Analysis of the Factors Having an Influence on the LC Passive Harmonic Filter Work Efficiency
Abstract
1. Introduction
2. Laboratory Model Description
2.1. Studies of the Electrical Network before the Filter and Load Connection
2.2. PCC Parameters Analysis after the Load Connection
2.2.1. Investigation on the Boundary of the Rectifier Firing Angle
2.2.2. Investigation on the Change of the Amplitude of the Harmonics versus Rectifier Firing Angle
2.2.3. Investigation on the Load Active and Reactive Power versus Rectifier Firing Angle
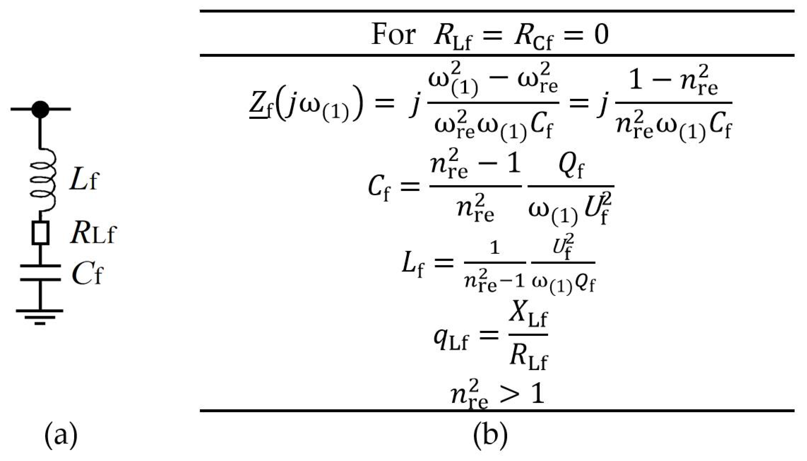
2.3. Design of the Single-Tuned Filter in the Laboratory
2.3.1. Computation of the Single-Tuned Filter Parameters
2.3.2. Measurements of the Single-Tuned Filter Parameters in the Laboratory: Verification of the Manufacturer Tolerance
2.4. Laboratory Results after the Single-Tuned Filter Connection at the PCC
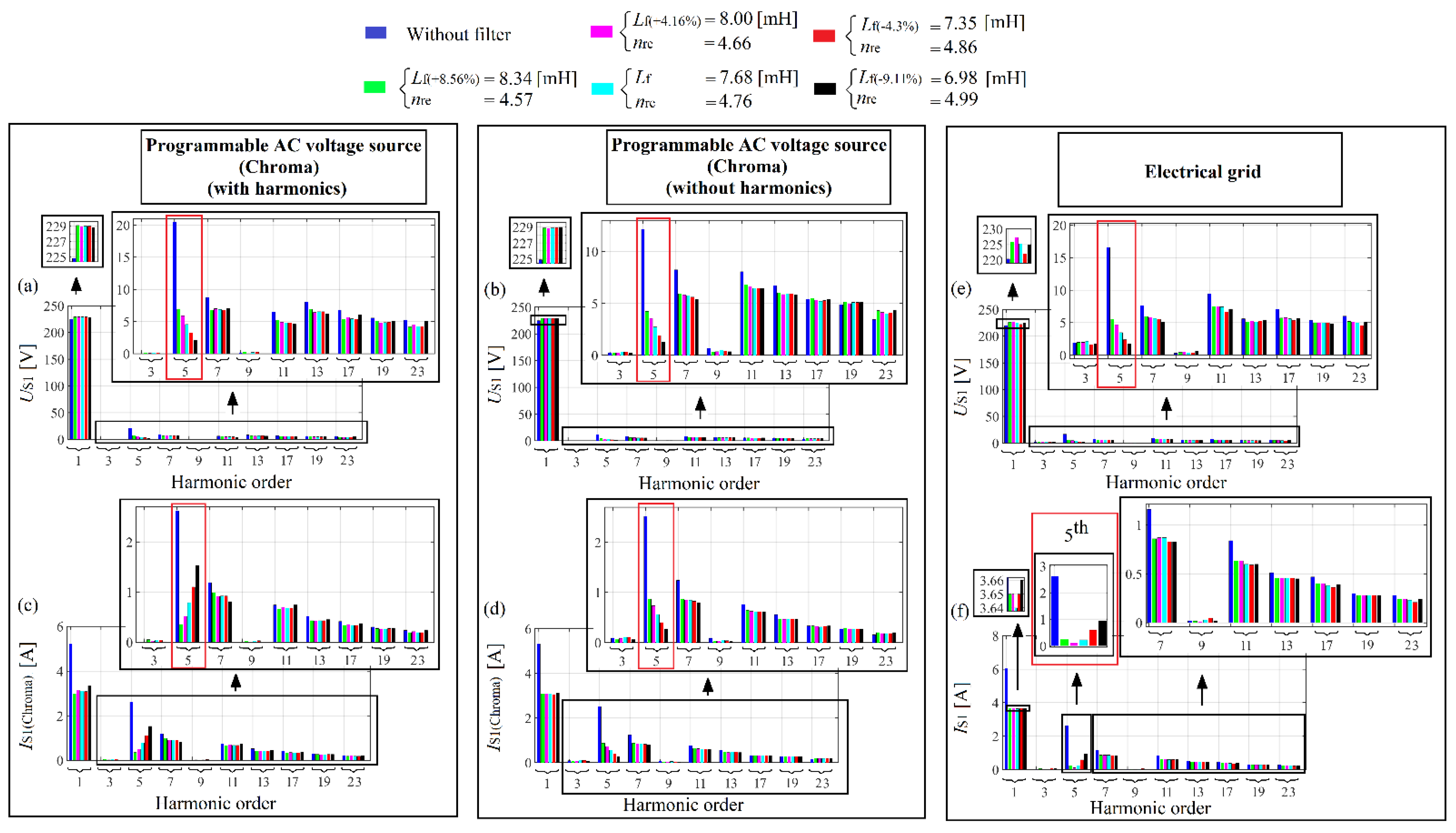
2.4.1. Experiments with Chroma to Clarify the Amplification of the 5th Harmonic at the Grid Side after the Filter Connection
2.4.2. Experiments with the Additional Line Reactor to Improve the Filter Work Efficiency Using the Programmable AC Voltage Source (Chroma)
2.5. Increase in the Electrical Grid Equivalent Inductance (Short Circuit Power Decrease)
Connection of the Single-Tuned Filter at the PCC after the Increase in the Electrical Grid Inductance
2.6. Detuning of the Single-Tuned Filter
Experiments with Chroma to Clarify Why the Reduction 5th Harmonic in the Grid Current Spectrum Is Different from the One in the Grid Voltage Spectrum
3. Conclusions
- -
- With the distorted waveform of the supply voltage, the grid behaves as a source of currents harmonics which may flow from the grid to the filter, especially the current of harmonic to be eliminated, which is at the grid side, because the filter, being tuned to that harmonic, has a small impedance for it.
- -
- The PHF resonance frequency should be chosen below the frequency of harmonic to be eliminated, taking into account the grid equivalent impedance of that harmonic. The filter equivalent impedance of the harmonic to be eliminated should be smaller than the grid equivalent impedance of that harmonic.
- -
- Because of the manufacturer tolerance, the filter elements (reactor and capacitor) should be well investigated in the laboratory after their obtaining from the producer to know their real parameters.
Author Contributions
Funding
Institutional Review Board Statement
Informed Consent Statement
Data Availability Statement
Conflicts of Interest
Appendix A


References
- Azebaze, M.C.S.; Firlit, A. Investigation of the line-reactor influence on the active power filter and hybrid active power filter efficiency: Practical approach. Przegląd Elektrotechniczny 2021, 97, 39–44. [Google Scholar]
- Juan, W.D.; Contardo, J.M.; Moran, L.A. A Fuzzy-controlled active front-end rectifier with current harmonic filtering characteristics and minimum sensing variables. IEEE Trans. Power Electron. 1999, 14, 724–729. [Google Scholar] [CrossRef]
- Kwak, S.; Toliyat, H.A. Design and rating comparison of PWM voltage source rectifiers and active power filters for AC drives with unity power factor. IEEE Trans. Power Electron. 2005, 20, 1133–1142. [Google Scholar] [CrossRef]
- Firlit, A.; Kołek, K.; Piątek, K. Heterogeneous active power filter controller. In Proceedings of the IEEE International Symposium ELMAR, Zadar, Croatia, 18–20 September 2017. [Google Scholar]
- Ehsan, P.; Masood, A.A. Efficient procedures to design and characterize passive harmonic filters in low power applications. In Proceedings of the IEEE International Symposium on Industrial Electronics (ISIE), Bari, Italy, 4–7 July 2010. [Google Scholar]
- Park, B.; Lee, J.; Yoo, H.; Jang, G. Harmonic mitigation using passive harmonic filters: Case study in a steel mill power system. Energies 2021, 14, 2278. [Google Scholar] [CrossRef]
- Reynaldo, R.; Gregory, A.F. Optimal harmonic filter topology applied in HV and EHV networks using particle swarm optimization. In Proceedings of the IEEE Electrical Power and Energy Conference (EPEC), Ottawa, ON, Canada, 12–14 October 2016. [Google Scholar]
- Arrillaga, J.; Bradley, D.A.; Bodger, P.S. Power System Harmonics; John Wiley & Sons: Chichester, UK, 1985. [Google Scholar]
- Yousif, S.N.A.L.; Wanik, M.Z.C. Implementation of different passive filter designs for harmonic mitigation. In Proceedings of the IEEE Conference on National Power and Energy, PECon, Kuala Lumpur, Malaysia, 29–30 November 2004. [Google Scholar]
- Wu, C.-J.; Chiang, J.-C.; Liao, C.-J.; Yen, S.-S.; Yang, J.-S.; Guo, T.-Y. Investigation and mitigation of harmonic amplification problems caused by single-tuned filter. IEEE Trans. Power Deliv. 1998, 13, 800–806. [Google Scholar]
- Faraby, M.D.; Fitriati, A.; Muchtar, A.; Putri, A.N. Single tuned filter planning to mitigate harmonic polluted in radial distribution network using particle swarm optimization. In Proceedings of the IEEE 3rd International Seminar on Research of Information Technology and Intelligent Systems (ISRITI), Yogyakarta, Indonesia, 10–11 December 2020. [Google Scholar]
- Setiabudy, R.; Wibowo, G.P.; Herlina. Selection of single-tuned filter and high pass damped filter with changes of inverter type to reduce harmonics on microgrid AC-DC. In Proceedings of the IEEE International Conference on Electrical Engineering and Computer Science (ICECOS), Pangkal, Indonesia, 2–4 October 2018. [Google Scholar]
- Abdul, K.N.H.B.; Zobaa, A.F. Optimal single tuned damped filter for mitigating harmonics using MIDACO. In Proceedings of the IEEE International Conference on Environment and Electrical Engineering and IEEE Industrial and Commercial Power Systems Europe (EEEIC/I&CPS Europe), Milan, Italy, 6–9 June 2017. [Google Scholar]
- Abbas, A.S.; Ali, E.S.; El-Sehiemy, R.A.; Abou El-Ela, A.A.; Fetyan, K.M. Comprehensive parametric analysis of single tuned filter in distribution systems. In Proceedings of the IEEE 21st International Middle East Power Systems Conference (MEPCON), Cairo, Egypt, 17–19 December 2019. [Google Scholar]
- Muhammad, R.; Muhammad, I.; Danang, S. Single tuned harmonic filter as total harmonic distortion (THD) compensator. In Proceedings of the CIRED, 23rd International Conference on Electricity Distribution, Lyon, France, 15–18 June 2015; p. 0056. [Google Scholar]
- Sakar, S.; Karaoglan, A.D.; Balci, M.E.; Abdel Aleem, S.H.E.; Zobaa, A.F. Optimal design of single-tuned passive filter using response surface methodology. In Proceedings of the IEEE International Conference, ISNCC, Łagow, Poland, 15–18 June 2015. [Google Scholar]
- Klempka, R. Optimal Double-Tuned Filter Efficiency analysis. IEEE Trans. Power Deliv. 2020, 36, 1079–1088. [Google Scholar] [CrossRef]
- Azebaze, M.C.S.; Hanzelka, Z. LC Passive Harmonic Filters-Comparative Analysis between the Double-Tuned Filter and Two Single-Tuned Filter. In Polish-Filtry Pasywne LC-Analiza Porównawcza Filtru Podwójnie Nastrojonego I Dwóch Filtrów Jednogałęziowych; Grupa MEDIUM Sp. z o.o. Sp.k.-a: Cracow, Poland, 2021; pp. 50–54. [Google Scholar]
- Min-cia, K.; Xinzhou, D. The parameters calculation and simulation research of two-type double-tuned Filter. In Proceedings of the IEEE Transmission and Distribution Conference and Exposition, Asia and Pacific, Seoul, Korea, 26–30 October 2009. [Google Scholar]
- Haposan, Y.P.N.; Chairul, G.I. A new algorithm for designing the parameter of the damped-type double tune filter. In Proceedings of the IEEE 5th International Conference on Electrical Engineering, Computer Science and Informatics (EECSI), Malang, Indonesia, 16–18 October 2018. [Google Scholar]
- Ahmed, M.; Al Nahid-Al-Masood, N.; Huq, S.I.; Khan, F.I.; Juberi, H.; Bashar, S. A comprehensive modeling of double tuned filter for efficient mitigation of harmonic distortion. In Proceedings of the IEEE International Conference on Smart Grids and Energy Systems (SGES), Perth, Australia, 23–26 November 2020. [Google Scholar]
- Zobaa, A.; Ahady, H.E.A.A.; Hosam, K.M.Y. Comparative analysis of double-tuned harmonic passive filter design methodologies using slime mould optimization algorithm. In Proceedings of the IEEE Texas Power and Energy Conference (TPEC), College Station, TX, USA, 2–5 February 2021. [Google Scholar]
- Kang, M.-C.; Zhou, J.-H. Compensates the double tuned filter element parameter change based on the controllable reactor. In Proceedings of the IEEE International Conference on Electricity Distribution, CICED, Guangzhou, China, 10–13 December 2008. [Google Scholar]
- Mingcai, K.; Zhiqian, B.; Xiping, Z. The parameters calculation and simulation research about two types structure of double-tuned Filter. In Proceedings of the IEEE 45th International Conference on Universities Power Engineering, Cardiff, UK, 31 August–3 September 2010. [Google Scholar]
- Klempka, R. Passive power filter design using genetic algorithm. Przegląd Elektrotechniczny 2013, 5, 89. [Google Scholar]
- Yi-Hong, H.E.; Heng, S.U. A new method of designing double-tuned filter. In Proceedings of the International Conference on Computer Science and Electronics Engineering, Hangzhou, China, 22–23 March 2013. [Google Scholar]
- Mingtao, Y.; Jianye, C.; Weian, W.; Zanji, W. A double tuned filter based on controllable reactor, IEEE International Symposium on Power Electronics. In Proceedings of the Electrical Drives, Automation and Motion, SPEEDAM, Taormina, Italy, 23–26 May 2006. [Google Scholar]
- Xiao, Y. Algorithm for the parameters of double tuned filter. In Proceedings of the IEEE 8th International conference on Harmonics and Quality of Power Proceedings, Athens, Greece, 14–16 October 1998. [Google Scholar]
- Bartzsch, C.; Huang, H.; Roessel, R.; Sadek, K. Triple tuned harmonic filters-Design principle and operating experience. In Proceedings of the International Conference on Power System Technology, Kunming, China, 13–17 October 2002. [Google Scholar]
- Chen, B.; Zeng, X.; Xv, Y. Three tuned passive filter to improve power quality. In Proceedings of the IEEE International Conference on Power System Technology, PowerCon, Chongqing, China, 22–26 October 2006. [Google Scholar]
- Bhim, S.; Ambrish, C.; Kamal, A.-H. Power Quality: Problems and Mitigation Techniques; John Wiley & Sons Ltd., The Atrium, Southern Gate: Chichester, UK, 2015. [Google Scholar]
- Azebaze, M.C.S.; Hanzelka, Z. Passive Harmonic Filters. In Power Quality in Future Electrical Power Systems, 1st ed.; Zobaa, A.F., Shady, H.E.A.A., Eds.; IET the Institution of Engineering and Technology: London, UK, 2017; pp. 77–127. [Google Scholar]
- Bhim, S.; Vishal, V.; Vipin, G. Passive hybrid filter for varying rectifier loads. In Proceedings of the IEEE International Conference on Power Electronics and Drives Systems, PEDS, Kuala Lumpur, Malaysia, 28 November–1 December 2005. [Google Scholar]
- Azebaze, M.C.S.; Hanzelka, Z. Application of C-type filter to DC adjustable speed drive. In Proceedings of the IEEE International Conference-Modern Electric Power Systems, Poland, Wroclaw, 6–9 July 2015; pp. 1–7. [Google Scholar]
- Klempka, R. Design of C-type passive filter for arc furnaces. Metalurgia 2017, 56, 161–163. [Google Scholar]
- Xiao, Y. The method for designing the third order filter. In Proceedings of the IEEE International Conference on Harmonics and Quality of Power Proceedings, Wuhan, China, 14–16 October 1998. [Google Scholar]
- Tianyu, D. Design Method for Third-Order High-Pass Filter. IEEE Trans. Power Deliv. 2016, 31, 402–403. [Google Scholar]
- Hanzelka, Z. The Process of Connecting the Capacitor Banks; In Polish-Proces Łączenia Baterii Kondensatorów. pp. 1–27. Available online: http://www.twelvee.com.pl/42767005.php?c=%D0%B5 (accessed on 20 February 2021).
- Klempka, R. A New Method for the C-Type Passive Filter Design. J. Przegląd Elektrotechniczny 2012, 88, 277–281. [Google Scholar]
- James, K.P. A transfer function approach to harmonic filter design. IEEE Ind. Appl. Mag. 1997, 3, 68–82. [Google Scholar]
- Jinhao, W.; Tingdong, Z. Passive filter design with considering characteristic harmonics and harmonic resonance of electrified railway. In Proceedings of the IEEE 8th International Conference on Mechanical and Intelligent Manufacturing Technologies (ICMIMT), Cape Town, South Africa, 3–6 February 2017. [Google Scholar]
- Klempka, R. An arc furnace as a source of voltage disturbances-A statistical evaluation of propagation in the supply network. Energies 2021, 14, 1076. [Google Scholar] [CrossRef]
- Azebaze, M.C.S.; Hanzelka, Z. Different approaches for designing the passive power filters. Przegląd Elektrotechniczny 2015, 91, 102–108. [Google Scholar]
- Klempka, R. Design and Optimization of a Simple Filter Group for Reactive Power Distribution; Hindawi Publishing Corporation: London, UK, 2016. [Google Scholar]
- Junpeng, J.; Zeng, G.; Liu, H.; Luo, L.; Zhang, J. Research on selection method of passive power filter topologies. In Proceedings of the IEEE International Conference on Power Electronics and Motion Control, Harbin, China, 2–5 June 2012. [Google Scholar]
- Klempka, R. Designing a group of single-branch filters taking into account their mutual influence. Arch. Electr. Eng. 2014, 63, 81–91. [Google Scholar] [CrossRef]
- Jandecy, C.L.; Ignacio, P.A.; Maria Emilia de, L.T.; de Oliveira, R.C.L. Multi-objective optimization of passive filters in industrial power systems. Electr. Eng. Mar. 2017, 99, 387–395. [Google Scholar]
- Klempka, R. Analytical optimization of the filtration effiency of a group of single branch filtres. ELSEVIER. Electr. Power Syst. Res. 2022, 202, 107603. [Google Scholar] [CrossRef]
- Klempka, R. Designing a group of single-branch filters. In Proceedings of the 7th International Conference on Electrical Power Quality and Utilisation, Cracow, Poland, 17–19 September 2003. [Google Scholar]
- Tazky, M.; Regula, M.; Otcenasova, A. Impact of changes in a distribution network nature on the capacitive reactive power flow into the transmission network in Slovakia. Energies 2021, 14, 5321. [Google Scholar] [CrossRef]
- AbdElhafez, A.A.; Alruways, S.H.; Alsaif, Y.A.; Althobaiti, M.F.; Alotaibi, A.B.; Alotaibi, N.A. Reactive power problem and solutions: An overview. J. Power Energy Eng. 2017, 5, 40–54. [Google Scholar] [CrossRef][Green Version]
- Shawon, M.H.; Hanzelka, Z.; Dziadecki, A. Voltage-current and harmonic characteristic analysis of different FC-TCR based SVC. In Proceedings of the IEEE Conference Eindhoven PowerTech, Eindhoven, The Netherlands, 29 June–2 July 2015. [Google Scholar]
- Hanzelka, Z. The Higher Harmonics fo the Voltage and Current; In Polish-Wyższy Harmoniczne Napięć i Prądów. pp. 1–30. Available online: http://www.twelvee.com.pl/42767005.php?c=%D0%B5 (accessed on 20 February 2021).
- Harmonics in Power System-Siemens Industry, Inc. 2013. Available online: https://assets.new.siemens.com/siemens/assets/api/uuid:8ab2a02e-ad94-41cb-a362-438f016aa704/drive-harmonics-in-power-systems-whitepaper.pdf (accessed on 2 March 2021).
- Harmonic Mitigation for AC Variable Frequency Pump Drives, World PUMPS, December 2002. Available online: http://www.mirusinternational.com/downloads/World%20Pumps%20-%20Harmonic%20Mitigation%20for%20AC%20Variable%20Frequency%20Pump%20Drives.pdf (accessed on 2 March 2021).
- Kuldeep, K.S.; Saquib, S.; Nanand, V.P. Harmonics & its mitigation technique by passive shunt filter. Int. J. Soft Comput. Eng. (IJSCE) 2013, 3, 325–331. [Google Scholar]
- Singh, G.K. Power System Harmonic Research: A Survey. Wiley InterScience Eur. Trans. Electr. Power 2009, 19, 151–172. [Google Scholar] [CrossRef]
- Wagner, V.E. Effects of harmonics on equipment. IEEE Trans. Power Deliv. 1993, 8, 672–680. [Google Scholar] [CrossRef]
- Azebaze, M.C.S. Investigation on the work efficiency of the LC passive harmonic filter chosen topologies. Electronics 2021, 10, 896. [Google Scholar] [CrossRef]
- Mtakati, M.; Freere, P.; Roberts, A. Design and comparison of four branch passive harmonic filters in three phase four Wire systems. In Proceedings of the IEEE AFRICON Conferences, Accra, Ghana, 25–27 September 2019. [Google Scholar]
- Abu-Rubu, H.; Iqbal, A.; Guzinski, J. High Performance Control of AC Drives with MATLAB/SIMULINK Models; John Wiley & Sons: Chichester, UK, 2012. [Google Scholar]
- Available online: https://www.a-eberle.de/en/product-groups/pq-mobile/devices/pq-box-200 (accessed on 2 March 2021).
- Hanzelka, Z. Quality of the Electricity Supply-Disturbances of the Voltage RMS Value. In Polish–Jakość Dostawy Energii Elektrycznej-Zaburzenia Wartości Skutecznej Napięcia; AGH: Cracow, Poland, 2013. [Google Scholar]
- Muhammad, H.R. Power Electronics Handbook; Elsevier: San Diego, CA, USA, 2011; Available online: http://site.iugaza.edu.ps/malramlawi/files/RASHID_Power_Electronics_Handbook.pdf (accessed on 2 March 2021).
- Visintini, R. Rectifiers, Elettra Synchrotron Light Laboratory, Trieste, Italy. Available online: https://cds.cern.ch/record/987551/files/p133.pdf (accessed on 2 March 2021).
- Available online: http://www.chromaate.com (accessed on 2 March 2021).
- Das, J.C. Passive filters-potentialities and limitations. IEEE Trans. Ind. Appl. 2004, 40, 232–241. [Google Scholar] [CrossRef]
- Young-Sik, C.; Hanju, C. Single-tuned passive harmonic filter design considering variances of tuning and quality factor. J. Int. Counc. Electr. Eng. 2011, 1, 7–13. [Google Scholar]



































































| nre | Qf [Var] | Uf [V] | Lf [mH] | Cfy [µF] | CfΔ [µF] | Zf(1) [Ω] | Zf(5) [Ω] |
|---|---|---|---|---|---|---|---|
| 4.9 | 1000 | 230 | 7.3 | 57.6 | 19.2 | 53 | 0.45 |
| Core Reactors | Three-Phase Gas Insulated Power Capacitor | ||
|---|---|---|---|
| Inductance | 8.03; 7.7; 7.3; 7.0; 6.6 [mH] | Voltage | 400 [V] |
| Current | 15 [A] | Power | 2.9 [kVar] |
| Frequency | 50 [Hz] | Rated current | 4.18 [A] |
| Nominal Voltage | 400 [V] | Capacitance (Cf∆) | 19.2 [µF] |
| Inductance Tolerance | ± 10% | Capacitance tolerance | −5…+10% |
| Mass | ≈12 [kg] | Ambient temperature | −25…+50 °C |
| Power | 0.57 kVar | Discharge | 50V/1 min |
| Winding material | Copper | Frequency | 50 [Hz] |
| Reactor | ||||||
|---|---|---|---|---|---|---|
| Parameters from Manufacturer | Measured Parameters in the Laboratory | |||||
| L [mH] | U [V] | I [A] | P [W] | RLf [Ω] | Lf [mH] | ZLf(1) [Ω] |
| 8.03 | 13.19 | 5 | 7.5 | 0.3 | 8.34 | 2.638 |
| 7.7 | 12.67 | 5 | 7.5 | 0.3 | 8.00 | 2.534 |
| 7.3 | 12.17 | 5 | 7.5 | 0.3 | 7.68 | 2.434 |
| 7 | 11.65 | 5 | 7.5 | 0.3 | 7.35 | 2.33 |
| 6.6 | 11.08 | 5 | 7.5 | 0.3 | 6.98 | 2.216 |
| Capacitor bank | ||||||
| C1 [µF] | U [V] | I [A] | P [W] | RC1 [Ω] | Cf∆ [µF] | |
| 19.2 | 241 | 2.2 | 0 | 0 | 19.4 | |
| Frequencies from Manufacturer | Computed Frequencies (from Table 3) | Measured Frequencies in the Laboratory (From Figure 16) | |||
|---|---|---|---|---|---|
| nre | fre [Hz] | nre | fre [Hz] | nre | fre [Hz] |
| 4.68 | 234 | 4.57 | 228.5 | 4.57 | 228.5 |
| 4.78 | 239 | 4.66 | 233 | 4.67 | 233.5 |
| 4.9 | 245 | 4.76 | 238 | 4.77 | 238.5 |
| 5.012 | 250.6 | 4.86 | 243 | 4.89 | 244.5 |
| 5.16 | 258 | 4.99 | 249.5 | 5.04 | 252 |
| nre | Qf [Var] | Uf [V] | RLf [Ω] | Lf [mH] | qLf | Cfy [µF] | CfΔ [µF] | Zf(1) [Ω] | Zf(5) [Ω] |
|---|---|---|---|---|---|---|---|---|---|
| Theoretical Computed Parameters | |||||||||
| 4.9 | 1000 | 230 | 0 | 7.3 | ∞ | 57.6 | 19.2 | 53 | 0.45 |
| Manufacturer parameters | |||||||||
| 4.9 | 966.66 | 230 | - | 7.3 | - | 57.6 | 19.2 | 53 | 0.45 |
| Measured parameters in the laboratory | |||||||||
| 4.77 | 966.66 | 230 | 0.3 | 7.68 | 8.04 | 58.2 | 19.4 | 52.28 | 1.16 |
| UDC [V] | θ [deg.] | THDUS1 [%] | THDIS1 [%] | THDIT1 [%] | DPF | PS1(1) [W] | Pf1(1) [W] | QS1(1) [Var] | Qf1(1) [Var] | QT1(1) [Var] |
|---|---|---|---|---|---|---|---|---|---|---|
| 50 | 95.23 | 2.06 | 100.32 | 57.37 | 0.07 | 52.52 | 12.56 | −757.17 | −993.82 | 243.05 |
| 150 | 76.31 | 2.12 | 156.09 | 64.40 | 0.84 | 381.72 | 13.82 | −242.01 | −987.57 | 749.65 |
| 250 | 26.54 | 2.20 | 65.46 | 60.62 | 0.99 | 824.40 | 17.38 | 61.79 | −983.80 | 1048.1 |
| 350 | 33.57 | 2.24 | 51.33 | 43.63 | 0.98 | 1396.3 | 19.39 | 233.94 | −989.89 | 1225.4 |
| 450 | 33.57 | 2.06 | 55.62 | 35.14 | 0.99 | 2105.7 | 22.15 | 49.58 | −989.38 | 1040.3 |
| 525 | 13.54 | 1.81 | 36.57 | 29.24 | 0.94 | 2680.2 | 24.60 | −883.24 | −975.21 | 95.52 |
| UDC [V] | θ [deg.] | PS1(1) [W] | QS1(1) [Var] | DPF |
|---|---|---|---|---|
| 50 | 95.23 | 73.13 | 269.02 | 0.26 |
| 150 | 76.31 | 387.71 | 743.75 | 0.46 |
| 250 | 26.54 | 805.26 | 1079 | 0.59 |
| 350 | 33.57 | 1371.8 | 1214.3 | 0.74 |
| 450 | 33.57 | 2091.1 | 995.88 | 0.90 |
| 525 | 13.54 | 2605.4 | 340.86 | 0.99 |
| UDC [V] | θ [deg.] | THDUS1 [%] | THDIS1 [%] | THDIT1 [%] | DPF | PS1(1) [W] | QS1(1) [Var] | Pf1(1) [W] | Qf1(1) [Var] | QT1(1) [Var] |
|---|---|---|---|---|---|---|---|---|---|---|
| 50 | 95.23 | 4.56 | 38.47 | 131.95 | 0.08 | 63.80 | −743.27 | 13.31 | −1022.6 | 283.91 |
| 150 | 76.31 | 6.72 | 77.46 | 85.33 | 0.82 | 394.58 | −267.73 | 16.28 | −1003.9 | 738.73 |
| 250 | 26.54 | 8.19 | 38.79 | 58.51 | 0.99 | 818.29 | 84.54 | 17.53 | −992.40 | 1078.0 |
| 350 | 33.57 | 8.52 | 25.39 | 43.78 | 0.98 | 1370 | 244.61 | 18.62 | −978.77 | 1223.5 |
| 450 | 33.57 | 9.10 | 19.77 | 34.74 | 0.99 | 2082.2 | 56.72 | 21.24 | −972.86 | 1029.9 |
| 525 | 13.54 | 4.95 | 12.18 | 26.61 | 0.96 | 2668.1 | −750.06 | 23.44 | −982.17 | 235.02 |
| nre | PS1(1) [W] | QS1(1) [Var] | Pf1(1) [W] | Qf1(1) [Var] | QT1(1) [Var] |
|---|---|---|---|---|---|
| No filter connected | 806.29 | 1065.6 | - | - | - |
| 4.57 | 821.66 | 83.81 | 16.99 | −981.84 | 1067.4 |
| 4.66 | 826.15 | 83.53 | 16.10 | −991.20 | 1076.4 |
| 4.76 | 815.84 | 83.21 | 16.90 | −971.23 | 1056.1 |
| 4.86 | 807.39 | 94.73 | 16.10 | −943.33 | 1039.5 |
| 4.99 | 819.69 | 78.11 | 17.46 | −965.52 | 1045.1 |
Publisher’s Note: MDPI stays neutral with regard to jurisdictional claims in published maps and institutional affiliations. |
© 2022 by the authors. Licensee MDPI, Basel, Switzerland. This article is an open access article distributed under the terms and conditions of the Creative Commons Attribution (CC BY) license (https://creativecommons.org/licenses/by/4.0/).
Share and Cite
Azebaze Mboving, C.S.; Hanzelka, Z.; Firlit, A. Analysis of the Factors Having an Influence on the LC Passive Harmonic Filter Work Efficiency. Energies 2022, 15, 1894. https://doi.org/10.3390/en15051894
Azebaze Mboving CS, Hanzelka Z, Firlit A. Analysis of the Factors Having an Influence on the LC Passive Harmonic Filter Work Efficiency. Energies. 2022; 15(5):1894. https://doi.org/10.3390/en15051894
Chicago/Turabian StyleAzebaze Mboving, Chamberlin Stéphane, Zbigniew Hanzelka, and Andrzej Firlit. 2022. "Analysis of the Factors Having an Influence on the LC Passive Harmonic Filter Work Efficiency" Energies 15, no. 5: 1894. https://doi.org/10.3390/en15051894
APA StyleAzebaze Mboving, C. S., Hanzelka, Z., & Firlit, A. (2022). Analysis of the Factors Having an Influence on the LC Passive Harmonic Filter Work Efficiency. Energies, 15(5), 1894. https://doi.org/10.3390/en15051894

