Abstract
Chemical investigation of the endophytic fungus Aspergillus sp. 16-5B cultured on Czapek’s medium led to the isolation of four new metabolites, aspergifuranone (1), isocoumarin derivatives (±) 2 and (±) 3, and (R)-3-demethylpurpurester A (4), together with the known purpurester B (5) and pestaphthalides A (6). Their structures were determined by analysis of 1D and 2D NMR spectroscopic data. The absolute configuration of Compound 1 was determined by comparison of the experimental and calculated electronic circular dichroism (ECD) spectra, and that of Compound 4 was revealed by comparing its optical rotation data and CD with those of the literature. The structure of Compound 6 was further confirmed by single-crystal X-ray diffraction experiment using CuKα radiation. All isolated compounds were evaluated for their α-glucosidase inhibitory activities, and Compound 1 showed significant inhibitory activity with IC50 value of 9.05 ± 0.60 μM. Kinetic analysis showed that Compound 1 was a noncompetitive inhibitor of α-glucosidase. Compounds 2 and 6 exhibited moderate inhibitory activities.
1. Introduction
Diabetes is a group of metabolic diseases in which there are high blood sugar levels over a prolonged period and can cause many serious complications, including diabetic ketoacidosis, non-ketotic hyperosmolar coma, cardiovascular disease, stroke, kidney failure, etc. [1,2,3]. The world Health Organization reported that there are 387 million people living with diabetes worldwide in 2014, and the number would increase to 592 million in 2035 [4]. Being a huge and growing global public health problem, diabetes dictates the urgent need to discover and develop new chemotherapeutic approaches to medical treatment.
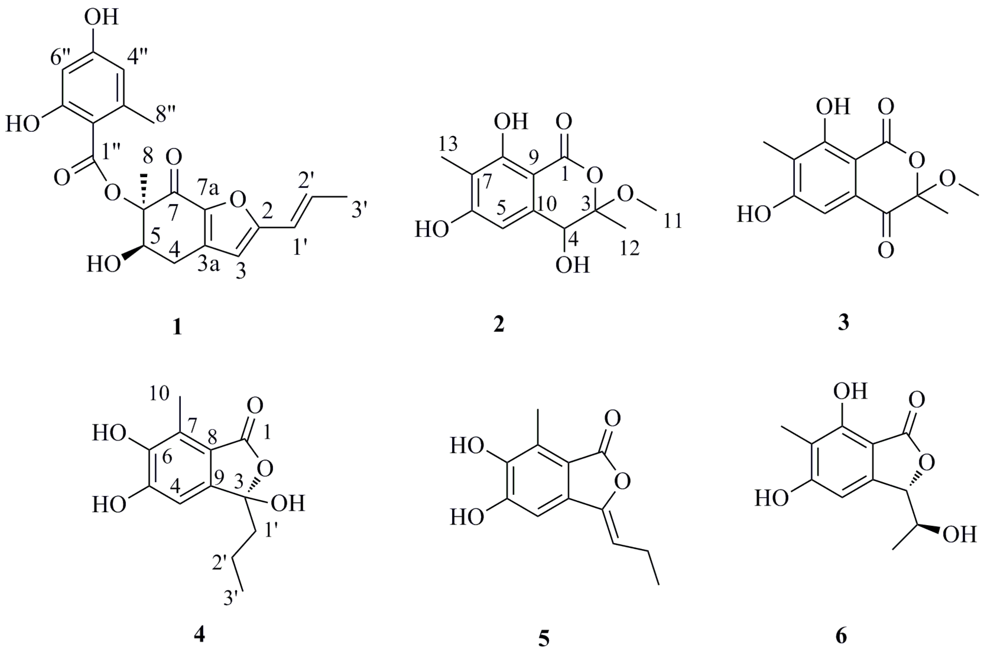
Endophytic fungi have been demonstrated to be a rich and reliable source of biologically-active and/or chemically-novel compounds [5,6,7]. In the past decade, our research group has focused on the exploration of new bioactive metabolites from mangrove endophytic fungi collected from the South China Sea [8,9,10,11], including some potential α-glucosidase inhibitors [12,13,14,15]. Recently, a chemical investigation of the mangrove-derived fungus Aspergillus sp. 16-5B, from the leaves of Sonneratia apetala, had led to the isolation and characterization of four new compounds (1–4), as well as two previously reported compounds (5,6) (Figure 1). All compounds were evaluated for their α-glucosidase inhibitory activities. Details of the isolation, structural elucidation, as well as evaluation of the biological activity of these compounds are reported herein.
Figure 1.
Chemical structures of Compounds 1–6.
Figure 1.
Chemical structures of Compounds 1–6.

2. Results and Discussion
Compound 1 was isolated as white amorphous powder. The molecular formula was deduced to be C20H20O7 (corresponding to eleven degrees of unsaturation) on the basis of its HREIMS molecular ion cluster at 372.1209 [M]+ (calcd. for C20H20O7, 372.1204). The IR spectrum showed absorption bands at 3394 and 1643 cm−1, which revealed the presence of hydroxyl and carbonyl groups. In the 1H NMR spectrum, the signals for two meta-coupled aromatic protons at δH 6.03 (d, J = 1.8 Hz, H-4′′) and 6.08 (d, J = 1.8 Hz, H-6′′), two E-configured olefinic protons at δH 6.28 (J = 15.8 Hz, H-1′) and 6.58 (J = 15.8 Hz, H-2′), one singlet olefinic proton (δH 6.16, H-3), one oxymethine (δH 5.11, H-5), one methylene (δH 3.07 and 2.70, H2-4) and three methyls (δH 1.56, H3-8; 2.39, H3-8′′; 1.83, H3-3′) were observed (Table 1). The 1H–1H COSY spectrum indicated two spin-systems of H-4/H-5 and H-1′/H-2′/H-3′, assigned to two fragments of –OCH–CH2– and –CH=CH–CH3 (Figure 2), respectively. The HMBC correlations from H3-8 to C-5, C-6 and C-7, from H-5 to C-4, C-6 and C-8, from H-4a to C-3, C-3a, C-5, C-6 and C-7a and from H-4b to C-5, C-3a and C-7a constructed a cyclohexenone fragment. The HMBC correlations from the singlet olefinic proton H-3 to C-1′, C-4, C-3a, C-7a and C-2 (δC 161.0) assembled a furan ring, which was connected with the cyclohexenone by sharing the bond of C-3a//C-7a. Judged by the following HMBC correlations of H-4′′ to C-3′′, C-5′′, C-6′′ and C-8′′; H-6′′ to C-2′′, C-4′′, C-5′′ and C-7′′ and H3-8′′ to C-2′′, C-3′′ and C-4′′, the moiety of orsellinic acid was constructed, which was connected to C-6 (δc 87.3) on the basis of an HMBC correlation from H3-8 to C-1′′. The HMBC correlations from H-1′ to C-2, C-3 and C-2′ determined that the fragment –CH=CH–CH3 was connected to C-2. Thus, the planar structure of 1 was deduced.
Table 1.
13C NMR (125 MHz) and 1H NMR (500 MHz) data of 1 (CDCl3).
| Position | δc, Type | δH, mult (J in Hz) |
|---|---|---|
| 2 | 161.0, C | |
| 3 | 107.8, CH | 6.16, s |
| 3a | 138.7, C | |
| 4 | 28.8, CH2 | 4a, 3.07, dd (16.6, 6.1) |
| 4b, 2.70, dd (16.6, 10.5) | ||
| 5 | 69.6, CH | 5.11, dd (6.1, 10.5) |
| 6 | 87.3, C | |
| 7 | 181.9, C | |
| 7a | 144.1, C | |
| 8 | 16.4, CH3 | 1.56, s |
| 1′ | 119.0, CH | 6.28, dd (15.8, 1.4) |
| 2′ | 134.2, CH | 6.58, dd (15.8, 6.7) |
| 3′ | 18.9, CH3 | 1.83, d (6.7) |
| 1′′ | 170.3, C | |
| 2′′ | 104.8, C | |
| 3′′ | 144.2, C | |
| 4′′ | 112.2, CH | 6.03, d (1.8) |
| 5′′ | 161.6, C | |
| 6′′ | 101.2, CH | 6.08, d (1.8) |
| 7′′ | 164.9, C | |
| 8′′ | 24.4, CH3 | 2.39, s |
Figure 2.
Selected 1H–1H COSY (bold line), HMBC (arrow) and key NOESY (dashed lines) correlations of Compound 1.
Figure 2.
Selected 1H–1H COSY (bold line), HMBC (arrow) and key NOESY (dashed lines) correlations of Compound 1.

The relative configuration of 1 was established by interpretation of 1H NMR and NOESY data. In the 1H NMR spectrum, H-5 showed ax/eq coupling (J = 6.1 Hz) to H-4a and ax/ax coupling (J = 10.5 Hz) to H-4b. In the NOESY spectrum, the NOE correlation between H-5 and H3-8 as shown in Figure 2 supported the syn relationship of H-5 and H3-8. In order to establish the absolute configuration of 1, the ECD spectrum of 1 was recorded and compared with density functional theory (DFT)-calculated spectra for the 5R, 6R and 5S, 6S isomers of 1 (Figure S25, Supplementary Information). The preliminary conformational distribution search was performed by Spartan 10 software using the MMFF94S force field. The corresponding minimum geometries were further fully optimized by DFT at the B3LYP/6-31G (d) level implemented in the Gaussian 03 program package. The obtained stable conformers were submitted to ECD calculation by the Time Dependent Density Functional Theory (TDDFT) cam-b3lyp/6-311+g (2d, p) method [16,17] (Figure S26, Supplementary Information). The calculated ECD spectra for isomer 5R, 6R showed a good fit with the experimental CD of 1, which reproduced Cotton effects at 298 and 324 nm, respectively (Figure 3). Thus, the configuration of 1 was assigned to be 5R, 6R, named aspergifuranone.
Figure 3.
Experimental and calculated ECD spectra of 1.
Figure 3.
Experimental and calculated ECD spectra of 1.

Compound 2 was obtained as a white amorphous powder. Its molecular formula was deduced to be C12H14O6 on the basis of its HREIMS molecular ion cluster at m/z 254.0786 [M]+ (calcd. for C12H14O6, 254.0785). The IR spectrum displayed characteristic absorption bands at 3414 and 1661 cm−1, suggesting the presence of hydroxyl and carbonyl groups. The 1H and 13C NMR spectra of 2 revealed the signals of a penta-substituted aryl ring (δH 6.62, 1H, s; δC 162.9, 162.4, 141.2, 111.4, 107.8 and 100.0), a oxygenated methine (δH 4.46, 1H, s; δC 69.8), a methoxyl (δH 3.38, 3H, s; δC 50.4) and two methyls (δH 1.63, 3H, s; δC 18.4; δH 2.08, 3H, s; δC 7.9) (Table 2). In the HMBC spectrum, the correlations from 8-OH (δH 11.47) to C-7 and C-9, from H-5 to C-4, C-6, C-7 and C-9, from H3-13 (δH 2.08) to C-6, C-7 and C-8 and from H3-12 (δH 1.63) to C-3 and C-4 confirmed the existence of a 4,6,8-trihydroxy-3,7-dimethylisocoumarin unit (Figure 4). Moreover, the methoxyl group was attached to the C-3 position due to the HMBC correlation between H3-11 and C-3 (δC 108.3). Therefore, the planar structure of 2 was constructed as shown in Figure 4. The absence of any CD signal of 2 and the value of optical rotation was zero, all indicating a racemic mixture of the possible enantiomer. Subsequently, (±) it was attempted to separate 2 by chiral HPLC using three types of chiral columns, but all failed due to only one symmetrical peak in the chromatogram, as detected by HPLC.
Compound 3 was obtained as a white amorphous powder. Its molecular formula was determined to be C12H12O6 on the basis of its HREIMS molecular ion cluster at m/z 252.0630 [M]+ (calcd. for C12H12O6, 252.0628). Analysis of the 1H and 13C NMR data for 3 revealed the presence of nearly the same identical structural features as those found in 2, except that the carbon signal of C-4 (δC 69.8) in 2 was absent and replaced by a carboxyl group signal (δC 190.1), which indicated that Compound 3 was the oxidative product of Compound 2 (Figure 4). However, the absence of any CD spectrum and zero optical rotation indicated that 3 was also a racemic mixture. Unfortunately, separation of 3’s enantiomers also failed.
Table 2.
1H and 13C NMR data of Compounds 2 a and 3 b.
| Position | 2 | 3 | ||
|---|---|---|---|---|
| δc, Type | δH, mult (J in Hz) | δc, Type | δH, mult (J in Hz) | |
| 1 | 169.3, C | 168.6, C | ||
| 2 | ||||
| 3 | 108.3, C | 106.2, C | ||
| 4 | 69.8, CH | 4.46, s | 190.1, C | |
| 5 | 107.8, CH | 6.62, s | 106.3, CH | 7.01, s |
| 6 | 162.9, C | 164.1, C | ||
| 7 | 111.4, C | 120.9, C | ||
| 8 | 162.4, C | 162.6, C | ||
| 9 | 100.0, C | 103.2, C | ||
| 10 | 141.2, C | 130.6, C | ||
| 11 | 50.4, CH3 | 3.38, s | 52.0, CH3 | 3.41, s |
| 12 | 18.4, CH3 | 1.63, s | 21.1, CH3 | 1.68, s |
| 13 | 7.9, CH3 | 2.08, s | 8.6, CH3 | 2.15, s |
| 8-OH | 11.47, s | |||
a Data were recorded in acetone-d6 at 500 MHz for 1H NMR and 125 MHz for 13C NMR; b Data were recorded in methanol-d4 at 500 MHz for 1H NMR and 125 MHz for 13C NMR.
Figure 4.
Selected HMBC (arrow) correlations of Compounds 2 and 3.
Figure 4.
Selected HMBC (arrow) correlations of Compounds 2 and 3.

Compound 4 was obtained as a white amorphous powder. Its molecular formula was assigned to be C12H14O5 on the basis of its HREIMS molecular ion cluster at m/z 238.0835 [M]+ (calcd. for C12H14O5, 238.0836). The IR spectrum showed the presence of a hydroxyl group (3138 cm−1) and a conjugated carbonyl group (1741 cm−1). Overall inspections of the 1H and 13C NMR spectroscopic data revealed that Compound 4 also possessed a penta-substituted aryl ring (δH 6.59, 1H, s; δC 159.7, 152.2, 127.0, 125.7, 116.6 and 109.0) (Table 3). By analysis of the 1H–1H COSY spectrum, the correlation H2-1′/H2-2′ and H2-2′/H3-3′ indicated the presence of a propyl moiety. The HMBC correlations from H-4 to C-3 (δC 107.8), C-5 (δC 152.2), C-6 (δC 159.7), C-8 (δC 116.6) and C-9 (δC 127.0) and from H3-10 to C-6 (δC 159.7), C-7 (δC 125.7) and C-8 (δC 116.6) indicated the position of two hydroxyl group were ortho. The correlations from H3-10 to C-7 (δC 125.7) and from H-1′ to C-3 (δC 107.8) revealed that the methyl and propyl groups were attached to the C-7 and C-3 positions, respectively (Figure 5). Thus, the planar structure of Compound 4 was constructed. The absolute configuration of 4 was established by comparing its optical rotation data and CD with those of the literature [18]. The opposite CD Cotton effects to purpurester A at 286 nm (∆ɛmax + 0.8) and 232 nm (∆ɛmax − 1.5) and the opposite optical direction of +30 (c 0.1, MeOH) clearly revealed the 3R-configuration, named (R)-3-demethylpurpurester A.
Figure 5.
Selected HMBC (arrow) correlations of Compound 4 and perspective Oak Ridge Thermal Ellipsoid Plot (ORTEP) drawing for Compound 6.
Figure 5.
Selected HMBC (arrow) correlations of Compound 4 and perspective Oak Ridge Thermal Ellipsoid Plot (ORTEP) drawing for Compound 6.

Table 3.
13C (125 MHz) and 1H (500 MHz) NMR data of Compounds 4 and 5 (methanol-d4).
| Position | 4 | 5 | ||
|---|---|---|---|---|
| δc, Type | δH, mult (J in Hz) | δc, Type | δH, mult (J in Hz) | |
| 1 | 171.6, C | 167.5, C | ||
| 2 | ||||
| 3 | 107.8, C | 143.7, C | ||
| 4 | 109.0, CH | 6.59, s | 108.6, CH | 6.64, s |
| 5 | 152.2, C | 151.6, C | ||
| 6 | 159.7, C | 158.1, C | ||
| 7 | 125.7, C | 123.7, C | ||
| 8 | 116.6, C | 114.9, C | ||
| 9 | 127.0, C | 117.3, C | ||
| 10 | 9.4, CH3 | 2.35, s | 9.8, CH3 | 2.37, s |
| 1′ | 40.3, CH2 | 2.18, m | 109.9, CH | 5.69, t (7.7) |
| 2′ | 18.1, CH2 | 1.26, m | 19.5, CH2 | 2.40, m |
| 1.06, m | ||||
| 3′ | 14.3, CH3 | 0.88, t (7.4) | 14.8, CH3 | 1.11, t (7.7) |
The structures of the known compounds were identified as purpuresters B (5) [18] (Table 3) and pestaphthalides A (6) [19] by comparison of their spectroscopic and optical rotation data with those reported in the literature. The structure of Compound 6 was further confirmed by single-crystal X-ray diffraction experiment using CuKα radiation [20] (Figure 5) (Cambridge Crystallographic Data Centre (CCDC) Number 1053019).
All compounds were tested for their in vitro inhibitory activities against α-glucosidase along with the clinical α-glucosidase inhibitor acarbose (positive control) [21]. As a result (Table 4), Compound 1 was the most active and showed better inhibitory potential (IC50 = 9.05 ± 0.60 μM) than acarbose (IC50 = 553.7 ± 6.8 μM). In order to examine the inhibition type of Compound 1, further kinetic studies were carried out by the Lineweaver-Burk plot method. The results are shown in Figure 6, indicating that 1 was a noncompetitive inhibitor of α-glucosidase. Compounds 2 and 6 exhibited more efficacy than that of the positive control, with IC50 values of 90.4 ± 2.9 and 69.6 ± 3.5 μM, respectively. More details are given in the Supplementary Information.
Table 4.
Inhibitory effects of the isolates against α-glucosidase a.
| Compound | 1 | 2 | 3 | 4 | 5 | 6 | Acarbose b |
|---|---|---|---|---|---|---|---|
| IC50 (μM) | 9.05 ± 0.60 | 90.4 ± 2.9 | >200 | >200 | >200 | 69.6 ± 3.5 | 553.7 ± 6.8 |
a IC50 values are shown as the mean ± SD from three independent experiments; b Positive control.
Figure 6.
Kinetic analysis of the inhibition of α-glucosidase of 1.
Figure 6.
Kinetic analysis of the inhibition of α-glucosidase of 1.

3. Experimental Section
3.1. General
Melting points were measured on an X-4 micro-melting-point apparatus (Cany Precision Instruments Co., Ltd., Shanghai, China) and are uncorrected. Optical rotations were recorded with an MCP 300 (Anton Paar, Shanghai, China) polarimeter at 25 °C. UV data were measured on a UV-240 spectrophotometer (Shimadzu, Beijing, China). IR spectra were recorded on a Nicolet Nexus 670 spectrophotometer (Thermo Fisher Scientific, Inc., Hudson, NH, USA) in KBr discs. CD data were measured on a Chirascan™ CD spectrometer (Applied Photophysics, London, UK). 1H and 13C NMR spectra were recorded on a Bruker AVANCE 500 spectrometer (Bruker BioSpin Corporation, Bellerica, MA, USA) in CDCl3, acetone-d6 or methanol-d4. Chemical shifts were reported in δ (ppm), using Tetramethylsilane (TMS) as the internal standard, and coupling constants (J) were reported in Hertz (Hz). EIMS spectra were measured on a Thermo DSQ EIMS spectrometer and HREIMS on a Thermo MAT95XP high-resolution mass spectrometer. Single-crystal data were measured on an Agilent Gemini Ultra diffractometer (CuKα radiation). Column chromatography (CC) was performed using silica gel (200–300 mesh, Qingdao Huang Hai Chemical Group Co., Qingdao, China; G60, F-254) and Sephadex LH-20 (GE Healthcare, Buckinghamshire, UK) stationery phases.
3.2. Fungal Material
The mangrove endophytic fungal strain 16-5B used in this study was isolated from the leaves of Sonneratia apetala, which was collected from Dongzhaigang Mangrove National Nature Reserve in Hainan Island, China, in April, 2009. The strain was identified by Yayue Liu as Aspergillus sp., according to morphologic traits and molecular identification. Its 444 base pair internal transcribed spacer (ITS) sequence had 99% sequence identity to that of Aspergillus sp. (No. JF312217). The sequence data had been submitted to GenBank with Accession Number KP059102. A voucher specimen (Registration Number 16-5B) has been deposited at the School of Chemistry and Chemical Engineering, Sun Yat-Sen University, Guangzhou, China.
3.3. Extraction and Isolation
The fungus Aspergillus sp. was cultivated in Czapek’s medium (3 g NaNO3, 1 g K2HPO4, 0.5 g MgSO4, 1 g KCl, 0.01 g FeSO4, 20 g sucrose and 20 g agar in 1 L water) in 1-L Erlenmeyer flasks, each containing 300 mL of culture broth at 25 °C without shaking for 28 days. The culture (40 L) was filtered to separate the mycelia from culture broth, and then, the mycelia were extracted with MeOH three times. The organic solvent was filtered and concentrated under reduced pressure to yield 6.9 g of organic extract, which was subjected to silica gel CC using gradient elution with petroleum ether-EtOAc from 90:10 to 0:100 (v/v) to give nine fractions (Fractions 1–9). Fraction 3 was further purified by silica gel CC using 40% EtOAc-petroleum ether to afford seven subfractions (Fractions 3.1–3.7). Fraction 3.3 was applied to Sephadex LH-20 CC, eluted with MeOH to obtain Compound 1 (3.2 mg). Fraction 6 was applied to Sephadex LH-20 CC, eluted with CHCl3/MeOH (1:1) to afford five subfractions (Fractions 6.1–6.5). Fraction 6.3 was further purified with Sephadex LH-20 CC, eluted with MeOH to obtain Compound 2 (1.5 mg). Fraction 2 was further purified by silica gel CC using 1% MeOH/CHCl3 to obtain Compound 3 (2.1 mg). Fraction 4 was further purified by silica gel CC using gradient elution with MeOH/CHCl3 from 1:99–1:9 (v/v) to afford five subfractions (Fractions 4.1–4.5). Fraction 4.2 was further purified using 3% MeOH/CHCl3 to obtain Compound 5 (5.8 mg). Fraction 4.4 was further purified by Sephadex LH-20 CC eluted with CHCl3/MeOH (1:1) to obtain Compound 4 (5.8 mg). Compound 6 (20.5 mg) was obtained by recrystallization with acetone from Fraction 5.
Compound 1: white amorphous powder; mp 121.1–121.6 °C; –110 (c 0.1, MeOH); UV (MeOH) λmax: 319 (3.33), 268 (3.11) and 217 (3.55) nm; CD (CH3OH) λmax (∆ɛ) 324 (–3.1), 298 (+3.6), 267 (–1.3), 221 (+0.3), 211 (–4.0) nm; IR (KBr) υmax 3394, 2933, 2851, 1643, 1505, 1450, 1380, 1321, 1266, 1171, 1079, 998 and 847 cm−1; 1H NMR (CDCl3, 500 MHz) and 13C NMR (CDCl3, 125 MHz), see Table 1; EIMS m/z 372 [M]+; HREIMS m/z 372.1209 [M]+ (calcd. for C20H20O7, 372.1204)
Compound 2: white amorphous powder; mp 174.4–174.9 °C, 0 (c 0.1, MeOH); UV (MeOH) λmax: 309 (2.81), 277 (3.21) and 218 (3.50) nm; IR (KBr) υmax 3365, 2922, 1653, 1510, 1450, 1330, 1206, 1101, 1041 and 836 cm−1; 1H NMR (acetone-d6, 500 MHz) and 13C NMR (acetone-d6, 125 MHz), see Table 2; EIMS 254 [M]+; HREIMS m/z 254.0786 [M]+ (calcd. for C12H14O6, 254.0785).
Compound 3: white amorphous powder; mp 134.2–134.8 °C; 0 (c 0.1, MeOH); UV(MeOH) λmax: 342 (2.72), 319 (2.86) and 251 (3.47) nm; IR (KBr) υmax 3239, 2922, 1721, 1627, 1309, 1189, 1085, 1037 and 870 cm−1; 1H NMR (methanol-d4, 500 MHz) and 13C NMR (methanol-d4, 125 MHz), see Table 2; EIMS m/z 252 [M]+; HREIMS m/z 252.0630 [M]+ (calcd. for C12H12O6, 252.0628).
Compound 4: white amorphous powder; mp 201.2–201.9 °C +30 (c 0.1, MeOH); UV(MeOH) λmax: 326 (2.68), 258 (2.76) and 209 (3.59) nm; CD (CH3OH) λmax (∆ɛ) 329 (+0.2), 286 (+0.8), 232 (–1.5) nm; IR (KBr) υmax 3601, 3311, 3151, 2961, 1734, 1623, 1521, 1460, 1394, 1343, 1279, 1208, 1098 and 864 cm−1; 1H NMR (methanol-d4, 500 MHz) and 13C NMR (methanol-d4, 125 MHz), see Table 3; EIMS m/z 238 [M]+; HREIMS m/z 238.0835 [M]+ (calcd. for C12H14O5, 238.0836).
3.4. Assay for α-Glucosidase Inhibitory Activity
All of the tests for α-glucosidase inhibitory activity were according to a previously described method [22,23]. The reaction mixture (final volume, 1 mL) consisted of the enzyme solution (20 μL, Sigma 9001-42-7, E.C 3.2.1.20), substrate (10 mM p-nitrophenyl-α-glucopyranoside, 20 μL, Fluka, BioChemika, Buchs, Switzerland) in 50 mM potassium phosphate buffer (pH 7.0) and 20 μL DMSO or inhibitor (test sample dissolved in DMSO (10 μmol/mL)). The inhibitors were pre-incubated with the enzyme at 37 °C for 20 min, and the substrate was then added. The reaction was monitored spectrophotometrically by measuring the absorbance at 400 nm for 1-min intervals. Calculations were performed according to the equation: inhibition rates (%) = ((ODcontrol − ODcontrol blank) − (ODtest − ODtest blank))/(ODcontrol − ODcontrol blank) × 100%. The IC50 values of the compounds were calculated by nonlinear regression analysis and expressed as the mean ± SD of two distinct experiments. Kinetic parameters were determined using the Lineweaver-Burk double-reciprocal plot method at increasing concentrations of substrates and inhibitors.
3.5. Quantum Mechanical Calculation
In theoretical calculations, the preliminary conformational distribution search was performed by Spartan’10 software (Wavefunction, Inc., Irvine, CA, USA) using the MMFF94S force field. The corresponding minimum geometries were further fully optimized with the Gaussian 03 (Gaussian, Wallingford, CT, USA) program package at the B3LYP/6-31G (d) computational level as frequency calculations. The obtained stable conformers were submitted to CD calculation by the TDDFT cam-b3lyp/6-311+g (2d, p) method. ECD spectra were generated using the program SpecDis 1.6 (University of Würzburg, Würzburg, Germany) and OriginPro 8.5 (OriginLab, Ltd., Northampton, MA, USA) from dipole-length rotational strengths by applying Gaussian band shapes with sigma = 0.19 electron volt (ev). All calculations were performed with the High-Performance Grid Computing Platform of Sun Yat-Sen University.
4. Conclusions
Chemical investigation of Aspergillus sp. 16-5B, a marine endophytic fungus isolated from the leaves of Sonneratia apetala, led to the discovery of six compounds (1–6), including new compound aspergifuranone (1), two new pairs of enantiomers of isocoumarin derivatives (±) 2 and (±) 3, and (R)-3-demethylpurpurester A (4). The structures of the isolates were established by 1D and 2D NMR spectroscopic data, as well as ECD calculation and optical rotation data. Meanwhile, the previously reported Compound 6 was obtained as a suitable crystal and confirmed by single-crystal X-ray diffraction experiment using CuKα radiation for the first time. All isolated compounds were evaluated for their α-glucosidase inhibitory effects. Compounds 1, 2 and 6 exhibited more potent inhibitory effects against α-glucosidase activity than the clinical α-glucosidase inhibitor acarbose. Meanwhile, further mechanistic analysis showed that Compound 1 exhibited noncompetitive inhibition characteristics.
Supplementary Files
Supplementary File 1Acknowledgments
This research was financially supported by the National Natural Science Foundation of China (21472251, 41276146), the Science & Technology Plan Project of Guangdong Province of China (2013B021100011), the Special Financial Fund of Innovative Development of Marine Economic Demonstration Project (GD2012-D01-001), China’s Marine Commonweal Research Project (201305017) and The Fundamental Research Funds for the Central Universities (141gjc16). We also give thanks to the High-Performance Grid Computing Platform of Sun Yat-Sen University for generous support of our computational chemistry research.
Author Contributions
Conceived of and designed the experiments: Zhigang She, Yayue Liu, Senhua Chen, Zhaoming Liu, Yongjun Lu. Performed the experiments: Yayue Liu, Senhua Chen, Lei He. Analyzed the data: Yayue Liu, Senhua Chen, Zhaoming Liu, Guoping Xia, Hongju Liu. Wrote the paper: Yayue Liu. Read and approved the final manuscript: Zhigang She, Yayue Liu.
Conflicts of Interest
The authors declare no conflict of interest.
References
- World Health Organization. About Diabetes. Available online: http://www.who.int/diabetes/action_online/basics/en/ (accessed on 1 April 2014).
- World Health Organization. Diabetes. Available online: http://www.who.int/mediacentre/factsheets/fs312/en/ (accessed on 1 January 2015).
- Kitabchi, A.E.; Umpierrez, G.E.; Miles, J.M.; Fisher, J.N. Hyperglycemic crises in adult patients with diabetes. Diabetes Care 2009, 32, 1335–1343. [Google Scholar] [CrossRef] [PubMed]
- International Diabetes Federation. IDF Diabets Atlas, 6th Edition revision ed. Available online: http://www.idf.org/diabetesatlas/ (accessed on 10 August 2014).
- Zhang, H.W.; Song, Y.C.; Tan, R.X. Biology and chemistry of endophytes. Nat. Prod. Rep. 2006, 23, 753–771. [Google Scholar] [CrossRef] [PubMed]
- Rateb, M.E.; Ebel, R. Secondary metabolites of fungi from marine habitats. Nat. Prod. Rep. 2011, 28, 290–344. [Google Scholar] [CrossRef] [PubMed]
- Newman, D.J.; Cragg, G.M. Natural products as sources of new drugs over the 30 years from 1981 to 2010. J. Nat. Prod. 2012, 75, 311–335. [Google Scholar] [CrossRef] [PubMed]
- Wen, L.; Cai, X.; Xu, F.; She, Z.; Chan, W.L.; Vrijmoed, L.L.P.; Jones, E.B.G.; Lin, Y. Three metabolites from the mangrove endophytic fungus Sporothrix sp. (#4335) from the South China Sea. J. Org. Chem. 2009, 74, 1093–1098. [Google Scholar] [CrossRef] [PubMed]
- Li, H.; Huang, H.; Shao, C.; Huang, H.; Jiang, J.; Zhu, X.; Liu, Y.; Liu, L.; Lu, Y.; Li, M.; et al. Cytotoxic norsesquiterpene peroxides from the endophytic fungus Talaromyces flavus isolated from the mangrove plant Sonneratia apetala. J. Nat. Prod. 2011, 74, 1230–1235. [Google Scholar] [CrossRef] [PubMed]
- Huang, X.; Huang, H.; Li, H.; Sun, X.; Huang, H.; Lu, Y.; Lin, Y.; Long, Y.; She, Z. Asperterpenoid A, a new sesterterpenoid as an inhibitor of mycobacterium tuberculosis protein tyrosine phosphatase B from the culture of Aspergillus sp. 16-5c. Org. Lett. 2013, 15, 721–723. [Google Scholar] [CrossRef] [PubMed]
- Xiao, Z.; Huang, H.; Shao, C.; Xia, X.; Ma, L.; Huang, X.; Lu, Y.; Lin, Y.; Long, Y.; She, Z. Asperterpenols A and B, new sesterterpenoids isolated from a mangrove endophytic fungus Aspergillus sp. 085242. Org. Lett. 2013, 15, 2522–2525. [Google Scholar] [CrossRef] [PubMed]
- Huang, H.; Feng, X.; Xiao, Z.; Liu, L.; Li, H.; Ma, L.; Lu, Y.; Ju, J.; She, Z.; Lin, Y. Azaphilones and p-Terphenyls from the mangrove endophytic fungus Penicillium chermesinum (ZH4-E2) isolated from the south china sea. J. Nat. Prod. 2011, 74, 997–1002. [Google Scholar] [CrossRef] [PubMed]
- Liu, Y.; Xia, G.; Li, H.; Ma, L.; Ding, B.; Lu, Y.; He, L.; Xia, X.; She, Z. Vermistatin derivatives with α-glucosidase inhibitory activity from the mangrove endophytic fungus Penicillium sp. HN29-3B1. Planta Med. 2014, 80, 912–917. [Google Scholar] [CrossRef] [PubMed]
- Liu, Z.; Xia, G.; Chen, S.; Liu, Y.; Li, H.; She, Z. Eurothiocin A and B, Sulfur-Containing Benzofurans from a Soft Coral-Derived Fungus Eurotium rubrum SH-823. Mar. Drugs 2014, 12, 3669–3680. [Google Scholar] [CrossRef] [PubMed]
- Xia, X.; Qi, J.; Liu, Y.; Jia, A.; Zhang, Y.; Liu, C.; Gao, C.; She, Z. Bioactive Isopimarane Diterpenes from the Fungus Epicoccum sp. HS-1, Associated with Apostichopus japonicus. Mar. Drugs 2015, 13, 1124–1132. [Google Scholar] [CrossRef] [PubMed]
- Ren, J.; Jiang, J.X.; Li, L.B.; Li, L.; Tian, R.; Chen, X.; Jiang, S.; Pittman, C.U.; Zhu, H. Assignment of the absolute configuration of concentricolide—Absolute configuration determination of its bioactive analogs using DFT methods. Eur. J. Org. Chem. 2009, 23, 3987–3991. [Google Scholar] [CrossRef]
- Runge, E.; Gross, E.K.U. Density-functional theory for time-dependent systems. Phys. Rev. Lett. 1984, 52, 997–1000. [Google Scholar] [CrossRef]
- Wang, H.; Wang, Y.; Wang, W.; Fu, P.; Liu, P.; Zhu, W. Anti-influenza virus polyketides from the acid-tolerant fungus Penicillium purpurogenum JS03-21. J. Nat. Prod. 2011, 74, 2014–2018. [Google Scholar] [CrossRef] [PubMed]
- Ding, G.; Liu, S.; Guo, L.; Zhou, Y.; Che, Y. Antifungal metabolites from the plant endophytic fungus Pestalotiopsis foedan. J. Nat. Prod. 2008, 71, 615–618. [Google Scholar] [CrossRef] [PubMed]
- Flack, H.D.; Bernardinelli, G. The use of X-ray crystallography to determine absolute configuration. Chirality 2008, 20, 681–690. [Google Scholar] [CrossRef] [PubMed]
- Wehmeier, U.F.; Piepersberg, W. Biotechnology and molecular biology of the α-glucosidase inhibitor acarbose. Appl. Microbial. Biotechnol. 2004, 63, 613–625. [Google Scholar] [CrossRef]
- Brindis, F.; Rodríguez, R.; Bye, R.; González-Andrade, M.; Mata, R. (Z)-3-Butylidenephthalide from Ligusticum porteri, an α-glucosidase inhibitor. J. Nat. Prod. 2011, 74, 314–320. [Google Scholar] [CrossRef] [PubMed]
- Du, Z.Y.; Liu, R.R.; Shao, W.Y.; Mao, X.P.; Ma, L.; Gu, L.Q. Alpah-glucosidase inhibition of natural curcuminoids and curcumin analogs. Eur. J. Med. Chem. 2006, 41, 213–218. [Google Scholar] [CrossRef] [PubMed]
© 2015 by the authors; licensee MDPI, Basel, Switzerland. This article is an open access article distributed under the terms and conditions of the Creative Commons Attribution license (http://creativecommons.org/licenses/by/4.0/).