Astragaloside IV Ameliorates Cerebral Ischemic-Reperfusion Injury via Improving Mitochondrial Function and Inhibiting Neuronal Apoptosis
Abstract
1. Introduction
2. Materials and Methods
2.1. Animals
2.2. Main Reagents
2.3. Methods
2.3.1. Animal Grouping and Modeling
2.3.2. Operational Method of Laser Speckle Blood Flow Imaging Monitoring Cerebral Blood Flow in Rat MCAO Model
2.3.3. Evaluation of Neurological Deficits Using Zea Longa Score
2.3.4. Detection of Neurobehavioral Function Using Modified Neurological Severity Scores (mNSS)
2.3.5. Detection of Cerebral Infarct Volume by TTC Staining
2.3.6. Observation of Neuronal Damage by Nissl Staining
2.3.7. Observation of Cerebral Cortex Histomorphology by HE Staining
2.3.8. Observation of Mitochondrial Morphology in Cerebral Cortex by TEM
2.3.9. Detection of ATP, ROS Levels, mPTP, and MMP by Kits
2.3.10. Immunofluorescence Detection of ROS, Bcl-2, and Bax in Rat Cerebral Cortex
2.3.11. Detection of Parkin, PINK1, Bcl-2, Bax, and p62 Protein Expression by Western Blot
2.3.12. Molecular Docking of AS-IV with PINK1 and Parkin
2.4. Statistical Analysis
3. Results
3.1. AS-IV Improves Cerebral Infarct Volume and Neurological Function
3.2. AS-IV Alleviates Neuronal and Cerebral Tissue Pathological AS-IV Damage After MCAO/R Injury
3.3. AS-IV Improves Mitochondrial Function and Cellular Ultrastructure After MCAO/R Injury
3.4. AS-IV Alleviates MCAO/R Injury by Regulating ROS, Bcl-2, and BAX
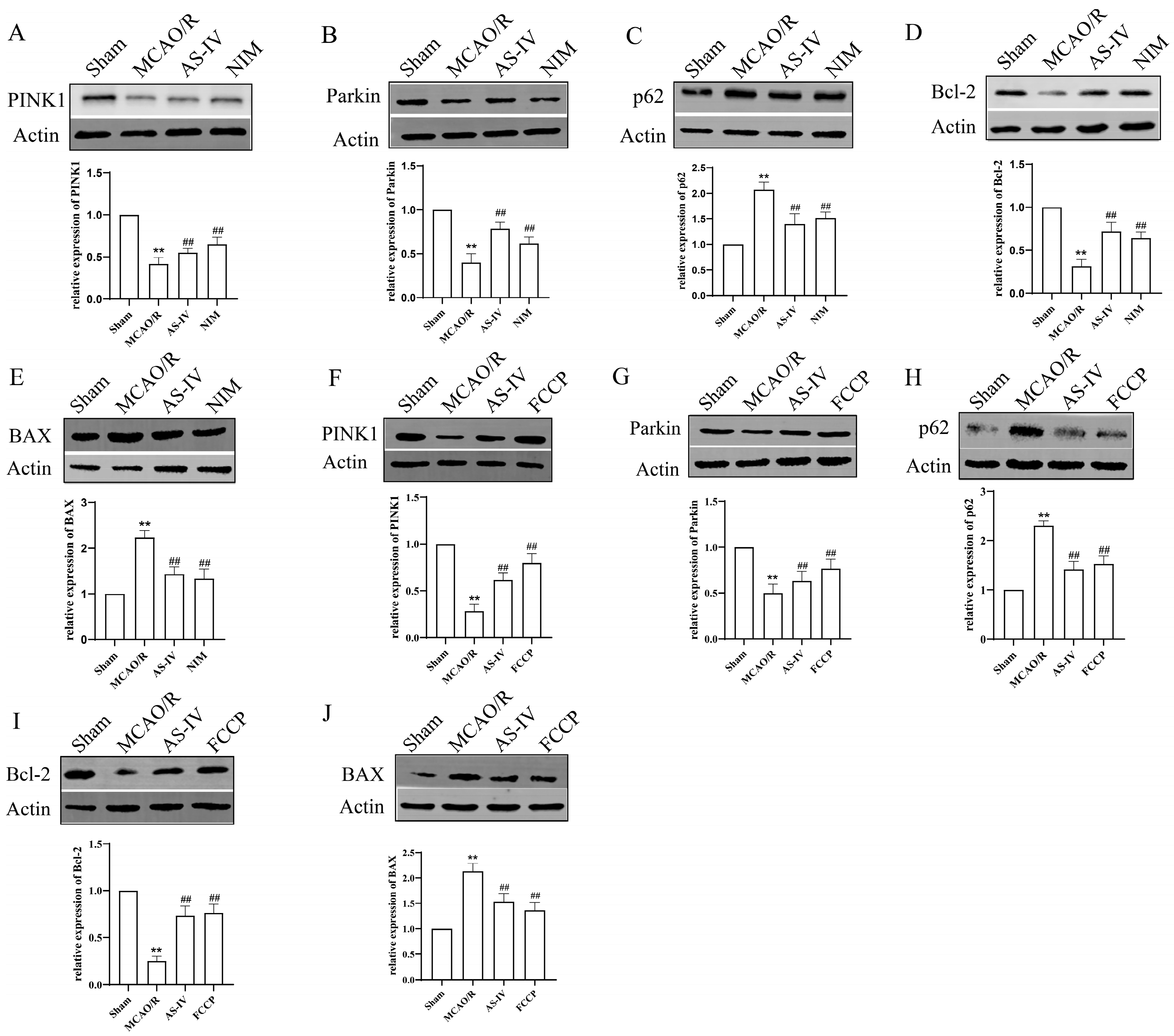
3.5. AS-IV Regulates PINK1/Parkin and Apoptotic Proteins to Alleviate MCAO/R Injury
3.6. AS-IV Docking to PINK1/Parkin and Binding Energy Analysis
4. Discussion
5. Conclusions
6. Limitations
Author Contributions
Funding
Institutional Review Board Statement
Informed Consent Statement
Data Availability Statement
Conflicts of Interest
Abbreviations
| AS-IV | Astragaloside IV | 
| ATP | Adenosine triphosphate | 
| BAX | Bcl-2-associated X protein | 
| Bcl-2 | B-cell lymphoma 2 | 
| CIRI | Cerebral ischemic-reperfusion injury | 
| MCAO/R | middle cerebral artery occlusion/reperfusion | 
| MMP | mitochondrial membrane potential | 
| mNSS | modified Neurological Severity Scores | 
| mPTP | mitochondrial permeability transition pore | 
| NIM | nimodipine | 
| p62 | sequestosome 1 | 
| Parkin | E3 ubiquitin-protein ligase Parkin | 
| PINK1 | PTEN-induced kinase 1 | 
| ROS | reactive oxygen species | 
| SOD | Sprague-Dawley | 
References
- DeLong, J.H.; Ohashi, S.N.; O’Connor, K.C.; Sansing, L.H. Inflammatory Responses After Ischemic Stroke. Semin. Immunopathol. 2022, 44, 625–648. [Google Scholar] [CrossRef] [PubMed]
- Li, L.; Shi, C.; Dong, F.; Xu, G.; Lei, M.; Zhang, F. Targeting pyroptosis to treat ischemic stroke: From molecular pathways to treatment strategy. Int. Immunopharmacol. 2024, 133, 112168. [Google Scholar] [CrossRef]
- Kamal, F.Z.; Lefter, R.; Jaber, H.; Balmus, I.M.; Ciobica, A.; Iordache, A.C. The Role of Potential Oxidative Biomarkers in the Prognosis of Acute Ischemic Stroke and the Exploration of Antioxidants as Possible Preventive and Treatment Options. Int. J. Mol. Sci. 2023, 24, 6389. [Google Scholar] [CrossRef]
- Jolugbo, P.; Ariëns, R.A.S. Thrombus Composition and Efficacy of Thrombolysis and Thrombectomy in Acute Ischemic Stroke. Stroke 2021, 52, 1131–1142. [Google Scholar] [CrossRef]
- Lan, X.; Wang, Q.; Liu, Y.; You, Q.; Wei, W.; Zhu, C.; Hai, D.; Cai, Z.; Yu, J.; Zhang, J.; et al. Isoliquiritigenin alleviates cerebral ischemia-reperfusion injury by reducing oxidative stress and ameliorating mitochondrial dysfunction via activating the Nrf2 pathway. Redox Biol. 2024, 77, 103406. [Google Scholar] [CrossRef]
- Ostaszewska-Bugajska, M.; Podgórska, A.; Szal, B. Markers for Mitochondrial ROS Status. Methods Mol. Biol. 2022, 2363, 199–213. [Google Scholar] [CrossRef]
- Yang, H.M. Mitochondrial Dysfunction in Neurodegenerative Diseases. Cells 2025, 14, 276. [Google Scholar] [CrossRef]
- Xu, X.; Pang, Y.; Fan, X. Mitochondria in oxidative stress, inflammation and aging: From mechanisms to therapeutic advances. Signal Transduct. Target. Ther. 2025, 10, 190. [Google Scholar] [CrossRef] [PubMed]
- Wen, P.; Sun, Z.; Gou, F.; Wang, J.; Fan, Q.; Zhao, D.; Yang, L. Oxidative stress and mitochondrial impairment: Key drivers in neurodegenerative disorders. Ageing Res. Rev. 2025, 104, 102667. [Google Scholar] [CrossRef]
- Zhou, Z.; Li, W.; Ni, L.; Wang, T.; Huang, Y.; Yu, Y.; Hu, M.; Liu, Y.; Wang, J.; Huang, X.; et al. Icariin improves oxidative stress injury during ischemic stroke via inhibiting mPTP opening. Mol. Med. 2024, 30, 77. [Google Scholar] [CrossRef] [PubMed]
- Wang, P.; Cui, Y.; Liu, Y.; Li, Z.; Bai, H.; Zhao, Y.; Chang, Y.Z. Mitochondrial ferritin alleviates apoptosis by enhancing mitochondrial bioenergetics and stimulating glucose metabolism in cerebral ischemia reperfusion. Redox Biol. 2022, 57, 102475. [Google Scholar] [CrossRef]
- Zhang, J.; Wu, C.; Gao, L.; Du, G.; Qin, X. Astragaloside IV derived from Astragalus membranaceus: A research review on the pharmacological effects. Adv. Pharmacol. 2020, 87, 89–112. [Google Scholar] [CrossRef]
- Jin, Z.; Gao, W.; Guo, F.; Liao, S.; Hu, M.; Yu, T.; Yu, S.; Shi, Q. Astragaloside IV alleviates neuronal ferroptosis in ischemic stroke by regulating fat mass and obesity-associated-N6-methyladenosine-acyl-CoA synthetase long-chain family member 4 axis. J. Neurochem. 2023, 166, 328–345. [Google Scholar] [CrossRef]
- Li, M.C.; Jia, J.T.; Wang, Y.X.; Zhuang, Y.M.; Wang, H.Y.; Lin, Z.Y.; Lu, Y.; Li, M.Z.; Wang, Z.J.; Zhao, H. Astragaloside IV promotes cerebral tissue restoration through activating AMPK- mediated microglia polarization in ischemic stroke rats. J. Ethnopharmacol. 2024, 334, 118532. [Google Scholar] [CrossRef]
- Zhang, C.; Shi, Z.; Xu, Q.; He, J.; Chen, L.; Lu, Z.; Huan, Q.; Wang, Y.; Cui, G. Astragaloside IV alleviates stroke-triggered early brain injury by modulating neuroinflammation and ferroptosis via the Nrf2/HO-1 signaling pathway. Acta Cir. Bras. 2023, 38, e380723. [Google Scholar] [CrossRef] [PubMed]
- Zhang, Y.; Zhang, Y.; Jin, X.F.; Zhou, X.H.; Dong, X.H.; Yu, W.T.; Gao, W.J. The Role of Astragaloside IV against Cerebral Ischemia/Reperfusion Injury: Suppression of Apoptosis via Promotion of P62-LC3-Autophagy. Molecules 2019, 24, 1838. [Google Scholar] [CrossRef] [PubMed]
- Sui, C.; Liu, Y.; Jiang, J.; Tang, J.; Yu, L.; Lv, G. Ginsenoside Rg1 ameliorates cerebral ischemia-reperfusion injury by regulating Pink1/ Parkin-mediated mitochondrial autophagy and inhibiting microglia NLRP3 activation. Brain Res. Bull. 2024, 216, 111043. [Google Scholar] [CrossRef]
- Chen, C.; Zhang, Z.; Du, B.; Lv, C. Vitexin alleviates cerebral ischemia/reperfusion injury by regulating mitophagy via the SIRT1/PINK1/Parkin pathway. Brain Res. Bull. 2025, 227, 111404. [Google Scholar] [CrossRef] [PubMed]
- Lou, G.; Palikaras, K.; Lautrup, S.; Scheibye-Knudsen, M.; Tavernarakis, N.; Fang, E.F. Mitophagy and Neuroprotection. Trends Mol. Med. 2020, 26, 8–20. [Google Scholar] [CrossRef]
- Narendra, D.P.; Youle, R.J. The role of PINK1-Parkin in mitochondrial quality control. Nat. Cell Biol. 2024, 26, 1639–1651. [Google Scholar] [CrossRef]
- Sun, B.; Ding, P.; Song, Y.; Zhou, J.; Chen, X.; Peng, C.; Liu, S. FDX1 downregulation activates mitophagy and the PI3K/AKT signaling pathway to promote hepatocellular carcinoma progression by inducing ROS production. Redox Biol. 2024, 75, 103302. [Google Scholar] [CrossRef]
- Xie, X.Q.; Yang, Y.; Wang, Q.; Liu, H.F.; Fang, X.Y.; Li, C.L.; Jiang, Y.Z.; Wang, S.; Zhao, H.Y.; Miao, J.Y.; et al. Targeting ATAD3A-PINK1-mitophagy axis overcomes chemoimmunotherapy resistance by redirecting PD-L1 to mitochondria. Cell Res. 2023, 33, 215–228. [Google Scholar] [CrossRef]
- Li, J.; Yang, D.; Li, Z.; Zhao, M.; Wang, D.; Sun, Z.; Wen, P.; Dai, Y.; Gou, F.; Ji, Y.; et al. PINK1/Parkin-mediated mitophagy in neurodegenerative diseases. Ageing Res. Rev. 2023, 84, 101817. [Google Scholar] [CrossRef]
- Uoselis, L.; Nguyen, T.N.; Lazarou, M. Mitochondrial degradation: Mitophagy and beyond. Mol. Cell 2023, 83, 3404–3420. [Google Scholar] [CrossRef] [PubMed]
- Antico, O.; Thompson, P.W.; Hertz, N.T.; Muqit, M.M.K.; Parton, L.E. Targeting mitophagy in neurodegenerative diseases. Nat. Rev. Drug Discov. 2025, 24, 276–299. [Google Scholar] [CrossRef] [PubMed]
- Liu, H.; Song, Y.; Wang, H.; Zhou, Y.; Xu, M.; Xian, J. Deciphering the Power of Resveratrol in Mitophagy: From Molecular Mechanisms to Therapeutic Applications. Phytother. Res. PTR 2025, 39, 1319–1343. [Google Scholar] [CrossRef]
- Feske, S.K. Ischemic Stroke. Am. J. Med. 2021, 134, 1457–1464. [Google Scholar] [CrossRef]
- Dave, K.M.; Stolz, D.B.; Manickam, D.S. Delivery of mitochondria-containing extracellular vesicles to the BBB for ischemic stroke therapy. Expert Opin. Drug Deliv. 2023, 20, 1769–1788. [Google Scholar] [CrossRef] [PubMed]
- Ouyang, L.; Xia, W.; Al-Alwany, A.A.; Gupta, R.; Sapaev, I.; Almalki, S.G.; Almawash, S.; Ziyad, R.A.; Alawadi, A.H.; Alsalamy, A. Ischemic Stroke and Autophagy: The Roles of Long Non-Coding RNAs. Curr. Neuropharmacol. 2024, 23, 85–97. [Google Scholar] [CrossRef]
- Wang, C.; Gu, L.; Zhang, Y.; Gao, Y.; Jian, Z.; Xiong, X. Bibliometric insights into the inflammation and mitochondrial stress in ischemic stroke. Exp. Neurol. 2024, 378, 114845. [Google Scholar] [CrossRef]
- Li, X.; Han, Z.; Wang, T.; Ma, C.; Li, H.; Lei, H.; Yang, Y.; Wang, Y.; Pei, Z.; Liu, Z.; et al. Cerium oxide nanoparticles with antioxidative neurorestoration for ischemic stroke. Biomaterials 2022, 291, 121904. [Google Scholar] [CrossRef]
- Liu, K.; Zhou, Y.; Song, X.; Zeng, J.; Wang, Z.; Wang, Z.; Zhang, H.; Xu, J.; Li, W.; Gong, Z.; et al. Baicalin attenuates neuronal damage associated with SDH activation and PDK2-PDH axis dysfunction in early reperfusion. Phytomed. Int. J. Phytother. Phytopharm. 2024, 129, 155570. [Google Scholar] [CrossRef]
- Liu, C.D.; Peng, Q.; Wang, S.Y.; Deng, Y.; Li, Z.Y.; Xu, Z.H.; Wu, L.; Zhang, Y.D.; Duan, R. Circ_0008146 Exacerbates Ferroptosis via Regulating the miR-342-5p/ACSL4 Axis After Cerebral Ischemic/Reperfusion. J. Inflamm. Res. 2024, 17, 4957–4973. [Google Scholar] [CrossRef]
- Xu, Z.; Li, Y.; Pi, P.; Yi, Y.; Tang, H.; Zhang, Z.; Xiong, H.; Lei, B.; Shi, Y.; Li, J.; et al. B. glomerulata promotes neuroprotection against ischemic stroke by inhibiting apoptosis through the activation of PI3K/AKT/mTOR pathway. Phytomed. Int. J. Phytother. Phytopharm. 2024, 132, 155817. [Google Scholar] [CrossRef] [PubMed]
- Xie, W.; Zhu, T.; Zhou, P.; Xu, H.; Meng, X.; Ding, T.; Nan, F.; Sun, G.; Sun, X. Notoginseng leaf triterpenes ameliorates mitochondrial oxidative injury via the NAMPT-SIRT1/2/3 signaling pathways in cerebral ischemic model rats. J. Ginseng Res. 2023, 47, 199–209. [Google Scholar] [CrossRef] [PubMed]
- Rao, J.; Wu, Y.; Fan, X.; Yang, S.; Jiang, L.; Dong, Z.; Chen, S. Facilitating Mitophagy via Pink1/Parkin2 Signaling Is Essential for the Neuroprotective Effect of β-Caryophyllene against CIR-Induced Neuronal Injury. Brain Sci. 2022, 12, 868. [Google Scholar] [CrossRef]
- Ji, Z.J.; Shi, Y.; Li, X.; Hou, R.; Yang, Y.; Liu, Z.Q.; Duan, X.C.; Liu, Q.; Chen, W.D.; Peng, D.Y. Neuroprotective Effect of Taohong Siwu Decoction on Cerebral Ischemia/Reperfusion Injury via Mitophagy-NLRP3 Inflammasome Pathway. Front. Pharmacol. 2022, 13, 910217. [Google Scholar] [CrossRef]
- Li, X.; Guan, L.; Liu, Z.; Du, Z.; Yuan, Q.; Zhou, F.; Yang, X.; Lv, M.; Lv, L. Ubiquitination of ATAD3A by TRIM25 exacerbates cerebral ischemia-reperfusion injury via regulating PINK1/Parkin signaling pathway-mediated mitophagy. Free Radic. Biol. Med. 2024, 224, 757–769. [Google Scholar] [CrossRef]
- Peng, C.; Li, X.; Ao, F.; Li, T.; Guo, J.; Liu, J.; Zhang, X.; Gu, J.; Mao, J.; Zhou, B. Mitochondrial ROS driven by NOX4 upregulation promotes hepatocellular carcinoma cell survival after incomplete radiofrequency ablation by inducing of mitophagy via Nrf2/PINK1. J. Transl. Med. 2023, 21, 218. [Google Scholar] [CrossRef] [PubMed]
- Jin, Z.; Chang, B.; Wei, Y.; Yang, Y.; Zhang, H.; Liu, J.; Piao, L.; Bai, L. Curcumin exerts chondroprotective effects against osteoarthritis by promoting AMPK/PINK1/Parkin-mediated mitophagy. Biomed. Pharmacother. 2022, 151, 113092. [Google Scholar] [CrossRef]
- Wang, Y.; Long, L.; Luo, Q.; Huang, X.; Zhang, Y.; Meng, X.; Chen, D. Aflatoxin B1 induces ROS-dependent mitophagy by modulating the PINK1/Parkin pathway in HepG2 cells. Basic Clin. Pharmacol. Toxicol. 2024, 135, 195–209. [Google Scholar] [CrossRef] [PubMed]
- Wang, H.; Ye, J.; Peng, Y.; Ma, W.; Chen, H.; Sun, H.; Feng, Z.; He, W.; Li, G.; Chu, S.; et al. CKLF induces microglial activation via triggering defective mitophagy and mitochondrial dysfunction. Autophagy 2024, 20, 590–613. [Google Scholar] [CrossRef]
- Wang, L.; Liu, C.; Wang, L.; Tang, B. Astragaloside IV mitigates cerebral ischaemia-reperfusion injury via inhibition of P62/Keap1/Nrf2 pathway-mediated ferroptosis. Eur. J. Pharmacol. 2023, 944, 175516. [Google Scholar] [CrossRef]
- Chen, J.; Bao, J.; Jiang, X.; Yu, W.; Han, Y.; Zhang, X.; Zhang, Y.; Deng, G. Astragaloside IV protects brain cells from ischemia-reperfusion injury by inhibiting ryanodine receptor expression and reducing the expression of P-Src and P-GRK2. Sci. Rep. 2024, 14, 17497. [Google Scholar] [CrossRef]
- Ding, Y.; Jie, K.; Xin, L.; Shao, B. Astragaloside IV plays a neuroprotective role by promoting PPARγ in cerebral ischemia-reperfusion rats. Behav. Brain Res. 2025, 476, 115267. [Google Scholar] [CrossRef]
- Hou, Y.; Yan, Z.; Wan, H.; Yang, J.; Ding, Z.; He, Y. A Combination of Astragaloside IV and Hydroxysafflor Yellow A Attenuates Cerebral Ischemia-Reperfusion Injury via NF-κB/NLRP3/Caspase-1/GSDMD Pathway. Brain Sci. 2024, 14, 781. [Google Scholar] [CrossRef] [PubMed]
- Shi, G.; Chen, J.; Zhang, C.; Zhao, X.; Wang, J.; Chen, R.; Xu, R.; Song, D.; Zhang, X. Astragaloside IV promotes cerebral angiogenesis and neurological recovery after focal ischemic stroke in mice via activating PI3K/Akt/mTOR signaling pathway. Heliyon 2023, 9, e22800. [Google Scholar] [CrossRef] [PubMed]






| Disclaimer/Publisher’s Note: The statements, opinions and data contained in all publications are solely those of the individual author(s) and contributor(s) and not of MDPI and/or the editor(s). MDPI and/or the editor(s) disclaim responsibility for any injury to people or property resulting from any ideas, methods, instructions or products referred to in the content. | 
© 2025 by the authors. Licensee MDPI, Basel, Switzerland. This article is an open access article distributed under the terms and conditions of the Creative Commons Attribution (CC BY) license (https://creativecommons.org/licenses/by/4.0/).
Share and Cite
He, T.; Zhou, X.; Wang, X.; Zhao, Y.; Liu, Z.; Gao, P.; Gao, W.; Jin, X. Astragaloside IV Ameliorates Cerebral Ischemic-Reperfusion Injury via Improving Mitochondrial Function and Inhibiting Neuronal Apoptosis. Curr. Issues Mol. Biol. 2025, 47, 597. https://doi.org/10.3390/cimb47080597
He T, Zhou X, Wang X, Zhao Y, Liu Z, Gao P, Gao W, Jin X. Astragaloside IV Ameliorates Cerebral Ischemic-Reperfusion Injury via Improving Mitochondrial Function and Inhibiting Neuronal Apoptosis. Current Issues in Molecular Biology. 2025; 47(8):597. https://doi.org/10.3390/cimb47080597
Chicago/Turabian StyleHe, Tongtong, Xiaohong Zhou, Xiaorong Wang, Yanmeng Zhao, Zhenyi Liu, Ping Gao, Weijuan Gao, and Xiaofei Jin. 2025. "Astragaloside IV Ameliorates Cerebral Ischemic-Reperfusion Injury via Improving Mitochondrial Function and Inhibiting Neuronal Apoptosis" Current Issues in Molecular Biology 47, no. 8: 597. https://doi.org/10.3390/cimb47080597
APA StyleHe, T., Zhou, X., Wang, X., Zhao, Y., Liu, Z., Gao, P., Gao, W., & Jin, X. (2025). Astragaloside IV Ameliorates Cerebral Ischemic-Reperfusion Injury via Improving Mitochondrial Function and Inhibiting Neuronal Apoptosis. Current Issues in Molecular Biology, 47(8), 597. https://doi.org/10.3390/cimb47080597
 
        


 
                        