Anti-Allergic Compounds from the Deep-Sea-Derived Actinomycete Nesterenkonia flava MCCC 1K00610
Abstract
:1. Introduction
2. Results
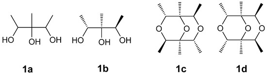
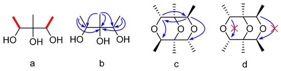
2.1. Structure Elucidation
2.2. Anti-Allergic Activity
3. Discussion
4. Materials and Methods
4.1. General Experimental Procedures
4.2. Bacterial Material
4.3. Cultivation and Extraction
4.4. Isolation and Purification
4.5. Anti-Allergic Bioassay
5. Conclusions
Supplementary Materials
Acknowledgments
Author Contributions
Conflicts of Interest
References
- Skropeta, D.; Wei, L. Recent advances in deep-sea natural products. Nat. Prod. Rep. 2014, 31, 999–1025. [Google Scholar] [CrossRef] [PubMed]
- Zhang, W.; Yang, C.; Huang, C.; Zhang, L.; Zhang, H.; Zhang, Q.; Yuan, C.S.; Zhu, Y.; Zhang, C. Pyrazolofluostatins A–C, pyrazole-fused benzo[a]fluorenes from South China Sea-derived Micromonospora rosaria SCSIO N160. Org. Lett. 2017, 19, 592–595. [Google Scholar] [CrossRef] [PubMed]
- Zhang, Y.; Adnani, N.; Braun, D.R.; Ellis, G.A.; Barns, K.J.; Parker-Nance, S.; Guzei, I.A.; Bugni, T.S. Micromonohalimanes A and B: Antibacterial halimane-type diterpenoids from a marine Micromonospora species. J. Nat. Prod. 2016, 79, 2968–2972. [Google Scholar] [CrossRef] [PubMed]
- Nam, S.J.; Kauffman, C.A.; Jensen, P.R.; Moore, C.E.; Rheingold, A.L.; Fenical, W. Actinobenzoquinoline and actinophenanthrolines A–C, unprecedented alkaloids from a aarine Actinobacterium. Org. Lett. 2015, 17, 3240–3243. [Google Scholar] [CrossRef] [PubMed]
- Newman, D.J.; Cragg, G.M. Natural products as sources of new drugs from 1981 to 2014. J. Nat. Prod. 2016, 79, 629–661. [Google Scholar] [CrossRef] [PubMed]
- Kanani, J.; Banerjee, M.; Rajendran, N. Drugs from marine microorganisms. Int. J. Pharm. Sci. Rev. Res. 2014, 27, 188–191. [Google Scholar]
- Janardhan, A.; Kumar, A.P.; Viswanath, B.; Saigopal, D.V.; Narasimha, G. Production of bioactive compounds by actinomycetes and their antioxidant properties. Biotechnol. Res. Int. 2014, 2014, 1–8. [Google Scholar] [CrossRef] [PubMed]
- Jensen, P.R.; Moore, B.S.; Fenical, W. The marine actinomycete genus Salinispora: A model organism for secondary metabolite discovery. Nat. Prod. Rep. 2015, 32, 738–751. [Google Scholar] [CrossRef] [PubMed]
- Abdelmohsen, U.R.; Bayer, K.; Hentschel, U. Diversity, abundance and natural products of marine sponge-associated actinomycetes. Nat. Prod. Rep. 2014, 31, 381–399. [Google Scholar] [CrossRef] [PubMed]
- He, S.; Wang, H.; Yan, X.; Zhu, P.; Chen, J.; Yang, R. Preparative isolation and purification of macrolactin antibiotics from marine bacterium Bacillus amyloliquefaciens using high-speed counter-current chromatography in stepwise elution mode. J. Chromatogr. A 2013, 1272, 15–19. [Google Scholar] [CrossRef] [PubMed]
- Tomokazu, N.; Kyoko, A.; Miho, S.; Miyuki, N.; Hiroshi, S. Novel macrolactins as antibiotic lactones from a marine bacterium. J. Antibiot. 2001, 54, 333–339. [Google Scholar]
- Fdhila, F.; Vazquez, V.; Sanchez, J.L.; Riguera, R. dd-Diketopiperazines: Antibiotics active against Vibrio anguillarum isolated from marine bacteria associated with cultures of Pecten maximus. J. Nat. Prod. 2003, 66, 1299–1301. [Google Scholar] [CrossRef] [PubMed]
- Tan, N.H.; Wang, S.M.; Yang, Y.B.; He, M. Cyclodipeptides of Panax notoginseng and Lactams of Panas ginseng. Yunnan Zhiwu Yanjiu 2003, 25, 366–368. [Google Scholar]
- Youssef, D.T.A.; Badr, J.M.; Shaala, L.A.; Mohamed, G.A.; Bamanie, F.H. Ehrenasterol and biemnic acid; new bioactive compounds from the Red Sea sponge Biemna ehrenbergi. Phytochem. Lett. 2015, 12, 296–301. [Google Scholar] [CrossRef]
- Du, W.P.; Xu, P.; Liu, B.; Xu, X.H.; Lai, X.W.; Li, B. Chemical constituents from shoots of Phyllostachys edulis (I). Zhongcaoyao 2015, 46, 334–338. [Google Scholar]
- Asiri, I.A.M.; Badr, J.M.; Youssef, D.T.A. Penicillivinacine, antimigratory diketopiperazine alkaloid from the marine-derived fungus Penicillium vinaceum. Phytochem. Lett. 2015, 13, 53–58. [Google Scholar] [CrossRef]
- Böhlendorf, B.; Bedorf, N.; Jansen, R.; Wolfram, T.K.; Höfle, G.; Forche, E.; Gerth, K.; Irschik, H.; Kunze, B.; Reichenbach, H. Indole and quinoline derivatives as metabolites of tryptophan in Myxobacteria. Eur. J. Org. Chem. 1996, 1996, 49–53. [Google Scholar]
- Gutierrezlugo, M.T.; Woldemichael, G.M.; Singh, M.P.; Suarez, P.A.; Maiese, W.M.; Montenegro, G.; Timmermann, B.N. Isolation of three new naturally occurring compounds from the culture of Micromonospora sp. P1068. Nat. Prod. Res. 2005, 19, 645–652. [Google Scholar] [CrossRef] [PubMed]
- Lou, H.X.; Yuan, H.Q.; Yamazaki, Y.; Sasaki, T.; Oka, S. Alkaloids and flavonoids from peanut skins. Planta Med. 2001, 67, 345–349. [Google Scholar] [CrossRef] [PubMed]
- Uemura, Y.; Sugimoto, S.; Matsunami, K.; Otsuka, H.; Takeda, Y.; Kawahata, M.; Yamaguchi, K. Microtropins A–I: 6′-O-(2″S,3″R)-2″-Ethyl-2″,3″-dihydroxybutyrates of aliphatic alcohol β-d-glucopyranosides from the branches of Microtropis japonica. Phytochemistry 2013, 87, 140–147. [Google Scholar] [CrossRef] [PubMed]
- Bergmann, M.M.; Eigenmann, P.A. Food allergy in childhood (infancy to school age). Chem. Immunol. Allergy 2015, 101, 38–50. [Google Scholar] [PubMed]
- Taylor, S.L.; Baumert, J.L. Worldwide food allergy labeling and detection of allergens in processed foods. Chem. Immunol. Allergy 2015, 101, 227–234. [Google Scholar] [PubMed]
- Chen, C.Y.; Lee, J.B.; Liu, B.; Ohta, S.; Wang, P.Y.; Kartashov, A.V.; Mugge, L.; Abonia, J.P.; Barski, A.; Izuhara, K.; et al. Induction of interleukin-9-producing mucosal mast cells promotes susceptibility to IgE-mediated experimental food allergy. Immunity 2015, 43, 788–802. [Google Scholar] [CrossRef] [PubMed]
- Moriyama, T. Diversity of food allergy. J. Nutr. Sci. Vitaminol. 2015, 61, S106–S108. [Google Scholar] [CrossRef] [PubMed]
- Passante, E.; Ehrhardt, C.; Sheridan, H.; Frankish, N. RBL-2H3 cells are an imprecise model for mast cell mediator release. Inflamm. Res. 2009, 58, 611–618. [Google Scholar] [CrossRef] [PubMed]
- Gilfillan, A.M.; Tkaczyk, C. Integrated signalling pathways for mast-cell activation. Nat. Rev. Immunol. 2006, 6, 218–230. [Google Scholar] [CrossRef] [PubMed]
- Chokshi, N.Y.; Sicherer, S.H. Interpreting IgE sensitization tests in food allergy. Expert. Rev. Clin. Immunol. 2016, 12, 389–403. [Google Scholar] [CrossRef] [PubMed]
- Burbank, A.J.; Burks, W. Food specific oral immunotherapy: A potential treatment for food allergy. Expert Rev. Gastroenterol. Hepatol. 2015, 9, 1147–1159. [Google Scholar] [CrossRef] [PubMed]
- Carrard, A.; Rizzuti, D.; Sokollik, C. Update on food allergy. Allergy 2015, 70, 1511–1520. [Google Scholar] [CrossRef] [PubMed]
- Nowak, W.A.; Groetch, M. Nutritional aspects and diets in food allergy. Chem. Immunol. Allergy 2015, 101, 209–220. [Google Scholar]
- Sharma, H.P.; Herbert, L.J. Food allergy: Psychosocial impact and public policy implications. Chem. Immunol. Allergy 2015, 101, 221–226. [Google Scholar] [PubMed]
- Govender, L.; Naidoo, L.; Setati, M.E. Nesterenkonia suensis sp. nov., a haloalkaliphilic actinobacterium isolated from a salt pan. Int. J. Syst. Evol. Microbiol. 2013, 63, 41–46. [Google Scholar] [CrossRef] [PubMed]
- Stackebrandt, E.; Koch, C.; Gvozdiak, O.; Schumann, P. Taxonomic dissection of the genus Micrococcus: Kocuria gen. nov., Nesterenkonia gen. nov., Kytococcus gen. nov., Dermacoccus gen. nov., and Micrococcus Cohn 1872 gen. emend. Int. J. Syst. Bacteriol. 1995, 45, 682–692. [Google Scholar] [CrossRef] [PubMed]
- Liu, Q.; Wang, Y.; Cao, M.; Pan, T.; Yang, Y.; Mao, H.; Sun, L.; Liu, G. Anti-allergic activity of R-phycocyanin from Porphyra haitanensis in antigen-sensitized mice and mast cells. Int. Immunopharmacol. 2015, 25, 465–473. [Google Scholar] [CrossRef] [PubMed]



| Position | a | b | ||
|---|---|---|---|---|
| δC | δH | δC | δH | |
| 1,5 | 76.2 s | 74.3 s | ||
| 2,6 | 72.2 d | 3.83 (1H, q, 6.4) | 70.3 d | 3.61 (1H, q, 6.4) |
| 4,8 | 72.1 d | 3.81 (1H, q, 6.4) | 69.2 d | 3.68 (1H, q, 6.0) |
| Me-1,5 | 17.8 q | 1.03 (3H, s) | 17.7 q | 0.89 (3H, s) |
| Me-2,6 | 17.6 q | 1.17 (3H, d, 6.3) | 17.5 q | 1.02 (3H, d, 6.4) |
| Me-4,8 | 17.4 q | 1.15 (3H, d, 6.3) | 17.5 q | 1.01 (3H, d, 6.4) |
| Compounds | Inhibition Rate (%, 20 μg/mL) | IC50 (μg/mL) |
|---|---|---|
| 1 | 9.86 ± 1.18 | NT |
| 4 | 16.99 ± 0.76 | 69.95 ± 2.34 |
| 5 | 7.28 ± 0.92 | NT |
| 6 | 7.83 ± 1.67 | NT |
| 7 | 8.73 ± 1.28 | NT |
| 8 | 16.38 ± 1.01 | 57.12 ± 7.67 |
| 9 | 12.96 ± 2.10 | NT |
| 10 | 6.02 ± 0.98 | NT |
| 13 | 9.96 ± 1.08 | NT |
| OCs a | >20.00 | NT |
| Loratadine b | 37.41 ± 5.28 | 35.01 ± 0.48 |
© 2017 by the authors. Licensee MDPI, Basel, Switzerland. This article is an open access article distributed under the terms and conditions of the Creative Commons Attribution (CC BY) license ( http://creativecommons.org/licenses/by/4.0/).
Share and Cite
Xie, C.-L.; Liu, Q.; Xia, J.-M.; Gao, Y.; Yang, Q.; Shao, Z.-Z.; Liu, G.; Yang, X.-W. Anti-Allergic Compounds from the Deep-Sea-Derived Actinomycete Nesterenkonia flava MCCC 1K00610. Mar. Drugs 2017, 15, 71. https://doi.org/10.3390/md15030071
Xie C-L, Liu Q, Xia J-M, Gao Y, Yang Q, Shao Z-Z, Liu G, Yang X-W. Anti-Allergic Compounds from the Deep-Sea-Derived Actinomycete Nesterenkonia flava MCCC 1K00610. Marine Drugs. 2017; 15(3):71. https://doi.org/10.3390/md15030071
Chicago/Turabian StyleXie, Chun-Lan, Qingmei Liu, Jin-Mei Xia, Yuanyuan Gao, Quan Yang, Zong-Ze Shao, Guangming Liu, and Xian-Wen Yang. 2017. "Anti-Allergic Compounds from the Deep-Sea-Derived Actinomycete Nesterenkonia flava MCCC 1K00610" Marine Drugs 15, no. 3: 71. https://doi.org/10.3390/md15030071
APA StyleXie, C.-L., Liu, Q., Xia, J.-M., Gao, Y., Yang, Q., Shao, Z.-Z., Liu, G., & Yang, X.-W. (2017). Anti-Allergic Compounds from the Deep-Sea-Derived Actinomycete Nesterenkonia flava MCCC 1K00610. Marine Drugs, 15(3), 71. https://doi.org/10.3390/md15030071

