New Diterpenoids from Soft Coral Sarcophyton ehrenbergi
Abstract
:1. Introduction


2. Results and Discussion
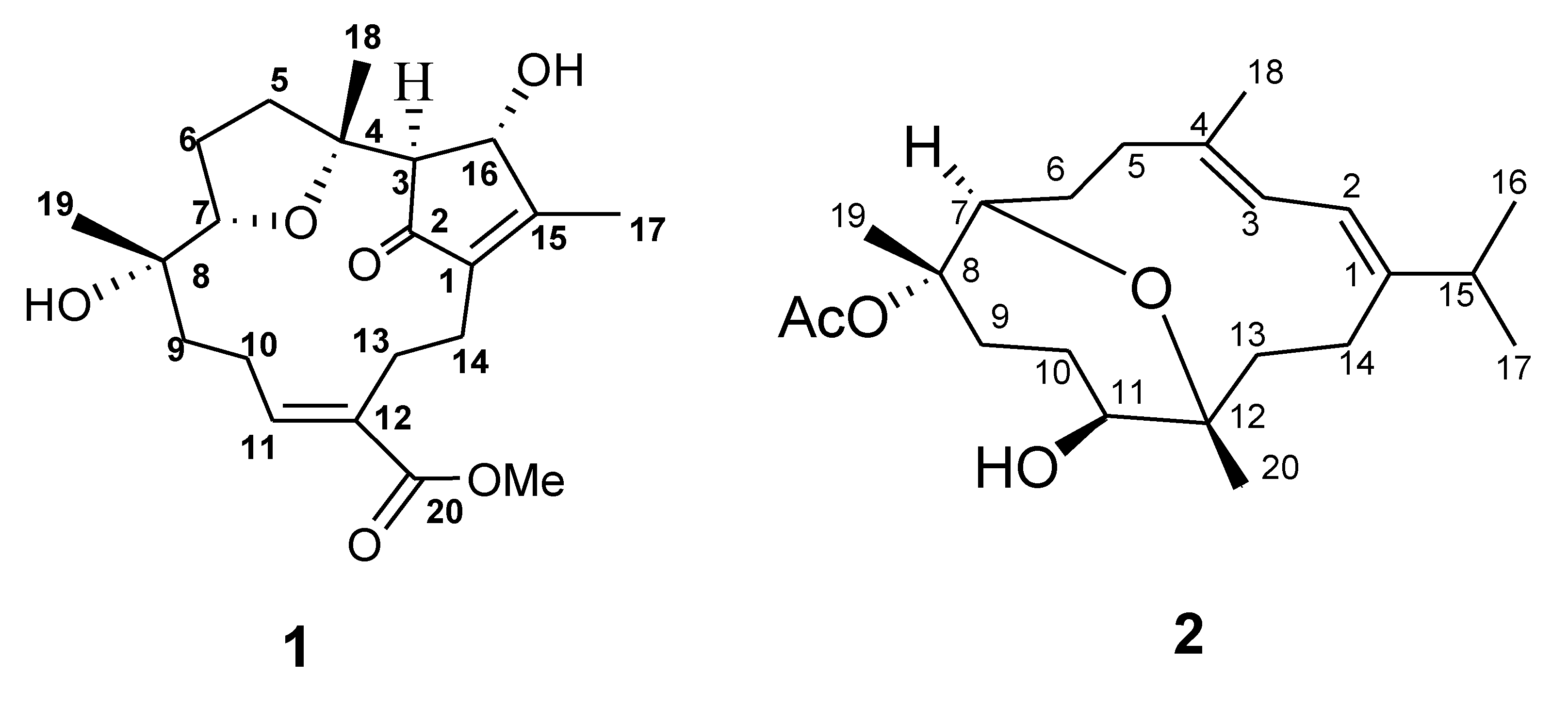
| Position | δH a (J in Hz) | δC b, type | HMBC | COSY | NOESY |
|---|---|---|---|---|---|
| 1 | 141.4, qC | ||||
| 2 | 205.9, qC | ||||
| 3 | 2.13, d (2.0) | 60.8, CH | 2, 4, 16 | 16, 18 | 5a |
| 4 | 83.2, qC | ||||
| 5a | 3.11, ddd (12.0, 8.8, 3.2) | 34.3, CH2 | 6b, 18 | 3 | |
| 5b | 1.67 m | 6 | 18 | ||
| 6a | 1.56, m | 28.5, CH2 | 7 | ||
| 6b | 1.84, m | 7 | 5a, 7 | 7 | |
| 7 | 3.82, dd (10.4, 6.0) | 85.6, CH | 8, 9 | 6a, 6b | 6b, 19 |
| 8 | 73.9, qC | ||||
| 9a | 1.59, m | 36.6, CH2 | 8, 10, 11 | ||
| 9b | 1.45, m | 8, 10, 11 | 10 | ||
| 10a | 1.98, m | 9b, 11 | 13b | ||
| 10b | 1.99, m | 23.8, CH2 | 9, 12 | 9b, 11 | 11, 19 |
| 11 | 6.76, t (7.2) | 144.7, CH | 9, 10, 20 | 10 | 10b |
| 12 | 130.7, qC | ||||
| 13a | 2.46, m | 24.3, CH2 | 11, 12, 14, 20 | 14 | |
| 13b | 2.63, m | 1, 11, 12, 14, 20 | 14 | 14a | |
| 14a | 2.46, m | 21.8, CH2 | 1, 2, 13, 15 | 13 | 13b |
| 14b | 2.47, m | 13 | 17 | ||
| 15 | 168.9, qC | ||||
| 16 | 4.92, d (6.0) | 75.4, CH | 1, 4, 15 | 3, 17 | 17, 18 |
| 17 | 1.94, s | 13.4, CH3 | 1, 15, 16 | 16 | 14b, 16 |
| 18 | 1.42, s | 28.4, CH3 | 3, 4, 5 | 5a | 7, 5b, 16 |
| 19 | 1.09, s | 24.2, CH3 | 7, 8, 9 | 6a, 7, 10b | |
| 20 | 168.2, qC | ||||
| OMe | 3.75, s | 51.6, CH3 | 20 |



| Position | δH a (J in Hz) | δC b, type | HMBC | COSY | NOESY |
|---|---|---|---|---|---|
| 1 | 151.0, qC | ||||
| 2 | 6.05, d (8.4) | 117.9, CH | 14, 15 | 3, 15, 16, 18 | |
| 3 | 6.37, d (8.4) | 123.5, CH | 5, 18 | 18 | 2, 7, 13a, 14a |
| 4 | 132.6, qC | ||||
| 5a | 2.10, m | 37.9, CH2 | 2 | 6a | 6b |
| 5b | 2.27, m | ||||
| 6a | 2.04, m | 30.8, CH2 | 5a, 7 | ||
| 6b | 1.84, m | 7 | 5a, 19 | ||
| 7 | 4.05, t (3.2) | 75.3, CH | 6a, 6b | 3, 9a, 13a | |
| 8 | 87.0, qC | ||||
| 9a | 2.13, m | 36.6, CH2 | 7, 11 | ||
| 9b | 2.09, m | 10a | |||
| 10a | 1.74 m | 29.2, CH2 | 9b | ||
| 10b | 1.08, m | 11 | 19, 20 | ||
| 11 | 3.16, dd (10.0, 2.8) | 78.3, CH | 10b | 9a, 10a, 13a | |
| 12 | 80.4, qC | ||||
| 13a | 1.97, m | 37.4, CH2 | 12 | 14a | 3, 7, 11 |
| 13b | 1.82, m | 14b | |||
| 14a | 2.64, m | 24.3, CH2 | 1 | 13a | 3 |
| 14b | 1.81, m | 1 | 13b | ||
| 15 | 2.32, m | 36.9, CH | 1, 16, 17 | 2, 16, 17 | |
| 16 | 1.06, d (6.8) | 21.5, CH3 | 1, 15, 17 | 15 | 2, 15 |
| 17 | 1.04, d (6.8) | 21.8, CH3 | 1, 15, 16 | 15 | 15 |
| 18 | 1.76, s | 17.9, CH3 | 3, 4, 5 | 3 | 2 |
| 19 | 1.48, s | 18.9, CH3 | 7, 8, 9 | 6b, 10b | |
| 20 | 1.11, s | 18.1, CH3 | 11, 12, 13 | 10b, 14b | |
| 21 | 169.8,qC | ||||
| OAc | 1.66, s | 22.1, CH3 | 21 |
| Compounds | EC50 (µg/mL) | ||||
|---|---|---|---|---|---|
| A549 | HT-29 | P-388 | HEL | Anti-HCMV | |
| 1 | >50 | >50 | 25.9 | >50 | 20 |
| 2 | >50 | >50 | 24.7 | >50 | 8.0 |
3. Experimental Section
3.1. General Experimental Procedures
3.2. Biological Material
3.3. Extraction and Isolation
+95.0 (c 0.2, CHCl3); UV (MeOH) λmax (log ε) 223 (3.42) nm; IR (neat) νmax 3444, 2975, 2929, 1696, 1652, 1439, 1385, 1284, 1192, 1087, 1038, 754 cm−1; 1H NMR (CDCl3, 400 MHz) and 13C NMR (CDCl3, 100 MHz) data in Table 1; HRESIMS m/z 401.1939 [M + Na]+ (calcd for C21H30O6Na, 401.1940).
+25.0 (c 0.2, CHCl3); UV (MeOH) λmax (log ε) 242 (3.2) nm; IR (neat) νmax 3445, 2957, 2871, 1733, 1456, 1377, 1258, 1088, 1034, 772 cm−1; 1H NMR (C6D6, 400 MHz) and 13C NMR (C6D6, 100 MHz) data in Table 1; HRESIMS m/z 387.2512 [M + Na]+ (calcd for C22H36O4Na, 387.2511).3.4. Cytotoxicity Assay
3.5. Anti-HCMV Assay
4. Conclusions
Acknowledgments
References
- Blunt, J.W.; Copp, B.R.; Hu, W.-P.; Munro, M.H.G.; Northcote, P.T.; Prinsep, M.R. Marine natural products. Nat. Prod. Rep. 2009, 26, 170–244. [Google Scholar] [CrossRef]
- Coll, J.C. The chemistry and chemical ecology of octocorals (Coelenterata, Anthozoa, Octocorallia). Chem. Rev. 1992, 92, 613–631. [Google Scholar] [CrossRef]
- Gross, H.; Wright, A.D.; Beil, W.; König, G.M. Two new bicyclic cembranolides from a new Sarcophyton species and determination of the absolute configuration of sarcoglaucol-16-one. Org. Biomol. Chem. 2004, 2, 1133–1138. [Google Scholar] [CrossRef]
- Huang, H.-C.; Ahmed, A.F.; Su, J.-H.; Chao, C.-H.; Wu, Y.-C.; Chiang, M.Y.; Sheu, J.-H. Crassocolides A–F, new cembranoids with a trans-fused lactone from the soft coral Sarcophyton crassocaule. J. Nat. Prod. 2006, 69, 1554–1559. [Google Scholar] [CrossRef]
- Zhang, C.; Li, J.; Su, J.; Liang, Y.; Yang, X.; Zheng, K.; Zeng, L. Cytotoxic diterpenoids from the soft coral Sarcophyton crassocaule. J. Nat. Prod. 2006, 69, 1476–1480. [Google Scholar] [CrossRef]
- Feller, M.; Rudi, A.; Berer, N.; Goldberg, I.; Stein, Z.; Benayahu, Y.; Schleyer, M.; Kashman, Y. Isoprenoids of the soft coral Sarcophyton glaucum: Nyalolide, a new biscembranoid, and other terpenoids. J. Nat. Prod. 2004, 67, 1303–1308. [Google Scholar] [CrossRef]
- El Sayed, K.A.; Hamann, M.T.; Waddling, C.A.; Jensen, C.; Lee, S.K.; Dunstan, C.A.; Pezzuto, J.M. Structurally novel bioconversion products of the marine natural product sarcophine effectively inhibit JB6 cell transformation. J. Org. Chem. 1998, 63, 7449–7455. [Google Scholar] [CrossRef]
- Yan, X.-H.; Gavagnin, M.; Cimino, G.; Guo, Y.-W. Two new biscembranes with unprecedented carbon skeleton and their probable biogenetic precursor from the Hainan soft coral Sarcophyton latum. Tetrahedron Lett. 2007, 48, 5313–5316. [Google Scholar] [CrossRef]
- Cheng, Y.-B.; Shen, Y.-C.; Kuo, Y.-H.; Khalil, A.T. Cembrane diterpenoids from the Taiwanese soft coral Sarcophyton stolidotum. J. Nat. Prod. 2008, 71, 1141–1145. [Google Scholar] [CrossRef]
- Iwagawa, T.; Nakamura, S.; Masuda, T.; Okamura, H.; Nakatani, M.; Siro, M. Irregular cembranoids containing a 13-membered carbocyclic skeleton isolated from a soft coral, Sarcophyton species. Tetrahedron 1995, 51, 5291–5298. [Google Scholar] [CrossRef]
- Sawant, S.; Youssef, D.; Mayer, A.; Sylvester, P.; Wali, V.; Arant, M.; El Sayed, K. Anticancer and anti-inflammatory sulfur-containing semisynthetic derivatives of sarcophine. Chem. Pharm. Bull. 2006, 54, 1119–1123. [Google Scholar] [CrossRef]
- Badria, F.A.; Guirguis, A.N.; Perovic, S.; Steffen, R.; Müller, W.E.G.; Schröder, H.C. Sarcophytolide: A new neuroprotective compound from the soft coral Sarcophyton glaucum. Toxicology 1998, 131, 133–143. [Google Scholar] [CrossRef]
- Bishara, A.; Rudi, A.; Benayahu, Y.; Kashman, Y. Three biscembranoids and their monomeric counterpart cembranoid, a biogenetic Diels-Alderprecursor, from the soft coral Sarcophyton elegans. J. Nat. Prod. 2007, 70, 1951–1954. [Google Scholar] [CrossRef]
- Sawant, S.; Youssef, D.; Reiland, J.; Ferniz, M.; Marchtti, D.; El Sayed, K.A. Biocatalytic and antimetastatic studies of the marine cembranoids sarcophine and 2-epi-16-deoxysarcophine. J. Nat. Prod. 2006, 69, 1010–1013. [Google Scholar] [CrossRef]
- Cuong, N.X.; Tuan, T.A.; Kiem, P.V.; Minh, C.V.; Choi, E.M.; Kim, Y.H. New cembranoid diterpenes from the Vietnamese soft coral Sarcophyton mililatensis stimulate osteoblastic differentiation in MC3T3-E1 cells. Chem. Pharm. Bull. 2008, 56, 988–992. [Google Scholar] [CrossRef]
- Wang, S.-K.; Duh, C.-Y. New cytotoxic cembranolides from the soft coral Lobophytum michaelae. Mar. Drugs 2012, 10, 306–318. [Google Scholar] [CrossRef]
- Lin, S.-T.; Wang, S.-K.; Duh, C.-Y. Cembranoids from the Dongsha atoll soft coral Lobophytum crassum. Mar. Drugs 2011, 9, 2705–2716. [Google Scholar] [CrossRef]
- Cheng, S.-Y.; Chen, P.-W.; Chen, H.P.; Wang, S.-K.; Duh, C.-Y. New cembranolides from the Dongsha atoll soft coral Lobophytum durum. Mar. Drugs 2011, 9, 1307–1318. [Google Scholar] [CrossRef]
- Cheng, S.-Y.; Wang, S.-K.; Chiou, S.-F.; Hsu, C.-H.; Dai, C.-F.; Chiang, M.Y.; Duh, C.-Y. Cembranoids from the octocoral Sarcophyton ehrenbergi. J. Nat. Prod. 2010, 73, 197–203. [Google Scholar] [CrossRef]
- Wang, S.-K.; Hsieh, M.-K.; Duh, C.-Y. Three new Cembranoids from the Taiwanese soft coral Sarcophyton ehrenbergi. Mar. Drugs 2012, 10, 1433–1444. [Google Scholar] [CrossRef]
- Cheng, S.-Y.; Chiou, S.-F.; Tsai, C.-W.; Wang, S.-K.; Hsu, C.-H.; Dai, C.-F.; Chiang, M.Y.; Wang, W.-H.; Duh, C.-Y. Ceramide and cerebrosides from the octocoral Sarcophyton ehrenbergi. J. Nat. Prod. 2009, 72, 465–468. [Google Scholar] [CrossRef]
- Lin, S.-T.; Wang, S.-K.; Cheng, S.-Y.; Duh, C.-Y. Lobocrasol, a new diterpenoid from the soft coral Lobophytum crassum. Org. Lett. 2009, 11, 3012–3014. [Google Scholar] [CrossRef]
- Shin, J; Fenical, W.; Stout, T.J.; Clardy, J. New cembradiene diterpenoids from an undescribed Caribbean gorgonian of the genus Eunicea. Tetrahedron 1993, 49, 515–524. [Google Scholar] [CrossRef]
- Geran, R.I.; Greenberg, N.H.; MacDonald, M.M.; Schumacher, A.M.; Abbott, B.J. Protocols for screening chemical agents and natural products against animal tumors and other biological syatems. Cancer Chemother. Rep. 1972, 3, 1–91. [Google Scholar]
- Hou, R.-S.; Duh, C.-Y.; Chiang, M.Y.; Lin, C.-N. Sinugibberol, a new cytotoxic cembranoid diterpene from the soft coral Sinularia gibberosa. J. Nat. Prod. 1995, 58, 1126–1130. [Google Scholar] [CrossRef]
- Chen, W.-H.; Wang, S.-K.; Duh, C.-Y. Polyhydroxylated steroids from the bamboo coral Isis hippuris. Mar. Drugs 2011, 9, 1829–1839. [Google Scholar] [CrossRef]
- Stevens, M.; Balzarini, J.; Tabarrini, O.; Andrei, G.; Snoeck, R.; Cecchetti, V.; Fravolini, A.; de Clercq, E.; Pannecouque, C. Cell-dependent interference of a series of new 6-aminoquinolone derivatives with viral (HIV/CMV) transactivation. J. Antimicrob. Chemother. 2005, 56, 847–855. [Google Scholar] [CrossRef]
- Cheng, S.-Y.; Huang, K.-J.; Wang, S.-K.; Duh, C.-Y. Capilloquinol: A novel farnesyl quinol from the Dongsha atoll soft coral Sinularia capillosa. Mar. Drugs 2011, 9, 1469–1476. [Google Scholar] [CrossRef]
Supplementary Files
© 2013 by the authors; licensee MDPI, Basel, Switzerland. This article is an open access article distributed under the terms and conditions of the Creative Commons Attribution license (http://creativecommons.org/licenses/by/3.0/).
Share and Cite
Wang, S.-K.; Hsieh, M.-K.; Duh, C.-Y. New Diterpenoids from Soft Coral Sarcophyton ehrenbergi. Mar. Drugs 2013, 11, 4318-4327. https://doi.org/10.3390/md11114318
Wang S-K, Hsieh M-K, Duh C-Y. New Diterpenoids from Soft Coral Sarcophyton ehrenbergi. Marine Drugs. 2013; 11(11):4318-4327. https://doi.org/10.3390/md11114318
Chicago/Turabian StyleWang, Shang-Kwei, Mu-Keng Hsieh, and Chang-Yih Duh. 2013. "New Diterpenoids from Soft Coral Sarcophyton ehrenbergi" Marine Drugs 11, no. 11: 4318-4327. https://doi.org/10.3390/md11114318
APA StyleWang, S.-K., Hsieh, M.-K., & Duh, C.-Y. (2013). New Diterpenoids from Soft Coral Sarcophyton ehrenbergi. Marine Drugs, 11(11), 4318-4327. https://doi.org/10.3390/md11114318
