Oxygenated Eremophilane- and Neolemnane-Derived Sesquiterpenoids from the Soft Coral Lemnalia philippinensis
Abstract
:1. Introduction

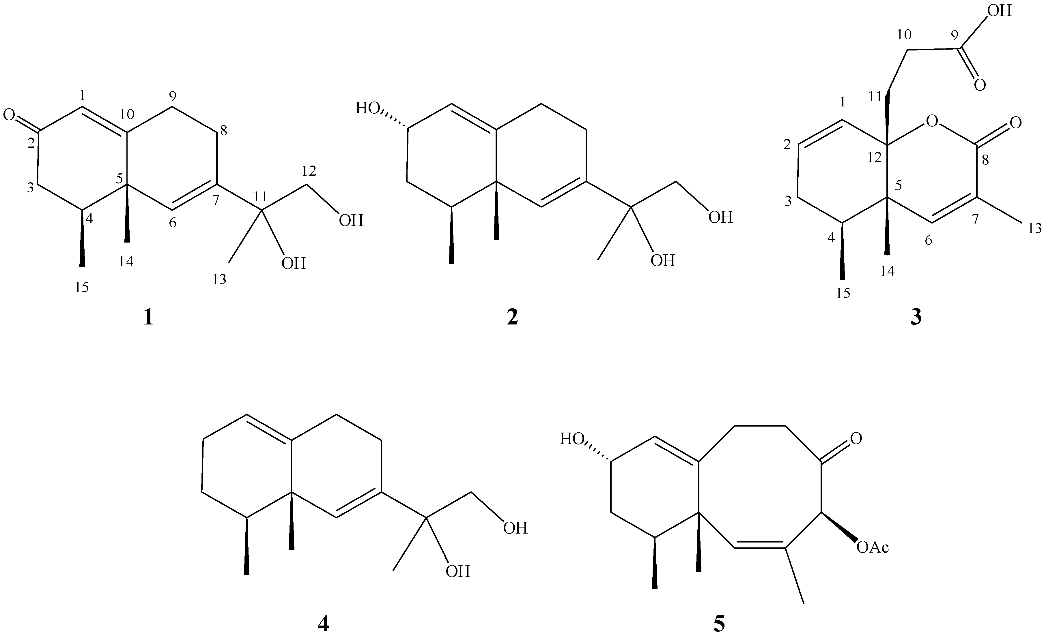
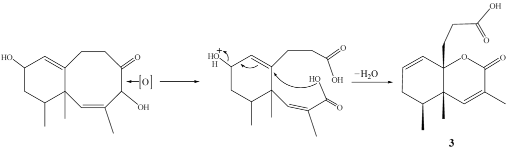
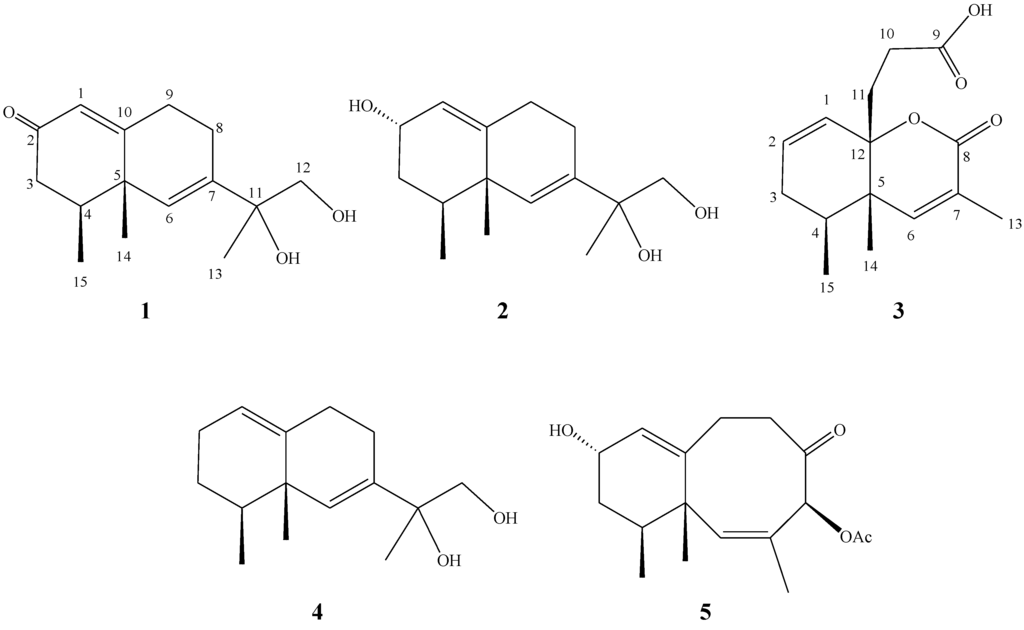
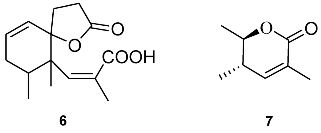
2. Results and Discussion
| 1 | 2 | 3 | ||||
|---|---|---|---|---|---|---|
| Position | δC | δH | δC | δH | δC | δH |
| Multiplicity | J in Hz | Multiplicity | J in Hz | Multiplicity | J in Hz | |
| 1 | 124.2 (CH) | 5.83 s | 121.4 (CH) | 5.54 d (4.0) | 124.6 (CH) | 5.69 d (10.0) |
| 2 | 199.1 (C) | 64.1 (CH) | 4.10 br s | 132.0 (CH) | 5.97 d (10.0, 4.0) | |
| 3 | 42.6 (CH2) | 2.34 m | 36.6 (CH2) | 1.73 m; 1.65 m | 31.0 (CH2) | 2.08 dt (19.0, 4.0) |
| 4 | 38.3 (CH) | 2.05 m | 32.1 (CH) | 1.71 m | 34.2 (CH) | 2.16 m |
| 5 | 39.9 (C) | 38.6 (C) | 40.4 (C) | |||
| 6 | 127.5 (CH) | 129.1 (CH) | 5.88 s | 148.3 (CH) | 6.30 s | |
| 7 | 139.4 (C) | 138.3 (C) | 126.0 (C) | |||
| 8 | 26.5 (CH2) | 2.35 m; 2.12 m | 27.5 (CH2) | 2.22 m; 2.02 m | 164.6 (C) | |
| 9 | 30.7 (CH2) | 2.57 ddd (13.0, 6.5, 1.5) | 29.7 (CH2) | 2.40 m; | 177.1 (C) | |
| 10 | 170.1 (C) | 147.7 (C) | 27.7 (CH2) | 2.60 m; 2.54 m | ||
| 11 | 74.9 (C) | 75.0 (C) | 28.9 (CH2) | |||
| 12 | 68.3 (CH2) | 3.62 d (11.0); | 68.4 (CH2) | 3.60 d (11.0); | 83.4 (C) | |
| 13 | 23.8 (CH3) | 1.31 s | 23.7 (CH3) | 1.28 s | 16.8 (CH3) | 1.93 s |
| 14 | 19.4 (CH3) | 1.15 s | 19.4 (CH3) | 0.94 s | 13.7 (CH3) | 0.95 s |
| 15 | 15.2 (CH3) | 1.06 d (6.5) | 15.3 (CH3) | 0.99 d (6.0) | 15.1 (CH3) | 0.92 d (6.5) |




3. Experimental Section
3.1. General Experimental Procedures
3.2. Animal Material
3.3. Extraction and Isolation
3.4. Cytotoxicity Testing
4. Conclusions
Supplementary Files
Supplementary File 1Acknowledgments
Author Contributions
Conflicts of Interest
References
- Wei, W.-C.; Sung, P.-J.; Duh, C.-Y.; Chen, B.-W.; Sheu, J.-H.; Yang, N.-S. Anti-Inflammatory activities of natural products isolated from soft corals of Taiwan between 2008 and 2012. Mar. Drugs 2013, 11, 4083–4126. [Google Scholar] [CrossRef]
- Blunt, J.W.; Copp, B.R.; Keyzers, R.A.; Munro, M.H.; Prinsep, M.R. Marine natural products. Nat. Prod. Rep. 2013, 30, 237–323. [Google Scholar] [CrossRef]
- Duh, C.-Y.; El-Gamal, A.A.H.; Song, P.-Y.; Wang, S.-K.; Dai, C.-F. Steroids and sesquiterpenoids from the soft corals Dendronephthya gigantea and Lemnalia cervicorni. J. Nat. Prod. 2004, 67, 1650–1653. [Google Scholar] [CrossRef]
- Izac, R.R.; Fenical, W.; Tagle, B.; Clardy, J. Neolemnane and eremophilane sesquiterpenoids from the Pacific soft coral Lemnalia africana. Tetrahedron 1981, 37, 2569–2573. [Google Scholar] [CrossRef]
- Jurek, J.; Scheuer, P.J. Sesquiterpenoids and norsesquiterpenoids from the soft coral Lemnalia aficana. J. Nat. Prod. 1993, 56, 508–513. [Google Scholar] [CrossRef]
- El-Gamal, A.A.H.; Chiu, E.-P.; Li, C.-H.; Cheng, S.-Y.; Dai, C.-F.; Duh, C.-Y. Sesquiterpenoids and norsesquiterpenoids from the Formosan soft coral Lemnalia laevis. J. Nat. Prod. 2005, 68, 1749–1753. [Google Scholar]
- Huang, H.-C.; Chao, C.-H.; Liao, J.-H.; Chiang, M.Y.; Dai, C.-F.; Wu, Y.-C.; Sheu, J.-H. A Novel chlorinated norsesquiterpenoid and two related new metabolites from the soft coral Paralemnalia thyrsoides. Tetrahedron Lett. 2005, 46, 7711–7714. [Google Scholar] [CrossRef]
- Huang, H.-C.; Wen, Z.-H.; Chao, C.-H.; Ahmed, A.F.; Chiang, M.Y.; Kuo, Y.-H.; Hsu, C.-H.; Chen, S.-P.; Sheu, J.-H. Novel sesquiterpenoids from the Formosan soft coral Paralemnalia thyrsoides. Tetrahedron Lett. 2006, 47, 8751–8755. [Google Scholar] [CrossRef]
- Wang, G.-H.; Huang, H.-C.; Su, J.-H.; Wu, Y.-C.; Sheu, J.-H. Paralemnolins J–P, new sesquiterpenoids from the soft coral Paralemnalia thyrsoides. Chem. Pharm. Bull. 2010, 58, 30–33. [Google Scholar] [CrossRef]
- Su, J.-H.; Lu, Y.; Hung, W.-Y.; Huang, C.-Y.; Chiang, M.Y.; Sung, P.-J.; Kuo, Y.-H.; Sheu, J.-H. Sesquiterpenoids from the Formosan soft coral Lemnalia flava. Chem. Pharm. Bull. 2011, 59, 698–702. [Google Scholar] [CrossRef]
- Xio, Y.-J.; Su, J.-H.; Chen, B.-W.; Tseng, Y.-J.; Wu, Y.-C.; Sheu, J.-H. Oxygenated ylangene-derived sesquiterpenoids from the soft coral Lemnalia philippinensis. Mar. Drugs 2013, 11, 3735–3741. [Google Scholar] [CrossRef]
- Kikuchi, H.; Manda, T.; Kobayashi, K.; Yamada, Y.; Iguchi, K. Anti-Tumor activity of lemnalol isolated from the soft coral Lemnalia tenuis Verseveldt. Chem. Pharm. Bull. 1983, 31, 1086–1088. [Google Scholar] [CrossRef]
- Wang, S.-K.; Duh, C.-Y. Nardosinane sesquiterpenoids from the Formosan soft coral Nephthea elongate. Chem. Pharm. Bull. 2007, 55, 762–765. [Google Scholar] [CrossRef]
- Bowden, B.F.; Coll, J.C.; Mitchell, S.J.; Skelton, B.W.; White, A.H. Studies of Australian soft corals. XXII. The structures of two novel sesquiterpenes and a nor sesquiterpene form Lemnalia africana, confirmed by a single-crystal X-ray study. Aust. J. Chem. 1980, 33, 2737–2747. [Google Scholar]
- Chen, Y.-H.; McDonald, F.E. New chiral synthons for efficient introduction of bispropionates via stereospecific oxonia–Cope rearrangements. J. Am. Chem. Soc. 2006, 128, 4568–4569. [Google Scholar] [CrossRef]
- Alley, M.C.; Scudiero, D.A.; Monks, A.; Hursey, M.L.; Czerwinski, M.J.; Fine, D.L.; Abbott, B.J.; Mayo, J.G.; Shoemaker, R.H.; Boyd, M.R. Feasibility of drug screening with panels of human tumor cell lines using a microculture tetrazolium assay. Cancer Res. 1988, 48, 589–601. [Google Scholar]
- Scudiero, D.A.; Shoemaker, R.H.; Paull, K.D.; Monks, A.; Tierney, S.; Nofziger, T.H.; Currens, M.J.; Seniff, D.; Boyd, M.R. Evaluation of a soluble tetrazolium/formazan assay for cell growth and drug sensitivity in culture using human and other tumor cell lines. Cancer Res. 1988, 48, 4827–4833. [Google Scholar]
© 2014 by the authors; licensee MDPI, Basel, Switzerland. This article is an open access article distributed under the terms and conditions of the Creative Commons Attribution license (http://creativecommons.org/licenses/by/3.0/).
Share and Cite
Xio, Y.-J.; Su, J.-H.; Tseng, Y.-J.; Chen, B.-W.; Liu, W.; Sheu, J.-H. Oxygenated Eremophilane- and Neolemnane-Derived Sesquiterpenoids from the Soft Coral Lemnalia philippinensis. Mar. Drugs 2014, 12, 4495-4503. https://doi.org/10.3390/md12084495
Xio Y-J, Su J-H, Tseng Y-J, Chen B-W, Liu W, Sheu J-H. Oxygenated Eremophilane- and Neolemnane-Derived Sesquiterpenoids from the Soft Coral Lemnalia philippinensis. Marine Drugs. 2014; 12(8):4495-4503. https://doi.org/10.3390/md12084495
Chicago/Turabian StyleXio, Yun-Jie, Jui-Hsin Su, Yen-Ju Tseng, Bo-Wei Chen, Wangta Liu, and Jyh-Horng Sheu. 2014. "Oxygenated Eremophilane- and Neolemnane-Derived Sesquiterpenoids from the Soft Coral Lemnalia philippinensis" Marine Drugs 12, no. 8: 4495-4503. https://doi.org/10.3390/md12084495
APA StyleXio, Y.-J., Su, J.-H., Tseng, Y.-J., Chen, B.-W., Liu, W., & Sheu, J.-H. (2014). Oxygenated Eremophilane- and Neolemnane-Derived Sesquiterpenoids from the Soft Coral Lemnalia philippinensis. Marine Drugs, 12(8), 4495-4503. https://doi.org/10.3390/md12084495

