Biochemical Battle: Influence of Omega-6 Fatty Acids on the Formation of DNA Adducts with 4-HNE
Abstract
1. Introduction
2. Omega-6 Fatty Acids—Friend or Enemy?
| Associated Diseases | Experimental Model | Metabolic and Inflammatory Outcomes | Reference |
|---|---|---|---|
| Obesity, Non-alcoholic fatty liver disease | Rats | Body-weight gain, hepatic steatosis, insulin resistance, elevated levels of pro-inflammatory cytokines, changes in gut microbiota | [17,21] |
| Mice | Body-weight gain, increased lipogenesis, hepatic steatosis, insulin resistance | [18,19,20] | |
| Human | Body-weight gain | [31] | |
| Inflammatory bowel disease, Ulcerative colitis | Rats | Acute inflammatory changes in the colonic structure | [27] |
| Human | Increased risk of ulcerative colitis | [32,33] | |
| Mice | Dysbiosis, increased colitis severity, intestinal damage, proliferation of pathobionts | [22,23,24,25,26] | |
| Alzheimer’s disease | Mice | Promotes the deposition of amyloid-β, disruption of synaptic structures | [28,29,30] |
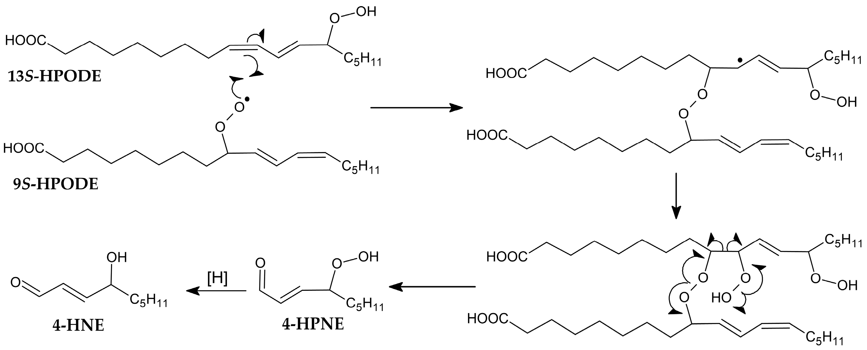
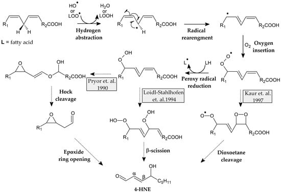
3. Pathways of Formation of 4-Hydroxynonenal
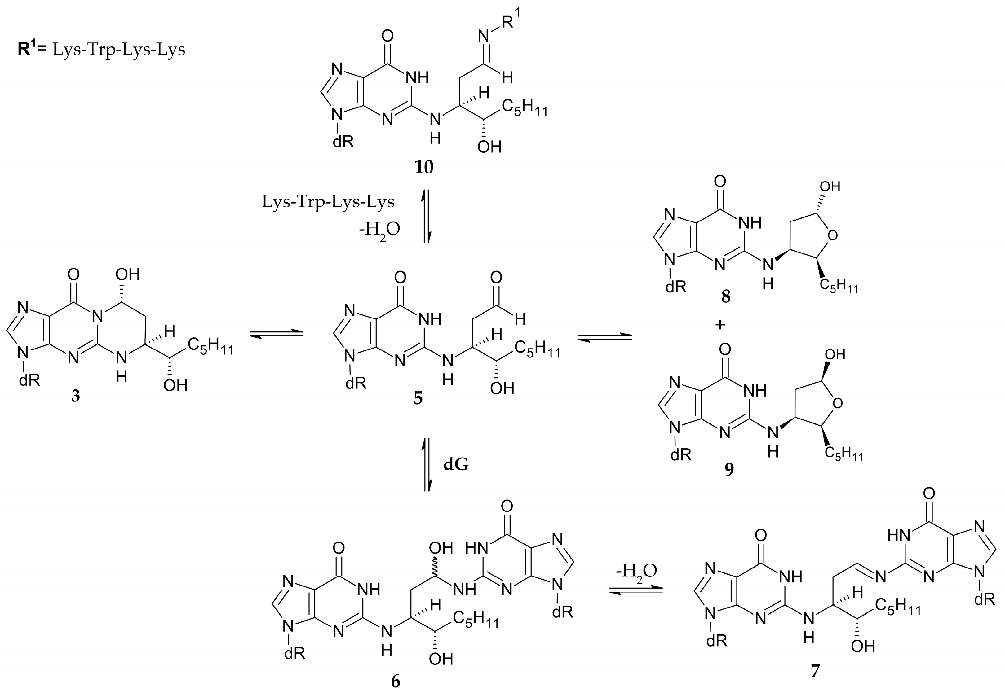
4. DNA Adducts Formation and Their Properties
5. Defence Mechanisms
6. Conclusions
Author Contributions
Funding
Data Availability Statement
Conflicts of Interest
References
- Maldonado, E.; Morales-Pison, S.; Urbina, F.; Solari, A. Aging Hallmarks and the role of Oxidative Stress. Antioxidants 2023, 12, 651. [Google Scholar] [CrossRef]
- Di Meo, S.; Reed, T.T.; Venditti, P.; Victor, V.M. Role of ROS and RNS sources in physiological and pathological conditions. Oxid. Med. Cell Longev. 2016, 2016, 1245049. [Google Scholar] [CrossRef]
- Juan, A.C.; Lastra, J.M.P.; Plou, F.J.; Pérez-Lebeña, E. The Chemistry of Reactive Oxygen Species (ROS) Revisited: Outlining Their Role in Biological Macromolecules (DNA, Lipids and Proteins) and Induced Pathologies. Int. J. Mol. Sci. 2021, 22, 4642. [Google Scholar] [CrossRef]
- Cockcroft, S. Mammalian lipids: Structure, synthesis and function. Essays Biochem. 2021, 65, 813–845. [Google Scholar] [CrossRef]
- Esterbauer, H.; Schaur, R.J.; Zollner, H. Chemistry and biochemistry of 4-hydroxynonenal, malonaldehyde and related aldehydes. Free Radic. Biol. Med. 1991, 11, 81–128. [Google Scholar] [CrossRef]
- Žarković, N.; Gęgotek, A.; Łuczaj, W.; Jaganjac, M.; Šunjić, S.B.; Žarković, K.; Skrzydlewska, E. Overview of the Lipid Peroxidation Measurements in Patients by the Enzyme-Linked Immunosorbent Assay Specific for the 4-Hydroxynonenal-Protein Adducts (4-HNE-ELISA). Front. Biosci. 2024, 29, 153. [Google Scholar] [CrossRef]
- Mariamenatu, A.H.; Abdu, E.M. Overconsumption of Omega-6 Polyunsaturated Fatty Acids (PUFAs) versus Deficiency of Omega-3 PUFAs in Modern-Day Diets: The Disturbing Factor for Their “Balanced Antagonistic Metabolic Functions” in the Human Body. J. Lipids 2021, 2021, 8848161. [Google Scholar] [CrossRef] [PubMed]
- Maldonado-Pereira, L.; Barnaba, C.; de Los Campos, G.; Medina-Meza, I.G. Evaluation of Nutritional Quality of Ultra-Processed Foods (Ready to Eat + Fast Food): Fatty acids, sugar and sodium. J. Food Sci. 2022, 87, 3659–3676. [Google Scholar] [CrossRef] [PubMed]
- Fajardo, V.A.; McMeekin, L.; Saint, C.; LeBlanc, P.J. Cardiolipin linoleic acid content and mitochondrial cytochrome c oxidase activity are associated in rat skeletal muscle. Chem. Phys. Lipids 2015, 187, 50–55. [Google Scholar] [CrossRef]
- Li, D.; Ng, A.; Mann, J.N.; Sinclair, J.A. Contribution of Meat Fat to Dietary Arachidonic Acid. Lipids 1998, 33, 437–440. [Google Scholar] [CrossRef] [PubMed]
- Benbrook, C.M.; Davis, D.R.; Heins, B.J.; Latif, A.M.; Leifert, C.; Peterman, L.; Butler, G.; Faergeman, O.; Abel-Caines, S.; Baranski, M. Enhancing the fatty acid profile of milk through forage-based rations, with nutrition modeling of diet outcomes. Food Sci. Nutr. 2018, 6, 681–700. [Google Scholar] [CrossRef]
- Attia, Y.A.; Al-Harthi, M.A.; Al-Sagan, A.A.; Alqurashi, A.D.; Korish, M.A.; Abdulsalam, N.M.; Olal, M.J.; Bovera, F. Dietary Supplementation with Different ω-6 to ω-3 Fatty Acid Ratios Affects the Sustainability of Performance, Egg Quality, Fatty Acid Profile, Immunity and Egg Health Indices of Laying Hens. Agriculture 2022, 12, 1712. [Google Scholar] [CrossRef]
- Tallima, H.; Ridi, E.R. Arachidonic Acid: Physiological roles and potential health benefits—A review. J. Adv. Res. 2018, 11, 33–41. [Google Scholar] [CrossRef]
- Jameel, F.; Agarwal, P.; Arshad, M.; Serajuddin, M. Omega-3 polyunsaturated fatty acids of fish and their role in cancerous cell lines: A review of in-vitro studies. Fish. Aquat. Life 2019, 27, 47–63. [Google Scholar] [CrossRef]
- Simopoulos, A.P. An Increase in the Omega-6/Omega-3 Fatty Acid Ratio Increases the Risk for Obesity. Nutrients 2016, 8, 128. [Google Scholar] [CrossRef]
- Patterson, E.; Wall, R.; Fitzgerald, G.F.; Ross, R.P.; Stanton, C. Health Implications of High Dietary Omega-6 Polyunsaturated Fatty Acids. J. Nutr. Metab. 2012, 2012, 539426. [Google Scholar] [CrossRef]
- Liu, H.Q.; Qiu, Y.; Mu, Y.; Zhang, X.J.; Liu, L.; Hou, X.H.; Zhang, L.; Xu, X.N.; Ji, A.L.; Cao, R.; et al. A high ratio of dietary n-3/n-6 polyunsaturated fatty acids improves obesity-linked inflammation and insulin resistance through suppressing activation of TLR4 in SD rats. Nutr. Res. 2013, 33, 849–858. [Google Scholar] [CrossRef]
- Hao, L.; Chen, C.-Y.; Nie, Y.-H.; Kaliannan, K.; Kang, J.X. Differential Interventional Effects of Omega-6 and Omega-3 Polyunsaturated Fatty Acids on High Fat Diet-Induced Obesity and Hepatic Pathology. Int. J. Mol. Sci. 2023, 24, 17261. [Google Scholar] [CrossRef]
- Khadge, S.; Sharp, J.G.; Thiele, G.M.; McGuire, T.R.; Klassen, L.W.; Duryee, M.J.; Britton, H.C.; Dafferner, A.J.; Beck, J.; Black, P.N.; et al. Dietary omega-3 and omega-6 polyunsaturated fatty acids modulate hepatic pathology. J. Nutr. Biochem. 2018, 52, 92–102. [Google Scholar] [CrossRef]
- Pachikian, B.D.; Essaghir, A.; Demoulin, J.-B.; Neyrinck, A.M.; Catry, E.; De Backer, F.C.; Dejeans, N.; Dewulf, E.M.; Sohet, F.M.; Portois, L.; et al. Hepatic n-3 Polyunsaturated Fatty Acid Depletion Promotes Steatosis and Insulin Resistance in Mice: Genomic Analysis of Cellular Targets. PLoS ONE 2011, 6, e23365. [Google Scholar] [CrossRef]
- Lee, H.-C.; Yu, S.-C.; Lo, Y.-C.; Lin, I.-H.; Tung, T.-H.; Huang, S.-Y. A high linoleic acid diet exacerbates metabolic responses and gut microbiota dysbiosis in obese rats with diabetes mellitus. Food Funct. 2019, 10, 786–798. [Google Scholar] [CrossRef]
- Ghosh, S.; Molcan, E.; DeCoffe, D.; Dai, C.; Gibson, D.L. Diets rich in n-6 PUFA induce intestinal microbial dysbiosis in aged mice. Br. J. Nutr. 2013, 110, 515–523. [Google Scholar] [CrossRef]
- Deol, P.; Ruegger, P.; Logan, G.D.; Shawki, A.; Li, J.; Mitchell, J.D.; Yu, J.; Piamthai, V.; Radi, S.H.; Hasnain, S.; et al. Diet High in Linoleic Acid Dysregulates the Intestinal Endocannabinoid System and Increases Susceptibility to Colitis in Mice. Gut Microbes 2023, 15, 2229945. [Google Scholar] [CrossRef]
- Selmin, O.I.; Papoutsis, A.J.; Hazan, S.; Smith, C.; Greenfield, N.; Donovan, M.G.; Wren, S.N.; Doetschman, T.C.; Snider, J.M.; Snider, A.J.; et al. n-6 High Fat Diet Induces Gut Microbiome Dysbiosis and Colonic Inflammation. Int. J. Mol. Sci. 2021, 22, 6919. [Google Scholar] [CrossRef]
- Hudert, C.A.; Weylandt, K.H.; Lu, Y.; Wang, J.; Hong, S.; Dignass, A.; Serhan, C.N.; Kang, J.X. Transgenic mice rich in endogenous omega-3 fatty acids are protected from colitis. Proc. Natl. Acad. Sci. USA 2006, 103, 11276–11281. [Google Scholar] [CrossRef] [PubMed]
- Ghosh, S.; DeCoffe, D.; Brown, K.; Rajendiran, E.; Estaki, M.; Dai, C.; Yip, A.; Gibson, D.L. Fish Oil Attenuates Omega-6 Polyunsaturated Fatty Acid-Induced Dysbiosis and Infectious Colitis but Impairs LPS Dephosphorylation Activity Causing Sepsis. PLoS ONE 2013, 8, e55468. [Google Scholar] [CrossRef] [PubMed]
- Reifen, R.; Karlinsky, A.; Stark, A.H.; Berkovich, Z.; Nyska, A. α-Linolenic acid (ALA) is an anti-inflammatory agent in inflammatory bowel disease. J. Nutr. Biochem. 2015, 26, 1632–1640. [Google Scholar] [CrossRef]
- Ordóñez-Gutiérrez, L.; Fábrias, G.; Casas, J.; Wandosell, F. Diets with Higher ω-6/ω-3 Ratios Show Differences in Ceramides and Fatty Acid Levels Accompanied by Increased Amyloid-Beta in the Brains of Male APP/PS1 Transgenic Mice. Int. J. Mol. Sci. 2021, 22, 10907. [Google Scholar] [CrossRef]
- Lim, G.P.; Calon, F.; Morihara, T.; Yang, F.S.; Teter, B.; Ubeda, O.; Salem, N., Jr.; Frautschy, S.A.; Cole, G.M. A diet enriched with the omega-3 fatty acid docosahexaenoic acid reduces amyloid burden in an aged Alzheimer mouse model. J. Neurosci. 2005, 25, 3032–3040. [Google Scholar] [CrossRef]
- Calon, F.; Lim, G.P.; Morihara, T.; Yang, F.; Ubeda, O.; Salem, N., Jr.; Frautschy, S.A.; Cole, G.M. Dietary n-3 polyunsaturated fatty acid depletion activates caspases and decreases NMDA receptors in the brain of a transgenic mouse model of Alzheimer’s disease. Eur. J. Neurosci. 2005, 22, 617–626. [Google Scholar] [CrossRef] [PubMed]
- Wang, L.; Manson, J.E.; Rautiainen, S.; Gaziano, J.M.; Buring, J.E.; Tsai, M.Y.; Sesso, H.D. A prospective study of erythrocyte polyunsaturated fatty acid, weight gain, and risk of becoming overweight or obese in middle-aged and older women. Eur. J. Nutr. 2016, 55, 687–697. [Google Scholar] [CrossRef]
- Rashvand, S.; Somi, M.H.; Rashidkhani, B.; Hekmatdoost, A. Dietary fatty acid intakes are related to the risk of ulcerative colitis: A case-control study. Int. J. Color. Dis. 2015, 30, 1255–1260. [Google Scholar] [CrossRef]
- The IBD in EPIC Study Investigators. Linoleic acid, a dietary n-6 polyunsaturated fatty acid, and the aetiology of ulcerative colitis: A nested case–control study within a European prospective cohort study. Gut 2009, 58, 1606–1611. [Google Scholar] [CrossRef]
- Esterbauer, H.; Benedetti, A.; Lang, J.; Fulceri, R.; Fauler, G.; Comporti, M. Studies on the mechanism of formation of 4-hydroxynonenal during microsomal lipid peroxidation. Biochim. Biophys. Acta 1986, 816, 154–166. [Google Scholar] [CrossRef]
- Klil-Drori, A.J.; Ariel, A. 15-Lipoxygenases in cancer: A double-edged sword? Prostaglandins Other Lipid Mediat. 2013, 106, 16–22. [Google Scholar] [CrossRef]
- Schneider, C.; Pratt, D.A.; Porter, N.A.; Brash, A.R. Control of Oxygenation in Lipoxygenase and Cyclooxygenase Catalysis. Chem. Biol. 2007, 14, 473–488. [Google Scholar] [CrossRef]
- Winterbourn, C.C. The Biological Chemistry of Hydrogen Peroxide. In Methods in Enzymology, 1st ed.; Cadenas, E., Packer, L., Eds.; Academic Press Inc.: Cambridge, MA, USA, 2013; Volume 528, pp. 3–25. [Google Scholar]
- Strlič, M.; Kolar, J.; Šelih, V.S.; Kočar, D.; Pihlar, B. A comparative study of several transition metals in fenton-like reaction systems at circum-neutral pH. Acta Chim. Slov. 2003, 50, 619–632. [Google Scholar]
- Fenton, H.J.H. Oxidation of Tartaric Acid in presence of Iron. J. Chem. Soc. Trans. 1894, 65, 899–910. [Google Scholar] [CrossRef]
- Haber, F.; Weiss, J. The Catalytic Decomposition of Hydrogen Peroxide by Iron Salts. Proc. R. Soc. Lond. A 1934, 147, 332–351. [Google Scholar]
- Almeida, A.J.P.O.; Oliveira, J.C.P.L.; Silva Pontes, L.V.; Souza Júnior, J.F.; Gonçalves, T.A.F.; Dantas, S.H.; Almeida Feitosa, M.S.; Silva, A.O.; Medeiros, I.A. ROS: Basic Concepts, Sources, Cellular Signaling, and Its Implications in Aging Pathways. Oxid. Med. Cell. Longev. 2022, 2022, 1225578. [Google Scholar] [CrossRef] [PubMed]
- Yin, H.; Xu, L.; Porter, N.A. Free Radical Lipid Peroxidation: Mechanisms and Analysis. Chem. Rev. 2011, 111, 5944–5972. [Google Scholar] [CrossRef] [PubMed]
- Pryor, W.A.; Porter, N.A. Suggested mechanisms for the production of 4-hydroxy-2-nonenal from the autoxidation of polyunsaturated fatty acids. Free Radic. Biol. Med. 1990, 8, 541–543. [Google Scholar] [CrossRef] [PubMed]
- Loidl-Stahlhofen, A.; Hannemann, K.; Spiteller, G. Generation of α-hydroxyaldehydic compounds in the course of lipid peroxidation. Biochim. Biophys. Acta 1994, 1213, 140–148. [Google Scholar] [CrossRef]
- Kaur, K.; Salomon, R.G.; O’neil, J.; Hoff, H.F. (Carboxyalkyl)Pyrroles in Human Plasma and Oxidized Low-Density Lipoproteins. Chem. Res. Toxicol. 1997, 10, 1387–1396. [Google Scholar] [CrossRef]
- Lee, H.S.; Blair, I.A. Characterization of 4-Oxo-2-Nonenal as a Novel Product of Lipid Peroxidation. Chem. Res. Toxicol. 2000, 13, 698–702. [Google Scholar] [CrossRef]
- Schneider, C.; Tallman, K.A.; Porter, N.A.; Brash, A.R. Two Distinct Pathways of Formation of 4-Hydroxynonenal. J. Biol. Chem. 2001, 276, 20831–20838. [Google Scholar] [CrossRef]
- Noordermeer, M.A.; Feussner, I.; Kolbe, A.; Veldink, G.A.; Vliegenthart, J.F.G. Oxygenation of (3Z)-Alkenals to 4-Hydroxy-(2E)-Alkenals in Plant Extracts: A Non-enzymatic Process. Biochem. Biophys. Res. Commun. 2000, 277, 112–116. [Google Scholar] [CrossRef]
- Schneider, C.; Boeglin, W.E.; Yin, H.; Porter, N.A.; Brash, A.R. Intermolecular Peroxyl Radical Reactions during Autoxidation of Hydroxy and Hydroperoxy Arachidonic Acids Generate a Novel Series of Epoxidized Products. Chem. Res. Toxicol. 2008, 21, 895–903. [Google Scholar] [CrossRef]
- Liu, W.; Porter, N.A.; Schneider, C.; Brash, A.R.; Yin, H. Formation of 4-hydroxynonenal from cardiolipin oxidation: Intramolecular peroxyl radical addition and decomposition. Free Radic. Biol. Med. 2011, 50, 166–178. [Google Scholar] [CrossRef]
- Kowalczyk, P.; Cieśla, J.M.; Komisarski, M.; Kuśmierek, J.T.; Tudek, B. Long-chain adducts of trans-4-hydroxy-2-nonenal to dna bases cause recombination, base substitutions and frameshift mutations in M13 phage. Mutat. Res. 2004, 550, 33–48. [Google Scholar] [CrossRef] [PubMed]
- Douki, T.; Odin, F.; Caillat, S.; Favier, A.; Cadet, J. Predominance of the 1,N2-Propano 2′-Deoxyguanosine Adduct among 4-Hydroxy-2-Nonenal-Induced DNA Lesions. Free Radic. Biol. Med. 2004, 37, 62–70. [Google Scholar] [CrossRef]
- Winter, C.K.; Segall, H.J.; Haddon, W.F. Formation of Cyclic Adducts of Deoxyguanosine with the Aldehydes Trans-4-Hydroxy-2-Hexenal and Trans-4-Hydroxy-2-Nonenal In Vitro. Cancer Res. 1986, 46, 5682–5686. [Google Scholar]
- Yi, P.; Zhan, D.; Samokyszyn, V.M.; Doerge, D.R.; Fu, P.P. Synthesis and 32 P-Postlabeling/High-Performance Liquid Chromatography Separation of Diastereomeric 1,N2-(1,3-Propano)-2′-Deoxyguanosine-3′-Phosphate Adducts Formed from 4-Hydroxy-2-Nonenal. Chem. Res. Toxicol. 1997, 10, 1259–1265. [Google Scholar] [CrossRef] [PubMed]
- Wang, H.; Kozekov, I.D.; Harris, T.M.; Rizzo, C.J. Site-Specific Synthesis and Reactivity of Oligonucleotides Containing Stereochemically Defined 1,N2-Deoxyguanosine Adducts of the Lipid Peroxidation Product trans-4-Hydroxynonenal. J. Am. Chem. Soc. 2003, 125, 5687–5700. [Google Scholar] [CrossRef] [PubMed]
- Peter, L.P. Physical Basis of the DNA Double Helix. J. Biophys. Struct. Biol. 2020, 8, 1–7. [Google Scholar] [CrossRef]
- Huang, H.; Wang, H.; Qi, N.; Kozekova, A.; Rizzo, C.J.; Stone, M.P. Rearrangement of the (6S,8R,11S) and (6R,8S,11R) Exocyclic 1,N2-Deoxyguanosine Adducts of trans-4-Hydroxynonenal to N2-Deoxyguanosine Cyclic Hemiacetal Adducts When Placed Complementary to Cytosine in Duplex DNA. J. Am. Chem. Soc. 2008, 130, 10898–10906. [Google Scholar] [CrossRef] [PubMed]
- Kurtz, A.J.; Lloyd, R.S. 1,N2-Deoxyguanosine Adducts of Acrolein, Crotonaldehyde, and trans-4-Hydroxynonenal Cross-link to Peptides via Schiff Base Linkage. J. Biol. Chem. 2003, 278, 5970–5976. [Google Scholar] [CrossRef]
- Liu, X.; Lovell, M.A.; Lynn, B.C. Detection and Quantification of Endogenous Cyclic DNA Adducts Derived from trans-4-Hydroxy-2-nonenal in Human Brain Tissue by Isotope Dilution Capillary Liquid Chromatography Nanoelectrospray Tandem Mass Spectrometry. Chem. Res. Toxicol. 2006, 19, 710–718. [Google Scholar] [CrossRef]
- Götz, M.E.; Wacker, M.; Luckhaus, C.; Wanek, P.; Tatschner, T.; Jellinger, K.; Leblhuber, F.; Ransmayr, G.; Riederer, P.; Eder, E. Unaltered Brain Levels of 1,N2-Propanodeoxyguanosine Adducts of trans-4-Hydroxy-2-nonenal in Alzheimer’s disease. Neurosci. Lett. 2002, 324, 49–52. [Google Scholar] [CrossRef]
- Hu, W.; Feng, Z.; Eveleigh, J.; Iyer, G.; Pan, J.; Amin, S.; Chung, F.-L.; Tang, M.-S. The major lipid peroxidation product, trans-4-hydroxy-2-nonenal, preferentially forms DNA adducts at codon 249 of human p53 gene, a unique mutational hotspot in hepatocellular carcinoma. Carcinogenesis 2002, 23, 1781–1789. [Google Scholar] [CrossRef]
- Fernandes, P.H.; Wang, H.; Rizzo, C.J.; Lloyd, R.S. Site-Specific Mutagenicity of Stereochemically Defined 1,N2-Deoxyguanosine Adducts of trans-4-Hydroxynonenal in Mammalian Cells. Environ. Mol. Mutagen. 2003, 42, 68–74. [Google Scholar] [CrossRef]
- Valko, M.; Leibfritz, D.; Moncol, J.; Cronin, M.T.D.; Mazur, M.; Telser, J. Free Radicals and Antioxidants in Normal Physiological Functions and Human Disease. Int. J. Biochem. Cell Biol. 2007, 39, 44–84. [Google Scholar] [CrossRef] [PubMed]
- Pearson, P.; Lewis, S.A.; Britton, J.; Young, I.S.; Fogarty, A. The Pro-Oxidant Activity of High-Dose Vitamin E Supplements in Vivo. Biodrugs 2006, 20, 271–273. [Google Scholar] [CrossRef] [PubMed]
- Kaźmierczak-Barańska, J.; Boguszewska, K.; Adamus-Grabicka, A.; Karwowski, B.T. Two Faces of Vitamin C—Antioxidative and Pro-Oxidative Agent. Nutrients 2020, 12, 1501. [Google Scholar] [CrossRef]
- Eder, E.; Wacker, M.; Wanek, P. Lipid peroxidation-related 1,N2-propanodeoxyguanosine-DNA adducts induced by endogenously formed 4-hydroxy-2-nonenal in organs of female rats fed diets supplemented with sunflower, rapeseed, olive or coconut oil. Mutat. Res. Genet. Toxicol. Environ. Mutagen. 2008, 654, 101–107. [Google Scholar] [CrossRef]
- Gaschler, M.M.; Stockwell, B.R. Lipid peroxidation in cell death. Biochem. Biophys. Res. Commun. 2017, 482, 419–425. [Google Scholar] [CrossRef] [PubMed]
- Petersen, D.R.; Doorn, J.A. Reactions of 4-Hydroxynonenal with Proteins and Cellular Targets. Free Radic. Biol. Med. 2004, 37, 937–945. [Google Scholar] [CrossRef]
- Chung, F.-L.; Komninou, D.; Zhang, L.; Nath, R.; Pan, J.; Amin, S.; Richie, J. Glutathione Depletion Enhances the Formation of Endogenous Cyclic DNA Adducts Derived from t-4-hydroxy-2-nonenal in Rat Liver. Chem. Res. Toxicol. 2005, 18, 24–27. [Google Scholar] [CrossRef]
- Krokan, H.E.; Bjørås, M. Base Excision Repair. Cold Spring Harb. Perspect. Biol. 2013, 5, a012583. [Google Scholar] [CrossRef]
- Rechkunova, N.I.; Krasikova, Y.S.; Lavrik, O.I. Nucleotide Excision Repair: DNA Damage Recognition and Preincision Complex Assembly. Biochemistry 2011, 76, 24–35. [Google Scholar] [CrossRef]
- Choudhury, S.; Pan, J.; Amin, S.; Chung, F.L.; Roy, R. Repair Kinetics of trans-4-Hydroxynonenal-Induced Cyclic 1,N2-Propanodeoxyguanine DNA Adducts by Human Cell Nuclear Extracts. Biochemistry 2004, 43, 7514–7521. [Google Scholar] [CrossRef]
- Green, A.M.; Kupfer, G.M. Fanconi Anemia. Hematol. Oncol. Clin. N. Am. 2009, 23, 193–214. [Google Scholar] [CrossRef]
- Nance, M.A.; Berry, S.A. Cockayne syndrome: Review of 140 cases. Am. J. Med. Genet. 1992, 42, 68–84. [Google Scholar] [CrossRef]
- Faghri, S.; Tamura, D.; Kraemer, K.H.; DiGiovanna, J.J. Trichothiodystrophy: A systematic review of 112 published cases characterises a wide spectrum of clinical manifestations. J. Med. Gent. 2008, 45, 609–621. [Google Scholar] [CrossRef]
- Sinha, R.P.; Häder, D.-P. UV-induced DNA damage and repair: A review. Photochem. Photobiol. Sci. 2002, 1, 225–236. [Google Scholar] [CrossRef] [PubMed]
- Lehmann, A.R.; McGibbon, D.; Stefanini, M. Xeroderma pigmentosum. Orphanet. J. Rare Dis. 2011, 6, 70. [Google Scholar] [CrossRef]
- Brooks, P.J. The 8,5′-cyclopurine-2′-deoxynucleosides: Candidate neurodegenerative DNA lesions in xeroderma pigmentosum, and unique probes of transcription and nucleotide excision repair. DNA Repair 2008, 7, 1168–1179. [Google Scholar] [CrossRef]
- Brooks, P.J. The case for 8,5′-cyclopurine-2′-deoxynucleosides as endogenous DNA lesions that cause neurodegeneration in xeroderma pigmentosum. Neuroscience 2007, 145, 1407–1417. [Google Scholar] [CrossRef]
- Weidenheim, K.M.; Dickson, D.W.; Rapin, I. Neuropathology of Cockayne syndrome: Evidence for impaired development, premature aging, and neurodegeneration. Mech. Ageing. Dev. 2009, 130, 619–636. [Google Scholar] [CrossRef] [PubMed]
- Hashimoto, S.; Egly, J.M. Trichothiodystrophy view from the molecular basis of DNA repair/transcription factor TFIIH. Hum. Mol. Genet. 2009, 18, R224–R230. [Google Scholar] [CrossRef] [PubMed]
- Kramer, K.H.; Patronas, N.J.; Schiffmann, R.; Brooks, B.P.; Tamura, D.; DiGiovanna, J.J. Xeroderma pigmentosum, trichothiodystrophy and Cockayne syndrome: A complex genotype–phenotype relationship. Neuroscience 2007, 145, 1388–1396. [Google Scholar] [CrossRef] [PubMed]
- Pan, G.; Deshpande, M.; Pang, H.; Stemmer, P.M.; Carruthers, N.J.; Shearn, C.T.; Backos, D.S.; Palaniyandi, S.S. 4-Hydroxy-2-nonenal attenuates 8-oxoguanine DNA glycosylase 1 activity. J. Cell. Biochem. 2020, 121, 4887–4897. [Google Scholar] [CrossRef] [PubMed]
- Winczura, A.; Czubaty, A.; Winczura, K.; Masłowska, K.; Nałęcz, M.; Dudzińska, D.A.; Saparbaev, M.; Staroń, K.; Tudek, B. Lipid peroxidation product 4-hydroxy-2-nonenal modulates base excision repair in human cells. DNA Repair 2014, 22, 1–11. [Google Scholar] [CrossRef] [PubMed]
- Feng, Z.; Hu, W.; Tang, M.-S. Trans-4-hydroxy-2-nonenal inhibits nucleotide excision repair in human cells: A possible mechanism for lipid peroxidation-induced carcinogenesis. Proc. Natl. Acad. Sci. USA 2004, 101, 8598–8602. [Google Scholar] [CrossRef]







| 5′-d(G-G-A-C-T-C-G-C-T-A-G-C)-3′ 3′-d(C-C-T-G-A-X-C-G-A-T-C-G)-5′ | |||
|---|---|---|---|
| X | Tm [°C] | Interstrand Cross-Link Formation * | Cross-Link Formation with Tetrapeptide * |
| dG | 65 | − | − |
| 1 | 53 | − | + |
| 2 | 60 | − | − |
| 3 | 49 | + | + |
| 4 | 60 | − | − |
Disclaimer/Publisher’s Note: The statements, opinions and data contained in all publications are solely those of the individual author(s) and contributor(s) and not of MDPI and/or the editor(s). MDPI and/or the editor(s) disclaim responsibility for any injury to people or property resulting from any ideas, methods, instructions or products referred to in the content. |
© 2025 by the authors. Licensee MDPI, Basel, Switzerland. This article is an open access article distributed under the terms and conditions of the Creative Commons Attribution (CC BY) license (https://creativecommons.org/licenses/by/4.0/).
Share and Cite
Błaszczyk, E.; Karwowski, B.T. Biochemical Battle: Influence of Omega-6 Fatty Acids on the Formation of DNA Adducts with 4-HNE. Curr. Issues Mol. Biol. 2025, 47, 645. https://doi.org/10.3390/cimb47080645
Błaszczyk E, Karwowski BT. Biochemical Battle: Influence of Omega-6 Fatty Acids on the Formation of DNA Adducts with 4-HNE. Current Issues in Molecular Biology. 2025; 47(8):645. https://doi.org/10.3390/cimb47080645
Chicago/Turabian StyleBłaszczyk, Edyta, and Bolesław T. Karwowski. 2025. "Biochemical Battle: Influence of Omega-6 Fatty Acids on the Formation of DNA Adducts with 4-HNE" Current Issues in Molecular Biology 47, no. 8: 645. https://doi.org/10.3390/cimb47080645
APA StyleBłaszczyk, E., & Karwowski, B. T. (2025). Biochemical Battle: Influence of Omega-6 Fatty Acids on the Formation of DNA Adducts with 4-HNE. Current Issues in Molecular Biology, 47(8), 645. https://doi.org/10.3390/cimb47080645

