Flexibilins A–C, New Cembrane-Type Diterpenoids from the Formosan Soft Coral, Sinularia flexibilis
Abstract
:1. Introduction

2. Results and Discussion
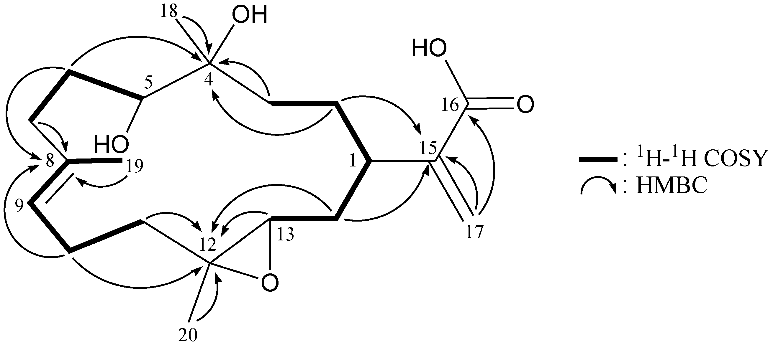
| Position | δH (J in Hz) | δC, Multiple | 1H–1H COSY | HMBC |
|---|---|---|---|---|
| 1 | 2.70 br s | 38.1, CH | H2-2, H2-14 | C-13 |
| 2 | 1.63 m; 1.52 m | 26.6, CH2 | H-1, H2-3 | C-1, -4, -14, -15 |
| 3 | 1.60 m; 1.53 m | 37.1, CH2 | H2-2 | C-2, -4, -5 |
| 4 | 74.8, C | |||
| 5 | 3.53 d (10.0) | 74.0, CH | H2-6 | C-6, -7, -18 |
| 6 | 1.71 m; 1.59 m | 28.6, CH2 | H-5, H2-7 | C-4, -5, -7, -8 |
| 7 | 2.21 m; 2.14 m | 33.7, CH2 | H2-6 | C-5, -6, -8, -9, -19 |
| 8 | 136.1, C | |||
| 9 | 5.11 dd (6.5, 6.5) | 122.7, CH | H2-10, H3-19 | C-7, -10, -11, -19 |
| 10 | 2.14 m | 23.1, CH2 | H-9, H2-11 | C-8, -9, -11, -12 |
| 11 | 2.01 ddd (14.0, 6.5, 3.0) | 37.5, CH2 | H2-10 | C-9, -10, -12, -20 |
| 1.42 ddd (14.0, 11.0, 3.0) | ||||
| 12 | 60.3, C | |||
| 13 | 2.87 dd (7.5, 5.5) | 61.2, CH | H2-14 | C-11, -12, -14 |
| 14 | 1.85 ddd (14.0, 10.0, 5.5); 1.61 m | 34.1, CH2 | H-1, H-13 | C-1, -2, -12, -13, -15 |
| 15 | 142.7, C | |||
| 16 | 170.8, C | |||
| 17 | 6.40 s; 5.68 s | 126.5, CH2 | C-1, -15, -16 | |
| 18 | 1.26 s | 24.7, CH3 | C-3, -4, -5 | |
| 19 | 1.67 s | 18.1, CH3 | H-9 | C-7, -8, -9 |
| 20 | 1.30 s | 17.1, CH3 | C-11, -12, -13 |


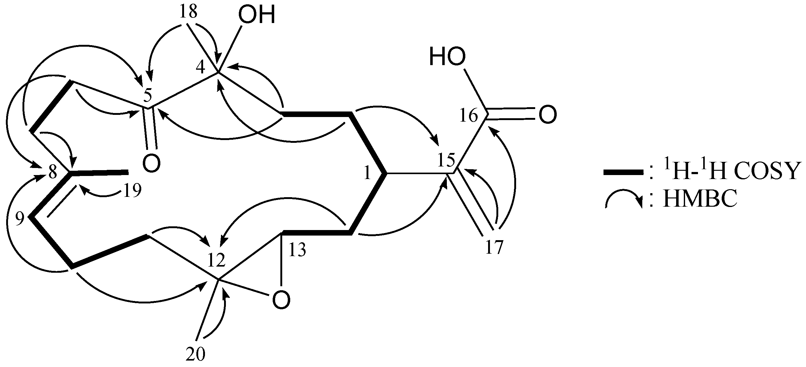
| Position | δH (J in Hz) | δC, Multiple | 1H–1H COSY | HMBC |
|---|---|---|---|---|
| 1 | 2.75 m | 35.9, CH | H2-2, H2-14 | C-14 |
| 2 | 1.59 m; 1.41 m | 25.1, CH2 | H-1, H2-3 | C-4, -15 |
| 3 | 1.78 m; 1.52 m | 35.8, CH2 | H2-2 | C-4, -5, -18 |
| 4 | 78.9, C | |||
| 5 | 213.6, C | |||
| 6 | 2.70 m | 34.2, CH2 | H2-7 | C-5, -7, -8 |
| 7 | 2.55 m; 2.21 m | 31.5, CH2 | H2-6 | C-5, -6, -8, -9, -19 |
| 8 | 134.5, C | |||
| 9 | 5.13 dd (6.0, 6.0) | 126.5, CH | H2-10, H3-19 | C-7, -10, -11, -19 |
| 10 | 2.10 m; 2.01 m | 22.8, CH2 | H-9, H2-11 | C-8, -9, -11, -12 |
| 11 | 1.96 m; 1.56 m | 36.7, CH2 | H2-10 | C-9, -10, -12, -13 |
| 12 | 60.8, C | |||
| 13 | 2.79 dd (9.5, 4.0) | 59.4, CH | H2-14 | C-14 |
| 14 | 1.99 m; 1.42 m | 32.4, CH2 | H-1, H-13 | C-1, -12, -13, -15 |
| 15 | 141.9, C | |||
| 16 | 171.3, C | |||
| 17 | 6.42, s; 5.57 s | 126.2, CH2 | C-1, -15, -16 | |
| 18 | 1.35 s | 25.7, CH3 | C-3, -4, -5 | |
| 19 | 1.66 s | 17.0, CH3 | H-9 | C-7, -8, -9 |
| 20 | 1.27 s | 18.2, CH3 | C-11, -12, -13 |


| Position | δH (J in Hz) | δC, Multiple | 1H–1H COSY | HMBC |
|---|---|---|---|---|
| 1 | 1.90 m | 37.4, CH | H2-2, H2-14 | C-2, -14, -15, -16, -17 |
| 2 | 2.19 m; 1.20 ddd (12.5, 12.5, 7.0) | 29.7, CH2 | H-1, H2-3 | C-1, -2, -3, -4, -14, -15 |
| 3 | 2.45 dd (15.5, 7.0); 1.91 m | 33.7, CH2 | H2-2 | C-1, -2, -4, -5, -18 |
| 4 | 90.0, C | |||
| 5 | 209.3, C | |||
| 6 | 3.36 dd (17.0, 9.5); 2.56 br d (17.0) | 33.6, CH2 | H2-7 | C-5, -7, -8 |
| 7 | 2.57 br d (16.0); 2.15 m | 31.0, CH2 | H2-6 | C-5, -6, -8, -9, -19 |
| 8 | 134.7, C | |||
| 9 | 4.99 dd (6.5, 6.5) | 124.9, CH | H2-10, H3-19 | C-7, -9, -10, -19 |
| 10 | 2.14 m | 23.5, CH2 | H-9, H2-11 | C-8, -9, -11, -12 |
| 11 | 1.66 m | 38.2, CH2 | H2-10 | C-9, -10, -12, -13, -20 |
| 12 | 76.2, C | |||
| 13 | 3.26 dd (6.0, 1.5) | 75.5, CH | H2-14 | C-1, -11, -14, -20 |
| 14 | 2.03 dd (14.5, 1.5) | 35.3, CH2 | H-1, H-13 | C-1, -2, -12, -13, -15 |
| 1.40 ddd (14.5, 11.0, 6.0) | ||||
| 15 | 143.3, C | |||
| 16 | 168.0, C | |||
| 17 | 6.35 s; 5.58 s | 126.0, CH2 | C-1, -15, -16 | |
| 18 | 1.49 s | 29.6, CH3 | C-3, -4, -5, -16 | |
| 19 | 1.69 s | 17.4, CH3 | H-9 | C-7, -8, -9 |
| 20 | 1.27 s | 24.6, CH3 | C-11, -12, -13 |



| Compound | Superoxide anions | Elastase release | ||
|---|---|---|---|---|
| IC50 (μg/mL) | Inh% a | IC50 (μg/mL) | Inh% a | |
| 1 | >10 | 12.31 ± 3.04 * | >10 | 22.67 ± 5.32 * |
| 2 | >10 | 22.03 ± 3.88 ** | >10 | 45.76 ± 2.92 *** |
| 3 | >10 | 18.80 ± 3.81 ** | >10 | 10.56 ± 2.75 * |
| 4 | >10 | −2.08 ± 1.01 | >10 | 8.14 ± 4.03 |
| LY294002 b | 0.41 ± 0.27 | 0.79 ± 0.18 | ||
3. Experimental Section
3.1. General Experimental Procedures
3.2. Animal Material
3.3. Extraction and Isolation
−9 (c 0.47, CHCl3); IR (neat) νmax 3750–2400 (br.), 3419, 1711 cm−1; 1H (CDCl3, 500 MHz) and 13C (CDCl3, 125 MHz) NMR data—see Table 1; ESIMS: m/z 375 (M + Na)+; HRESIMS: m/z 375.2144 (calcd. for C20H32O5Na, 375.2147).
+29 (c 0.83, CHCl3); IR (neat) νmax 3700–2400 (br.), 3447, 1713 cm−1; 1H (CDCl3, 500 MHz) and 13C (CDCl3, 125 MHz) NMR data—see Table 2; ESIMS: m/z 373 (M + Na)+; HRESIMS: m/z 373.1989 (calcd. for C20H30O5Na, 373.1991).
+4 (c 0.28, CHCl3); IR (neat) νmax 3431, 1711 cm−1; 1H (CDCl3, 500 MHz) and 13C (CDCl3, 125 MHz) NMR data—see Table 3; ESIMS: m/z 373 (M + Na)+; HRESIMS: m/z 373.1989 (calcd. for C20H30O5Na, 373.1991).
−43 (c 0.67, CHCl3) (reference [23],
−45.0 (c 0.5, CHCl3)); IR (neat) νmax 3431, 1691 cm−1; 1H NMR (CDCl3, 400 MHz) δH 6.24 (1H, s, H-17), 5.49 (1H, s, H-17′), 5.39 (1H, m, H-11), 5.36 (1H, m, H-9), 4.18 (1H, dd, J = 11.2, 4.4 Hz, H-13), 3.77 (1H, d, J = 10.4 Hz, H-5), 3.13 (1H, ddd, J = 13.2, 11.6, 10.4 Hz, H-10), 2.40 (1H, m, H-10′), 2.21 (1H, m, H-7), 2.13 (1H, m, H-3), 2.05 (1H, m, H-7′), 2.04 (1H, m, H-2), 2.01 (1H, m, H-1), 1.99 (1H, m, H-6), 1.80 (1H, m, H-14), 1.72 (1H, m, H-14′), 1.70 (1H, m, H-3′), 1.62 (3H, s, H3-18), 1.52 (3H, s, H3-19), 1.35 (1H, dddd, J = 14.0, 10.4, 3.6, 3.6 Hz, H-6′), 1.26 (3H, s, H3-20), 1.14 (1H, m, H-2′); 13C NMR (CDCl3, 100 MHz) δC 169.6 (C-16), 144.6 (C-15), 134.2 (C-8), 132.7 (C-12), 127.9 (CH-11), 124.7 (CH-9), 124.4 (CH2-17), 86.6 (C-4), 76.6 (CH-13), 67.4 (CH-5), 38.0 (CH2-14), 34.8 (CH2-7), 33.7 (CH-1), 32.0 (CH2-3), 29.2 (CH2-2), 26.8 (CH2-10), 26.6 (CH2-6), 22.8 (CH3-18), 14.9 (CH3-19), 9.3 (CH3-20); ESIMS: m/z 357 (M + Na)+; HRESIMS: m/z 357.2040 (calcd. for C20H30O4Na, 357.2042).3.4. Single-Crystal X-ray Crystallography of (−)-Sandensolide (4) [25]
3.5. Generation of Superoxide Anions and Release of Elastase by Human Neutrophils
4. Conclusions
Acknowledgments
Conflict of Interest
References and Notes
- Rocha, J.; Peixe, L.; Gomes, N.C.M.; Calado, R. Cnidarians as a new marine bioactive compounds—An overview of the last decade and future steps for bioprospecting. Mar. Drugs 2011, 9, 1860–1886. [Google Scholar] [CrossRef]
- Chen, W.-T.; Li, Y.; Guo, Y.-W. Terpenoids of Sinularia soft corals: Chemistry and bioactivity. Acta Pharm. Sin. B 2012, 2, 227–237. [Google Scholar]
- Tursch, B.; Braekman, J.C.; Daloze, D.; Herin, M.; Karlsson, R.; Losman, D. Chemcial studies of marine invertebrates—XI. Tetrahedron 1975, 31, 129–133. [Google Scholar] [CrossRef]
- Weinheimer, A.J.; Matson, J.A.; Hossain, M.B.; van der Helm, D. Marine anticancer agents: Sinularin and dihydrosinularin, new cembranolides from the soft coral, Sinularia flexibilis. Tetrahedron Lett. 1977, 18, 2923–2926. [Google Scholar] [CrossRef]
- Kazlauskas, R.; Murphy, P.T.; Wells, R.J.; Schönholzer, P.; Coll, J.C. Cembranoid constituents from an Australian collection of the soft coral Sinularia flexibilis. Aust. J. Chem. 1978, 31, 1817–1824. [Google Scholar]
- Mori, K.; Suzuki, S.; Iguchi, K.; Yamada, Y. 8,11-Epoxy bridged cembranolide diterpene from the soft coral Sinularia flexibilis. Chem. Lett. 1983, 12, 1515–1516. [Google Scholar]
- Guerrero, P.P.; Read, R.W.; Batley, M.; Janairo, G.C. The structure of a novel cembranoid diterpene from a Philippine collection of the soft coral Sinularia flexibilis. J. Nat. Prod. 1995, 58, 1185–1191. [Google Scholar] [CrossRef]
- Anjaneyulu, A.S.R.; Sagar, K.S. Flexibilolide and dihydroflexibilolide, the first trihydroxy-cembranolide lactones from the soft coral Sinularia flexibilis of the Indian Ocean. Nat. Prod. Lett. 1996, 9, 127–135. [Google Scholar] [CrossRef]
- Michalek, K.; Bowden, B.F. A natural algacide from soft coral Sinularia flexibilis (Coelenterata, Octocorallia, Alcyonacea). J. Chem. Ecol. 1997, 23, 259–273. [Google Scholar] [CrossRef]
- Anjaneyulu, A.S.R.; Sagar, K.S.; Rao, G.V. New cembranoid lactones from the Indian Ocean soft coral Sinularia flexibilis. J. Nat. Prod. 1997, 60, 9–12. [Google Scholar] [CrossRef]
- Duh, C.-Y.; Wang, S.-K.; Tseng, H.-K.; Sheu, J.-H.; Chiang, M.Y. Novel cytotoxic cembranoids from the soft coral Sinularia flexibilis. J. Nat. Prod. 1998, 61, 844–847. [Google Scholar] [CrossRef]
- Duh, C.-Y.; Wang, S.-K.; Tseng, H.-K.; Sheu, J.-H. A novel cytotoxic biscembranoid from the Formosan soft coral Sinularia flexibilis. Tetrahedron Lett. 1998, 39, 7121–7122. [Google Scholar] [CrossRef]
- Hsieh, P.-W.; Chang, F.-R.; McPhail, A.T.; Lee, K.-H.; Wu, Y.-C. New cembranolide analogues from the Formosan soft coral Sinularia flexibilis and their cytotoxicity. Nat. Prod. Res. 2003, 17, 409–418. [Google Scholar] [CrossRef]
- Wen, T.; Ding, Y.; Deng, Z.; van Ofwegen, L.; Proksch, P.; Lin, W. Sinulaflexiolides A–K, cembrane-type diterpenoids from the Chinese soft coral Sinularia flexibilis. J. Nat. Prod. 2008, 71, 1133–1140. [Google Scholar] [CrossRef]
- Lo, K.-L.; Khalil, A.T.; Kuo, Y.-H.; Shen, Y.-C. Sinuladiterpenes A–F, new cembrane diterpenes from Sinularia flexibilis. Chem. Biodivers. 2009, 6, 2227–2235. [Google Scholar] [CrossRef]
- Su, J.-H.; Lin, Y.-F.; Lu, Y.; Yeh, H.-C.; Wang, W.-H.; Fan, T.-Y.; Sheu, J.-H. Oxygenated cembranoids from the cultured and wild-type soft corals Sinularia flexibilis. Chem. Pharm. Bull. 2009, 57, 1189–1192. [Google Scholar]
- Lin, Y.-S.; Chen, C.-H.; Liaw, C.-C.; Chen, Y.-C.; Kuo, Y.-H.; Shen, Y.-C. Cembrane diterpenoids from the Taiwanese soft coral Sinularia flexibilis. Tetrahedron 2009, 65, 9157–9164. [Google Scholar] [CrossRef]
- Lo, K.-L.; Khalil, A.T.; Chen, M.-H.; Shen, Y.-C. New cembrane diterpenes from Taiwanese soft coral Sinularia flexibilis. Helv. Chim. Acta 2010, 93, 1329–1335. [Google Scholar] [CrossRef]
- Chen, B.-W.; Chao, C.-H.; Su, J.-H.; Huang, C.-Y.; Dai, C.-F.; Wen, Z.-H.; Sheu, J.-H. A novel symmetric sulfur-containing biscembranoid from the Formosan soft coral Sinularia flexibilis. Tetrahedron Lett. 2010, 51, 5764–5766. [Google Scholar]
- Shih, H.-J.; Tseng, Y.-J.; Huang, C.-Y.; Wen, Z.-H.; Dai, C.-F.; Sheu, J.-H. Cytotoxic and anti-inflammatory diterpenoids from the Dongsha Atoll soft coral Sinularia flexibilis. Tetrahedron 2012, 68, 244–249. [Google Scholar]
- Su, C.-C.; Wong, B.-S.; Chin, C.; Wu, Y.-J.; Su, J.-H. Oxygenated cembranoids from the soft coral Sinularia flexibilis. Int. J. Mol. Sci. 2013, 14, 4317–4325. [Google Scholar] [CrossRef]
- Anjaneyulu, A.S.R.; Rao, G.V.; Sagar, K.S.; Kumar, K.R.; Mohan, K.C. Sandensolide: A new dihydroxycembranolide from the soft coral, Sinularia sandensis Verseveldt of the Indian Ocean. Nat. Prod. Lett. 1995, 7, 183–190. [Google Scholar] [CrossRef]
- Ma, A.; Deng, Z.; van Ofwegen, L.; Bayer, M.; Proksch, P.; Lin, W. Dendronpholides A–R, cembranoid diterpenes from the Chinese soft coral Dendronephthya sp. J. Nat. Prod. 2008, 71, 1152–1160. [Google Scholar]
- In the in vitro anti-inflammatory bioassay, the inhibitory effects on the generation of superoxide anion and the release of elastase by activated neutrophils were used as indicators. For significant activity of pure compounds, an inhibition rate ≥ 50% is required (inhibition rate ≤ 10%, not active; 20% ≥ inhibition rate ≥ 10%, weakly anti-inflammatory; 50% ≥ inhibition rate ≥ 20%, modestly anti-inflammatory).
- Crystallographic data for the structure of (−)-sandensolide (4) have been deposited with the Cambridge Crystallographic Data Center as supplementary publication number CCDC 931762. Copies of the data can be obtained, free of charge, on application to CCDC, 12 Union Road, Cambridge CB2 1EZ, UK [Fax: +44-(0)-1223-336033 or E-Mail: deposit@ccdc.cam.ac.uk].
- Flack, H.D. On enantiomorph-polarity estimation. Acta Crystallogr. 1983, A39, 876–881. [Google Scholar]
- Yu, H.-P.; Hsieh, P.-W.; Chang, Y.-J.; Chung, P.-J.; Kuo, L.-M.; Hwang, T.-L. 2-(2-Fluorobenzamido)benzoate ethyl ester (EFB-1) inhibits superoxide production by human neutrophils and attenuates hemorrhagic shock-induced organ dysfunction in rats. Free Radic. Biol. Med. 2011, 50, 1737–1748. [Google Scholar] [CrossRef]
- Hwang, T.-L.; Wang, C.-C.; Kuo, Y.-H.; Huang, H.-C.; Wu, Y.-C.; Kuo, L.-M.; Wu, Y.-H. The hederagenin saponin SMG-1 is a natural FMLP receptor inhibitor that suppresses human neutrophil activation. Biochem. Pharmacol. 2010, 80, 1190–1200. [Google Scholar]
- Hwang, T.-L.; Su, Y.-C.; Chang, H.-L.; Leu, Y.-L.; Chung, P.-J.; Kuo, L.-M.; Chang, Y.-J. Suppression of superoxide anion and elastase release by C18 unsaturated fatty acids in human neutrophils. J. Lipid Res. 2009, 50, 1395–1408. [Google Scholar] [CrossRef]
- Hwang, T.-L.; Li, G.-L.; Lan, Y.-H.; Chia, Y.-C.; Hsieh, P.-W.; Wu, Y.-H.; Wu, Y.-C. Potent inhibition of superoxide anion production in activated human neutrophils by isopedicin, a bioactive component of the Chinese medicinal herb Fissistigma oldhamii. Free Radic. Biol. Med. 2009, 46, 520–528. [Google Scholar] [CrossRef]
- Hwang, T.-L.; Leu, Y.-L.; Kao, S.-H.; Tang, M.-C.; Chang, H.-L. Viscolin, a new chalcone from Viscum coloratum, inhibits human neutrophil superoxide anion and elastase release via a cAMP-dependent pathway. Free Radic. Biol. Med. 2006, 41, 1433–1441. [Google Scholar] [CrossRef]
- Hwang, T.-L.; Yeh, S.-H.; Leu, Y.-L.; Chern, C.-Y.; Hsu, H.-C. Inhibition of superoxide anion and elastase release in human neutrophils by 3′-isopropoxychalcone via a cAMP-dependent pathway. Br. J. Pharmacol. 2006, 148, 78–87. [Google Scholar]
- Hwang, T.-L.; Hung, H.-W.; Kao, S.-H.; Teng, C.-M.; Wu, C.-C.; Cheng, S.J.-S. Soluble guanylyl cyclase activator YC-1 inhibits human neutrophil functions through a cGMP-independent but cAMP-dependent pathway. Mol. Pharmacol. 2003, 64, 1419–1427. [Google Scholar] [CrossRef]
- Manns, D.; Hartmann, R. Echinodol: A new cembrane derivative from Echinodorus grandiflorus. Planta Med. 1993, 59, 465–466. [Google Scholar] [CrossRef]
- Tanaka, C.M.A.; Sarragiotto, M.H.; Zukerman-Schpector, J.; Marsaioli, A. A cembrane from Echinodorus grandiflorus. Phytochemistry 1997, 44, 1547–1549. [Google Scholar]
- Shigemori, H.; Shimamoto, S.; Sekiguchi, M.; Ohsaki, A.; Kobayashi, J. Echinodolides A and B, new cembrane diterpenoids with an eight-membered lactone ring from the leaves of Echinodorus macrophyllus. J. Nat. Prod. 2002, 65, 82–84. [Google Scholar] [CrossRef]
- Shy, H.-S.; Wu, C.-L.; Paul, C.; König, W.A.; Ean, U.-J. Chemical constituents of two liverworts Metacalypogeia alternifolia and Chandonanthus hirtellus. J. Chin. Chem. Soc. 2002, 49, 593–598. [Google Scholar]
- Garcez, F.R.; Garcez, W.S.; da Silva, A.F.G.; de Cássia Bazzo, R.; Resende, U.M. Terpenoid constituents from leaves of Guarea kunthiana. J. Braz. Chem. Soc. 2004, 15, 767–772. [Google Scholar] [CrossRef]
- Chen, Y.-L.; Lan, Y.-H.; Hsieh, P.-W.; Wu, C.-C.; Chen, S.-L.; Yen, C.-T.; Chang, F.-R.; Hung, W.-C.; Wu, Y.-C. Bioactive cembrane diterpenoids of Anisomeles indica. J. Nat. Prod. 2008, 71, 1207–1212. [Google Scholar] [CrossRef]
- Li, L.-M.; Li, G.-Y.; Pu, J.-X.; Xiao, W.-L.; Ding, L.-S.; Sun, H.-D. ent-Kaurane and cembrane diterpenoids from Isodon sculponeatus and their cytotoxicity. J. Nat. Prod. 2009, 72, 1851–1856. [Google Scholar] [CrossRef]
- Wang, Y.; Harrison, L.J.; Tan, B.C. Terpenoids from the liverwort Chandonanthus hirtellus. Tetrahedron 2009, 65, 4035–4043. [Google Scholar] [CrossRef]
- Komala, I.; Ito, T.; Nagashima, F.; Yagi, Y.; Kawahata, M.; Yamaguchi, K.; Asakawa, Y. Zierane sesquiterpene lactone, cembrane and fusicoccane diterpenoids, from the Tahitian liverwort Chandonanthus hirtellu. Phytochemistry 2010, 71, 1387–1394. [Google Scholar]
- Asakawa, Y.; Ludwiczuk, A.; Nagashima, F. Chemical Constituents of Bryophytes: Bio- and Chemical Diversity, Biological Activity, and Chemosystematics. In Progress in the Chemistry of Organic Natural Products; Springer: Vienna, Austria; 2013, Volume 95, pp. 1–796.
- Bonnard, I.; Jhaumeer-Laulloo, S.B.; Bontemps, N.; Banaigs, B.; Aknin, M. New lobane and cembrane diterpenes from two Comorian soft corals. Mar. Drugs 2010, 8, 359–372. [Google Scholar] [CrossRef]
- Samples Availability: Not available.
© 2013 by the authors; licensee MDPI, Basel, Switzerland. This article is an open access article distributed under the terms and conditions of the Creative Commons Attribution license (http://creativecommons.org/licenses/by/3.0/).
Share and Cite
Hu, L.-C.; Su, J.-H.; Chiang, M.Y.-N.; Lu, M.-C.; Hwang, T.-L.; Chen, Y.-H.; Hu, W.-P.; Lin, N.-C.; Wang, W.-H.; Fang, L.-S.; et al. Flexibilins A–C, New Cembrane-Type Diterpenoids from the Formosan Soft Coral, Sinularia flexibilis. Mar. Drugs 2013, 11, 1999-2012. https://doi.org/10.3390/md11061999
Hu L-C, Su J-H, Chiang MY-N, Lu M-C, Hwang T-L, Chen Y-H, Hu W-P, Lin N-C, Wang W-H, Fang L-S, et al. Flexibilins A–C, New Cembrane-Type Diterpenoids from the Formosan Soft Coral, Sinularia flexibilis. Marine Drugs. 2013; 11(6):1999-2012. https://doi.org/10.3390/md11061999
Chicago/Turabian StyleHu, Li-Chung, Jui-Hsin Su, Michael Yen-Nan Chiang, Mei-Chin Lu, Tsong-Long Hwang, Yung-Husan Chen, Wan-Ping Hu, Nai-Cheng Lin, Wei-Hsien Wang, Lee-Shing Fang, and et al. 2013. "Flexibilins A–C, New Cembrane-Type Diterpenoids from the Formosan Soft Coral, Sinularia flexibilis" Marine Drugs 11, no. 6: 1999-2012. https://doi.org/10.3390/md11061999
APA StyleHu, L.-C., Su, J.-H., Chiang, M. Y.-N., Lu, M.-C., Hwang, T.-L., Chen, Y.-H., Hu, W.-P., Lin, N.-C., Wang, W.-H., Fang, L.-S., Kuo, Y.-H., & Sung, P.-J. (2013). Flexibilins A–C, New Cembrane-Type Diterpenoids from the Formosan Soft Coral, Sinularia flexibilis. Marine Drugs, 11(6), 1999-2012. https://doi.org/10.3390/md11061999

