Abstract
Four new eunicellin-type hirsutalins S–V (1–4), along with a known compound (–)-6α-hydroxy polyanthellin A (5), were isolated from the soft coral Cladiella hirsuta. The structures of the metabolites were determined by extensive spectroscopic analysis. Cytotoxity of compounds 1–5 against the proliferation of a limited panel of cancer cell lines was measured. Anti-inflammatory activity of compounds 1–5 was evaluated by measuring their ability in suppressing superoxide anion generation and elastase release in fMLP/CB-induced human neutrophils.
1. Introduction
The chemical investigations on soft corals of the genus Cladiella and Klyxum [,,,,,,,,,,,,,,,,,,,,,,,,,,,,,,,] have afforded series of eunicellin-based diterpenoids, of which many have been shown to exhibit attracting biological activities [,,,,,,,,,,,,,,,,,,,,,,,]. We have previously isolated some bioactive eunicellins and steroids from a Taiwanese soft coral Cladiella hirsuta. Our recent studies of C. hirsuta haveled to the discovery of 18 eunicellin-based diterpenoids, hirsutalins A–R [,,], some of which have been found to possess cytotoxic [,] and anti-inflammatory activities [,,]. In this paper, we further report the isolation of four new eunicellin-based compounds, hirsutalins S–V along with a known compound (–)-6α-hydroxy polyanthellin A (5) [] from C. hirsuta (Chart 1). The structures of new compounds were determined by extensive spectroscopic analysis. Cytotoxicity of 1–5 against a limited panel of cancer cell lines and their anti-inflammatory activity, determined by their ability to inhibit the generation of super oxide anion and elastase release in N-formyl-methionyl-leucyl-phenylalanine/cytochalasin B (fMLP/CB)-induced human neutrophils, were studied in order to discover bioactive compounds from marine environment.


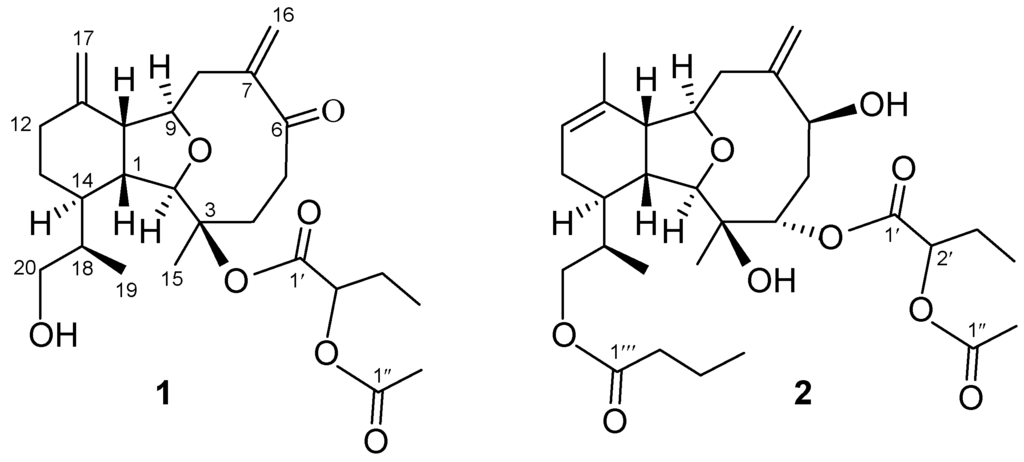
Chart 1.
Structures of metabolites 1–5.
2. Results and Discussion
Hirsutalin S (1) was isolated as a colorless oil. The HRESIMS (m/z 485.2512) of 1 established a molecular formula of C26H38O7. The IR spectrum of 1 showed the presence of hydroxy and carbonyl groups from absorptions at 3463 and 1740 cm−1, respectively. The 1H and 13C NMR data of 1 (Table 1) were found to be closely resembled to those of known metabolite hirsutalin R []. The only difference was the presence of 2-acetoxybutanoate (δC 169.0 (C), 73.9 (CH), 24.5 (CH2), and 9.7 (CH3); 171.0 (C) and 20.6 (CH3)) in 1, instead of 2-butyryloxy butanoate at C-3 of hirsutalin R []. This was supported by the HMBC interaction of H-2′′ (δ 2.16) with carbonyl carbon resonating at δ 171.0. Moreover, the 13C NMR spectroscopic data (Table 1) of 1 showed the presence of two 1,1-disubstituted carbon-carbon double bonds (δC 147.6 (C) and 118.3 (CH2); 145.2 (C) and 111.6 (CH2)). The molecular framework of 1 was established by the complete analysis of its COSY and HMBC correlations (Figure 1). In the NOESY spectrum of 1, the correlations between H-10 with H-1; H-1 with H3-19, suggested that H-1, H-10 and H3-19 are β-oriented. Besides, correlations of H-2 with H3-15 and H-14; H-9 with H-14, suggested that H-2, H-9, H-14 and H3-15 are α-oriented. Furthermore, the asymmetric center at C-18 was suggested to be R-configured on the basis of NOE correlations between the β-oriented H-1 and H3-19 and between the α-oriented H-2 and H-18. As the absolute configuration of hirsutalin A [] and that of hirsutalin J except C-2′ configuration [] have been completely assigned based on Mosher’s method, thus, the absolute configuration of 1, except that of C-2′, should be revealed as depicted.

Table 1.
NMR spectroscopic data for hirsutalins S (1) and T (2).
1 | 2 | |||
---|---|---|---|---|
Position | δC a,b | δH (J in Hz) c | δC b,d | δH (J in Hz) e |
1 | 45.1, CH b | 2.24, m | 39.8; 39.7,f CH | 2.69, m |
2 | 90.7, CH | 3.70, s | 87.64; 87.61, CH | 3.86, d (6.0) |
3 | 86.0, C | 74.3, C | ||
4 | 32.4, CH2 | 2.13, m; | 74.2, CH | 5.08, dd (8.5, 3.5) |
5 | 37.2, CH2 | 2.84, t (10.4); 2.35, m | 37.9; 37.8, CH2 | 2.90, dq (15.5, 5.0); 1.78, m |
6 | 206.5, C | 72.6, CH | 4.23, br s | |
7 | 147.6, C | 147.7, C | ||
8 | 37.2, CH2 | 3.22, dd (13.2, 5.2); 2.40, m | 40.1, CH2 | 2.42, m; 2.34, m |
9 | 78.3, CH | 4.07, m | 81.80; 81.76, CH | 4.15, m |
10 | 48.7, CH | 3.07, dd (9.6, 7.6) | 44.5, CH | 2.69, m |
11 | 145.2, C | 132.1; 132.0, C | ||
12 | 31.1, CH2 | 2.30, m; 2.11, m | 122.02; 121.97, CH | 5.46, s |
13 | 25.8, CH2 | 1.68, m; 1.13, m | 22.8; 22.8, CH2 | 2.09, m; 1.91, m |
14 | 37.3, CH | 1.68, m | 34.4; 34.3, CH | 1.84, m |
15 | 22.7, CH3 | 1.48, s | 22.6, CH3 | 1.38, s |
16 | 118.3, CH2 | 5.62, s; 5.27, s | 115.9; 115.8, CH2 | 5.62, s; 5.24, s |
17 | 111.6, CH2 | 4.85, s; 4.72, s | 22.3; 22.2, CH3 | 1.70, s |
18 | 36.4, CH | 1.79, m | 33.8; 33.7, CH | 1.84, m |
19 | 16.3, CH3 | 1.03, d (7.2) | 14.5; 14.3, CH3 | 0.86, d (6.5) |
20 | 66.4, CH2 | 3.52, d (7.2) | 67.8; 67.6, CH2 | 4.11, dd (9.5, 4.0); 3.89, m |
1′ | 169.0, C | 171.4;171.2, C | ||
2′ | 73.9, CH | 4.76, t (6.8) | 74.1, CH | 4.84, dd (13.0, 6.0) |
3′ | 24.5, CH2 | 1.87, m | 24.4; 24.3, CH2 | 1.90, m |
4′ | 9.7, CH3 | 1.03, t (7.6) | 9.4; 9.3, CH3 | 1.03, t (7.5) |
1′′ | 171.0, C | 171.1; 171.0, C | ||
2′′ | 20.6, CH3 | 2.16, s | 20.9; 20.5, CH3 | 2.13, s; 2.02, s |
20-OCOPr | 173.9; 173.7, C | |||
36.2; 35.7, CH2 | 2.27, m; | |||
18.5; 18.3, CH2 | 1.64, m; | |||
13.7; 13.6, CH3 | 0.96, t (7.5); 0.94, t (7.5) |
a Spectra recorded at 100 MHz in CDCl3; b Attached protons were deduced by DEPT experiments; c Spectra recorded at 400 MHz in CDCl3; d Spectra recorded at 125 MHz in CDCl3; e Spectra recorded at 500 MHz in CDCl3; f Paired signals due to C-2′ epimeric mixture.

Figure 1.
COSY and HMBC correlations for 1–4.
Hirsutalin T (2) was also afforded as a colorless oil. Its molecular formula C30H46O9, was determined by HRESIMS (m/z 573.3036). The 13C NMR spectrum (Table 1) showed the presence of the 2-acetoxybutanoate (δC 171.2 (C), 74.1 (CH), 24.3 (CH2), and 9.3 (CH3); 171.0 (C) and 20.5 (CH3)) [] and an n-butyrate (δC173.9 (C), 36.2 (CH2), 18.5 (CH2), and 13.7 (CH3)). Comparison of the NMR data of 2 with those of the known compound hirsutalin A [], it was found that a 2-hydroxybutyrate at C-3 and a methylene proton at C-4 in hirsutalin A were replaced by a hydroxy group and 2-acetoxybutanoate in 2, respectively. This was confirmed by the downfield shift of C-3 (δC 86.9) of hirsutalin A, relative to that of 2 (δC 74.3), and the HMBC connectivity from H-4 (δ 5.08) to the carbonyl carbon resonating at δ171.2 (C) (Table 1). The structure of 2 was unambiguously determined by the extensive analysis of 1H–1H COSY and HMBC (Figure 1), and NOESY correlations (Figure 2). Moreover, compound 2 was obtained as a C-2′ epimeric mixture with a ratio of about 1:1 reflected by a pair of signals in the 13C NMR spectrum. Experiments were tried to separate an individual epimer but they were all unsuccessful.
The new eunicellin, hirsutalin U (3), gave the molecular formula C28H44O8S, on the basis of HRESIMS data (m/z 563.2657). NMR spectroscopic data of 3 (Table 2) showed the presence of the 3-methylsulfoxylpropionate substituent (δC 171.8 (C), 48.92 (CH2), 27.1 (CH2), and 38.6 (CH3)) [] and an n-butyrate (δC 175.4 (C), 36.5 (CH2), 18.5 (CH2), and 13.7 (CH3)). The spectroscopic data (IR, 1H NMR, and 13C NMR) of 3 have similar structural features as those of a known one, hirsutalin J [], except for the 2-butyryloxybutanoate at C-4 and the hydroxy group at C-20 in hirsutalin J were replaced by a n-butyrate group and 3-methylsulfoxylpropionate substituent in 3, respectively. A paired methyl singlets at δ 2.58/2.59 in an approximate 1:1 ratio in the 1H NMR spectrum, and the doubling of signals of above methyl group with nearly the equal intensities in 13C NMR spectrum were observed, suggested the occurrence of nearly equal quantities of R and S-configured sulfoxide moiety (Table 2). Thus, compound 3 is possibly to be an artifact arisen from the oxidation of its sulfide precursor. The analysis of NOE correlations of 3 revealed the same relative configuration at C-1, C-2, C-3, C-4 C-6, C-9, C-10, C-14 and C-18 as that of 2. The similar 1H NMR, COSY, HMBC correlations (Figure 1) and the analysis of NOE correlations of 3 further revealed the same relative configuration of both compounds. Thus, the structure of 3 was established.

Figure 2.
Key NOESY correlations for 2.

Table 2.
NMR spectroscopic data for hirsutalins U and V (3 and 4).
3 | 4 | |||
---|---|---|---|---|
Position | δC a,b | δH (J in Hz) c | δC a,b | δH (J in Hz) c |
1 | 39.8, CH b | 2.66, m | 45.2, CH | 2.12, m |
2 | 87.3, CH | 3.85, s | 91.8, CH | 3.61, s |
3 | 74.3, C | 87.9, C | ||
4 | 73.4, CH | 4.93, m; | 36.6, CH2 | 2.64, dd (14.8, 8.4); 1.86, m |
5 | 37.7, CH2 | 3.01, m; 1.77, m | 29.9, CH2 | 1.66, m; 1.56, m |
6 | 72.7, CH | 4.17, m | 80.6, CH | 4.58, d (6.8) |
7 | 148.1, C | 77.0, C | ||
8 | 40.0, CH2 | 2.35, m | 45.5, CH2 | 2.02, m; 1.84, m |
9 | 81.3, CH | 4.19, m | 78.4, CH | 4.17, m |
10 | 44.5, CH | 2.66, m | 53.8, CH | 3.02, t (7.2) |
11 | 132.3, C | 147.1 , C | ||
12 | 121.4, CH | 5.46, s | 31.3 CH2 | 2.28, br d (13.2); 2.08, m |
13 | 22.8, CH2 | 2.09, m; 1.91, m | 25.3, CH2 | 1.64, m; 1.09, m |
14 | 33.6, CH | 1.84, m | 38.4, CH | 1.58, m |
15 | 27.7, CH3 | 1.42, s | 23.0, CH3 | 1.38, s |
16 | 115.3, CH2 | 5.61, s; 5.22, s | 22.4, CH2 | 1.25, s |
17 | 22.1, CH3 | 1.68, s | 109.8, CH2 | 4.71, s; 4.68, s |
18 | 34.0, CH | 1.82, m | 37.5, CH | 1.75, m |
19 | 15.4, CH3 | 0.90, d (7.2) | 10.6, CH3 | 0.80, d (6.8) |
20 | 68.5, CH2 | 4.16, m; 4.05, m | 66.5, CH2 | 3.53, d (6.8) |
1′ | 175.4, C | 169.1, C | ||
2′ | 36.5, CH2 | 2.41, m | 74.0, CH | 4.77, t (6.4) |
3′ | 18.5, CH2 | 1.46, m | 24.7, CH2 | 1.88, m |
4′ | 13.7, CH3 | 0.97, t (7.2) | 9.9, CH3 | 1.06, t (7.2) |
1′′ | 173.5, C | |||
2′′ | 35.7, CH2 | 2.38, t (7.2) | ||
3′′ | 18.3, CH2 | 1.69, m | ||
4′′ | 13.6, CH3 | 0.97, t (7.2) | ||
3-methylsulfoxylpropionate | ||||
1′′ | 171.8; 171.3, C d | |||
2′′ | 48.92; 48.89, CH2 | 3.04, m; 2.88, m | ||
3′′ | 27.1; 26.7, CH2 | 2.83, m; 2.78, m | ||
4′′ | 38.6; 38.5, CH3 | 2.59, s; 2.58, s |
a Spectra recorded at 100 MHz in CDCl3; b Attached protons deduced by DEPT experiments; c Spectra recorded at 400 MHz in CDCl3; d Paired signals of R/S stereoisomers at chiral sulfoxide.
Hirsutalin V (4) was obtained as a colorless oil with a molecular formula of C28H46O8. IR absorptions of 4 showed the presence of hydroxy and carbonyl groups at 3395 and 1738 cm−1, respectively. Two ester carbonyl carbons (δC 169.1 and 173.5) were correlated with the methine proton (H-2′, δH 4.77, t, J = 6.4 Hz) of a 2-butyryloxybutanoate unit in the HMBC spectrum. By comparison of the NMR data of 4 with those of hirsutalin C [], it was found that a C-7/C-16 double bond in hirsutalin C was replaced by an oxymethine bearing a methyl and a hydroxy group in 4, as confirmed by HMBC correlations observed from H3-16 (δ 1.25, 3H, s) to C-6 (δ 80.6, CH), C-7 (δ 77.0, C) and C-8 (δ 45.5, CH2). The planar structure of 4 was confirmed by careful analysis of COSY, HMBC, and NOESY correlations as shown in Figure 1 and Figure 3. Compounds 1–4 are likely in the same enantiomeric series as hirsutalin A and hirsutalin J, based on a shared biosynthetic pathway. Thus, these compounds were suggested to possess the absolute configurations as shown in structures 1–5.
Cytotoxicity of compounds 1–5 against the proliferation of a limited panel of cancer cell lines, including P388 (murine leukemia), K562 (human erythro myeloblastoid leukemia), A549 (human lung adenocarcinoma), and HT-29 (human colon adenocarcinoma), was evaluated. However, none of the compounds showed any appreciable cytotoxicity at 20 μM. The in vitro pro-inflammatory of compounds 1, 2, and, 4 were evaluated by suppressing N-formyl-methionyl-leucyl-phenyl-alanine/cytochalasin B (fMLP/CB)-induced superoxide anion (O2−•) generation and elastase release in human neutrophils. As shown in Table 3, none of compounds showed significant reduction on the expression of superoxide anion generation, relative to the control cells stimulated with fMLP/CB at a concentration of 10 μg/mL. Further, compound 1 exhibited moderate inhibitory activity against elastase release (46.7% ± 8.0%), though it has shown poor superoxide anion generation (5.8% ± 0.8%) in the same fMLP/CB-stimulated cells at a concentration of 10 μg/mL.

Figure 3.
Key NOESY correlations for 4.

Table 3.
Effect of compounds 1, 2, and, 4 on superoxide anion generation and elastase release in N-formyl-methionyl-leucyl-phenylalanine/cytochalasin B (fMLP/CB)-induced human neutrophils at 10 μg/mL.
Compounds | Superoxide Anion | Elastase Release |
---|---|---|
Inhibition % | Inhibition % | |
1 | 5.8 ± 0.8 ** | 46.7 ± 8.0 ** |
2 | 6.6 ± 3.4 | 19.3 ± 5.6 * |
4 | 0.9 ± 2.6 | 4.8 ± 5.6 |
Percentage of inhibition (Inh %) at 10 μM concentration. Results are presented as mean ± S.E.M. (n = 3 or 4). * p < 0.05, ** p < 0.01 compared with the control value.
3. Experimental Section
3.1. General Experimental Procedures
Silica gel (230–400 mesh, Merck, Darmstadt, Germany) was used for column chromatography. Precoated silica gel plates (Merck, Kieselgel 60 F-254, 0.2 mm) were used for analytical TLC. High-performance liquid chromatography was performed on a Hitachi L-2455 HPLC apparatus (Hitachi Ltd., Tokyo, Japan) with a Supelco C18 column (250 × 21.2 mm, 5 μm). NMR spectra were recorded on a Varian UNITY INOVA-500 FT-NMR a Varian 400MR FT-NMR instrument (Varian Inc., Palo Alto, CA, USA) at 400 MHz for 1H and 100 MHz for 13C in CDCl3. LRMS and HRMS were obtained by ESI on a Bruker APEX II mass spectrometer (Bruker, Bremen, Germany). Optical rotations were measured on a JASCO P-1020 polarimeter. IR spectra were recorded on a JASCO FT/IR-4100 infrared spectrophotometer (Japan Spectroscopic Corporation, Tokyo, Japan).
3.2. Animal Material
The animal Cladiella hirsuta was collected by hand using SCUBA off the coast of Sianglu Islet (23°32′ N, 119°38′ E) in the region of Penghu Islands, in June 2008, at a depth of 10 m, and was stored in a freezer until extraction. A voucher sample (PI-20080610-17) was deposited at the Department of Marine Biotechnology and Resources, National Sun Yat-sen University.
3.3. Extraction and Separation
The frozen bodies of C. hirsuta (3.1 kg, wet wt) were sliced and exhaustively extracted with acetone (3 × 10 L).The organic extract was concentrated to an aqueous suspension and was partitioned between ethyl acetate (EtOAc) and H2O. The EtOAc layer was dried with anhydrous Na2SO4. After removal of solvent in vacuo, the residue (32.8 g) was subjected to column chromatography on silica gel and eluted with EtOAc in n-hexane (0%–100% of EtOAc, gradient) and further with MeOH in EtOAc of increasing polarity to yield 25 fractions. Fraction 18, eluting with n-hexane–EtOAc (1:1), was rechromatographed over a Sephadex LH-20 column using acetone as the mobile phase to afford four subfractions (A1–A4). Subfractions A3 and A4 were separated by reversed-phase HPLC (MeOH–H2O, 3:1 and 2:1) to afford compound 1 (5.8 mg). Fraction 19, eluting with n-hexane–EtOAc (1:2), was rechromatographed over a Sephadex LH-20 column, using acetone as the mobile phase, to afford four subfractions (B1–B4). Subfractions B2 and B3 were separated by reversed-phase HPLC (acetonitrile–H2O, 3:1 and 2:1) to afford compounds 2 (1.5 mg) and 5 (1.3 mg). Fraction 23, eluting with EtOAc (1:2), was rechromatographed over a Sephadex LH-20 column, using acetone as the mobile phase, to afford four subfractions (B1–B4). Subfractions B2 and B3 were separated by reversed-phase HPLC (acetonitrile–H2O, 1.5:1) to afford compounds 3 (2.6 mg) and 4 (1.5 mg).
Hirsutalin S (1): colorless oil; [α]25D +66 (c 0.40, CHCl3); IR (neat) νmax 3463 and 1740 cm−1;13C and 1H NMR data (400 MHz; CDCl3), see Table 1; ESIMS m/z 485 [M + Na]+; HRESIMS m/z 485.2512 [M + Na]+ (calcd for C26H38O7Na, 485.2515) (Supplementary Information, Figures S1–S3).
Hirsutalin T (2): colorless oil; [α]25D +26.3 (c 0.43, CHCl3); IR (neat) νmax 3452 and 1738 cm−1; 13C and 1H NMR data (500 MHz; CDCl3), see Table 1; ESIMS m/z 573 [M + Na]+; HRESIMS m/z 573.3036 [M + Na]+ (calcd for C30H46O9Na, 573.3039) (Supplementary Information, Figures S4–S6).
Hirsutalin U (3): colorless oil; [α]25D +11 (c 0.74, CHCl3); IR (neat) νmax 3442 and 1733 cm−1; 13C and 1H NMR data (400 MHz; CDCl3), see Table 2; ESIMS m/z 563 [M + Na]+; HRESIMS m/z 563.2657 [M + Na]+ (calcd for C28H44O8SNa, 563.2654) (Supplementary Information, Figures S7–S9).
Hirsutalin V (4): colorless oil; [α]25D −18.1 (c 0.51, CHCl3); IR (neat) νmax 3395 and 1738 cm−1; 13C and 1H NMR data (400 MHz; CDCl3), see Table 2; ESIMS m/z 533 [M + Na]+; HRESIMS m/z 533.3094 [M + Na]+ (calcd for C28H46O8Na, 533.3092) (Supplementary Information, Figures S10–S12).
3.4. Cytotoxicity Testing
Cell lines were purchased from the American Type Culture Collection (ATCC). Cytotoxicity assays of compounds 1–5 were performed using the Alamar Blue assay [,].
3.5. In Vitro Anti-Inflammatory Assay
Human neutrophils were obtained using dextran sedimentation and Ficoll centrifugation. Measurements of superoxide anion generation and elastase release were performed according to previously described procedures. [,]. LY294002, a phosphatidylinositol-3-kinase inhibitor, was used as a positive control for inhibition of superoxide anion generation and elastase release with percentage inhibitions of 96.1% ± 4.9% in 10 μg/mL and 97.9% ± 7.7% in 10 μg/mL, respectively.
4. Conclusions
Our investigation demonstrated that the soft coral, C. hirsuta, could be a good source of bioactive substances. It is worthwhile to mention that eunicellin-type metabolite containing a sulfoxide, compound 3, was discovered for the first time from the soft coral C. hirsuta. Compound 1 was shown to display inhibitory activity against elastase release.
Supplementary Files
Supplementary File 1Acknowledgments
This research was supported by grants from the National Science Council (100-2320-B-110-001-MY2) and NSYSU-KMU JOINT RESEARCH PROJECT (NSYSUKMU 02C030117) from National Sun Yat-sen University and Kaohsiung Medical University.
Author Contributions
Jyh-Horng Sheu designed the whole experiment and contributed to structure elucidation and manuscript preparation. Tzu-Zin Huang, Bo-Wei Chen, Chokkalingam Uvarani, Ping-Jyun Sung and Jui-Hsin Su carried out the experiment and wrote the manuscript. Chiung-Yao Huang and Tsong-Long Hwang performed bioassays. Chang-Feng Dai identified the soft coral.
Conflicts of Interest
The authors declare no conflict of interest.
References
- Kazlauskas, R.; Murphy, P.T.; Wells, R.J.; Schönholzer, P. Two new diterpenes related to eunicellin from a Cladiella species (soft coral). Tetrahedron Lett. 1977, 18, 4643–4646. [Google Scholar] [CrossRef]
- Hochlowski, J.E.; Faulkner, D.J. A diterpene related to cladiellin from a Pacific soft coral. Tetrahedron Lett. 1980, 21, 4055–4056. [Google Scholar] [CrossRef]
- Uchio, Y.; Nakatani, M.; Hase, T.; Kodama, M.; Usui, S.; Fukazawa, Y. A new eunicellin-based diterpene from an Okinawan soft coral, Cladiella sp. Tetrahedron Lett. 1989, 30, 3331–3332. [Google Scholar] [CrossRef]
- Uchio, Y.; Kodama, M.; Usui, S.; Fukazawa, Y. Three new eunicellin-based diterpenoids from an Okinawan Cladiella species of soft coral. Tetrahedron Lett. 1992, 33, 1317–1320. [Google Scholar] [CrossRef]
- Sarma, N.S.; Chavakula, R.; Rao, I.N. Crystal and molecular structure of sclerophytin F methyl ether from the soft coral Cladiella krempfi. J. Nat. Prod. 1993, 56, 1977–1980. [Google Scholar] [CrossRef]
- Rao, C.B.; Rao, D.S.; Satyanarayana, C.; Rao, D.V.; Kassühlke, K.E.; Faulkner, D.J. New cladiellane diterpenes from the soft coral Cladiella australis of the Andaman and Nicobar Islands. J. Nat. Prod. 1994, 57, 574–580. [Google Scholar] [CrossRef]
- Rao, D.S.; Sreedhara, C.; Rao, D.V.; Rao, C.B. Two new cladiellane diterpenes from the soft coral Cladiella australis of the Indian Ocean. Ind. J. Chem. Sect. B 1994, 33B, 198–199. [Google Scholar]
- Yamada, K.; Ogata, N.; Ryu, K.; Miyamoto, T.; Komori, T.; Higuchi, R. Bioactive terpenoids from octocorallia. 3. A new eunicellin-based diterpenoid from the soft coral Cladiella sphaeroides. J. Nat. Prod. 1997, 60, 393–396. [Google Scholar] [CrossRef]
- Chill, L.; Berrer, N.; Benayahu, Y.; Kashman, Y. Eunicellin diterpenes from two Kenyan soft corals. J. Nat. Prod. 2005, 68, 19–25. [Google Scholar] [CrossRef] [PubMed]
- Ahmed, A.F.; Wu, M.-H.; Wang, G.-H.; Wu, Y.-C.; Sheu, J.-H. Eunicellin-based diterpenoids, australins A−D, isolated from the soft coral Cladiella australis. J. Nat. Prod. 2005, 68, 1051–1055. [Google Scholar] [CrossRef] [PubMed]
- Wu, S.-L.; Su, J.-H.; Wen, Z.-H.; Hsu, C.-H.; Chen, B.-W.; Dai, C.-F.; Kuo, Y.-H.; Sheu, J.-H. Simplexins A–I, eunicellin-based diterpenoids from soft coral Klyxum simplex. J. Nat. Prod. 2009, 72, 994–1000. [Google Scholar] [CrossRef] [PubMed]
- Chen, B.-W.; Wu, Y.-C.; Chiang, M.Y.; Su, J.-H.; Wang, W.-H.; Fan, T.-Y.; Sheu, J.-H. Eunicellin-based diterpenes from the soft coral Klyxum simplex. Tetrahedron 2009, 65, 7016–7022. [Google Scholar] [CrossRef]
- Chen, B.-W.; Chao, C.-H.; Su, J.-H.; Wen, Z.-H.; Sung, P.-J.; Sheu, J.-H. Anti-inflammatory eunicellin-based diterpenoids from the cultured soft coral Klyxum simplex. Org. Biomol. Chem. 2010, 8, 2363–2366. [Google Scholar] [CrossRef] [PubMed]
- Hassan, H.M.; Khanfar, M.A.; Elnagar, A.Y.; Mohammed, R.; Shaala, L.A.; Youssef, D.T.A.; Hifnawy, M.S.; El Sayed, K.A. Pachycladins A−E, prostate cancer invasion and migration inhibitory eunicellin-based diterpenoids from the Red Sea soft coral Cladiella pachyclados. J. Nat. Prod. 2010, 73, 848–853. [Google Scholar] [CrossRef] [PubMed]
- Williams, D.E.; Amlani, A.; Dewi, A.S.; Patrick, B.O.; van Ofwegen, L.; Mui, A.L.-F.; Andersen, R.J. Australin E isolated from the soft coral Cladiella sp. collected in Pohnpei activates the inositol 5-phosphatase SHIP1. Aust. J. Chem. 2010, 63, 895–900. [Google Scholar] [CrossRef]
- Chen, Y.-H.; Tai, C.-Y.; Hwang, T.-L.; Weng, C.-F.; Li, J.-J.; Fang, L.-S.; Wang, W.-H.; Wu, Y.-C.; Sung, P.-Y. Cladielloides A and B: New eunicellin-type diterpenoids from an Indonesian octocoral Cladiella sp. Mar. Drugs 2010, 8, 2936–2945. [Google Scholar] [CrossRef] [PubMed]
- Chen, B.-W.; Chao, C.-H.; Su, J.-H.; Tsai, C.-W.; Wang, W.-H.; Wen, Z.-H.; Hsieh, C.-H.; Sung, P.-J.; Wu, Y.-C.; Sheu, J.-H. Klysimplexins I–T, eunicellin-based diterpenoids from the cultured soft coral Klyxum simplex. Org. Biomol. Chem. 2011, 9, 834–844. [Google Scholar] [CrossRef] [PubMed]
- Ciavatta, M.L.; Manzo, E.; Mollo, E.; Mattia, C.A.; Tedesco, C.; Irace, C.; Guo, Y.-W.; Li, X.-B.; Cimino, G.; Gavagnin, M. Tritoniopsins A–D, cladiellane-based diterpenes from the South China Sea nudibranch Tritoniopsis elegans and its prey Cladiella krempfi. J. Nat. Prod. 2011, 74, 1902–1907. [Google Scholar] [CrossRef]
- Chen, Y.-H.; Tai, C.-Y.; Kuo, Y.-H.; Li, J.-J.; Hwang, T.-L.; Fang, L.-S.; Wang, W.-H.; Sheu, J.-H.; Sung, P.-J. Cladieunicellins A–E, new eunicellins from an Indonesian soft coral Cladiella sp. Chem. Pharm. Bull. 2011, 59, 353–358. [Google Scholar] [CrossRef] [PubMed]
- Wu, S.-L.; Su, J.-H.; Lu, Y.; Chen, B.-W.; Huang, C.-Y.; Wen, Z.-H.; Kuo, Y.-H.; Sheu, J.-H. Simplexins J–O, eunicellin-based diterpenoids from a Dongsha Atoll soft coral Klyxum simplex. Bull. Chem. Soc. Jpn. 2011, 84, 626–632. [Google Scholar] [CrossRef]
- Hsu, F.-J.; Chen, B.-W.; Wen, Z.-H.; Huang, C.-Y.; Dai, C.-F.; Su, J.-H.; Wu, Y.-C.; Sheu, J.-H. Klymollins A−H, bioactive eunicellin-based diterpenoids from the Formosan soft coral Klyxum molle. J. Nat. Prod. 2011, 74, 2467–2471. [Google Scholar] [CrossRef] [PubMed]
- Tai, C.-J.; Su, J.-H.; Huang, M.-S.; Wen, Z.-H.; Dai, C.-F.; Sheu, J.-H. Bioactive eunicellin-based diterpenoids from the soft coral Cladiella krempfi. Mar. Drugs 2011, 9, 2036–2045. [Google Scholar] [CrossRef] [PubMed]
- Chen, Y.-H.; Tai, C.-Y.; Su, Y.-D.; Chang, Y.-C.; Lu, M.-C.; Weng, C.-F.; Su, J.-H.; Hwang, T.-L.; Wu, Y.-C.; Sung, P.-J. Discovery of new eunicellins from an Indonesian octocoral Cladiella sp. Mar. Drugs 2011, 9, 934–943. [Google Scholar] [CrossRef] [PubMed]
- Lin, M.-C.; Chen, B.-W.; Huang, C.-Y.; Dai, C.-F.; Hwang, T.-L.; Sheu, J.-H. Eunicellin-based diterpenoids from the Formosan soft coral Klyxum molle with inhibitory activity on superoxide generation and elastase release by neutrophils. J. Nat. Prod. 2013, 76, 1661–1667. [Google Scholar] [CrossRef] [PubMed]
- Tai, C.-J.; Su, J.-H.; Huang, C.-Y.; Huang, M.-S.; Wen, Z.-H.; Dai, C.-F.; Sheu, J.-H. Cytotoxic and anti-inflammatory eunicellin-based diterpenoids from the soft coral Cladiella krempfi. Mar. Drugs 2013, 11, 788–799. [Google Scholar] [CrossRef] [PubMed]
- Chen, T.-H.; Lu, M.-C.; Chang, Y.-C.; Su, Y.-D.; Chen, Y.-H.; Lin, N.-C.; Fang, L.-S.; Wu, Y.-C.; Sung, P.-J. Discovery of new eunicellin-based diterpenoids from a Formosan soft coral Cladiella sp. Mar. Drugs 2013, 11, 4585–4593. [Google Scholar] [CrossRef] [PubMed]
- Lee, Y.-N.; Tai, C.-J.; Huang, T.-L.; Sheu, J.-H. Krempfielins J–M, new eunicellin-based diterpenoids from the soft coral Cladiella krempfi. Mar. Drugs 2013, 11, 2741–2750. [Google Scholar] [CrossRef] [PubMed]
- Cai, Y.-S.; Yao, L.-G.; Di Pascale, A.; Irace, C.; Mollo, E.; Taglialatela-Scafati, O.; Guo, Y.-W. Polyoxygenated diterpenoids of the eunicellin-type from the Chinese soft coral Cladiella krempfi. Tetrahedron 2013, 69, 2214–2219. [Google Scholar] [CrossRef]
- Chen, B.-W.; Chang, S.-M.; Huang, C.-Y.; Chao, C.-H.; Su, J.-H.; Wen, Z.-H.; Hsu, C.-H.; Dai, C.-F.; Wu, Y.-C.; Sheu, J.-H. Hirsutalins A−H, eunicellin-based diterpenoids from the soft coral Cladiella hirsuta. J. Nat. Prod. 2010, 73, 1785–1791. [Google Scholar] [CrossRef] [PubMed]
- Chen, B.-W.; Wang, S.-Y.; Huang, C.-Y.; Chen, S.-L.; Wu, Y.-C.; Sheu, J.-H. Hirsutalins I–M, eunicellin-based diterpenoids from the soft coral Cladiella hirsuta. Tetrahedron 2013, 69, 2296–2301. [Google Scholar] [CrossRef]
- Huang, T.-Z.; Chen, B.-W.; Huang, C.-Y.; Hwang, T.-L.; Dai, C.-F.; Sheu, J.-H. Eunicellin-based diterpenoids, Hirsutalins N–R, from the soft coral Cladiella hirsuta. Mar. Drugs 2014, 12, 2446–2457. [Google Scholar] [CrossRef] [PubMed]
- Limna Mol, V.P.; Raveendran, T.V.; Parameswaran, P.S.; Kunnath, R.J.; Rajamohanan, P.R. (–)-6α-hydroxy polyanthellin A—A novel antifouling diterpenoid from the Indian soft coral Cladiella krempfi. Can. J. Chem. 2011, 89, 57–60. [Google Scholar] [CrossRef]
- O’Brien, J.; Wilson, I.; Orton, T.; Pognan, F. Investigation of the Alamar Blue (resazurin) fluorescent dye for the assessment of mammalian cell cytotoxicity. Eur. J. Biochem. 2000, 267, 5421–5426. [Google Scholar] [CrossRef] [PubMed]
- Nakayama, G.R.; Caton, M.C.; Nova, M.P.; Parandoosh, Z. Assessment of the Alamar Blue assay for cellular growth and viability in vitro. J. Immunol. Methods 1997, 204, 205–208. [Google Scholar] [CrossRef] [PubMed]
- Hwang, T.-L.; Wang, C.-C.; Kuo, Y.-H.; Huang, H.-C.; Wu, Y.-C.; Kuo, L.-M.; Wu, Y.-H. The hederagenin saponin SMG-1 is a natural FMLP receptor inhibitor that suppresses human neutrophil activation. Biochem. Pharmacol. 2010, 80, 1190–1200. [Google Scholar] [CrossRef] [PubMed]
- Hwang, T.-L.; Leu, Y.-L.; Kao, S.-H.; Tang, M.-C.; Chang, H.-L. Viscolin, a new chalcone from Viscum coloratum, inhibits human neutrophil superoxide anion and elastase release via a cAMP-dependent pathway. Free Radic. Biol. Med. 2006, 41, 1433–1441. [Google Scholar] [CrossRef] [PubMed]
© 2015 by the authors; licensee MDPI, Basel, Switzerland. This article is an open access article distributed under the terms and conditions of the Creative Commons Attribution license (http://creativecommons.org/licenses/by/4.0/).