Multi-Strain Probiotic and Bee Pollen Supplementation Attenuates CCl4-Induced Altered Intestinal Tight Junctions in Rodents
Abstract
1. Introduction
2. Materials and Methods
2.1. Animals
2.2. Experimental Design
2.3. Stool Sample Collection
Microbiota Analysis
2.4. Blood Sample Collection: Intestinal Permeability Biomarkers
2.4.1. Measurement of Zonulin Concentration
2.4.2. Measurement of Occludin Concentration
2.5. Intestine Sample Collection for Histopathological Analysis
2.6. Statistical Analysis
3. Results
3.1. Microbial Changes and Dysbiosis Induced by CCl4
3.2. Protective Mechanisms of Probiotics and Prebiotics on Intestinal Barrier Markers (Zonulin and Occludin)
3.3. Histopathological Evidence of Protection
4. Discussion
5. Conclusions
Supplementary Materials
Author Contributions
Funding
Institutional Review Board Statement
Informed Consent Statement
Data Availability Statement
Acknowledgments
Conflicts of Interest
References
- Di Sabatino, A.; Santacroce, G.; Rossi, C.M.; Broglio, G.; Lenti, M.V. Role of mucosal immunity and epithelial-vascular barrier in modulating gut homeostasis. Intern. Emerg. Med. 2023, 18, 1635–1646. [Google Scholar] [CrossRef]
- Zhou, X.; Wu, Y.; Zhu, Z.; Lu, C.; Zhang, C.; Zeng, L.; Xie, F.; Zhang, L.; Zhou, F. Mucosal immune response in biology, disease prevention and treatment. Signal Transduct. Target. Ther. 2025, 10, 7. [Google Scholar] [CrossRef]
- Vancamelbeke, M.; Vermeire, S. The intestinal barrier: A fundamental role in health and disease. Expert Rev. Gastroenterol. Hepatol. 2017, 11, 821–834. [Google Scholar] [CrossRef] [PubMed]
- Takiishi, T.; Fenero, C.I.M.; Câmara, N.O.S. Intestinal barrier and gut microbiota: Shaping our immune responses throughout life. Tissue Barriers 2017, 5, e1373208. [Google Scholar] [CrossRef]
- Suárez, L.J.; Arboleda, S.; Angelov, N.; Arce, R.M. Oral Versus Gastrointestinal Mucosal Immune Niches in Homeostasis and Allostasis. Front. Immunol. 2021, 12, 705206. [Google Scholar] [CrossRef] [PubMed]
- Lee, S.H. Intestinal permeability regulation by tight junction: Implication on inflammatory bowel diseases. Intest. Res. 2015, 13, 11–18. [Google Scholar] [CrossRef] [PubMed] [PubMed Central]
- Fu, R.; Jiang, X.; Li, G.; Zhu, Y.; Zhang, H. Junctional complexes in epithelial cells: Sentinels for extracellular insults and intracellular homeostasis. FEBS J. 2022, 289, 7314–7333. [Google Scholar] [CrossRef]
- Oami, T.; Shimazui, T.; Yumoto, T.; Otani, S.; Hayashi, Y.; Coopersmith, C.M. Gut integrity in intensive care: Alterations in host permeability and the microbiome as potential therapeutic targets. J. Intensive Care 2025, 13, 16. [Google Scholar] [CrossRef]
- Di Vincenzo, F.; Del Gaudio, A.; Petito, V.; Lopetuso, L.R.; Scaldaferri, F. Gut microbiota, intestinal permeability, and systemic inflammation: A narrative review. Intern. Emerg. Med. 2024, 19, 275–293. [Google Scholar] [CrossRef]
- Aleman, R.S.; Moncada, M.; Aryana, K.J. Leaky Gut and the Ingredients That Help Treat It: A Review. Molecules 2023, 28, 619. [Google Scholar] [CrossRef]
- Min, S.; Than, N.; Shin, Y.C.; Hu, G.; Shin, W.; Ambrosini, Y.M.; Kim, H.J. Live probiotic bacteria administered in a pathomimetic Leaky Gut Chip ameliorate impaired epithelial barrier and mucosal inflammation. Sci. Rep. 2022, 12, 22641. [Google Scholar] [CrossRef] [PubMed]
- Kong, C.; Yang, M.; Yue, N.; Zhang, Y.; Tian, C.; Wei, D.; Shi, R.; Yao, J.; Wang, L.; Li, D. Restore Intestinal Barrier Integrity: An Approach for Inflammatory Bowel Disease Therapy. J. Inflamm. Res. 2024, 17, 5389–5413. [Google Scholar] [CrossRef]
- Moonwiriyakit, A.; Pathomthongtaweechai, N.; Steinhagen, P.R.; Chantawichitwong, P.; Satianrapapong, W.; Pongkorpsakol, P. Tight junctions: From molecules to gastrointestinal diseases. Tissue Barriers 2023, 11, 2077620. [Google Scholar] [CrossRef]
- Ghosh, S.; Whitley, C.S.; Haribabu, B.; Jala, V.R. Regulation of Intestinal Barrier Function by Microbial Metabolites. Cell. Mol. Gastroenterol. Hepatol. 2021, 11, 1463–1482. [Google Scholar] [CrossRef]
- Dmytriv, T.R.; Storey, K.B.; Lushchak, V.I. Intestinal barrier permeability: The influence of gut microbiota, nutrition, and exercise. Front. Physiol. 2024, 15, 1380713. [Google Scholar] [CrossRef]
- Sivri, D.; Şeref, B.; Şare Bulut, M.; Gezmen Karadağ, M. Evaluation of the Effect of Probiotic Supplementation on Intestinal Barrier Integrity and Epithelial Damage in Colitis Disease: A Systematic Review. Nutr. Rev. 2025, 83, e1782–e1797. [Google Scholar] [CrossRef]
- Bhat, R.S. Fluoride Toxicity and Gut Health: Targeting Gut Microbiome and Barrier Function. Fluoride 2025, 58, e324. [Google Scholar]
- Cuddihey, H.; Cavin, J.B.; Keenan, C.M.; Wallace, L.E.; Vemuri, K.; Makriyannis, A.; MacNaughton, W.K.; Sharkey, K.A. Role of CB1 receptors in the acute regulation of small intestinal permeability: Effects of high-fat diet. Am. J. Physiol. Gastrointest. Liver Physiol. 2022, 323, G219–G238. [Google Scholar] [CrossRef]
- Davani-Davari, D.; Negahdaripour, M.; Karimzadeh, I.; Seifan, M.; Mohkam, M.; Masoumi, S.J.; Berenjian, A.; Ghasemi, Y. Prebiotics: Definition, Types, Sources, Mechanisms, and Clinical Applications. Foods 2019, 8, 92. [Google Scholar] [CrossRef] [PubMed]
- Shin, Y.; Han, S.; Kwon, J.; Ju, S.; Choi, T.G.; Kang, I.; Kim, S.S. Roles of Short-Chain Fatty Acids in Inflammatory Bowel Disease. Nutrients 2023, 15, 4466. [Google Scholar] [CrossRef] [PubMed]
- Robenek, H.; Themann, H.; Ott, K. Carbon tetrachloride induced proliferation of tight junctions in the rat liver as revealed by freeze-fracturing. Eur. J. Cell Biol. 1979, 20, 62–70. [Google Scholar]
- Buckley, A.; Turner, J.R. Cell Biology of Tight Junction Barrier Regulation and Mucosal Disease. Cold Spring Harb. Perspect. Biol. 2018, 10, a029314. [Google Scholar] [CrossRef] [PubMed]
- Li, R.; Yang, W.; Yin, Y.; Ma, X.; Zhang, P.; Tao, K. 4-OI Attenuates Carbon Tetrachloride-Induced Hepatic Injury via Regulating Oxidative Stress and the Inflammatory Response. Front. Pharmacol. 2021, 12, 651444. [Google Scholar] [CrossRef]
- Weber, L.W.; Boll, M.; Stampfl, A. Hepatotoxicity and mechanism of action of haloalkanes: Carbon tetrachloride as a toxicological model. Crit. Rev. Toxicol. 2003, 33, 105–136. [Google Scholar] [CrossRef] [PubMed]
- Unsal, V.; Cicek, M.; Sabancilar, İ. Toxicity of carbon tetrachloride, free radicals and role of antioxidants. Rev. Environ. Health 2020, 36, 279–295. [Google Scholar] [CrossRef]
- Tarakci, N.G.; Erdem, N.Z.; Dumen, E. Probiotic Foods Are Effective on Weight Loss, Biochemical Parameters, and Intestinal Microbiota in Wistar Albino Rats with Obese Microbiota. Int. J. Clin. Pract. 2022, 2022, 4569100. [Google Scholar] [CrossRef] [PubMed]
- Alghamdi, M.A.; Al-Ayadhi, L.; Hassan, W.M.; Bhat, R.S.; Alonazi, M.A.; El-Ansary, A. Bee Pollen and Probiotics May Alter Brain Neuropeptide Levels in a Rodent Model of Autism Spectrum Disorders. Metabolites 2022, 12, 562. [Google Scholar] [CrossRef]
- Dinu, L.D.; Gatea, F.; Roaming Israel, F.; Lakicevic, M.; Dedović, N.; Vamanu, E. The Modulation Effect of a Fermented Bee Pollen Postbiotic on Cardiovascular Microbiota and Therapeutic Perspectives. Biomedicines 2023, 11, 2712. [Google Scholar] [CrossRef]
- Algefare, A.I.; Alfwuaires, M.; Famurewa, A.C.; Elsawy, H.; Sedky, A. Geraniol prevents CCl4-induced hepatotoxicity via suppression of hepatic oxidative stress, pro-inflammation and apoptosis in rats. Toxicol. Rep. 2024, 12, 128–134. [Google Scholar] [CrossRef]
- Itoh, K.; Mitsuoka, T.; Sudo, K.; Suzuki, K. Comparison of faecal flora of mice based upon different strains and different housing conditions. Z. Versuchstierkd 1983, 25, 135–146. [Google Scholar]
- Sánchez, E.; Nieto, J.C.; Vidal, S.; Santiago, A.; Martinez, X.; Sancho, F.J.; Sancho-Bru, P.; Mirelis, B.; Corominola, H.; Juárez, C.; et al. Fermented milk containing Lactobacillus paracasei subsp. paracasei CNCM I-1518 reduces bacterial translocation in rats treated with carbon tetrachloride. Sci. Rep. 2017, 7, 45712. [Google Scholar] [CrossRef]
- Xu, Y.; Zhang, Z.; Wang, B.; He, X.; Tang, J.; Peng, W.; Zhou, J.; Wang, Y. Flammulinavelutipes Polysaccharides Modulate Gut Microbiota and Alleviate Carbon Tetrachloride-Induced Hepatic Oxidative Injury in Mice. Front. Microbiol. 2022, 13, 847653. [Google Scholar] [CrossRef]
- Kunyeit, L.; Anu-Appaiah, K.A.; Rao, R.P. Application of Probiotic Yeasts on Candida Species Associated Infection. J. Fungi 2020, 6, 189. [Google Scholar] [CrossRef] [PubMed]
- Hamamah, S.; Lobiuc, A.; Covasa, M. Antioxidant Role of Probiotics in Inflammation-Induced Colorectal Cancer. Int. J. Mol. Sci. 2024, 25, 9026. [Google Scholar] [CrossRef] [PubMed]
- Pop, O.L.; Suharoschi, R.; Gabbianelli, R. Biodetoxification and Protective Properties of Probiotics. Microorganisms 2022, 10, 1278. [Google Scholar] [CrossRef]
- Bhat, R.S. The dual role of microbiota as a therapeutic target in lupus nephritis. Turk. J. Nephrol. 2025, 34, 240–252. [Google Scholar] [CrossRef]
- Olivier, S.; Leclerc, J.; Grenier, A.; Foretz, M.; Tamburini, J.; Viollet, B. AMPK Activation Promotes Tight Junction Assembly in Intestinal Epithelial Caco-2 Cells. Int. J. Mol. Sci. 2019, 20, 5171. [Google Scholar] [CrossRef]
- Ji, J.; Jin, W.; Liu, S.J.; Jiao, Z.; Li, X. Probiotics, prebiotics, and postbiotics in health and disease. MedComm 2020, 4, e420. [Google Scholar] [CrossRef]
- Bui, T.N.Y.; Paul, A.; Guleria, S.; O’sUllivan, J.M.; Toldi, G. Short-chain fatty acids—A key link between the gut microbiome and T-lymphocytes in neonates? Pediatr. Res. 2025. [Google Scholar] [CrossRef]
- Rau, S.; Gregg, A.; Yaceczko, S.; Limketkai, B. Prebiotics and Probiotics for Gastrointestinal Disorders. Nutrients 2024, 16, 778. [Google Scholar] [CrossRef]
- Ji, H.; Yan, X.; Zhang, L.; Yang, L.; Xie, P.; Gu, F.; Bian, S.; Wan, H.; Nie, S. Prebiotics empower probiotics with gastrointestinal stress resistance for colon-targeted release to synergistically alleviate colitis. J. Control. Release 2025, 380, 297–316. [Google Scholar] [CrossRef] [PubMed]
- Zengil, S.; Laloğlu, E. Evaluation of Serum Zonulin and Occludin Levels in Bipolar Disorder. Psychiatry Investig. 2023, 20, 382–389. [Google Scholar] [CrossRef]
- Sarita, B.; Samadhan, D.; Hassan, M.Z.; Kovaleva, E.G. A comprehensive review of probiotics and human health-current prospective and applications. Front. Microbiol. 2025, 15, 1487641. [Google Scholar] [CrossRef]
- Rose, E.C.; Odle, J.; Blikslager, A.T.; Ziegler, A.L. Probiotics, Prebiotics and Epithelial Tight Junctions: A Promising Approach to Modulate Intestinal Barrier Function. Int. J. Mol. Sci. 2021, 22, 6729. [Google Scholar] [CrossRef]
- Latif, A.; Shehzad, A.; Niazi, S.; Zahid, A.; Ashraf, W.; Iqbal, M.W.; Rehman, A.; Riaz, T.; Aadil, R.M.; Khan, I.M.; et al. Probiotics: Mechanism of action, health benefits and their application in food industries. Front. Microbiol. 2023, 14, 1216674, Erratum in Front. Microbiol. 2024, 15, 1378225. https://doi.org/10.3389/fmicb.2024.1378225. [Google Scholar] [CrossRef]
- DiMattia, Z.; Damani, J.J.; Van Syoc, E.; Rogers, C.J. Effect of Probiotic Supplementation on Intestinal Permeability in Overweight and Obesity: A Systematic Review of Randomized Controlled Trials and Animal Studies. Adv. Nutr. 2024, 15, 100162. [Google Scholar] [CrossRef]
- Liu, Q.; Yu, Z.; Tian, F.; Zhao, J.; Zhang, H.; Zhai, Q.; Chen, W. Surface components and metabolites of probiotics for regulation of intestinal epithelial barrier. Microb. Cell Fact. 2020, 19, 23. [Google Scholar] [CrossRef]
- Cristofori, F.; Dargenio, V.N.; Dargenio, C.; Miniello, V.L.; Barone, M.; Francavilla, R. Anti-Inflammatory and Immunomodulatory Effects of Probiotics in Gut Inflammation: A Door to the Body. Front. Immunol. 2021, 12, 578386. [Google Scholar] [CrossRef]
- You, S.; Ma, Y.; Yan, B.; Pei, W.; Wu, Q.; Ding, C.; Huang, C. The promotion mechanism of prebiotics for probiotics: A review. Front. Nutr. 2022, 9, 1000517. [Google Scholar] [CrossRef] [PubMed]
- Yadav, M.K.; Kumari, I.; Singh, B.; Sharma, K.K.; Tiwari, S.K. Probiotics, prebiotics and synbiotics: Safe options for next-generation therapeutics. Appl. Microbiol. Biotechnol. 2022, 106, 505–521. [Google Scholar] [CrossRef] [PubMed]
- Guarino, M.P.L.; Altomare, A.; Emerenziani, S.; Di Rosa, C.; Ribolsi, M.; Balestrieri, P.; Iovino, P.; Rocchi, G.; Cicala, M. Mechanisms of Action of Prebiotics and Their Effects on Gastro-Intestinal Disorders in Adults. Nutrients 2020, 12, 1037. [Google Scholar] [CrossRef] [PubMed]
- Smolinska, S.; Popescu, F.D.; Zemelka-Wiacek, M. A Review of the Influence of Prebiotics, Probiotics, Synbiotics, and Postbiotics on the Human Gut Microbiome and Intestinal Integrity. J. Clin. Med. 2025, 14, 3673. [Google Scholar] [CrossRef] [PubMed]





| Media | Organisms | Group 1 Control | Group 2 Probiotic | Group 3 Prebiotic | Group 4 CCl4 Day 1 | Group 5 CCl4 + Pro | Group 6 CCl4 + Pre | Group 7 CCl4 Day 28 | Group 8 Pro + CCl4 | Group 9 Pre + CCl4 |
|---|---|---|---|---|---|---|---|---|---|---|
| SDA | Yeasts | - | - | - | + | - | - | ++++ | ++ | ++++ |
| MHA | Gram-negative rods or cocci | ++ | + | + | +++ | + | ++ | ++++ | ++++ | ++++ |
| SBA | Gram-positive/Gram-negative rod and cocci | ++ | + | + | ++ | ++ | ++ | ++++ | ++++ | ++++ |
| MCA | Enterobacteriaceae (Gram-negative rod, lactose fermenters) | - | - | - | - | - | - | ++++ | - | ++++ |
| Parameters | Groups | Mean ± S.D. | Percent Change | F | p Value |
|---|---|---|---|---|---|
| Zonulin (ng/mL) | Control | 7.50 ± 0.99 a | 100.00 | 152.56 | 0.001 |
| Probiotic | 7.68 ± 1.01 a | 102.35 | |||
| Prebiotic | 7.60 ± 1.24 a | 101.34 | |||
| CCl4 on day 1 | 10.56 ± 1.04 a | 140.74 | |||
| CCl4 day 1 + Probiotic | 7.58 ± 1.19 a | 101.09 | |||
| CCl4 day 1 + Prebiotic | 8.69 ± 0.84 a | 115.86 | |||
| CCl4 on day 28 | 44.13 ± 2.48 c | 588.21 | |||
| Probiotic + CCl4 day 28 | 43.47 ± 6.11 c | 579.50 | |||
| Prebiotic + CCl4 day 28 | 30.86 ± 5.54 b | 411.38 | |||
| Occludin (ng/mL) | Control | 2.03 ± 0.06 ab | 100.00 | 82.15 | 0.001 |
| Probiotic | 1.93 ± 0.10 a | 95.07 | |||
| Prebiotic | 2.02 ± 0.05 ab | 99.37 | |||
| CCl4 on day 1 | 2.48 ± 0.21 d | 121.85 | |||
| CCl4 day 1 + Probiotic | 2.15 ± 0.11 bc | 105.98 | |||
| CCl4 day 1 + Prebiotic | 2.22 ± 0.17 c | 109.51 | |||
| CCl4 on day 28 | 3.46 ± 0.19 f | 170.20 | |||
| Probiotic + CCl4 day 28 | 2.99 ± 0.06 e | 147.03 | |||
| Prebiotic + CCl4 day 28 | 2.94 ± 0.16 e | 144.82 |
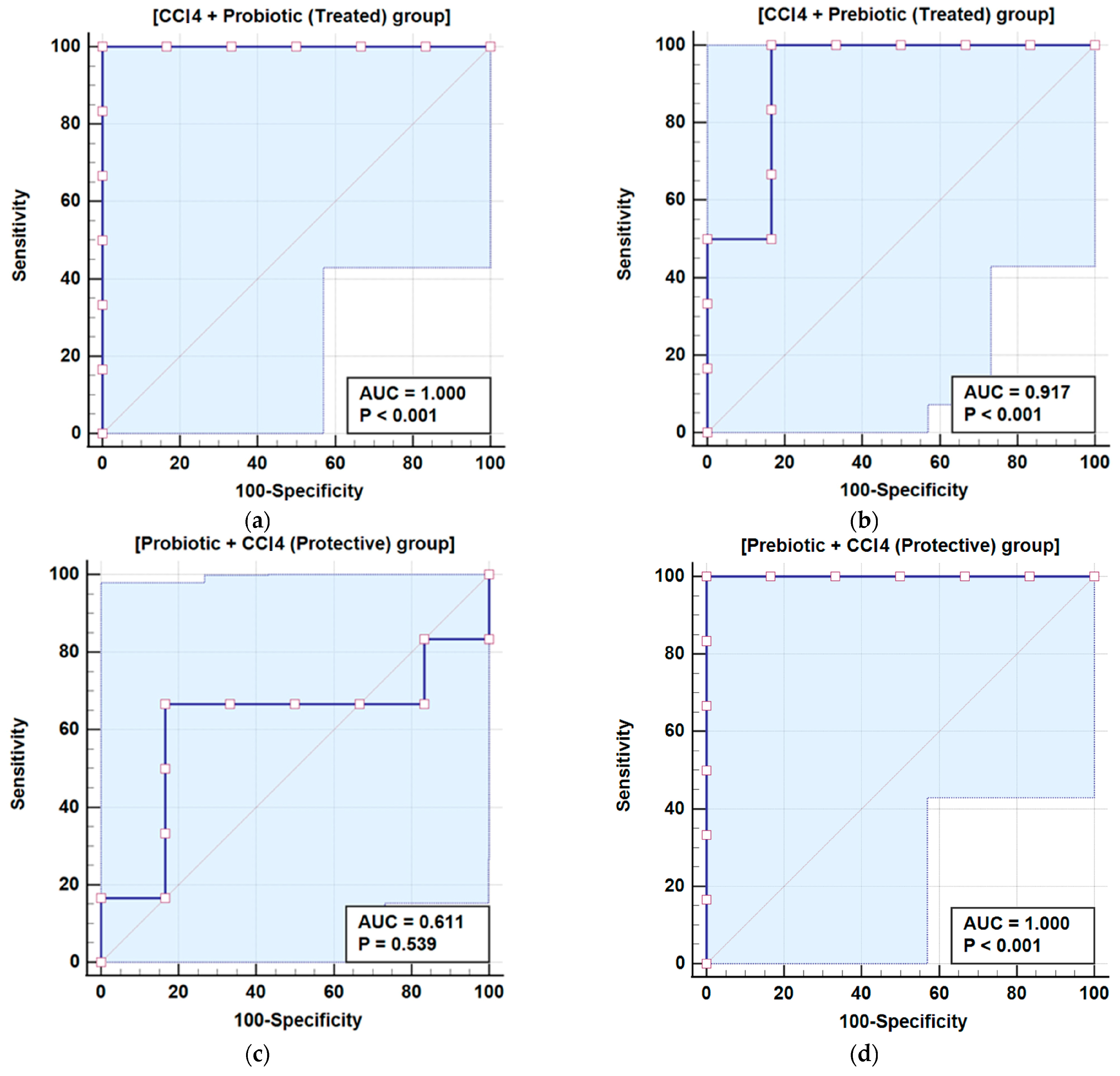
| Parameter | Ref. Group | Groups | AUC | Cut-Off Value | Sensitivity % | Specificity % | p Value |
|---|---|---|---|---|---|---|---|
| Zonulin (ng/mL) | CCl4 day 1 | CCl4 + Probiotic | 1.000 | 9.067 | 100.0% | 100.0% | 0.001 |
| CCl4 day 1 | CCl4 + Prebiotic | 0.917 | 9.721 | 100.0% | 83.3% | 0.001 | |
| CCl4 day 28 | Probiotic + CCl4 | 0.611 | 44.859 | 66.7% | 83.3% | 0.539 | |
| CCl4 day 28 | Prebiotic + CCl4 | 1.000 | 39.360 | 100.0% | 100.0% | 0.001 | |
| Occludin (ng/mL) | CCl4 day 1 | CCl4 + Probiotic | 0.889 | 2.351 | 100.0% | 83.3% | 0.001 |
| CCl4 day 1 | CCl4 + Prebiotic | 0.778 | 2.352 | 83.3% | 83.3% | 0.061 | |
| CCl4 day 28 | Probiotic + CCl4 | 1.000 | 3.165 | 100.0% | 100.0% | 0.001 | |
| CCl4 day 28 | Prebiotic + CCl4 | 1.000 | 3.237 | 100.0% | 100.0% | 0.001 |
Disclaimer/Publisher’s Note: The statements, opinions and data contained in all publications are solely those of the individual author(s) and contributor(s) and not of MDPI and/or the editor(s). MDPI and/or the editor(s) disclaim responsibility for any injury to people or property resulting from any ideas, methods, instructions or products referred to in the content. |
© 2026 by the authors. Licensee MDPI, Basel, Switzerland. This article is an open access article distributed under the terms and conditions of the Creative Commons Attribution (CC BY) license.
Share and Cite
Alsayari, N.; Bhat, R.S.; Zargar, S.; Aldbass, A.M.; Al-Daihan, S. Multi-Strain Probiotic and Bee Pollen Supplementation Attenuates CCl4-Induced Altered Intestinal Tight Junctions in Rodents. Curr. Issues Mol. Biol. 2026, 48, 310. https://doi.org/10.3390/cimb48030310
Alsayari N, Bhat RS, Zargar S, Aldbass AM, Al-Daihan S. Multi-Strain Probiotic and Bee Pollen Supplementation Attenuates CCl4-Induced Altered Intestinal Tight Junctions in Rodents. Current Issues in Molecular Biology. 2026; 48(3):310. https://doi.org/10.3390/cimb48030310
Chicago/Turabian StyleAlsayari, Nada, Ramesa Shafi Bhat, Seema Zargar, Abeer M. Aldbass, and Sooad Al-Daihan. 2026. "Multi-Strain Probiotic and Bee Pollen Supplementation Attenuates CCl4-Induced Altered Intestinal Tight Junctions in Rodents" Current Issues in Molecular Biology 48, no. 3: 310. https://doi.org/10.3390/cimb48030310
APA StyleAlsayari, N., Bhat, R. S., Zargar, S., Aldbass, A. M., & Al-Daihan, S. (2026). Multi-Strain Probiotic and Bee Pollen Supplementation Attenuates CCl4-Induced Altered Intestinal Tight Junctions in Rodents. Current Issues in Molecular Biology, 48(3), 310. https://doi.org/10.3390/cimb48030310

