, G.; O’Connor, R.D.; Lohith, K.; Kelly, M.; Colin, P.; Bifulco, G.; Bewley, C.A. Tulongicin, an Antibacterial Tri-Indole Alkaloid from a Deep-Water Topsentia sp. Sponge. J. Nat. Prod. 2017, 80, 2556–2560. [Google Scholar] [CrossRef]
- Hu, Z.; Qin, L.; Wang, Q.; Ding, W.; Chen, Z.; Ma, Z. Angucycline antibiotics and its derivatives from marine-derived actinomycete Streptomyces sp. A6H. Nat. Prod. Res. 2016, 30, 2551–2558. [Google Scholar] [CrossRef]
- Espiritu, R.A. Membrane permeabilizing action of amphidinol 3 and theonellamide A in raft-forming lipid mixtures. Z. Naturforsch. C 2017, 72, 43–48. [Google Scholar] [CrossRef] [PubMed]
- Iwamoto, M.; Sumino, A.; Shimada, E.; Kinoshita, M.; Matsumori, N.; Oiki, S. Channel Formation and Membrane Deformation via Sterol-Aided Polymorphism of Amphidinol 3. Sci. Rep 2017, 7, 10782. [Google Scholar] [CrossRef] [PubMed]
- Pejin, B.; Ciric, A.; Markovic, D.; Tommonaro, G.; Sokovic, M. In vitro avarol does affect the growth of Candida sp. Nat. Prod. Res. 2016, 30, 1956–1960. [Google Scholar] [CrossRef] [PubMed]
- Quezada, M.; Licona-Cassani, C.; Cruz-Morales, P.; Salim, A.A.; Marcellin, E.; Capon, R.J.; Barona-Gomez, F. Diverse Cone-Snail Species Harbor Closely Related Streptomyces Species with Conserved Chemical and Genetic Profiles, Including Polycyclic Tetramic Acid Macrolactams. Front. Microbiol. 2017, 8, 2305. [Google Scholar] [CrossRef] [PubMed]
- Jiao, W.H.; Hong, L.L.; Sun, J.B.; Piao, S.J.; Chen, G.D.; Deng, H.; Wang, S.P.; Yang, F.; Lin, H.W. (±)-Hippolide J—A pair of unusual antifungal enantiomeric sesterterpenoids from the marine sponge Hippospongia lachne. Eur. J. Org. Chem 2017, 2017, 3421–3426. [Google Scholar] [CrossRef]
- Kildgaard, S.; Subko, K.; Phillips, E.; Goidts, V.; de la Cruz, M.; Diaz, C.; Gotfredsen, C.H.; Andersen, B.; Frisvad, J.C.; Nielsen, K.F.; et al. A Dereplication and Bioguided Discovery Approach to Reveal New Compounds from a Marine-Derived Fungus Stilbella fimetaria. Mar. Drugs 2017, 15, 253. [Google Scholar] [CrossRef] [PubMed]
- Son, S.; Ko, S.K.; Jang, M.; Kim, J.W.; Kim, G.S.; Lee, J.K.; Jeon, E.S.; Futamura, Y.; Ryoo, I.J.; Lee, J.S.; et al. New Cyclic Lipopeptides of the Iturin Class Produced by Saltern-Derived Bacillus sp. KCB14S006. Mar. Drugs 2016, 14, 72. [Google Scholar] [CrossRef]
- Okabe, M.; Sugita, T.; Kinoshita, K.; Koyama, K. Macrolides from a Marine-Derived Fungus, Penicillium meleagrinum var. viridiflavum, Showing Synergistic Effects with Fluconazole against Azole-Resistant Candida albicans. J. Nat. Prod. 2016, 79, 1208–1212. [Google Scholar] [CrossRef]
- Jamison, M.T.; Dalisay, D.S.; Molinski, T.F. Peroxide Natural Products from Plakortis zyggompha and the Sponge Association Plakortis halichondrioides-Xestospongia deweerdtae: Antifungal Activity against Cryptococcus gattii. J. Nat. Prod. 2016, 79, 555–563. [Google Scholar] [CrossRef]
- Calabro, K.; Kalahroodi, E.L.; Rodrigues, D.; Diaz, C.; Cruz, M.; Cautain, B.; Laville, R.; Reyes, F.; Perez, T.; Soussi, B.; et al. Poecillastrosides, Steroidal Saponins from the Mediterranean Deep-Sea Sponge Poecillastra compressa (Bowerbank, 1866). Mar. Drugs 2017, 15, 199. [Google Scholar] [CrossRef]
- Aksoy, S.C.; Uzel, A.; Bedir, E. Cytosine-type nucleosides from marine-derived Streptomyces rochei 06CM016. J. Antibiot. 2016, 69, 51–56. [Google Scholar] [CrossRef] [PubMed]
- Yang, F.; Wang, R.P.; Xu, B.; Yu, H.B.; Ma, G.Y.; Wang, G.F.; Dai, S.W.; Zhang, W.; Jiao, W.H.; Song, S.J.; et al. New antimalarial norterpene cyclic peroxides from Xisha Islands sponge Diacarnus megaspinorhabdosa. Bioorg. Med. Chem. Lett. 2016, 26, 2084–2087. [Google Scholar] [CrossRef] [PubMed]
- Almaliti, J.; Malloy, K.L.; Glukhov, E.; Spadafora, C.; Gutierrez, M.; Gerwick, W.H. Dudawalamides A-D, Antiparasitic Cyclic Depsipeptides from the Marine Cyanobacterium Moorea producens. J. Nat. Prod. 2017, 80, 1827–1836. [Google Scholar] [CrossRef] [PubMed]
- Chan, S.T.; Nani, R.R.; Schauer, E.A.; Martin, G.E.; Williamson, R.T.; Sauri, J.; Buevich, A.V.; Schafer, W.A.; Joyce, L.A.; Goey, A.K.; et al. Characterization and Synthesis of Eudistidine C, a Bioactive Marine Alkaloid with an Intriguing Molecular Scaffold. J. Org. Chem. 2016, 81, 10631–10640. [Google Scholar] [CrossRef] [PubMed]
- Buedenbender, L.; Grkovic, T.; Duffy, S.; Kurtboke, D.I.; Avery, V.K.; Carroll, A.R. Naseseazine C, a new anti-plasmodial dimeric diketopiperazine from a marine sediment derived Streptomyces sp. Tetrahedrom Lett. 2016, 57, 5893–5895. [Google Scholar] [CrossRef]
- Wang, J.; Pearce, A.N.; Chan, S.T.; Taylor, R.B.; Page, M.J.; Valentin, A.; Bourguet-Kondracki, M.L.; Dalton, J.P.; Wiles, S.; Copp, B.R. Biologically Active Acetylenic Amino Alcohol and N-Hydroxylated 1,2,3,4-Tetrahydro-beta-carboline Constituents of the New Zealand Ascidian Pseudodistoma opacum. J. Nat. Prod. 2016, 79, 607–610. [Google Scholar] [CrossRef] [PubMed]
- Campos, P.E.; Wolfender, J.L.; Queiroz, E.F.; Marcourt, L.; Al-Mourabit, A.; Frederich, M.; Bordignon, A.; De Voogd, N.; Illien, B.; Gauvin-Bialecki, A. Unguiculin A and Ptilomycalins E-H, Antimalarial Guanidine Alkaloids from the Marine Sponge Monanchora unguiculata. J. Nat. Prod. 2017, 80, 1404–1410. [Google Scholar] [CrossRef]
- White, A.M.; Dao, K.; Vrubliauskas, D.; Konst, Z.A.; Pierens, G.K.; Mandi, A.; Andrews, K.T.; Skinner-Adams, T.S.; Clarke, M.E.; Narbutas, P.T.; et al. Catalyst-Controlled Stereoselective Synthesis Secures the Structure of the Antimalarial Isocyanoterpene Pustulosaisonitrile-1. J. Org. Chem. 2017, 82, 13313–13323. [Google Scholar] [CrossRef]
- Carballeira, N.M.; Montano, N.; Amador, L.A.; Rodriguez, A.D.; Golovko, M.Y.; Golovko, S.A.; Reguera, R.M.; Alvarez-Velilla, R.; Balana-Fouce, R. Novel Very Long-Chain alpha-Methoxylated Delta5,9 Fatty Acids from the Sponge Asteropus niger Are Effective Inhibitors of Topoisomerases IB. Lipids 2016, 51, 245–256. [Google Scholar] [CrossRef]
- Cardoso-Martinez, F.; de la Rosa, J.M.; Diaz-Marrero, A.R.; Darias, J.; D’Croz, L.; Jimenez-Anton, M.D.; Corral, M.J.; Garcia, R.; Alunda, J.M.; Cueto, M. Oxysterols from an octocoral of the genus Gorgonia from the eastern Pacific of Panama. RSC Adv. 2016, 6, 38579–38591. [Google Scholar] [CrossRef]
- Chianese, G.; Silber, J.; Luciano, P.; Merten, C.; Erpenbeck, D.; Topaloglu, B.; Kaiser, M.; Tasdemir, D. Antiprotozoal Linear Furanosesterterpenoids from the Marine Sponge Ircinia oros. J. Nat. Prod. 2017, 80, 2566–2571. [Google Scholar] [CrossRef] [PubMed]
- Ogawa, H.; Iwasaki, A.; Sumimoto, S.; Kanamori, Y.; Ohno, O.; Iwatsuki, M.; Ishiyama, A.; Hokari, R.; Otoguro, K.; Omura, S.; et al. Janadolide, a Cyclic Polyketide-Peptide Hybrid Possessing a tert-Butyl Group from an Okeania sp. Marine Cyanobacterium. J. Nat. Prod. 2016, 79, 1862–1866. [Google Scholar] [CrossRef] [PubMed]
- Notarte, K.; Nakao, Y.; Yaguchi, T.; Bungihan, M.; Suganuma, K.; Delacruz, T. Trypanocidal activity, cytotoxicity and histone modifications induced by malformin A1 isolated from the marine-derived fungus Aspergillus tubingensis IFM 63452. Mycosphere 2017, 8, 111–120. [Google Scholar] [CrossRef]
- Elsayed, Y.; Refaat, J.; Abdelmohsen, U.; Ahmed, S.; Fouad, M. Rhodozepinone, a new antitrypanosomal azepino-diindole alkaloid from the marine sponge-derived bacterium Rhodococcus sp. UA13. Med. Chem. Res. 2017, 26, 2751–2760. [Google Scholar] [CrossRef]
- Arai, M.; Yamano, Y.; Kamiya, K.; Setiawan, A.; Kobayashi, M. Anti-dormant mycobacterial activity and target molecule of melophlins, tetramic acid derivatives isolated from a marine sponge of Melophlus sp. J. Nat. Med. 2016, 70, 467–475. [Google Scholar] [CrossRef] [PubMed]
- Rodrigues, F.C.; Gupta, R.; Geden, S.; Roberts, J.; Winder, P.; Pomponi, S.A.; Diaz, M.C.; Reed, J.K.; Wright, A.E.; Rohde, K.H. Selective Killing of Dormant Mycobacterium tuberculosis by Marine Natural Products. Antimicrob. Agents Chemother. 2017, 61. [Google Scholar] [CrossRef] [PubMed]
- Luo, X.; Zhou, X.; Lin, X.; Qin, X.; Zhang, T.; Wang, J.; Tu, Z.; Yang, B.; Liao, S.; Tian, Y.; et al. Antituberculosis compounds from a deep-sea-derived fungus Aspergillus sp. SCSIO Ind09F01. Nat. Prod. Res. 2017, 31, 1958–1962. [Google Scholar] [CrossRef] [PubMed]
- Huang, P.; Xie, F.; Ren, B.; Wang, Q.; Wang, J.; Wang, Q.; Abdel-Mageed, W.M.; Liu, M.; Han, J.; Oyeleye, A.; et al. Anti-MRSA and anti-TB metabolites from marine-derived Verrucosispora sp. MS100047. Appl. Microbiol. Biotechnol. 2016, 100, 7437–7447. [Google Scholar] [CrossRef]
- Jimenez-Romero, C.; Rode, J.E.; Perez, Y.M.; Franzblau, S.G.; Rodriguez, A.D. Exploring the Sponge Consortium Plakortis symbiotica-Xestospongia deweerdtae as a Potential Source of Antimicrobial Compounds and Probing the Pharmacophore for Antituberculosis Activity of Smenothiazole A by Diverted Total Synthesis. J. Nat. Prod. 2017, 80, 2295–2303. [Google Scholar] [CrossRef]
- Chen, S.; He, L.; Chen, D.; Cai, R.; Long, Y.; Lu, Y.; She, Z. Talaramide A, an unusual alkaloid from the mangrove endophytic fungus Talaromyces sp. (HZ-YX1) as an inhibitor of mycobacterial PknG. New J. Chem. 2017, 41, 4273–4276. [Google Scholar] [CrossRef]
- Kamiya, K.A.; Setiawan, M.; Kobayashi, A.M. Anti-dormant mycobacterial activity of viomellein and xanthomegnin, naphthoquinone dimers produced by marine-derived Aspergillus sp. Nat. Prod. Commun. 2017, 12, 579–581. [Google Scholar] [CrossRef] [PubMed]
- O’Rourke, A.; Kremb, S.; Bader, T.M.; Helfer, M.; Schmitt-Kopplin, P.; Gerwick, W.H.; Brack-Werner, R.; Voolstra, C.R. Alkaloids from the Sponge Stylissa carteri Present Prospective Scaffolds for the Inhibition of Human Immunodeficiency Virus 1 (HIV-1). Mar. Drugs 2016, 14, 28. [Google Scholar] [CrossRef] [PubMed]
- Yamashita, A.; Tamaki, M.; Kasai, H.; Tanaka, T.; Otoguro, T.; Ryo, A.; Maekawa, S.; Enomoto, N.; de Voogd, N.J.; Tanaka, J.; et al. Inhibitory effects of metachromin A on hepatitis B virus production via impairment of the viral promoter activity. Antiviral. Res. 2017, 145, 136–145. [Google Scholar] [CrossRef] [PubMed]
- Ishikawa, C.; Jomori, T.; Tanaka, J.; Senba, M.; Mori, N. Peridinin, a carotenoid, inhibits proliferation and survival of HTLV-1-infected T-cell lines. Int. J. Oncol. 2016, 49, 1713–1721. [Google Scholar] [CrossRef]
- Niu, S.; Si, L.; Liu, D.; Zhou, A.; Zhang, Z.; Shao, Z.; Wang, S.; Zhang, L.; Zhou, D.; Lin, W. Spiromastilactones: A new class of influenza virus inhibitors from deep-sea fungus. Eur. J. Med. Chem. 2016, 108, 229–244. [Google Scholar] [CrossRef]
- Kim, S.H.; Ha, T.K.; Oh, W.K.; Shin, J.; Oh, D.C. Antiviral Indolosesquiterpenoid Xiamycins C-E from a Halophilic Actinomycete. J. Nat. Prod. 2016, 79, 51–58. [Google Scholar] [CrossRef]
- Cheng, Y.B.; Lee, J.C.; Lo, I.W.; Chen, S.R.; Hu, H.C.; Wu, Y.H.; Wu, Y.C.; Chang, F.R. Ecdysones from Zoanthus spp. with inhibitory activity against dengue virus 2. Bioorg. Med. Chem. Lett. 2016, 26, 2344–2348. [Google Scholar] [CrossRef]
- Hermawan, I.; Furuta, A.; Higashi, M.; Fujita, Y.; Akimitsu, N.; Yamashita, A.; Moriishi, K.; Tsuneda, S.; Tani, H.; Nakakoshi, M.; et al. Four Aromatic Sulfates with an Inhibitory Effect against HCV NS3 Helicase from the Crinoid Alloeocomatella polycladia. Mar. Drugs 2017, 15, 117. [Google Scholar] [CrossRef]
- Wang, M.; Tietjen, I.; Chen, M.; Williams, D.E.; Daoust, J.; Brockman, M.A.; Andersen, R.J. Sesterterpenoids Isolated from the Sponge Phorbas sp. Activate Latent HIV-1 Provirus Expression. J. Org. Chem. 2016, 81, 11324–11334. [Google Scholar] [CrossRef]
- Ma, X.; Nong, X.H.; Ren, Z.; Wang, J.; Liang, X.; Wang, L.; Qi, S.H. Antiviral peptides from marine gorgonian-derived fungus Aspergillus sp. SCSIO 41501. Tetrahedron 2017, 58, 1151–1155. [Google Scholar] [CrossRef]
- Huang, Z.; Nong, X.; Ren, Z.; Wang, J.; Zhang, X.; Qi, S. Anti-HSV-1, antioxidant and antifouling phenolic compounds from the deep-sea-derived fungus Aspergillus versicolor SCSIO 41502. Bioorg. Med. Chem. Lett. 2017, 27, 787–791. [Google Scholar] [CrossRef] [PubMed]
- Tian, Y.Q.; Lin, X.P.; Wang, Z.; Zhou, X.F.; Qin, X.C.; Kaliyaperumal, K.; Zhang, T.Y.; Tu, Z.C.; Liu, Y. Asteltoxins with Antiviral Activities from the Marine Sponge-Derived Fungus Aspergillus sp. SCSIO XWS02F40. Molecules 2016, 21, 34. [Google Scholar] [CrossRef] [PubMed]
- Yuan, W.; Cheng, S.; Fu, W.; Zhao, M.; Li, X.; Cai, Y.; Dong, J.; Huang, K.; Gustafson, K.R.; Yan, P. Structurally Diverse Metabolites from the Soft Coral Sinularia verruca Collected in the South China Sea. J. Nat. Prod. 2016, 79, 1124–1131. [Google Scholar] [CrossRef] [PubMed]
- Niu, S.; Liu, D.; Shao, Z.; Proksch, P.; Lin, W. Eutypellazines A-M, thiodiketopiperazine-type alkaloids from deep sea derived fungus Eutypella sp. MCCC 3A00281. RSC Adv. 2017, 7, 33580–33590. [Google Scholar] [CrossRef]
- Hawas, U.W.; Al-Farawati, R.; Abou El-Kassem, L.T.; Turki, A.J. Different Culture Metabolites of the Red Sea Fungus Fusarium equiseti Optimize the Inhibition of Hepatitis C Virus NS3/4A Protease (HCV PR). Mar. Drugs 2016, 14, 190. [Google Scholar] [CrossRef] [PubMed]
- Zhou, X.; Fang, W.; Tan, S.; Lin, X.; Xun, T.; Yang, B.; Liu, S.; Liu, Y. Aspernigrins with anti-HIV-1 activities from the marine-derived fungus Aspergillus niger SCSIO Jcsw6F30. Bioorg. Med. Chem. Lett. 2016, 26, 361–365. [Google Scholar] [CrossRef]
- Palem, J.R.; Mudit, M.; Hsia, S.V.; Sayed, K.A. Discovery and preliminary structure-activity relationship of the marine natural product manzamines as herpes simplex virus type-1 inhibitors. Z. Naturforsch. C 2017, 72, 49–54. [Google Scholar] [CrossRef]
- Lee, J.C.; Chang, F.R.; Chen, S.R.; Wu, Y.H.; Hu, H.C.; Wu, Y.C.; Backlund, A.; Cheng, Y.B. Anti-Dengue Virus Constituents from Formosan Zoanthid Palythoa mutuki. Mar. Drugs 2016, 14, 151. [Google Scholar] [CrossRef]
- Zhang, P.; Li, Y.; Jia, C.; Lang, J.; Niaz, S.I.; Yuan, J.; Yu, J.; Chen, S.; Liu, L. Antiviral and anti-inflammatory meroterpenoids: Stachybonoids A–F from the crinoid-derived fungus Stachybotrys chartarum 952. RSC Adv. 2017, 7, 49910–49916. [Google Scholar] [CrossRef]
- Cheng, W.; Ren, J.; Huang, Q.; Long, H.; Jin, H.; Zhang, L.; Liu, H.; Van, O.L.; Lin, W. Pregnane steroids from a gorgonian coral Subergorgia suberosa with anti-flu virus effects. Steroids 2016, 108, 99–104. [Google Scholar] [CrossRef] [PubMed]
- Abdjul, D.B.; Yamazaki, H.; Kanno, S.; Takahashi, O.; Kirikoshi, R.; Ukai, K.; Namikoshi, M. Haliclonadiamine Derivatives and 6-epi-Monanchorin from the Marine Sponge Halichondria panicea Collected at Iriomote Island. J. Nat. Prod. 2016, 79, 1149–1154. [Google Scholar] [CrossRef] [PubMed]
- Al-Footy, K.O.; Alarif, W.M.; Zubair, M.S.; Ghandourah, M.A.; Aly, M.M. Antibacterial and cytotoxic properties of isoprenoids from the red sea soft coral, Lobophytum sp. Trop. J. Pharm. Res. 2016, 15, 1431–1438. [Google Scholar] [CrossRef]
- Angulo-Preckler, C.; Genta-Jouve, G.; Mahajan, N.; de la Cruz, M.; de Pedro, N.; Reyes, F.; Iken, K.; Avila, C.; Thomas, O.P. Gersemiols A-C and Eunicellol A, Diterpenoids from the Arctic Soft Coral Gersemia fruticosa. J. Nat. Prod. 2016, 79, 1132–1136. [Google Scholar] [CrossRef] [PubMed]
- Kamada, T.; Phan, C.S.; Tin, H.S.; Vairappan, C.S.; Muhammad, T.S.T. 16-Hydroxycembra-1,3,7,11-tetraene, a new Cembrane Diterpene from Malaysian Soft Coral Genus Sarcophyton. Nat. Prod. Commun. 2016, 11, 1077–1078. [Google Scholar] [CrossRef] [PubMed]
- Kubota, T.; Nakamura, K.; Sakai, K.; Fromont, J.; Gonoi, T.; Kobayashi, J. Hyrtinadines C and D, New Azepinoindole-Type Alkaloids from a Marine Sponge Hyrtios sp. Chem. Pharm. Bull. 2016, 64, 975–978. [Google Scholar] [CrossRef]
- Li, C.; La, M.P.; Tang, H.; Sun, P.; Liu, B.S.; Zhuang, C.L.; Yi, Y.H.; Zhang, W. Chemistry and Bioactivity of Briaranes from the South China Sea Gorgonian Dichotella gemmacea. Mar. Drugs 2016, 14, 201. [Google Scholar] [CrossRef]
- Nguyen, H.M.; Ito, T.; Win, N.N.; Kodama, T.; Hung, V.Q.; Nguyen, H.T.; Morita, H. New antibacterial sesquiterpene aminoquinones from a Vietnamese marine sponge of Spongia sp. Phytochem. Lett. 2016, 17, 288–292. [Google Scholar] [CrossRef]
- Phan, C.S.; Ng, S.Y.; Kamada, T.; Vairappan, C.S. Two New Lobane Diterpenes from a Bornean Soft Coral Sinularia sp. Nat. Prod. Commun. 2016, 11, 899–900. [Google Scholar] [CrossRef]
- Von Salm, J.L.; Witowski, C.G.; Fleeman, R.M.; McClintock, J.B.; Amsler, C.D.; Shaw, L.N.; Baker, B.J. Darwinolide, a New Diterpene Scaffold That Inhibits Methicillin-Resistant Staphylococcus aureus Biofilm from the Antarctic Sponge Dendrilla membranosa. Org. Lett. 2016, 18, 2596–2599. [Google Scholar] [CrossRef]
- Brasseur, L.; Hennebert, E.; Fievez, L.; Caulier, G.; Bureau, F.; Tafforeau, L.; Flammang, P.; Gerbaux, P.; Eeckhaut, I. The Roles of Spinochromes in Four Shallow Water Tropical Sea Urchins and Their Potential as Bioactive Pharmacological Agents. Mar. Drugs 2017, 15, 179. [Google Scholar] [CrossRef]
- Kong, F.D.; Ma, Q.Y.; Huang, S.Z.; Wang, P.; Wang, J.F.; Zhou, L.M.; Yuan, J.Z.; Dai, H.F.; Zhao, Y.X. Chrodrimanins K-N and Related Meroterpenoids from the Fungus Penicillium sp. SCS-KFD09 Isolated from a Marine Worm, Sipunculus nudus. J. Nat. Prod. 2017, 80, 1039–1047. [Google Scholar] [CrossRef] [PubMed]
- Mohammed, R.; Radwan, M.; Ma, G.; Mohamed, T.A.; Seliem, M.A.; Thabet, M.; ElSohly, M.A. Bioactive sterols and sesquiterpenes from the Red Sea soft coral Sinularia terspilli. Med. Chem. Res. 2017, 26, 1647–1652. [Google Scholar] [CrossRef]
- Liang, X.R.; Miao, F.P.; Song, Y.P.; Liu, X.H.; Ji, N.Y. Citrinovirin with a new norditerpene skeleton from the marine algicolous fungus Trichoderma citrinoviride. Bioorg. Med. Chem. Lett. 2016, 26, 5029–5031. [Google Scholar] [CrossRef] [PubMed]
- Liu, S.; Dai, H.; Konuklugil, B.; Orfali, R.S.; Lin, W.; Kalscheuer, R.; Liu, Z.; Proksch, P. Phenolic bisabolanes from the sponge-derived fungus Aspergillus sp. Phytochem. Lett. 2016, 18, 187–191. [Google Scholar] [CrossRef]
- Mohamed-Benkada, M.; Francois, P.Y.; Verite, P.; Pagniez, F.; Caroff, N.; Ruiz, N. Identification and Biological Activities of Long-Chain Peptaibols Produced by a Marine-Derived Strain of Trichoderma longibrachiatum. Chem. Biodivers. 2016, 13, 521–530. [Google Scholar] [CrossRef]
- Sun, Y.; Feng, Z.; Tomura, T.; Suzuki, A.; Miyano, S.; Tsuge, T.; Mori, H.; Suh, J.W.; Iizuka, T.; Fudou, R.; et al. Heterologous Production of the Marine Myxobacterial Antibiotic Haliangicin and Its Unnatural Analogues Generated by Engineering of the Biochemical Pathway. Sci. Rep. 2016, 6, 22091. [Google Scholar] [CrossRef]
- Ye, X.; Anjum, K.; Song, T.; Wang, W.; Yu, S.; Huang, H.; Lian, X.Y.; Zhang, Z. A new curvularin glycoside and its cytotoxic and antibacterial analogues from marine actinomycete Pseudonocardia sp. HS7. Nat. Prod. Res. 2016, 30, 1156–1161. [Google Scholar] [CrossRef]
- Zhang, Y.; Adnani, N.; Braun, D.R.; Ellis, G.A.; Barns, K.J.; Parker-Nance, S.; Guzei, I.A.; Bugni, T.S. Micromonohalimanes A and B: Antibacterial Halimane-Type Diterpenoids from a Marine Micromonospora Species. J. Nat. Prod. 2016, 79, 2968–2972. [Google Scholar] [CrossRef]
- Zhou, S.L.; Wang, M.; Zhao, H.G.; Huang, Y.H.; Lin, Y.Y.; Tan, G.H.; Chen, S.L. Penicilazaphilone C, a new antineoplastic and antibacterial azaphilone from the Marine Fungus Penicillium sclerotiorum. Arch. Pharm. Res. 2016, 39, 1621–1627. [Google Scholar] [CrossRef]
- He, K.Y.; Zhang, C.; Duan, Y.R.; Huang, G.L.; Yang, C.Y.; Lu, X.R.; Zheng, C.J.; Chen, G.Y. New chlorinated xanthone and anthraquinone produced by a mangrove-derived fungus Penicillium citrinum HL-5126. J. Antibiot. 2017, 70, 823–827. [Google Scholar] [CrossRef]
- Kim, J.; Shin, D.; Kim, S.H.; Park, W.; Shin, Y.; Kim, W.K.; Lee, S.K.; Oh, K.B.; Shin, J.; Oh, D.C. Borrelidins C-E: New Antibacterial Macrolides from a Saltern-Derived Halophilic Nocardiopsis sp. Mar. Drugs 2017, 15, 166. [Google Scholar] [CrossRef] [PubMed]
- Li, J.L.; Chen, D.; Huang, L.; Ni, M.; Zhao, Y.; Fan, H.; Bao, X. Antichlamydial Dimeric Indole Derivatives from Marine Actinomycete Rubrobacter radiotolerans. Planta Med. 2017, 83, 805–811. [Google Scholar] [CrossRef] [PubMed]
- Zin, W.W.M.; Buttachon, S.; Dethoup, T.; Pereira, J.A.; Gales, L.; Inacio, A.; Costa, P.M.; Lee, M.; Sekeroglu, N.; Silva, A.M.S.; et al. Antibacterial and antibiofilm activities of the metabolites isolated from the culture of the mangrove-derived endophytic fungus Eurotium chevalieri KUFA 0006. Phytochemistry 2017, 141, 86–97. [Google Scholar] [CrossRef]
- Niu, S.; Liu, D.; Shao, Z.; Proksch, P.; Lin, W. Eutypellazines N-S, new thiodiketopiperazines from a deep sea sediment derived fungus Eutypella sp. with anti-VRE activities. Tetrahedron Lett. 2017, 58, 3695–3699. [Google Scholar] [CrossRef]
- Teta, R.; Marteinsson, V.T.; Longeon, A.; Klonowski, A.M.; Groben, R.; Bourguet-Kondracki, M.L.; Costantino, V.; Mangoni, A. Thermoactinoamide A, an Antibiotic Lipophilic Cyclopeptide from the Icelandic Thermophilic Bacterium Thermoactinomyces vulgaris. J. Nat. Prod. 2017, 80, 2530–2535. [Google Scholar] [CrossRef]
- Wang, Q.; Zhang, Y.; Wang, M.; Tan, Y.; Hu, X.; He, H.; Xiao, C.; You, X.; Wang, Y.; Gan, M. Neo-actinomycins A and B, natural actinomycins bearing the 5H-oxazolo[4,5-b]phenoxazine chromophore, from the marine-derived Streptomyces sp. IMB094. Sci. Rep. 2017, 7, 3591. [Google Scholar] [CrossRef]
- Jamison, M.T.; Macho, J.; Molinski, T.F. Structure-activity of antifungal compounds inspired by aminobisabolenes from the sponge Halichondria sp. Bioorg. Med. Chem. Lett. 2016, 26, 5244–5246. [Google Scholar] [CrossRef]
- Zhu, Y.; Wang, Y.; Gu, B.; Yang, F.; Jiao, W.H.; Hu, G.; Yu, H.B.; Han, B.N.; Zhang, W.; Shen, Y.; et al. Antifungal bromopyrrole alkaloids from the South China Sea sponge Agelas sp. Tetrahedron 2016, 72, 2964–2971. [Google Scholar] [CrossRef]
- Bertin, M.J.; Demirkiran, O.; Navarro, G.; Moss, N.A.; Lee, J.; Goldgof, G.M.; Vigil, E.; Winzeler, E.A.; Valeriote, F.A.; Gerwick, W.H. Kalkipyrone B, a marine cyanobacterial gamma-pyrone possessing cytotoxic and anti-fungal activities. Phytochemistry 2016, 122, 113–118. [Google Scholar] [CrossRef]
- Yamazaki, H.; Kanno, S.I.; Abdjul, D.B.; Namikoshi, M. A bromopyrrole-containing diterpene alkaloid from the Okinawan marine sponge Agelas nakamurai activates the insulin pathway in Huh-7 human hepatoma cells by inhibiting protein tyrosine phosphatase 1B. Bioorg. Med. Chem. Lett. 2017, 27, 2207–2209. [Google Scholar] [CrossRef]
- Xu, F.; Wang, F.; Wang, Z.; Lv, W.; Wang, W.; Wang, Y. Glucose Uptake Activities of Bis (2, 3-Dibromo-4, 5-Dihydroxybenzyl) Ether, a Novel Marine Natural Product from Red Alga Odonthaliacorymbifera with Protein Tyrosine Phosphatase 1B Inhibition, In Vitro and In Vivo. PLoS ONE 2016, 11, e0147748. [Google Scholar] [CrossRef] [PubMed]
- Kim, E.A.; Lee, S.H.; Lee, J.H.; Kang, N.; Oh, J.Y.; Seun-heui, S.; Ahn, G.; Ko, S.C.; Fernando, S.P.; Kim, S.Y.; et al. A marine algal polyphenol, dieckol, attenuates blood glucose levels by Akt pathway in alloxan induced hyperglycemia zebrafish model. RSC Adv. 2016, 6, 78570–78575. [Google Scholar] [CrossRef]
- Woo, J.K.; Ha, T.K.Q.; Oh, D.C.; Oh, W.K.; Oh, K.B.; Shin, J. Polyoxygenated Steroids from the Sponge Clathria gombawuiensis. J. Nat. Prod. 2017, 80, 3224–3233. [Google Scholar] [CrossRef]
- Villa-Perez, P.; Cueto, M.; Diaz-Marrero, A.R.; Lobaton, C.D.; Moreno, A.; Perdomo, G.; Cozar-Castellano, I. Leptolide Improves Insulin Resistance in Diet-Induced Obese Mice. Mar. Drugs 2017, 15, 289. [Google Scholar] [CrossRef] [PubMed]
- Cui, H.; Liu, Y.; Nie, Y.; Liu, Z.; Chen, S.; Zhang, Z.; Lu, Y.; He, L.; Huang, X.; She, Z. Polyketides from the Mangrove-Derived Endophytic Fungus Nectria sp. HN001 and Their alpha-Glucosidase Inhibitory Activity. Mar. Drugs 2016, 14, 86. [Google Scholar] [CrossRef]
- Lin, X.; Wu, Q.; Yu, Y.; Liang, Z.; Liu, Y.; Zhou, L.; Tang, L.; Zhou, X. Penicilliumin B, a novel sesquiterpene methylcyclopentenedione from a deep sea-derived Penicillium strain with renoprotective activities. Sci. Rep. 2017, 7, 10757. [Google Scholar] [CrossRef]
- Chen, Z.; Hao, J.; Wang, L.; Wang, Y.; Kong, F.; Zhu, W. New alpha-glucosidase inhibitors from marine algae-derived Streptomyces sp. OUCMDZ-3434. Sci. Rep. 2016, 6, 20004. [Google Scholar] [CrossRef]
- Wiese, J.; Aldemir, H.; Schmaljohann, R.; Gulder, T.A.M.; Imhoff, J.F. Asperentin B, a New Inhibitor of the Protein Tyrosine Phosphatase 1B. Mar. Drugs 2017, 15, 191. [Google Scholar] [CrossRef]
- Chen, S.; Liu, Z.; Liu, H.; Long, Y.; Chen, D.; Lu, Y.; She, Z. Lasiodiplactone A, a novel lactone from the mangrove endophytic fungus Lasiodiplodia theobromae ZJ-HQ1. Org. Biomol. Chem. 2017, 15, 6338–6341. [Google Scholar] [CrossRef]
- Zhang, L.; Niaz, S.I.; Khan, D.; Wang, Z.; Zhu, Y.; Zhou, H.; Lin, Y.; Li, J.; Liu, L. Induction of Diverse Bioactive Secondary Metabolites from the Mangrove Endophytic Fungus Trichoderma sp. (Strain 307) by Co-Cultivation with Acinetobacter johnsonii (Strain B2). Mar. Drugs 2017, 15, 35. [Google Scholar] [CrossRef]
- Chen, S.; Liu, Y.; Liu, Z.; Cai, R.; Lu, Y.; Huang, X.; She, Z. Isocoumarins and benzofurans from the mangrove endophytic fungus Talaromyces amestolkiae possess a-glucosidase inhibitory and antibacterial activities. RSC Adv. 2016, 6, 26412–26420. [Google Scholar] [CrossRef]
- Zbakh, H.; Talero, E.; Avila, J.; Alcaide, A.; de Los, R.C.; Zubia, E.; Motilva, V. The Algal Meroterpene 11-Hydroxy-1′-O-Methylamentadione Ameloriates Dextran Sulfate Sodium-Induced Colitis in Mice. Mar. Drugs 2016, 14, 149. [Google Scholar] [CrossRef] [PubMed]
- Jung, B.; Ku, S.K.; Gao, M.; Kim, K.M.; Han, M.S.; Choi, H.; Bae, J.S. Suppressive effects of three diketopiperazines from marine-derived bacteria on TGFBIp-mediated septic responses in human endothelial cells and mice. Arch. Pharm. Res. 2016, 39, 843–854. [Google Scholar] [CrossRef] [PubMed]
- Kang, H.; Ku, S.K.; Choi, H.; Bae, J.S. Three diketopiperazines from marine-derived bacteria inhibit LPS-induced endothelial inflammatory responses. Bioorg. Med. Chem. Lett. 2016, 26, 1873–1876. [Google Scholar] [CrossRef]
- Ahmad, T.B.; Rudd, D.; Benkendorff, K.; Mahdi, L.K.; Pratt, K.A.; Dooley, L.; Wei, C.; Kotiw, M. Brominated indoles from a marine mollusc inhibit inflammation in a murine model of acute lung injury. PLoS ONE 2017, 12, e0186904. [Google Scholar] [CrossRef]
- El-Desoky, A.H.; Kato, H.; Angkouw, E.D.; Mangindaan, R.E.; de Voogd, N.J.; Tsukamoto, S. Ceylonamides A-F, Nitrogenous Spongian Diterpenes That Inhibit RANKL-Induced Osteoclastogenesis, from the Marine Sponge Spongia ceylonensis. J. Nat. Prod. 2016, 79, 1922–1928. [Google Scholar] [CrossRef]
- Ngan, N.T.; Quang, T.H.; Kim, K.W.; Kim, H.J.; Sohn, J.H.; Kang, D.G.; Lee, H.S.; Kim, Y.C.; Oh, H. Anti-inflammatory effects of secondary metabolites isolated from the marine-derived fungal strain Penicillium sp. SF-5629. Arch. Pharm. Res. 2017, 40, 328–337. [Google Scholar] [CrossRef]
- Manzoor, Z.; Koo, J.E.; Ali, I.; Kim, J.E.; Byeon, S.H.; Yoo, E.S.; Kang, H.K.; Hyun, J.W.; Lee, N.H.; Koh, Y.S. 4-Hydroxy-2,3-Dimethyl-2-Nonen-4-Olide Has an Inhibitory Effect on Pro-Inflammatory Cytokine Production in CpG-Stimulated Bone Marrow-Derived Dendritic Cells. Mar. Drugs 2016, 14, 88. [Google Scholar] [CrossRef]
- Aminin, D.; Pislyagin, E.; Astashev, M.; Es’kov, A.; Kozhemyako, V.; Avilov, S.; Zelepuga, E.; Yurchenko, E.; Kaluzhskiy, L.; Kozlovskaya, E.; et al. Glycosides from edible sea cucumbers stimulate macrophages via purinergic receptors. Sci. Rep. 2016, 6, 39683. [Google Scholar] [CrossRef]
- Ha, T.M.; Ko, W.; Lee, S.J.; Kim, Y.C.; Son, J.Y.; Sohn, J.H.; Yim, J.H.; Oh, H. Anti-Inflammatory Effects of Curvularin-Type Metabolites from a Marine-Derived Fungal Strain Penicillium sp. SF-5859 in Lipopolysaccharide-Induced RAW264.7 Macrophages. Mar. Drugs 2017, 15, 282. [Google Scholar] [CrossRef]
- Ciaglia, E.; Malfitano, A.M.; Laezza, C.; Fontana, A.; Nuzzo, G.; Cutignano, A.; Abate, M.; Pelin, M.; Sosa, S.; Bifulco, M.; et al. Immuno-Modulatory and Anti-Inflammatory Effects of Dihydrogracilin A, a Terpene Derived from the Marine Sponge Dendrilla membranosa. Int. J. Mol. Sci. 2017, 18, 1643. [Google Scholar] [CrossRef] [PubMed]
- Jiao, W.H.; Cheng, B.H.; Shi, G.H.; Chen, G.D.; Gu, B.B.; Zhou, Y.J.; Hong, L.L.; Yang, F.; Liu, Z.Q.; Qiu, S.Q.; et al. Dysivillosins A-D, Unusual Anti-allergic Meroterpenoids from the Marine Sponge Dysidea villosa. Sci. Rep. 2017, 7, 8947. [Google Scholar] [CrossRef] [PubMed]
- Su, B.C.; Chen, J.Y. Antimicrobial Peptide Epinecidin-1 Modulates MyD88 Protein Levels via the Proteasome Degradation Pathway. Mar. Drugs 2017, 15, 362. [Google Scholar] [CrossRef] [PubMed]
- Lin, Y.Y.; Jean, Y.H.; Lee, H.P.; Lin, S.C.; Pan, C.Y.; Chen, W.F.; Wu, S.F.; Su, J.H.; Tsui, K.H.; Sheu, J.H.; et al. Excavatolide B Attenuates Rheumatoid Arthritis through the Inhibition of Osteoclastogenesis. Mar. Drugs 2017, 15, 9. [Google Scholar] [CrossRef] [PubMed]
- Choi, J.H.; Kim, N.H.; Kim, S.J.; Lee, H.J.; Kim, S. Fucoxanthin Inhibits the Inflammation Response in Paw Edema Model through Suppressing MAPKs, Akt, and NFkappaB. J. Biochem. Mol. Toxicol. 2016, 30, 111–119. [Google Scholar] [CrossRef] [PubMed]
- Grasa-Lopez, A.; Miliar-Garcia, A.; Quevedo-Corona, L.; Paniagua-Castro, N.; Escalona-Cardoso, G.; Reyes-Maldonado, E.; Jaramillo-Flores, M.E. Undaria pinnatifida and Fucoxanthin Ameliorate Lipogenesis and Markers of Both Inflammation and Cardiovascular Dysfunction in an Animal Model of Diet-Induced Obesity. Mar. Drugs 2016, 14, 148. [Google Scholar] [CrossRef] [PubMed]
- Sugiura, Y.; Kinoshita, Y.; USUI, M.; Tanaka, R.; Matsushita, T.; Masaaki, M. The Suppressive Effect of a Marine Carotenoid, Fucoxanthin, on Mouse Ear Swelling through Regulation of Activities and mRNA Expression of Inflammation-associated Enzymes. Food Sci. Technol. Res. 2016, 22, 227–234. [Google Scholar] [CrossRef]
- Taira, J.; Sonamoto, M.; Uehara, M. Dual Biological Functions of a Cytoprotective Effect and Apoptosis Induction by Bioavailable Marine Carotenoid Fucoxanthinol through Modulation of the Nrf2 Activation in RAW264.7 Macrophage Cells. Mar. Drugs 2017, 15, 305. [Google Scholar] [CrossRef]
- Sinstova, O.V.; Pislygin, E.A.; Gladkikh, I.N.; Monastyrnaya, M.M.; Menchinskaya, E.S.; Lynchenko, E.V.; Aminin, D.L.; Kozlovskaya, E.P. Kunitz-type peptides of the sea anemone Heteractis crispa: Potential anti-inflammatory compounds. Russ. J. Bioorg. Chem. 2017, 43, 91–97. [Google Scholar]
- Hong, L.L.; Yu, H.B.; Wang, J.; Jiao, W.H.; Cheng, B.H.; Yang, F.; Zhou, Y.J.; Gu, B.B.; Song, S.J.; Lin, H.W. Unusual Anti-allergic Diterpenoids from the Marine Sponge Hippospongia lachne. Sci. Rep. 2017, 7, 43138. [Google Scholar] [CrossRef]
- Kozuma, S.; Hirota-Takahata, Y.; Fukuda, D.; Kuraya, N.; Nakajima, M.; Ando, O. Identification and biological activity of ogipeptins, novel LPS inhibitors produced by marine bacterium. J. Antibiot. 2017, 70, 79–83. [Google Scholar] [CrossRef]
- Kwon, I.S.; Kwak, J.H.; Pyo, S.; Lee, H.W.; Kim, A.; Schmitz, F.J. Oscarellin, an Anthranilic Acid Derivative from a Philippine Sponge, Oscarella stillans, as an Inhibitor of Inflammatory Cytokines in Macrophages. J. Nat. Prod. 2017, 80, 149–155. [Google Scholar] [CrossRef] [PubMed]
- Kim, M.E.; Jung, I.; Lee, J.S.; Na, J.Y.; Kim, W.J.; Kim, Y.O.; Park, Y.D.; Lee, J.S. Pseudane-VII Isolated from Pseudoalteromonas sp. M2 Ameliorates LPS-Induced Inflammatory Response In Vitro and In Vivo. Mar. Drugs 2017, 15, 336. [Google Scholar] [CrossRef] [PubMed]
- Cheng, Z.; Zhao, J.; Proksch, P.; Zhao, Z.; Lin, W. Eremophilane-Type Sesquiterpenoids from an Acremonium sp. Fungus Isolated from Deep-Sea Sediments. J. Nat. Prod. 2016, 79, 1035–1047. [Google Scholar] [CrossRef] [PubMed]
- Hassan, H.M.; Boonlarppradab, C.; Fenical, W. Actinoquinolines A and B, anti-inflammatory quinoline alkaloids from a marine-derived Streptomyces sp., strain CNP975. J. Antibiot. 2016, 69, 511–514. [Google Scholar] [CrossRef] [PubMed]
- Malyarenko, T.V.; Kharchenko, S.D.; Kicha, A.A.; Ivanchina, N.V.; Dmitrenok, P.S.; Chingizova, E.A.; Pislyagin, E.A.; Evtushenko, E.V.; Antokhina, T.I.; Minh, C.V.; et al. Anthenosides L-U, Steroidal Glycosides with Unusual Structural Features from the Starfish Anthenea aspera. J. Nat. Prod. 2016, 79, 3047–3056. [Google Scholar] [CrossRef]
- Fang, W.; Lin, X.; Wang, J.; Liu, Y.; Tao, H.; Zhou, X. Asperpyrone-Type Bis-Naphtho-gamma-Pyrones with COX-2-Inhibitory Activities from Marine-Derived Fungus Aspergillus niger. Molecules 2016, 21, 941. [Google Scholar] [CrossRef] [PubMed]
- Su, Y.D.; Wen, Z.H.; Wu, Y.C.; Fang, L.S.; Chen, Y.H.; Chang, Y.C.; Sheu, J.H.; Sung, P.J. Briarenolides M-T, new briarane diterpenoids from a Formosan octocoral Briareum sp. Tetrahedron 2016, 72, 944–951. [Google Scholar] [CrossRef]
- Su, Y.D.; Sung, C.S.; Wen, Z.H.; Chen, Y.H.; Chang, Y.C.; Chen, J.J.; Fang, L.S.; Wu, Y.C.; Sheu, J.H.; Sung, P.J. New 9-Hydroxybriarane Diterpenoids from a Gorgonian Coral Briareum sp. (Briareidae). Int. J. Mol. Sci. 2016, 17, 79. [Google Scholar] [CrossRef]
- Wang, L.; Li, M.; Tang, J.; Li, X. Eremophilane Sesquiterpenes from a Deep Marine-Derived Fungus, Aspergillus sp. SCSIOW2, Cultivated in the Presence of Epigenetic Modifying Agents. Molecules 2016, 21, 473. [Google Scholar] [CrossRef]
- Kwon, J.; Lee, H.; Ko, W.; Kim, D.; Kim, K.; Kwon, H.C. Chemical constituents isolated from Antarctic marine-derived Aspergillus sp. SF-5976 and their anti-inflammatory effects in LPS-stimulated RAW 264.7 and BV2 cells. Tetrahedron 2017, 73, 3905–3912. [Google Scholar] [CrossRef]
- Hsu, Y.M.; Chang, F.R.; Lo, I.W.; Lai, K.H.; El-Shazly, M.; Wu, T.Y.; Du, Y.C.; Hwang, T.L.; Cheng, Y.B.; Wu, Y.C. Zoanthamine-Type Alkaloids from the Zoanthid Zoanthus kuroshio Collected in Taiwan and Their Effects on Inflammation. J. Nat. Prod. 2016, 79, 2674–2680. [Google Scholar] [CrossRef] [PubMed]
- Tseng, W.R.; Huang, C.Y.; Tsai, Y.Y.; Lin, Y.S.; Hwang, T.L.; Su, J.H.; Sung, P.J.; Dai, C.F.; Sheu, J.H. New cytotoxic and anti-inflammatory steroids from the soft coral Klyxum flaccidum. Bioorg. Med. Chem. Lett. 2016, 26, 3253–3257. [Google Scholar] [CrossRef] [PubMed]
- Tsai, Y.Y.; Huang, C.Y.; Tseng, W.R.; Chiang, P.L.; Hwang, T.L.; Su, J.H.; Sung, P.J.; Dai, C.F.; Sheu, J.H. Klyflaccisteroids K-M, bioactive steroidal derivatives from a soft coral Klyxum flaccidum. Bioorg. Med. Chem. Lett. 2017, 27, 1220–1224. [Google Scholar] [CrossRef]
- Ahmed, A.F.; Teng, W.T.; Huang, C.Y.; Dai, C.F.; Hwang, T.L.; Sheu, J.H. Anti-Inflammatory Lobane and Prenyleudesmane Diterpenoids from the Soft Coral Lobophytum varium. Mar. Drugs 2017, 15, 300. [Google Scholar] [CrossRef]
- Huang, C.Y.; Chang, C.W.; Tseng, Y.J.; Lee, J.; Sung, P.J.; Su, J.H.; Hwang, T.L.; Dai, C.F.; Wang, H.C.; Sheu, J.H. Bioactive Steroids from the Formosan Soft Coral Umbellulifera petasites. Mar. Drugs 2016, 14, 180. [Google Scholar] [CrossRef]
- Su, Y.D.; Cheng, C.H.; Wen, Z.H.; Wu, Y.C.; Sung, P.J. New anti-inflammatory sterols from a gorgonian Pinnigorgia sp. Bioorg. Med. Chem. Lett. 2016, 26, 3060–3063. [Google Scholar] [CrossRef]
- Chang, Y.C.; Kuo, L.M.; Su, J.H.; Hwang, T.L.; Kuo, Y.H.; Lin, C.S.; Wu, Y.C.; Sheu, J.H.; Sung, P.J. Pinnigorgiols A-C, 9,11-secosterols with a rare ring arrangement from a gorgonian coral Pinnigorgia sp. Tetrahedron 2016, 72, 999–1004. [Google Scholar] [CrossRef]
- Chang, Y.C.; Hwang, T.L.; Sheu, J.H.; Wu, Y.C.; Sung, P.J. New Anti-Inflammatory 9,11-Secosterols with a Rare Tricyclo[5,2,1,1]decane Ring from a Formosan Gorgonian Pinnigorgia sp. Mar. Drugs 2016, 14, 218. [Google Scholar] [CrossRef]
- Chang, Y.C.; Kuo, L.M.; Hwang, T.L.; Yeh, J.; Wen, Z.H.; Fang, L.S.; Wu, Y.C.; Lin, C.S.; Sheu, J.H.; Sung, P.J. Pinnisterols A-C, New 9,11-Secosterols from a Gorgonian Pinnigorgia sp. Mar. Drugs 2016, 14, 12. [Google Scholar] [CrossRef]
- Chang, Y.C.; Hwang, T.L.; Kuo, L.M.; Sung, P.J. Pinnisterols D-J, New 11-Acetoxy-9,11-secosterols with a 1,4-Quinone Moiety from Formosan Gorgonian Coral Pinnigorgia sp. (Gorgoniidae). Mar. Drugs 2017, 15, 11. [Google Scholar] [CrossRef] [PubMed]
- Vien, L.T.; Hanh, T.T.; Huong, P.T.; Dang, N.H.; Thanh, N.V.; Lyakhova, E.; Cuong, N.X.; Nam, N.H.; Kiem, P.V.; Kicha, A.; et al. Pyrrole Oligoglycosides from the Starfish Acanthaster planci Suppress Lipopolysaccharide-Induced Nitric Oxide Production in RAW264.7 Macrophages. Chem. Pharm. Bull. 2016, 64, 1654–1657. [Google Scholar] [CrossRef]
- Malyarenko, T.V.; Kicha, A.A.; Kalinovsky, A.I.; Ivanchina, N.V.; Popov, R.S.; Pislyagin, E.A.; Menchinskaya, E.S.; Padmakumar, K.P.; Stonik, V.A. Four New Steroidal Glycosides, Protolinckiosides A-D, from the Starfish Protoreaster lincki. Chem. Biodivers. 2016, 13, 998–1007. [Google Scholar] [CrossRef]
- Zhao, M.; Cheng, S.; Yuan, W.; Xi, Y.; Li, X.; Dong, J.; Huang, K.; Gustafson, K.R.; Yan, P. Cembranoids from a Chinese Collection of the Soft Coral Lobophytum crassum. Mar. Drugs 2016, 14, 111. [Google Scholar] [CrossRef] [PubMed]
- Huang, C.Y.; Tseng, Y.J.; Chokkalingam, U.; Hwang, T.L.; Hsu, C.H.; Dai, C.F.; Sung, P.J.; Sheu, J.H. Bioactive Isoprenoid-Derived Natural Products from a Dongsha Atoll Soft Coral Sinularia erecta. J. Nat. Prod. 2016, 79, 1339–1346. [Google Scholar] [CrossRef] [PubMed]
- Huang, C.Y.; Ahmed, A.F.; Su, J.H.; Sung, P.J.; Hwang, T.L.; Chiang, P.L.; Dai, C.F.; Liaw, C.C.; Sheu, J.H. Bioactive new withanolides from the cultured soft coral Sinularia brassica. Bioorg. Med. Chem. Lett. 2017, 27, 3267–3271. [Google Scholar] [CrossRef]
- Huang, C.Y.; Su, J.H.; Liaw, C.C.; Sung, P.J.; Chiang, P.L.; Hwang, T.L.; Dai, C.F.; Sheu, J.H. Bioactive Steroids with Methyl Ester Group in the Side Chain from a Reef Soft Coral Sinularia brassica Cultured in a Tank. Mar. Drugs 2017, 15, 280. [Google Scholar] [CrossRef]
- Torres-Mendoza, D.; Gonzalez, Y.; Gomez-Reyes, J.F.; Guzman, H.M.; Lopez-Perez, J.L.; Gerwick, W.H.; Fernandez, P.L.; Gutierrez, M. Uprolides N, O and P from the Panamanian Octocoral Eunicea succinea. Molecules 2016, 21, 819. [Google Scholar] [CrossRef]
- Pislyagin, E.A.; Manzhulo, I.V.; Dmitrenok, P.S.; Aminin, D.L. Cucumarioside A2-2 causes changes in the morphology and proliferative activity in mouse spleen. Acta Histochem. 2016, 118, 387–392. [Google Scholar] [CrossRef]
- Pislyagin, E.A.; Manzhulo, I.V.; Gorpenchenko, T.Y.; Dmitrenok, P.S.; Avilov, S.A.; Silchenko, A.S.; Wang, Y.M.; Aminin, D.L. Cucumarioside A(2)-2 Causes Macrophage Activation in Mouse Spleen. Mar. Drugs 2017, 15, 341. [Google Scholar] [CrossRef]
- Sanchez, J.A.; Alfonso, A.; Rodriguez, I.; Alonso, E.; Cifuentes, J.M.; Bermudez, R.; Rateb, M.E.; Jaspars, M.; Houssen, W.E.; Ebel, R.; et al. Spongionella Secondary Metabolites, Promising Modulators of Immune Response through CD147 Receptor Modulation. Front. Immunol. 2016, 7, 452. [Google Scholar] [CrossRef]
- Sanchez, J.A.; Alfonso, A.; Leiros, M.; Alonso, E.; Rateb, M.E.; Jaspars, M.; Houssen, W.E.; Ebel, R.; Tabudravu, J.; Botana, L.M. Identification of Spongionella compounds as cyclosporine A mimics. Pharmacol. Res. 2016, 107, 407–414. [Google Scholar] [CrossRef]
- Becker, K.; Hartmann, A.; Ganzera, M.; Fuchs, D.; Gostner, J.M. Immunomodulatory Effects of the Mycosporine-Like Amino Acids Shinorine and Porphyra-334. Mar. Drugs 2016, 14, 119. [Google Scholar] [CrossRef] [PubMed]
- Chung, T.W.; Li, Y.R.; Huang, W.Y.; Su, J.H.; Chan, H.L.; Lin, S.H.; Liu, C.S.; Lin, S.C.; Lin, C.C.; Lin, C.H. Sinulariolide suppresses LPSinduced phenotypic and functional maturation of dendritic cells. Mol. Med. Rep. 2017, 16, 6992–7000. [Google Scholar] [CrossRef] [PubMed]
- Gao, Y.Y.; Liu, Q.M.; Liu, B.; Xie, C.L.; Cao, M.J.; Yang, X.W.; Liu, G.M. Inhibitory Activities of Compounds from the Marine Actinomycete Williamsia sp. MCCC 1A11233 Variant on IgE-Mediated Mast Cells and Passive Cutaneous Anaphylaxis. J. Agric. Food Chem. 2017, 65, 10749–10756. [Google Scholar] [CrossRef] [PubMed]
- Chen, S.; Wang, J.; Lin, X.; Zhao, B.; Wei, X.; Li, G.; Kaliaperumal, K.; Liao, S.; Yang, B.; Zhou, X.; et al. Chrysamides A-C, Three Dimeric Nitrophenyl trans-Epoxyamides Produced by the Deep-Sea-Derived Fungus Penicillium chrysogenum SCSIO41001. Org. Lett. 2016, 18, 3650–3653. [Google Scholar] [CrossRef] [PubMed]
- Gunasekera, S.P.; Li, Y.; Ratnayake, R.; Luo, D.; Lo, J.; Reibenspies, J.H.; Xu, Z.; Clare-Salzler, M.J.; Ye, T.; Paul, V.J.; et al. Discovery, Total Synthesis and Key Structural Elements for the Immunosuppressive Activity of Cocosolide, a Symmetrical Glycosylated Macrolide Dimer from Marine Cyanobacteria. Chemistry 2016, 22, 8158–8166. [Google Scholar] [CrossRef] [PubMed]
- Einarsdottir, E.; Liu, H.B.; Freysdottir, J.; Gotfredsen, C.H.; Omarsdottir, S. Immunomodulatory N-acyl Dopamine Glycosides from the Icelandic Marine Sponge Myxilla incrustans Collected at a Hydrothermal Vent Site. Planta Med. 2016, 82, 903–909. [Google Scholar] [CrossRef]
- Kawase, O.; Ohno, O.; Suenaga, K.; Xuan, X. Immunological Adjuvant Activity of Pectinioside A, the Steroidal Saponin from the Starfish Patiria pectinifera. Nat. Prod. Commun. 2016, 11, 605–606. [Google Scholar] [CrossRef]
- Liu, H.; Chen, S.; Liu, W.; Liu, Y.; Huang, X.; She, Z. Polyketides with Immunosuppressive Activities from Mangrove Endophytic Fungus Penicillium sp. ZJ-SY(2). Mar. Drugs 2016, 14, 217. [Google Scholar] [CrossRef]
- Li, H.; Huang, H.; Hou, L.; Ju, J.; Li, W. Discovery of Antimycin-Type Depsipeptides from a wbl Gene Mutant Strain of Deepsea-Derived Streptomyces somaliensis SCSIO ZH66 and Their Effects on Pro-inflammatory Cytokine Production. Front. Microbiol. 2017, 8, 678. [Google Scholar] [CrossRef]
- Moreels, L.; Peigneur, S.; Galan, D.T.; De, P.E.; Beress, L.; Waelkens, E.; Pardo, L.A.; Quinton, L.; Tytgat, J. APETx4, a Novel Sea Anemone Toxin and a Modulator of the Cancer-Relevant Potassium Channel KV10.1. Mar. Drugs 2017, 15, 287. [Google Scholar] [CrossRef]
- Goda, A.A.; Naguib, K.M.; Mohamed, M.M.; Amra, H.A.; Nada, S.A.; Abdel-Ghaffar, A.B.; Gissendanner, C.R.; El Sayed, K.A. Astaxanthin and Docosahexaenoic Acid Reverse the Toxicity of the Maxi-K (BK) Channel Antagonist Mycotoxin Penitrem A. Mar. Drugs 2016, 14, 208. [Google Scholar] [CrossRef]
- Mendez, A.G.; Juncal, A.B.; Silva, S.B.L.; Thomas, O.P.; Martin, V.V.; Alfonso, A.; Vieytes, M.R.; Vale, C.; Botana, L.M. The Marine Guanidine Alkaloid Crambescidin 816 Induces Calcium Influx and Cytotoxicity in Primary Cultures of Cortical Neurons through Glutamate Receptors. ACS Chem. Neurosci. 2017, 8, 1609–1617. [Google Scholar] [CrossRef]
- Jiang, S.; Tae, H.S.; Xu, S.; Shao, X.; Adams, D.J.; Wang, C. Identification of a Novel O-Conotoxin Reveals an Unusual and Potent Inhibitor of the Human alpha9alpha10 Nicotinic Acetylcholine Receptor. Mar. Drugs 2017, 15, 170. [Google Scholar] [CrossRef]
- Bernaldez, J.; Jimenez, S.; Gonzalez, L.J.; Ferro, J.N.; Soto, E.; Salceda, E.; Chavez, D.; Aguilar, M.B.; Licea-Navarro, A. A New Member of Gamma-Conotoxin Family Isolated from Conus princeps Displays a Novel Molecular Target. Toxins 2016, 8, 39. [Google Scholar] [CrossRef]
- Brust, A.; Croker, D.E.; Colless, B.; Ragnarsson, L.; Andersson, A.; Jain, K.; Garcia-Caraballo, S.; Castro, J.; Brierley, S.M.; Alewood, P.F.; et al. Conopeptide-Derived kappa-Opioid Agonists (Conorphins): Potent, Selective, and Metabolic Stable Dynorphin A Mimetics with Antinociceptive Properties. J. Med. Chem. 2016, 59, 2381–2395. [Google Scholar] [CrossRef]
- Feng, C.W.; Hung, H.C.; Huang, S.Y.; Chen, C.H.; Chen, Y.R.; Chen, C.Y.; Yang, S.N.; Wang, H.D.; Sung, P.J.; Sheu, J.H.; et al. Neuroprotective Effect of the Marine-Derived Compound 11-Dehydrosinulariolide through DJ-1-Related Pathway in In Vitro and In Vivo Models of Parkinson’s Disease. Mar. Drugs 2016, 14, 187. [Google Scholar] [CrossRef]
- Chen, C.H.; Chen, N.F.; Feng, C.W.; Cheng, S.Y.; Hung, H.C.; Tsui, K.H.; Hsu, C.H.; Sung, P.J.; Chen, W.F.; Wen, Z.H. A Coral-Derived Compound Improves Functional Recovery after Spinal Cord Injury through Its Antiapoptotic and Anti-Inflammatory Effects. Mar. Drugs 2016, 14, 160. [Google Scholar] [CrossRef]
- Botic, T.; Defant, A.; Zanini, P.; Zuzek, M.C.; Frangez, R.; Janussen, D.; Kersken, D.; Knez, Z.; Mancini, I.; Sepcic, K. Discorhabdin alkaloids from Antarctic Latrunculia spp. sponges as a new class of cholinesterase inhibitors. Eur. J. Med. Chem. 2017, 136, 294–304. [Google Scholar] [CrossRef]
- Jung, H.A.; Ali, M.Y.; Choi, R.J.; Jeong, H.O.; Chung, H.Y.; Choi, J.S. Kinetics and molecular docking studies of fucosterol and fucoxanthin, BACE1 inhibitors from brown algae Undaria pinnatifida and Ecklonia stolonifera. Food Chem. Toxicol. 2016, 89, 104–111. [Google Scholar] [CrossRef] [PubMed]
- Lin, J.; Huang, L.; Yu, J.; Xiang, S.; Wang, J.; Zhang, J.; Yan, X.; Cui, W.; He, S.; Wang, Q. Fucoxanthin, a Marine Carotenoid, Reverses Scopolamine-Induced Cognitive Impairments in Mice and Inhibits Acetylcholinesterase in Vitro. Mar. Drugs 2016, 14, 67. [Google Scholar] [CrossRef] [PubMed]
- Zhang, L.; Wang, H.; Fan, Y.; Gao, Y.; Li, X.; Hu, Z.; Ding, K.; Wang, Y.; Wang, X. Fucoxanthin provides neuroprotection in models of traumatic brain injury via the Nrf2-ARE and Nrf2-autophagy pathways. Sci. Rep. 2017, 7, 46763. [Google Scholar] [CrossRef] [PubMed]
- Fang, F.; Zhao, J.; Ding, L.; Huang, C.; Naman, C.B.; He, S.; Wu, B.; Zhu, P.; Luo, Q.; Gerwick, W.H.; et al. 5-Hydroxycyclopenicillone, a New beta-Amyloid Fibrillization Inhibitor from a Sponge-Derived Fungus Trichoderma sp. HPQJ-34. Mar. Drugs 2017, 15, 260. [Google Scholar] [CrossRef]
- Flores, P.L.; Rodriguez, E.; Zapata, E.; Carbo, R.; Farias, J.M.; Martinez, M. Maitotoxin Is a Potential Selective Activator of the Endogenous Transient Receptor Potential Canonical Type 1 Channel in Xenopus laevis Oocytes. Mar. Drugs 2017, 15, 198. [Google Scholar] [CrossRef]
- Alonso, E.; Alvarino, R.; Leiros, M.; Tabudravu, J.N.; Feussner, K.; Dam, M.A.; Rateb, M.E.; Jaspars, M.; Botana, L.M. Evaluation of the Antioxidant Activity of the Marine Pyrroloiminoquinone Makaluvamines. Mar. Drugs 2016, 14, 197. [Google Scholar] [CrossRef]
- Abdelhameed, R.; Elgawish, M.; Mira, A.; Ibrahim, A.; Ahmed, S.; Shimizu, K.; Yamada, K. Anti-choline esterase activity of ceramides from the Red Sea marine sponge Mycale euplectellioides. RSC Adv. 2016, 6, 20422–20430. [Google Scholar] [CrossRef]
- Uchimasu, H.; Matsumura, M.; Tsuda, M.; Kumagai, K.; Akakabe, M.; Fujieda, M.J.; Sakai, R. Mellpaladines and dopargimine, novel neuroactive guanidine alkaloids from a Palauan Didemnidae tunicate. Tetrahedron 2016, 72, 7185–7193. [Google Scholar] [CrossRef]
- Logashina, Y.A.; Mosharova, I.V.; Korolkova, Y.V.; Shelukhina, I.V.; Dyachenko, I.A.; Palikov, V.A.; Palikova, Y.A.; Murashev, A.N.; Kozlov, S.A.; Stensvag, K.; et al. Peptide from Sea Anemone Metridium senile Affects Transient Receptor Potential Ankyrin-repeat 1 (TRPA1) Function and Produces Analgesic Effect. J. Biol. Chem. 2017, 292, 2992–3004. [Google Scholar] [CrossRef]
- Kim, J.J.; Kang, Y.J.; Shin, S.A.; Bak, D.H.; Lee, J.W.; Lee, K.B.; Yoo, Y.C.; Kim, D.K.; Lee, B.H.; Kim, D.W.; et al. Phlorofucofuroeckol Improves Glutamate-Induced Neurotoxicity through Modulation of Oxidative Stress-Mediated Mitochondrial Dysfunction in PC12 Cells. PLoS ONE 2016, 11, e0163433. [Google Scholar] [CrossRef]
- Lee, H.W.; Choi, H.; Nam, S.J.; Fenical, W.; Kim, H. Potent Inhibition of Monoamine Oxidase B by a Piloquinone from Marine-Derived Streptomyces sp. CNQ-027. J. Microbiol. Biotechnol. 2017, 27, 785–790. [Google Scholar] [CrossRef]
- Caplan, S.L.; Zheng, B.; Dawson-Scully, K.; White, C.A.; West, L.M. Pseudopterosin A: Protection of Synaptic Function and Potential as a Neuromodulatory Agent. Mar. Drugs 2016, 14, 55. [Google Scholar] [CrossRef]
- Perni, M.; Galvagnion, C.; Maltsev, A.; Meisl, G.; Muller, M.B.; Challa, P.K.; Kirkegaard, J.B.; Flagmeier, P.; Cohen, S.I.; Cascella, R.; et al. A natural product inhibits the initiation of alpha-synuclein aggregation and suppresses its toxicity. Proc. Natl. Acad. Sci. USA 2017, 114, E1009–E1017. [Google Scholar] [CrossRef]
- Moodie, L.W.; Zuzek, M.C.; Frangez, R.; Andersen, J.H.; Hansen, E.; Olsen, E.K.; Cergolj, M.; Sepcic, K.; Hansen, K.O.; Svenson, J. Synthetic analogs of stryphnusin isolated from the marine sponge Stryphnus fortis inhibit acetylcholinesterase with no effect on muscle function or neuromuscular transmission. Org. Biomol. Chem. 2016, 14, 11220–11229. [Google Scholar] [CrossRef]
- Pan, N.; Lu, L.Y.; Li, M.; Wang, G.H.; Sun, F.Y.; Sun, H.S.; Wen, X.J.; Cheng, J.D.; Chen, J.W.; Pang, J.Y.; et al. Xyloketal B alleviates cerebral infarction and neurologic deficits in a mouse stroke model by suppressing the ROS/TLR4/NF-kappaB inflammatory signaling pathway. Acta Pharmacol. Sin. 2017, 38, 1236–1247. [Google Scholar] [CrossRef]
- Dai, J.; Parrish, S.M.; Yoshida, W.Y.; Yip, M.L.R.; Turkson, J.; Kelly, M.; Williams, P. Bromotyrosine-derived metabolites from an Indonesian marine sponge in the family Aplysinellidae (Order Verongiida). Bioorg. Med. Chem. Lett. 2016, 26, 499–504. [Google Scholar] [CrossRef]
- Naman, C.B.; Almaliti, J.; Armstrong, L.; Caro-Diaz, E.J.; Pierce, M.L.; Glukhov, E.; Fenner, A.; Spadafora, C.; Debonsi, H.M.; Dorrestein, P.C.; et al. Discovery and Synthesis of Caracolamide A, an Ion Channel Modulating Dichlorovinylidene Containing Phenethylamide from a Panamanian Marine Cyanobacterium cf. Symploca Species. J. Nat. Prod. 2017, 80, 2328–2334. [Google Scholar] [CrossRef]
- Campos-Lira, E.; Carrillo, E.; Aguilar, M.B.; Gajewiak, J.; Gomez-Lagunas, F.; Lopez-Vera, E. Conorfamide-Sr3, a structurally novel specific inhibitor of the Shaker K(+) channel. Toxicon 2017, 138, 53–58. [Google Scholar] [CrossRef]
- Han, P.; Cao, Y.; Liu, S.; Dai, X.; Yao, G.; Fan, C.; Wu, W.; Chen, J. Contryphan-Bt: A pyroglutamic acid containing conopeptide isolated from the venom of Conus betulinus. Toxicon 2017, 135, 17–23. [Google Scholar] [CrossRef]
- Long, Y.; Cui, H.; Liu, X.; Xiao, Z.; WEN, S.; She, Z.; Huang, X. Acetylcholinesterase Inhibitory Meroterpenoid from a Mangrove Endophytic Fungus Aspergillus sp. 16-5c. Molecules 2017, 22, 727. [Google Scholar] [CrossRef]
- Zidar, N.; Zula, A.; Tomasic, T.; Rogers, M.; Kirby, R.W.; Tytgat, J.; Peigneur, S.; Kikelj, D.; Ilas, J.; Masic, L.P. Clathrodin, hymenidin and oroidin, and their synthetic analogues as inhibitors of the voltage-gated potassium channels. Eur. J. Med. Chem. 2017, 139, 232–241. [Google Scholar] [CrossRef] [PubMed]
- Boccitto, M.; Lee, N.; Sakamoto, S.; Spruce, L.A.; Handa, H.; Clardy, J.; Seeholzer, S.H.; Kalb, R.G. The Neuroprotective Marine Compound Psammaplysene A Binds the RNA-Binding Protein HNRNPK. Mar. Drugs 2017, 15, 246. [Google Scholar] [CrossRef] [PubMed]
- Ding, B.; Wang, Z.; Huang, X.; Liu, Y.; Chen, W.; She, Z. Bioactive alpha-pyrone meroterpenoids from mangrove endophytic fungus Penicillium sp. Nat. Prod. Res. 2016, 30, 2805–2812. [Google Scholar] [CrossRef] [PubMed]
- Omaga, C.A.; Carpio, L.D.; Imperial, J.S.; Daly, N.L.; Gajewiak, J.; Flores, M.S.; Espino, S.S.; Christensen, S.; Filchakova, O.M.; Lopez-Vera, E.; et al. Structure and Biological Activity of a Turripeptide from Unedogemmula bisaya Venom. Biochemistry 2017, 56, 6051–6060. [Google Scholar] [CrossRef] [PubMed]
- Yeon, J.T.; Kim, H.; Kim, K.J.; Lee, J.; Won, D.H.; Nam, S.J.; Kim, S.H.; Kang, H.; Son, Y.J. Acredinone C and the Effect of Acredinones on Osteoclastogenic and Osteoblastogenic Activity. J. Nat. Prod. 2016, 79, 1730–1736. [Google Scholar] [CrossRef] [PubMed]
- Yang, Y.; Bae, M.; Kim, B.; Park, Y.K.; Koo, S.I.; Lee, J.Y. Astaxanthin prevents and reverses the activation of mouse primary hepatic stellate cells. J. Nutr. Biochem. 2016, 29, 21–26. [Google Scholar] [CrossRef]
- Abdjul, D.B.; Kanno, S.I.; Yamazaki, H.; Ukai, K.; Namikoshi, M. A dimeric urea of the bisabolene sesquiterpene from the Okinawan marine sponge Axinyssa sp. inhibits protein tyrosine phosphatase 1B activity in Huh-7 human hepatoma cells. Bioorg. Med. Chem. Lett. 2016, 26, 315–317. [Google Scholar] [CrossRef]
- Lai, K.H.; Liu, Y.C.; Su, J.H.; El-Shazly, M.; Wu, C.F.; Du, Y.C.; Hsu, Y.M.; Yang, J.C.; Weng, M.K.; Chou, C.H.; et al. Antileukemic Scalarane Sesterterpenoids and Meroditerpenoid from Carteriospongia Phyllospongia sp., Induce Apoptosis via Dual Inhibitory Effects on Topoisomerase II and Hsp90. Sci. Rep. 2016, 6, 36170. [Google Scholar] [CrossRef]
- Uchida, R.; Nakajyo, K.; Kobayashi, K.; Ohshiro, T.; Terahara, T.; Imada, C.; Tomoda, H. 7-Chlorofolipastatin, an inhibitor of sterol O-acyltransferase, produced by marine-derived Aspergillus ungui NKH-007. J. Antibiot. 2016, 69, 647–651. [Google Scholar] [CrossRef]
- Esposito, G.; Bourguet-Kondracki, M.L.; Mai, L.H.; Longeon, A.; Teta, R.; Meijer, L.; Van, S.R.; Mangoni, A.; Costantino, V. Chloromethylhalicyclamine B, a Marine-Derived Protein Kinase CK1delta/epsilon Inhibitor. J. Nat. Prod. 2016, 79, 2953–2960. [Google Scholar] [CrossRef]
- Serrill, J.D.; Wan, X.; Hau, A.M.; Jang, H.S.; Coleman, D.J.; Indra, A.K.; Alani, A.W.; McPhail, K.L.; Ishmael, J.E. Coibamide A, a natural lariat depsipeptide, inhibits VEGFA/VEGFR2 expression and suppresses tumor growth in glioblastoma xenografts. Invest. New Drugs 2016, 34, 24–40. [Google Scholar] [CrossRef] [PubMed]
- Issac, M.; Aknin, M.; Gauvin-Bialecki, A.; De Voogd, N.; Ledoux, A.; Frederich, M.; Kashman, Y.; Carmeli, S. Cyclotheonellazoles A-C, Potent Protease Inhibitors from the Marine Sponge Theonella aff. swinhoei. J. Nat. Prod. 2017, 80, 1110–1116. [Google Scholar] [CrossRef] [PubMed]
- Vaden, R.M.; Oswald, N.W.; Potts, M.B.; MacMillan, J.B.; White, M.A. FUSION-Guided Hypothesis Development Leads to the Identification of N(6),N(6)-Dimethyladenosine, a Marine-Derived AKT Pathway Inhibitor. Mar. Drugs 2017, 15, 75. [Google Scholar] [CrossRef] [PubMed]
- Hwang, H.R.; Tai, B.Y.; Cheng, P.Y.; Chen, P.N.; Sung, P.J.; Wen, Z.H.; Hsu, C.H. Excavatolide B Modulates the Electrophysiological Characteristics and Calcium Homeostasis of Atrial Myocytes. Mar. Drugs 2017, 15, 25. [Google Scholar] [CrossRef]
- Ma, S.Y.; Park, W.S.; Lee, D.S.; Choi, G.; Yim, M.J.; Lee, J.M.; Jung, W.K.; Park, S.G.; Seo, S.K.; Park, S.J.; et al. Fucoxanthin inhibits profibrotic protein expression in vitro and attenuates bleomycin-induced lung fibrosis in vivo. Eur. J. Pharmacol. 2017, 811, 199–207. [Google Scholar] [CrossRef]
- Lee, H.Y.; Jang, E.J.; Bae, S.Y.; Jeon, J.E.; Park, H.J.; Shin, J.; Lee, S.K. Anti-Melanogenic Activity of Gagunin D, a Highly Oxygenated Diterpenoid from the Marine Sponge Phorbas sp., via Modulating Tyrosinase Expression and Degradation. Mar. Drugs 2016, 14, 212. [Google Scholar] [CrossRef]
- Kim, K.; Leutou, A.S.; Jeong, H.; Kim, D.; Seong, C.N.; Nam, S.J.; Lim, K.M. Anti-Pigmentary Effect of (-)-4-Hydroxysattabacin from the Marine-Derived Bacterium Bacillus sp. Mar. Drugs 2017, 15, 138. [Google Scholar] [CrossRef]
- Koyama, T.; Kawazoe, Y.; Iwasaki, A.; Ohno, O.; Suenaga, K.; Uemura, D. Anti-obesity activities of the yoshinone A and the related marine gamma-pyrone compounds. J. Antibiot. 2016, 69, 348–351. [Google Scholar] [CrossRef]
- Carlile, G.W.; Robert, R.; Matthes, E.; Yang, Q.; Solari, R.; Hatley, R.; Edge, C.M.; Hanrahan, J.W.; Andersen, R.; Thomas, D.Y.; et al. Latonduine Analogs Restore F508del-Cystic Fibrosis Transmembrane Conductance Regulator Trafficking through the Modulation of Poly-ADP Ribose Polymerase 3 and Poly-ADP Ribose Polymerase 16 Activity. Mol. Pharmacol. 2016, 90, 65–79. [Google Scholar] [CrossRef]
- Ebrahim, H.Y.; El Sayed, K.A. Discovery of Novel Antiangiogenic Marine Natural Product Scaffolds. Mar. Drugs 2016, 14, 57. [Google Scholar] [CrossRef]
- Williams, D.E.; Izard, F.; Arnould, S.; Dalisay, D.S.; Tantapakul, C.; Maneerat, W.; Matainaho, T.; Julien, E.; Andersen, R.J. Structures of Nahuoic Acids B-E Produced in Culture by a Streptomyces sp. Isolated from a Marine Sediment and Evidence for the Inhibition of the Histone Methyl Transferase SETD8 in Human Cancer Cells by Nahuoic Acid A. J. Org. Chem. 2016, 81, 1324–1332. [Google Scholar] [CrossRef] [PubMed]
- Hwang, J.S.; Kim, G.J.; Choi, H.G.; Kim, M.C.; Hahn, D.; Nam, J.W.; Nam, S.J.; Kwon, H.C.; Chin, J.; Cho, S.J.; et al. Identification of Antiangiogenic Potential and Cellular Mechanisms of Napyradiomycin A1 Isolated from the Marine-Derived Streptomyces sp. YP127. J. Nat. Prod. 2017, 80, 2269–2275. [Google Scholar] [CrossRef] [PubMed]
- Loaec, N.; Attanasio, E.; Villiers, B.; Durieu, E.; Tahtouh, T.; Cam, M.; Davis, R.A.; Alencar, A.; Roue, M.; Bourguet-Kondracki, M.L.; et al. Marine-Derived 2-Aminoimidazolone Alkaloids. Leucettamine B-Related Polyandrocarpamines Inhibit Mammalian and Protozoan DYRK & CLK Kinases. Mar. Drugs 2017, 15, 316. [Google Scholar]
- Starkus, J.G.; Poerzgen, P.; Layugan, K.; Kawabata, K.G.; Goto, J.I.; Suzuki, S.; Myers, G.; Kelly, M.; Penner, R.; Fleig, A.; et al. Scalaradial Is a Potent Inhibitor of Transient Receptor Potential Melastatin 2 (TRPM2) Ion Channels. J. Nat. Prod. 2017, 80, 2741–2750. [Google Scholar] [CrossRef] [PubMed]
- Kim, J.W.; Ko, S.K.; Kim, H.M.; Kim, G.H.; Son, S.; Kim, G.S.; Hwang, G.J.; Jeon, E.S.; Shin, K.S.; Ryoo, I.J.; et al. Stachybotrysin, an Osteoclast Differentiation Inhibitor from the Marine-Derived Fungus Stachybotrys sp. KCB13F013. J. Nat. Prod. 2016, 79, 2703–2708. [Google Scholar] [CrossRef]
- Mason, J.W.; Schmid, C.L.; Bohn, L.M.; Roush, W.R. Stolonidiol: Synthesis, Target Identification, and Mechanism for Choline Acetyltransferase Activation. J. Am. Chem. Soc. 2017, 139, 5865–5869. [Google Scholar] [CrossRef]
- Al-Awadhi, F.H.; Ratnayake, R.; Paul, V.J.; Luesch, H. Tasiamide F, a potent inhibitor of cathepsins D and E from a marine cyanobacterium. Bioorg. Med. Chem. 2016, 24, 3276–3282. [Google Scholar] [CrossRef]
- Espiritu, R.A.; Cornelio, K.; Kinoshita, M.; Matsumori, N.; Murata, M.; Nishimura, S.; Kakeya, H.; Yoshida, M.; Matsunaga, S. Marine sponge cyclic peptide theonellamide A disrupts lipid bilayer integrity without forming distinct membrane pores. Biochim. Biophys. Acta 2016, 1858, 1373–1379. [Google Scholar] [CrossRef]
- Garcia-Caballero, M.; Blacher, S.; Paupert, J.; Quesada, A.R.; Medina, M.A.; Noel, A. Novel application assigned to toluquinol: Inhibition of lymphangiogenesis by interfering with VEGF-C/VEGFR-3 signalling pathway. Br. J. Pharmacol. 2016, 173, 1966–1987. [Google Scholar] [CrossRef]
- Yang, Z.; Zhu, M.L.; Li, D.H.; Zeng, R.; Han, B.N. N-Me-trichodermamide B isolated from Penicillium janthinellum, with antioxidant properties through Nrf2-mediated signaling pathway. Bioorg. Med. Chem. 2017, 25, 6614–6622. [Google Scholar] [CrossRef]
- Chen, R.; Cheng, Z.; Huang, J.; Liu, D.; Wu, C.; Guo, P.; Lin, W. Versicotides D–F, new cyclopeptides with lipid-lowering activities. RSC Adv. 2017, 7, 49235–49243. [Google Scholar] [CrossRef]
- Abdjul, D.B.; Yamazaki, H.; Kanno, S.I.; Wewengkang, D.S.; Rotinsulu, H.; Sumilat, D.A.; Ukai, K.; Kapojos, M.M.; Namikoshi, M. Furanoterpenes, new types of protein tyrosine phosphatase 1B inhibitors, from two Indonesian marine sponges, Ircinia and Spongia spp. Bioorg. Med. Chem. Lett. 2017, 27, 1159–1161. [Google Scholar] [CrossRef] [PubMed]
- Zhang, Y.; Meng, T.; Zuo, L.; Bei, Y.; Zhang, Q.; Su, Z.; Huang, Y.; Pang, J.; Xiang, Q.; Yang, H. Xyloketal B Attenuates Fatty Acid-Induced Lipid Accumulation via the SREBP-1c Pathway in NAFLD Models. Mar. Drugs 2017, 15, 163. [Google Scholar] [CrossRef] [PubMed]
- Mohamad, H.; Muhammad, R.; Andriani, Y.; Bakar, K.; Ismail, N.; Saidin, J.; Latip, J.; Musa, N.; Parenrengi, A. Potential secondary metabolites from marine sponge Aaptos aaptos for atherosclerosis and vibriosis treatments. Nat. Prod. Commun. 2017, 12, 1227–1230. [Google Scholar] [CrossRef]
- Tan, C.; Liu, Z.; Chen, S.; Huang, X.; Cui, H.; Long, Y.; Lu, Y.; She, Z. Antioxidative Polyketones from the Mangrove-Derived Fungus Ascomycota sp. SK2YWS-L. Sci. Rep. 2016, 6, 36609. [Google Scholar] [CrossRef]
- Leutou, A.S.; Yun, K.; Son, B.W. Induced production of 6,9-dibromoflavasperone, a new radical scavenging naphthopyranone in the marine-mudflat-derived fungus Aspergillus niger. Arch. Pharm. Res. 2016, 39, 806–810. [Google Scholar] [CrossRef]
- Sobolevskaya, M.P.; Zhuravleva, O.I.; Leshchenko, E.V.; Zakharenko, A.M.; Denisenko, V.A.; Kirichuk, N.N.; Popov, R.S.; Berdyshev, D.V.; Pislyagin, E.A.; Pivkin, M.V.; et al. New metabolites from the alga-derived fungi Penicillium thomii Maire and Penicillium lividum Westling. Phytochem. Lett. 2016, 15, 7–12. [Google Scholar] [CrossRef]
- Wu, B.; Wiese, J.; Schmaljohann, R.; Imhoff, J.F. Biscogniauxone, a New Isopyrrolonaphthoquinone Compound from the Fungus Biscogniauxia mediterranea Isolated from Deep-Sea Sediments. Mar. Drugs 2016, 14, 204. [Google Scholar] [CrossRef]
- Oleinikova, G.K.; Denisenko, V.A.; Berdyshev, D.V.; Pushilin, M.A.; Kirichuk, N.N.; Menzorova, N.I.; Kuzmich, A.S.; Yurchenko, E.A.; Zhuravleva, O.I. Two new sesterterpenoids, terretonins H and I, from the marine-derived fungus Aspergillus ustus. Phytochem. Lett. 2016, 17, 135–139. [Google Scholar] [CrossRef]
- El-Desoky, A.H.; Kato, H.; Kagiyama, I.; Hitora, Y.; Losung, F.; Mangindaan, R.E.; de Voogd, N.J.; Tsukamoto, S. Ceylonins A-F, Spongian Diterpene Derivatives That Inhibit RANKL-Induced Formation of Multinuclear Osteoclasts, from the Marine Sponge Spongia ceylonensis. J. Nat. Prod. 2017, 80, 90–95. [Google Scholar] [CrossRef]
- Li, Y.; Liu, D.; Cheng, Z.; Proksch, P.; Lin, W. Cytotoxic trichothecene-type sesquiterpenes from the sponge-derived fungus Stachybotrys chartarum with tyrosine kinase inhibition. RSC Adv. 2017, 7, 7259–7267. [Google Scholar] [CrossRef]
- Noinart, J.; Buttachon, S.; Dethoup, T.; Gales, L.; Pereira, J.A.; Urbatzka, R.; Freitas, S.; Lee, M.; Silva, A.M.S.; Pinto, M.M.M.; et al. A New Ergosterol Analog, a New Bis-Anthraquinone and Anti-Obesity Activity of Anthraquinones from the Marine Sponge-Associated Fungus Talaromyces stipitatus KUFA 0207. Mar. Drugs 2017, 15, 139. [Google Scholar] [CrossRef]
- Li, X.; Xia, Z.; Tang, J.; Wu, J.; Tong, J.; Li, M.; Ju, J.; Chen, H.; Wang, L. Identification and Biological Evaluation of Secondary Metabolites from Marine Derived Fungi-Aspergillus sp. SCSIOW3, Cultivated in the Presence of Epigenetic Modifying Agents. Molecules 2017, 22, 1302. [Google Scholar] [CrossRef]
- Yun, K.; Khong, T.T.; Leutou, A.S.; Kim, G.D.; Hong, J.; Lee, C.H.; Son, B.W. Cristazine, a New Cytotoxic Dioxopiperazine Alkaloid from the Mudflat-Sediment-Derived Fungus Chaetomium cristatum. Chem. Pharm. Bull. 2016, 64, 59–62. [Google Scholar] [CrossRef] [PubMed]
- Long, H.; Cheng, Z.; Huang, W.; Wu, Q.; Li, X.; Cui, J.; Proksch, P.; Lin, W. Diasteltoxins A-C, Asteltoxin-Based Dimers from a Mutant of the Sponge-Associated Emericella variecolor Fungus. Org. Lett. 2016, 18, 4678–4681. [Google Scholar] [CrossRef] [PubMed]
- Goey, A.K.; Chau, C.H.; Sissung, T.M.; Cook, K.M.; Venzon, D.J.; Castro, A.; Ransom, T.R.; Henrich, C.J.; McKee, T.C.; McMahon, J.B.; et al. Screening and Biological Effects of Marine Pyrroloiminoquinone Alkaloids: Potential Inhibitors of the HIF-1alpha/p300 Interaction. J. Nat. Prod. 2016, 79, 1267–1275. [Google Scholar] [CrossRef] [PubMed]
- Arai, M.; Shin, D.; Kamiya, K.; Ishida, R.; Setiawan, A.; Kotoku, N.; Kobayashi, M. Marine spongean polybrominated diphenyl ethers, selective growth inhibitors against the cancer cells adapted to glucose starvation, inhibits mitochondrial complex II. J. Nat. Med. 2017, 71, 44–49. [Google Scholar] [CrossRef] [PubMed]
- Jiao, W.H.; Shi, G.H.; Xu, T.T.; Chen, G.D.; Gu, B.B.; Wang, Z.; Peng, S.; Wang, S.P.; Li, J.; Han, B.N.; et al. Dysiherbols A-C and Dysideanone E, Cytotoxic and NF-kappaB Inhibitory Tetracyclic Meroterpenes from a Dysidea sp. Marine Sponge. J. Nat. Prod. 2016, 79, 406–411. [Google Scholar] [CrossRef] [PubMed]
- Vasileva, E.A.; Mishchenko, N.P.; Zadorozhny, P.A.; Fedoreyev, S.A. New Aminonaphthoquinone from the Sea Urchins Strongylocentrotus pallidus and Mesocentrotus nudus. Nat. Prod. Commun. 2016, 11, 821–824. [Google Scholar] [CrossRef]
- Almeida, C.; El, M.F.; Kehraus, S.; Schnakenburg, G.; Konig, G.M. Endolides A and B, Vasopressin and Serotonin-Receptor Interacting N-Methylated Peptides from the Sponge-Derived Fungus Stachylidium sp. Org. Lett. 2016, 18, 528–531. [Google Scholar] [CrossRef]
- Meng, L.H.; Mandi, A.; Li, X.M.; Liu, Y.; Kurtan, T.; Wang, B.G. Isolation, Stereochemical Study, and Antioxidant Activity of Benzofuranone Derivatives from a Mangrove-derived Fungus Eurotium rubrum MA-150. Chirality 2016, 28, 581–584. [Google Scholar] [CrossRef] [PubMed]
- Manda, S.; Sharma, S.; Wani, A.; Joshi, P.; Kumar, V.; Guru, S.K.; Bharate, S.S.; Bhushan, S.; Vishwakarma, R.A.; Kumar, A.; et al. Discovery of a marine-derived bis-indole alkaloid fascaplysin, as a new class of potent P-glycoprotein inducer and establishment of its structure-activity relationship. Eur. J. Med. Chem. 2016, 107, 1–11. [Google Scholar] [CrossRef] [PubMed]
- Huang, R.Y.; Chen, W.T.; Kurtan, T.; Mandi, A.; Ding, J.; Li, J.; Li, X.W.; Guo, Y.W. Bioactive isoquinolinequinone alkaloids from the South China Sea nudibranch Jorunna funebris and its sponge-prey Xestospongia sp. Future Med. Chem. 2016, 8, 17–27. [Google Scholar] [CrossRef] [PubMed]
- Hahn, D.; Kim, H.; Yang, I.; Chin, J.; Hwang, H.; Won, D.H.; Lee, B.; Nam, S.J.; Ekins, M.; Choi, H.; et al. The Halicylindramides, Farnesoid X Receptor Antagonizing Depsipeptides from a Petrosia sp. Marine Sponge Collected in Korea. J. Nat. Prod. 2016, 79, 499–506. [Google Scholar] [CrossRef]
- Abdjul, D.B.; Yamazaki, H.; Takahashi, O.; Kirikoshi, R.; Ukai, K.; Namikoshi, M. Isopetrosynol, a New Protein Tyrosine Phosphatase 1B Inhibitor, from the Marine Sponge Halichondria cf. panicea Collected at Iriomote Island. Chem. Pharm. Bull. 2016, 64, 733–736. [Google Scholar] [CrossRef][Green Version]
- Cui, J.; Morita, M.; Ohno, O.; Kimura, T.; Teruya, T.; Watanabe, T.; Suenaga, K.; Shibasaki, M. Leptolyngbyolides, Cytotoxic Macrolides from the Marine Cyanobacterium Leptolyngbya sp.: Isolation, Biological Activity, and Catalytic Asymmetric Total Synthesis. Chemistry 2017, 23, 8500–8509. [Google Scholar] [CrossRef]
- Nazari, M.; Serrill, J.D.; Wan, X.; Nguyen, M.H.; Anklin, C.; Gallegos, D.A.; Smith, A.B., III; Ishmael, J.E.; McPhail, K.L. New Mandelalides Expand a Macrolide Series of Mitochondrial Inhibitors. J. Med. Chem. 2017, 60, 7850–7862. [Google Scholar] [CrossRef]
- Wahab, H.A.; Pham, N.B.; Muhammad, T.S.; Hooper, J.N.; Quinn, R.J. Merosesquiterpene Congeners from the Australian Sponge Hyrtios digitatus as Potential Drug Leads for Atherosclerosis Disease. Mar. Drugs 2016, 15, 6. [Google Scholar] [CrossRef]
- Korolkova, Y.; Makarieva, T.; Tabakmakher, K.; Shubina, L.; Kudryashova, E.; Andreev, Y.; Mosharova, I.; Lee, H.S.; Lee, Y.J.; Kozlov, S. Marine Cyclic Guanidine Alkaloids Monanchomycalin B and Urupocidin A Act as Inhibitors of TRPV1, TRPV2 and TRPV3, but not TRPA1 Receptors. Mar. Drugs 2017, 15, 87. [Google Scholar] [CrossRef]
- Chianese, G.; Yu, H.B.; Yang, F.; Sirignano, C.; Luciano, P.; Han, B.N.; Khan, S.; Lin, H.W.; Taglialatela-Scafati, O. PPAR Modulating Polyketides from a Chinese Plakortis simplex and Clues on the Origin of Their Chemodiversity. J. Org. Chem. 2016, 81, 5135–5143. [Google Scholar] [CrossRef]
- Xue, D.Q.; Liu, H.L.; Chen, S.H.; Mollo, E.; Gavagnin, M.; Li, J.; Li, X.W.; Guo, Y.W. 5-Alkylpyrrole-2-carboxaldehyde derivatives from the Chinese sponge Mycale lissochela and their PTP1B inhibitory activities. Chinese Chem. Lett. 2017, 28, 1190–1193. [Google Scholar] [CrossRef]
- Wang, J.; Mu, F.R.; Jiao, W.H.; Huang, J.; Hong, L.L.; Yang, F.; Xu, Y.; Wang, S.P.; Sun, F.; Lin, H.W. Meroterpenoids with Protein Tyrosine Phosphatase 1B Inhibitory Activity from a Hyrtios sp. Marine Sponge. J. Nat. Prod. 2017, 80, 2509–2514. [Google Scholar] [CrossRef] [PubMed]
- Fukuhara, K.; Takada, K.; Okada, S.; Matsunaga, S. Nazumazoles D-F, Cyclic Pentapeptides That Inhibit Chymotrypsin, from the Marine Sponge Theonella swinhoei. J. Nat. Prod. 2016, 79, 1694–1697. [Google Scholar] [CrossRef] [PubMed]
- Wiese, J.; Imhoff, J.F.; Gulder, T.A.; Labes, A.; Schmaljohann, R. Marine Fungi as Producers of Benzocoumarins, a New Class of Inhibitors of Glycogen-Synthase-Kinase 3beta. Mar. Drugs 2016, 14, 200. [Google Scholar] [CrossRef] [PubMed]
- Ding, H.; Zhang, D.; Zhou, B.; Ma, Z. Inhibitors of BRD4 Protein from a Marine-Derived Fungus Alternaria sp. NH-F6. Mar. Drugs 2017, 15, 76. [Google Scholar] [CrossRef]
- Tanokashira, N.; Kukita, S.K.; Kato, H.; Nehira, T.; Angkouw, E.D.; Mangindaan, R.E.; Devoogd, N.J.; Tsukamoto, S. Petroquinones: Trimeric and dimeric xestoquinone derivatives isolated from the marine sponge Petrosia alfiani. Tetrahedron 2016, 72, 5530–5540. [Google Scholar] [CrossRef]
- Zhao, Y.; Liu, D.; Proksch, P.; Yu, S.; Lin, W. Isocoumarin Derivatives from the Sponge-Associated Fungus Peyronellaea glomerata with Antioxidant Activities. Chem. Biodivers. 2016, 13, 1186–1193. [Google Scholar] [CrossRef]
- Lee, M.S.; Wang, S.W.; Wang, G.J.; Pang, K.L.; Lee, C.K.; Kuo, Y.H.; Cha, H.J.; Lin, R.K.; Lee, T.H. Angiogenesis Inhibitors and Anti-Inflammatory Agents from Phoma sp. NTOU4195. J. Nat. Prod. 2016, 79, 2983–2990. [Google Scholar] [CrossRef]
- Imperatore, C.; Luciano, P.; Aiello, A.; Vitalone, R.; Irace, C.; Santamaria, R.; Li, J.; Guo, Y.W.; Menna, M. Structure and Configuration of Phosphoeleganin, a Protein Tyrosine Phosphatase 1B Inhibitor from the Mediterranean Ascidian Sidnyum elegans. J. Nat. Prod. 2016, 79, 1144–1148. [Google Scholar] [CrossRef]
- Georgantea, P.; Ioannou, E.; Evain-Bana, E.; Bagrel, D.; Martinet, N.; Vagias, C.; Roussis, V. Sesquiterpenes with inhibitory activity against CDC25 phosphatases from the soft coral Pseudopterogorgia rigida. Tetrahedron 2016, 72, 3262–3269. [Google Scholar] [CrossRef]
- El-Desoky, A.H.; Kato, H.; Tsukamoto, S. Ceylonins G-I: Spongian diterpenes from the marine sponge Spongia ceylonensis. J. Nat. Med. 2017, 71, 765–769. [Google Scholar] [CrossRef]
- Ortega, M.J.; Pantoja, J.J.; de Los, R.C.; Zubia, E. 5-Alkylresorcinol Derivatives from the Bryozoan Schizomavella mamillata: Isolation, Synthesis, and Antioxidant Activity. Mar. Drugs 2017, 15, 344. [Google Scholar] [CrossRef]
- Yin, Y.; Fu, Q.; Wu, W.; Cai, M.; Zhou, X.; Zhang, Y. Producing Novel Fibrinolytic Isoindolinone Derivatives in Marine Fungus Stachybotrys longispora FG216 by the Rational Supply of Amino Compounds According to Its Biosynthesis Pathway. Mar. Drugs 2017, 15, 214. [Google Scholar] [CrossRef]
- Li, J.; Gu, B.B.; Sun, F.; Xu, J.R.; Jiao, W.H.; Yu, H.B.; Han, B.N.; Yang, F.; Zhang, X.C.; Lin, H.W. Sesquiterpene Quinones/Hydroquinones from the Marine Sponge Spongia pertusa Esper. J. Nat. Prod. 2017, 80, 1436–1445. [Google Scholar] [CrossRef]
- Afifi, A.H.; Kagiyama, I.; El-Desoky, A.H.; Kato, H.; Mangindaan, R.E.P.; de Voogd, N.J.; Ammar, N.M.; Hifnawy, M.S.; Tsukamoto, S. Sulawesins A-C, Furanosesterterpene Tetronic Acids That Inhibit USP7, from a Psammocinia sp. Marine Sponge. J. Nat. Prod. 2017, 80, 2045–2050. [Google Scholar] [CrossRef]
- Kanamori, Y.; Iwasaki, A.; Sumimoto, S.; Suenaga, K. Urumamide, a novel chymotrypsin inhibitor with a ß-amino acid from a marine cyanobacterium Okeania sp. Tetrahedrom Lett. 2016, 57, 4213–4216. [Google Scholar] [CrossRef]
- Cheng, Z.; Lou, L.; Liu, D.; Li, X.; Proksch, P.; Yin, S.; Lin, W. Versiquinazolines A-K, Fumiquinazoline-Type Alkaloids from the Gorgonian-Derived Fungus Aspergillus versicolor LZD-14-1. J. Nat. Prod. 2016, 79, 2941–2952. [Google Scholar] [CrossRef]
- He, W.F.; Xue, D.Q.; Yao, L.G.; Li, J.; Liu, H.L.; Guo, Y.W. A new bioactive steroidal ketone from the South China Sea sponge Xestospongia testudinaria. J. Asian Nat. Prod. Res 2016, 18, 195–199. [Google Scholar] [CrossRef]
- Blunt, J.W.; Copp, B.R.; Keyzers, R.A.; Munro, M.H.; Prinsep, M.R. Marine natural products. Nat. Prod. Rep. 2016, 33, 382–431. [Google Scholar] [CrossRef]
- Blunt, J.W.; Copp, B.R.; Keyzers, R.A.; Munro, M.H.; Prinsep, M.R. Marine natural products. Nat. Prod. Rep. 2017, 34, 235–294. [Google Scholar] [CrossRef]
- Berlinck, R.G.; Romminger, S. The chemistry and biology of guanidine natural products. Nat. Prod. Rep. 2016, 33, 456–490. [Google Scholar] [CrossRef]
- Shi, Y.; Moazami, Y.; Pierce, J.G. Structure, synthesis and biological properties of the pentacyclic guanidinium alkaloids. Bioorg. Med. Chem. 2017, 25, 2817–2824. [Google Scholar] [CrossRef]
- Pereira, R.B.; Andrade, P.B.; Valentao, P. Chemical Diversity and Biological Properties of Secondary Metabolites from Sea Hares of Aplysia Genus. Mar. Drugs 2016, 14, 39. [Google Scholar] [CrossRef]
- Chai, Q.Y.; Yang, Z.; Lin, H.W.; Han, B.N. Alkynyl-Containing Peptides of Marine Origin: A Review. Mar. Drugs 2016, 14, 216. [Google Scholar] [CrossRef]
- Mazard, S.; Penesyan, A.; Ostrowski, M.; Paulsen, I.T.; Egan, S. Tiny Microbes with a Big Impact: The Role of Cyanobacteria and Their Metabolites in Shaping Our Future. Mar. Drugs 2016, 14, 97. [Google Scholar] [CrossRef]
- Davila-Cespedes, A.; Hufendiek, P.; Crusemann, M.; Schaberle, T.F.; Konig, G.M. Marine-derived myxobacteria of the suborder Nannocystineae: An underexplored source of structurally intriguing and biologically active metabolites. Beilstein. J. Org. Chem 2016, 12, 969–984. [Google Scholar] [CrossRef]
- Offret, C.; Desriac, F.; Le, C.P.; Mounier, J.; Jegou, C.; Fleury, Y. Spotlight on Antimicrobial Metabolites from the Marine Bacteria Pseudoalteromonas: Chemodiversity and Ecological Significance. Mar. Drugs 2016, 14, 129. [Google Scholar] [CrossRef]
- Ma, H.G.; Liu, Q.; Zhu, G.L.; Liu, H.S.; Zhu, W.M. Marine natural products sourced from marine-derived Penicillium fungi. J. Asian Nat. Prod. Res. 2016, 18, 92–115. [Google Scholar] [CrossRef]
- Zhang, P.; Li, X.; Wang, B.G. Secondary Metabolites from the Marine Algal-Derived Endophytic Fungi: Chemical Diversity and Biological Activity. Planta Med. 2016, 82, 832–842. [Google Scholar] [CrossRef]
- Abdul, Q.A.; Choi, R.J.; Jung, H.A.; Choi, J.S. Health benefit of fucosterol from marine algae: A review. J. Sci. Food Agric. 2016, 96, 1856–1866. [Google Scholar] [CrossRef]
- Avila, C. Ecological and Pharmacological Activities of Antarctic Marine Natural Products. Planta Med. 2016, 82, 767–774. [Google Scholar] [CrossRef] [PubMed]
- Bahrami, Y.; Franco, C.M. Acetylated Triterpene Glycosides and Their Biological Activity from Holothuroidea Reported in the Past Six Decades. Mar. Drugs 2016, 14, 147. [Google Scholar] [CrossRef] [PubMed]
- Chang, Y.C.; Sheu, J.H.; Wu, Y.C.; Sung, P.J. Terpenoids from Octocorals of the Genus Pachyclavularia. Mar. Drugs 2017, 15, 382. [Google Scholar] [CrossRef] [PubMed]
- Shady, N.H.; El-Hossary, E.M.; Fouad, M.A.; Gulder, T.A.M.; Kamel, M.S.; Abdelmohsen, U.R. Bioactive Natural Products of Marine Sponges from the Genus Hyrtios. Molecules 2017, 22, 781. [Google Scholar] [CrossRef] [PubMed]
- Zhang, H.; Dong, M.; Wang, H.; Crews, P. Secondary Metabolites from the Marine Sponge Genus Phyllospongia. Mar. Drugs 2017, 15, 12. [Google Scholar] [CrossRef]
- Amoutzias, G.D.; Chaliotis, A.; Mossialos, D. Discovery Strategies of Bioactive Compounds Synthesized by Nonribosomal Peptide Synthetases and Type-I Polyketide Synthases Derived from Marine Microbiomes. Mar. Drugs 2016, 14, 80. [Google Scholar] [CrossRef]
- Newman, D.J. Developing natural product drugs: Supply problems and how they have been overcome. Pharmacol. Ther. 2016, 162, 1–9. [Google Scholar] [CrossRef]
- Daletos, G.; Ebrahim, W.; Ancheeva, E.; El-Neketi, M.; Song, W.; Lin, W.; Proksch, P. Natural Products from Deep-Sea-Derived Fungi A New Source of Novel Bioactive Compounds? Curr. Med. Chem. 2018, 25, 186–207. [Google Scholar] [CrossRef]
- Mariottini, G.L.; Grice, I.D. Antimicrobials from Cnidarians. A New Perspective for Anti-Infective Therapy? Mar. Drugs 2016, 14, 48. [Google Scholar] [CrossRef]
- Cheuka, P.M.; Mayoka, G.; Mutai, P.; Chibale, K. The Role of Natural Products in Drug Discovery and Development against Neglected Tropical Diseases. Molecules 2016, 22, 58. [Google Scholar] [CrossRef]
- Sansinenea, E.; Ortiz, A. Antimycobacterial Natural Products from Marine Pseudopterogorgia elisabethae. Curr. Org. Synth. 2016, 13, 556–568. [Google Scholar] [CrossRef]
- Chen, C.Y.; Tsai, Y.F.; Chang, W.Y.; Yang, S.C.; Hwang, T.L. Marine Natural Product Inhibitors of Neutrophil-Associated Inflammation. Mar. Drugs 2016, 14, 141. [Google Scholar] [CrossRef] [PubMed]
- Chiesa, G.; Busnelli, M.; Manzini, S.; Parolini, C. Nutraceuticals and Bioactive Components from Fish for Dyslipidemia and Cardiovascular Risk Reduction. Mar. Drugs 2016, 14, 113. [Google Scholar] [CrossRef] [PubMed]
- Alghazwi, M.; Kan, Y.Q.; Zhang, W.; Gai, W.P.; Yan, X.X. Neuroprotective Activities of Marine Natural Products from Marine Sponges. Curr. Med. Chem. 2016, 23, 360–382. [Google Scholar] [CrossRef]
- Huang, Y.; Peng, C.; Yi, Y.; Gao, B.; Shi, Q. A Transcriptomic Survey of Ion Channel-Based Conotoxins in the Chinese Tubular Cone Snail (Conus betulinus). Mar. Drugs 2017, 15, 228. [Google Scholar] [CrossRef] [PubMed]
- Molgo, J.; Marchot, P.; Araoz, R.; Benoit, E.; Iorga, B.I.; Zakarian, A.; Taylor, P.; Bourne, Y.; Servent, D. Cyclic imine toxins from dinoflagellates: A growing family of potent antagonists of the nicotinic acetylcholine receptors. J. Neurochem. 2017, 142 (Suppl. 2), 41–51. [Google Scholar] [CrossRef]
- Sadeghi, M.; McArthur, J.R.; Finol-Urdaneta, R.K.; Adams, D.J. Analgesic conopeptides targeting G protein-coupled receptors reduce excitability of sensory neurons. Neuropharmacology 2017, 127, 116–123. [Google Scholar] [CrossRef]
- Bai, H.; Kong, W.W.; Shao, C.L.; Li, Y.; Liu, Y.Z.; Liu, M.; Guan, F.F.; Wang, C.Y. Zebrafish Embryo Toxicity Microscale Model for Ichthyotoxicity Evaluation of Marine Natural Products. Mar. Biotechnol. 2016, 18, 264–270. [Google Scholar] [CrossRef]
- Agrawal, S.; Adholeya, A.; Deshmukh, S.K. The Pharmacological Potential of Non-ribosomal Peptides from Marine Sponge and Tunicates. Front. Pharmacol. 2016, 7, 333. [Google Scholar] [CrossRef]
- Garcia-Vilas, J.A.; Martinez-Poveda, B.; Quesada, A.R.; Medina, M.A. Aeroplysinin-1, a Sponge-Derived Multi-Targeted Bioactive Marine Drug. Mar. Drugs 2016, 14, 1. [Google Scholar] [CrossRef]
- Alfonso, A.; Vieytes, M.R.; Botana, L.M. Yessotoxin, a Promising Therapeutic Tool. Mar. Drugs 2016, 14, 30. [Google Scholar] [CrossRef]
- Valeur, E.; Gueret, S.; Adihou, H.; Gopalakrishnan, R.; Lemurell, M.; Waldmann, H.; Grossman, T.; Plowright, A. New Modalities for Challenging Targets in Drug Discovery. Angew. Chem. Int. Ed. 2017, 56, 10294–10323. [Google Scholar] [CrossRef] [PubMed]
Publisher’s Note: MDPI stays neutral with regard to jurisdictional claims in published maps and institutional affiliations. |
© 2021 by the authors. Licensee MDPI, Basel, Switzerland. This article is an open access article distributed under the terms and conditions of the Creative Commons Attribution (CC BY) license (http://creativecommons.org/licenses/by/4.0/).


















