The Protective Effect of Fucoidan in Rats with Streptozotocin-Induced Diabetic Nephropathy
Abstract
:1. Introduction
2. Results and Discussion
2.1. Results
2.1.1. Chemical Analysis
2.1.2. Effects of FPS on Physical Activity

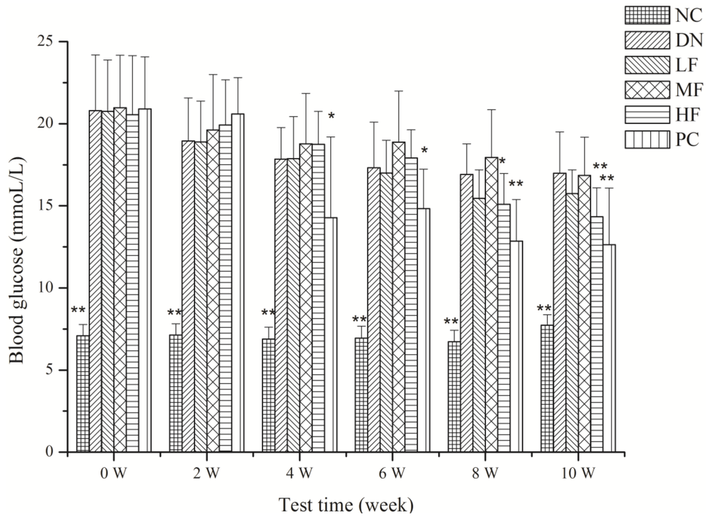
2.1.3. Effects of FPS on Blood Glucose

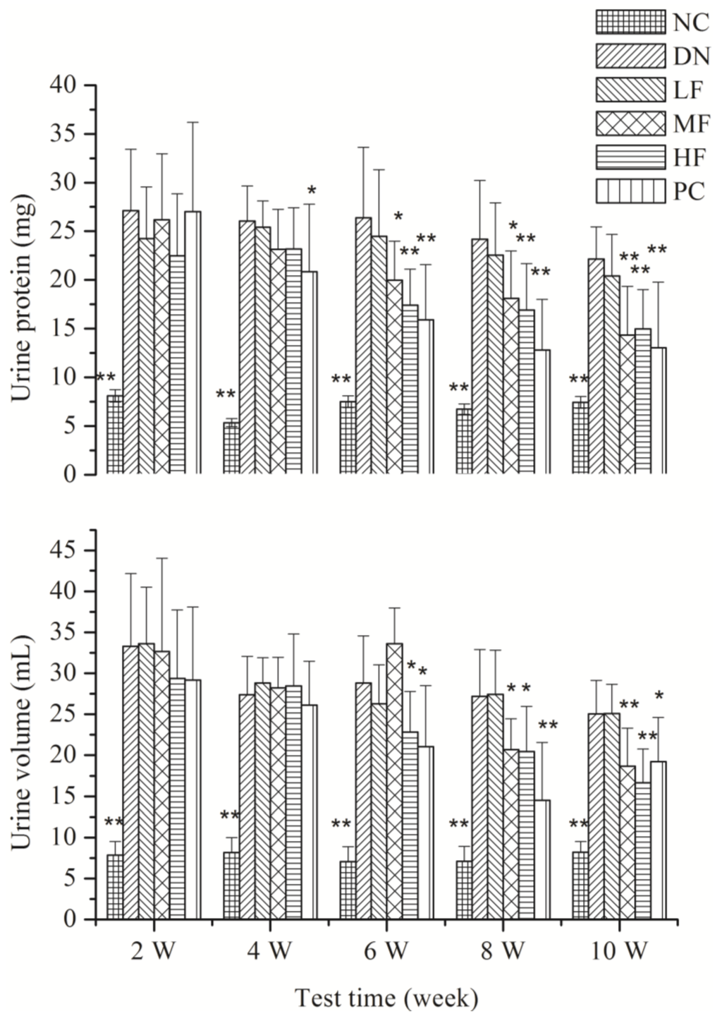
2.1.4. Effects of FPS on Renal Function

2.1.5. Effects of FPS on Renal Morphological Changes
| Group | Relative kidney weight (%) | BUN (μg/mL) | Scr (μmol/L) | Ucr (μmol/L) | Ccr (mL/min) | Serum insulin (μIU/mL) | Glycosylated hemoglobin (%) | Microalbumin (μg/mL) | β2-MG (μg/mL) |
|---|---|---|---|---|---|---|---|---|---|
| NC | 0.31 ± 0.05 ** | 6.44 ± 0.65 ** | 42.69 ± 3.54 | 11,968.4 ± 978.7 ** | 1.61 ± 0.32 ** | 10.83 ± 2.92 ** | 21.16 ± 6.41 ** | 1.42 ± 0.15 * | 0.12 ± 0.04 ** |
| DN | 0.82 ± 0.12 | 25.40 ± 7.90 | 40.18 ± 4.81 | 2359.5 ± 490.4 | 1.00 ± 0.15 | 5.74 ± 1.43 | 18.28 ± 1.66 | 1.25 ± 0.15 | 0.07 ± 0.05 |
| LF | 0.78 ± 0.11 | 21.55 ± 6.29 | 39.87 ± 3.33 | 2703.4 ± 312.4 | 1.19 ± 0.25 | 5.87 ± 1.33 | 19.52 ± 2.08 | 1.33 ± 0.18 | 0.11 ± 0.03 * |
| MF | 0.73 ± 0.13 | 18.48 ± 6.99 * | 42.27 ± 5.42 | 4476.5 ± 1238.1 ** | 1.35 ± 0.41 | 6.67 ± 1.38 * | 17.29 ± 2.59 | 1.47 ± 0.29 | 0.08 ± 0.03 |
| HF | 0.70 ± 0.06 * | 18.42 ± 5.13 * | 44.11 ± 5.05 | 5289.1 ± 1607.1 ** | 1.40 ± 0.42 * | 6.18 ± 1.34 * | 18.78 ± 2.89 | 1.42 ± 0.18 * | 0.11 ± 0.04 * |
| PC | 0.70 ± 0.10 * | 18.56 ± 5.49 * | 41.40 ± 4.90 | 4671.0 ± 1274.4 ** | 1.46 ± 0.43 * | 6.61 ± 1.53 * | 17.32 ± 4.53 | 1.45 ± 0.18 * | 0.09 ± 0.04 |


2.2. Discussion
3. Experimental Section
3.1. Materials
3.2. Preparation of Natural Polysaccharides
3.3. Animals
3.4. Experimental Protocols
3.5. Biochemical Analysis
3.6. Histopathological Procedures
3.7. Data Statistical Analysis
4. Conclusions
Acknowledgments
Author Contributions
Conflicts of Interest
References
- Ritz, E.; Rychlík, I.; Locatelli, F.; Halimi, S. End-stage renal failure in type 2 diabetes: A medical catastrophe of worldwide dimensions. Am. J. Kidney Dis. 1999, 34, 795–808. [Google Scholar] [CrossRef]
- Chuang, L.Y.; Guh, J.Y. Extracellular signals and intracellular pathways in diabetic nephropathy. Nephrology 2001, 6, 165–172. [Google Scholar] [CrossRef]
- Kanter, M. Protective effects of thymoquinone on streptozotocin-induced diabetic nephropathy. J. Mol. Histol. 2009, 40, 107–115. [Google Scholar] [CrossRef]
- Ihm, C.-G.; Lee, G.S.; Nast, C.C.; Artishevsky, A.; Guillermo, R.; Levin, P.S.; Glassock, R.J.; Adler, S.G. Early increased renal procollagen α1 (IV) mRNA levels in streptozotocin induced diabetes. Kidney Int. 1992, 41, 768–777. [Google Scholar] [CrossRef]
- Brenner, B.M.; Cooper, M.E.; de Zeeuw, D.; Keane, W.F.; Mitch, W.E.; Parving, H.H.; Remuzzi, G.; Snapinn, S.M.; Zhang, Z.; Shahinfar, S.; et al. Effects of losartan on renal and cardiovascular outcomes in patients with type 2 diabetes and nephropathy. N. Engl. J. Med. 2001, 345, 861–869. [Google Scholar] [CrossRef]
- Zhang, J.Q.; Xie, X.; Li, C.; Fu, P. Systematic review of the renal protective effect of Astragalus membranaceus (root) on diabetic nephropathy in animal models. J. Ethnopharmacol. 2009, 126, 189–196. [Google Scholar] [CrossRef]
- Li, S.P.; Zhang, G.H.; Zeng, Q.; Huang, Z.G.; Wang, Y.T.; Dong, T.T.; Tsim, K.W. Hypoglycemic activity of polysaccharide, with antioxidation, isolated from cultured Cordyceps mycelia. Phytomedicine 2006, 13, 428–433. [Google Scholar] [CrossRef]
- He, C.Y.; Li, W.D.; Guo, S.X.; Lin, S.Q.; Lin, Z.B. Effect of polysaccharides from Ganoderma lucidum on streptozotocin-induced diabetic nephropathy in mice. J. Asian Nat. Prod. Res. 2006, 8, 705–711. [Google Scholar] [CrossRef]
- Zhang, Y.W.; Wu, C.Y.; Cheng, J.T. Merit of Astragalus polysaccharide in the improvement of early diabetic nephropathy with an effect on mRNA expressions of NF-κB and IκB in renal cortex of streptozotoxin-induced diabetic rats. J. Ethnopharmacol. 2007, 114, 387–392. [Google Scholar] [CrossRef]
- Witvrouw, M.; de Clercq, E. Sulfated Polysaccharides Extracted from Sea Algae as Potential Antiviral Drugs. Gen. Pharmacol. 1997, 29, 497–511. [Google Scholar] [CrossRef]
- Baba, M.; de Clercq, E.; Schols, D.; Pauwels, R.; Snoeck, R.; van Boeckel, C.; van Dedem, G.; Kraaijeveld, N.; Hobbelen, P.; Ottenheijm, H.; et al. Novel sulfated polysaccharides: Dissociation of anti-human immunodeficiency virus activity from antithrombin activity. J. Infect. Dis. 1990, 161, 208–213. [Google Scholar] [CrossRef]
- Bilan, M.I.; Usov, A.I. Structural Analysis of Fucoidans. Nat. Prod. Commun. 2008, 3, 1639–1648. [Google Scholar]
- Feldman, S.C.; Reynaldi, S.; Stortz, C.A.; Cerezo, A.S.; Damont, E.B. Antiviral properties of fucoidan fractions from Leathesia difformis. Phytomedicine 1999, 6, 335–340. [Google Scholar] [CrossRef]
- Jia, Y.H. Laminaria japonica Aresch in Chinese Pharmaceutics of Maine Lakes and Marshes; Xueyuan Press: Beijing, China, 1996; pp. 321–322. [Google Scholar]
- Wang, J.; Zhang, Q.; Jin, W.; Niu, X.; Zhang, H. Effects and mechanism of low molecular weight fucoidan in mitigating the peroxidative and renal damage induced by adenine. Carbohydr. Polym. 2011, 84, 417–423. [Google Scholar] [CrossRef]
- Wang, J.; Wang, F.; Yun, H.; Zhang, H.; Zhang, Q. Effect and mechanism of fucoidan derivatives from Laminaria japonica in experimental adenine-induced chronic kidney disease. J. Ethnopharmacol. 2012, 139, 807–813. [Google Scholar] [CrossRef]
- Zhang, Q.B.; Li, Z.; Xu, Z.; Niu, X.; Zhang, H. Effects of fucoidan on chronic renal failure in rats. Planta Med. 2003, 69, 537–541. [Google Scholar] [CrossRef]
- Zhang, Q.B.; Li, N.; Zhao, T.; Qi, H.; Xu, Z.; Li, Z. Fucoidan inhibits the development of proteinuria in active Heymann nephritis. Phytother. Res. 2005, 19, 50–53. [Google Scholar] [CrossRef]
- Wang, J.; Jin, W.; Zhang, W.; Hou, Y.; Zhang, H.; Zhang, Q. Hypoglycemic property of acidic polysaccharide extracted from Saccharina japonica and its potential mechanism. Carbohydr. Polym. 2013, 95, 143–147. [Google Scholar] [CrossRef]
- Yang, W.; Yu, X.; Zhang, Q.; Lu, Q.; Wang, J.; Cui, W.; Zheng, Y.; Wang, X.; Luo, D. Attenuation of streptozotocin-induced diabetic retinopathy with low molecular weight fucoidan via inhibition of vascular endothelial growth factor. Exp. Eye Res. 2013, 115, 96–105. [Google Scholar] [CrossRef]
- Cui, W.; Zheng, Y.; Zhang, Q.; Wang, J.; Wang, L.; Yang, W.; Guo, C.; Gao, W.; Wang, X.; Luo, D. Low-molecular-weight fucoidan protects endothelial function and ameliorates basal hypertension in diabetic Goto-Kakizaki rats. Lab. Invest. 2014, 94, 382–393. [Google Scholar] [CrossRef]
- Kashihara, N.; Watanabe, Y.; Makino, H.; Wallner, E.I.; Kanwar, Y.S. Selective decreased de novo synthesis of glomerular proteoglycans under the influence of reactive oxygen species. Proc. Natl. Acad. Sci. USA 1992, 89, 6309–6313. [Google Scholar] [CrossRef]
- Ha, H.; Kim, C.; Son, Y.; Chung, M.H.; Kim, K.H. DNA damage in the kidneys of diabetic rats exhibiting microalbuminuria. Free Rad. Biol. Med. 1994, 16, 271–274. [Google Scholar] [CrossRef]
- Brezniceanu, M.; Liu, F.; Wei, C.C.; Tran, S.; Sachetelli, S.; Zhang, S.L.; Guo, D.F.; Filep, J.G.; Ingelfinger, J.R.; Chan, J.S. Catalase overexpression attenuates angiotensinogen expression and apoptosis in diabetic mice. Kidney Int. 2007, 71, 912–923. [Google Scholar] [CrossRef]
- Ha, H.; Hwang, I.A.; Park, J.H.; Lee, H.B. Role of reactive oxygen species in the pathogenesis of diabetic nephropathy. Diabetes Res. Clin. Pract. 2008, 82, S42–S45. [Google Scholar] [CrossRef]
- Bhatia, S.; Shukla, R.; Venkata Madhu, S.; Kaur Gambhir, J.; Madhava Prabhu, K. Antioxidant status, lipid peroxidation and nitric oxide end products in patients of type 2 diabetes mellitus with nephropathy. Clin. Biochem. 2003, 36, 557–562. [Google Scholar] [CrossRef]
- Wang, J.; Zhang, Q.; Zhang, Z.; Li, Z. Antioxidant activity of sulfated polysaccharide fractions extracted from Laminaria japonica. Int. J. Biol. Macromol. 2008, 42, 127–132. [Google Scholar] [CrossRef]
- Suzuki, R.; Okada, Y.; Okuyama, T. The favorable effect of style of Zea mays L. on streptozotocin induced diabetic nephropathy. Biol. Pharm. Bull. 2005, 28, 919–920. [Google Scholar] [CrossRef]
- Guerrero-Analco, J.A.; Hersch-Martínez, P.; Pedraza-Chaverri, J.; Navarrete, A.; Mata, R. Antihyperglycemic effect of constituents from Hintonia standleyana in streptozotocin-induced diabetic rats. Planta Med. 2005, 71, 1099–1105. [Google Scholar] [CrossRef]
- Xu, J.; Li, Z.; Cao, M.; Zhang, H.; Sun, J.; Zhao, J.; Zhou, Q.; Wu, Z.; Yang, L. Synergetic effect of Andrographis paniculata polysaccharide on diabetic nephropathy with andrographolide. Int. J. Biol. Macromol. 2012, 51, 738–742. [Google Scholar] [CrossRef]
- Cohen, M.P.; Clements, R.S.; Cohen, J.A.; Shearman, C.W. Prevention of decline in renal function in the diabetic db/db mouse. Diabetologia 1996, 39, 270–274. [Google Scholar] [CrossRef]
- Montilla, P.; Barcos, M.; Munoz, M.C.; Bujalance, I.; Munoz-Castaneda, J.R.; Tunez, I. Red wine prevents brain oxidative stress and nephropathy in streptozotocin-induced diabetic rats. J. Biochem. Mol. Biol. 2005, 38, 539–544. [Google Scholar] [CrossRef]
- Clark, T.A.; Heyliger, C.E.; Edel, A.L.; Goel, D.P.; Pierce, G.N. Codelivery of a tea extract prevents morbidity and mortality associated with oral vanadate therapy in streptozotocin-induced diabetic rats. Metabolism 2004, 53, 1145–1151. [Google Scholar] [CrossRef]
- Larkins, R.G.; Dunlop, M.E. The link between hyperglycemia and diabetic nephropathy. Diabetologia 1992, 35, 499–504. [Google Scholar] [CrossRef]
- Zhao, R.; Li, Q.W.; Li, J.; Zhang, T. Protective effect of Lycium barbarum polysaccharide 4 on kidneys in streptozotocin-induced diabetic rats. Can. J. Physiol. Pharmacol. 2009, 87, 711–719. [Google Scholar] [CrossRef]
- Gil, N.; Goldberg, R.; Neuman, T.; Garsen, M.; Zcharia, E.; Rubinstein, A.M.; van Kuppevelt, T.; Meirovitz, A.; Pisano, C.; Li, J.P.; et al. Heparanase is essential for the development of diabetic nephropathy in mice. Diabetes 2012, 61, 208–216. [Google Scholar] [CrossRef]
- Dubois, M.; Gilles, K.A.; Hamilton, J.K.; Rebers, P.A.; Smith, F. Colorimetric Method for Determination of Sugars and Related Substabces. Anal. Chem. 1956, 28, 350–357. [Google Scholar] [CrossRef]
- Kawai, Y.; Seno, N.; Anno, K. A modified method for chondrosulfatase assay. Anal. Biochem. 1969, 32, 314–321. [Google Scholar] [CrossRef]
- Bitter, T.; Muir, H.M. A modified uronic acid carbazole reaction. Anal. Biochem. 1962, 4, 330–334. [Google Scholar] [CrossRef]
- Honda, S.; Akao, E.; Suzuki, S.; Okuda, M.; Kakehi, K.; Nakamura, J. High-performance liquid chromatography of reducing carbohydrates as strongly ultraviolet-absorbing and electrochemically sensitive 1-phenyl-3-methyl5-pyrazolone derivatives. Anal. Biochem. 1989, 180, 351–357. [Google Scholar] [CrossRef]
- Barham, D.; Trinder, P. An improved colour reagent for the determination of blood glucose by the oxidase system. Analyst 1972, 97, 142–145. [Google Scholar] [CrossRef]
© 2014 by the authors; licensee MDPI, Basel, Switzerland. This article is an open access article distributed under the terms and conditions of the Creative Commons Attribution license (http://creativecommons.org/licenses/by/3.0/).
Share and Cite
Wang, J.; Liu, H.; Li, N.; Zhang, Q.; Zhang, H. The Protective Effect of Fucoidan in Rats with Streptozotocin-Induced Diabetic Nephropathy. Mar. Drugs 2014, 12, 3292-3306. https://doi.org/10.3390/md12063292
Wang J, Liu H, Li N, Zhang Q, Zhang H. The Protective Effect of Fucoidan in Rats with Streptozotocin-Induced Diabetic Nephropathy. Marine Drugs. 2014; 12(6):3292-3306. https://doi.org/10.3390/md12063292
Chicago/Turabian StyleWang, Jing, Huaide Liu, Ning Li, Quanbin Zhang, and Hong Zhang. 2014. "The Protective Effect of Fucoidan in Rats with Streptozotocin-Induced Diabetic Nephropathy" Marine Drugs 12, no. 6: 3292-3306. https://doi.org/10.3390/md12063292
APA StyleWang, J., Liu, H., Li, N., Zhang, Q., & Zhang, H. (2014). The Protective Effect of Fucoidan in Rats with Streptozotocin-Induced Diabetic Nephropathy. Marine Drugs, 12(6), 3292-3306. https://doi.org/10.3390/md12063292
