Investigating LATS1 and NF-κB as Predictors of Radiotherapy Response in Cervical Cancer
Abstract
1. Introduction
2. Materials and Methods
2.1. Study Design and Ethical Clearance
2.2. Patient and Radiation Response Criteria
2.3. Reagents
2.4. Sample Preparation
2.5. ELISA Assay for LATS1 Level
2.6. ELISA Assay for NF-κB Level
2.7. Statistical Analysis
3. Results
3.1. Clinical Data
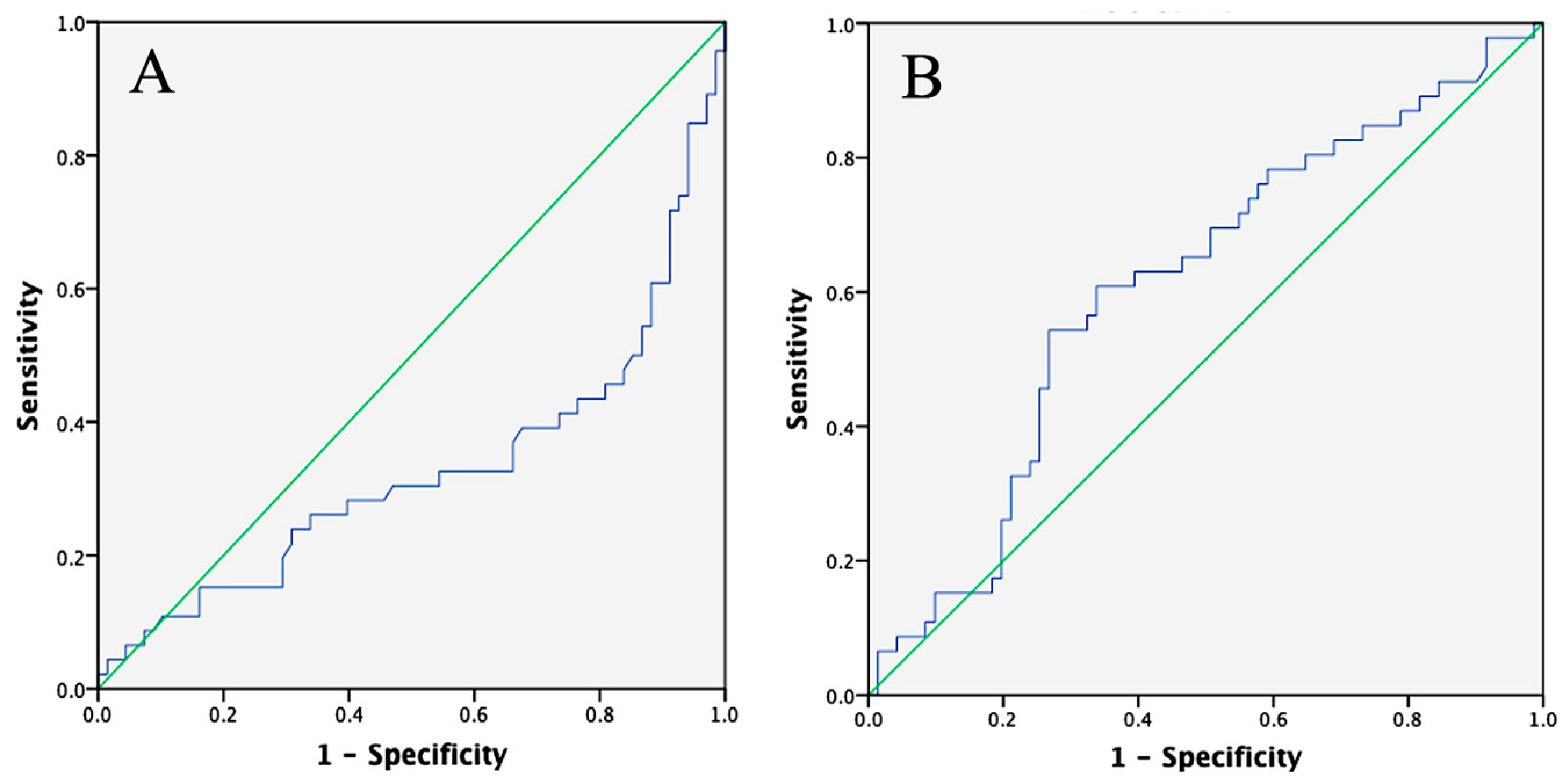
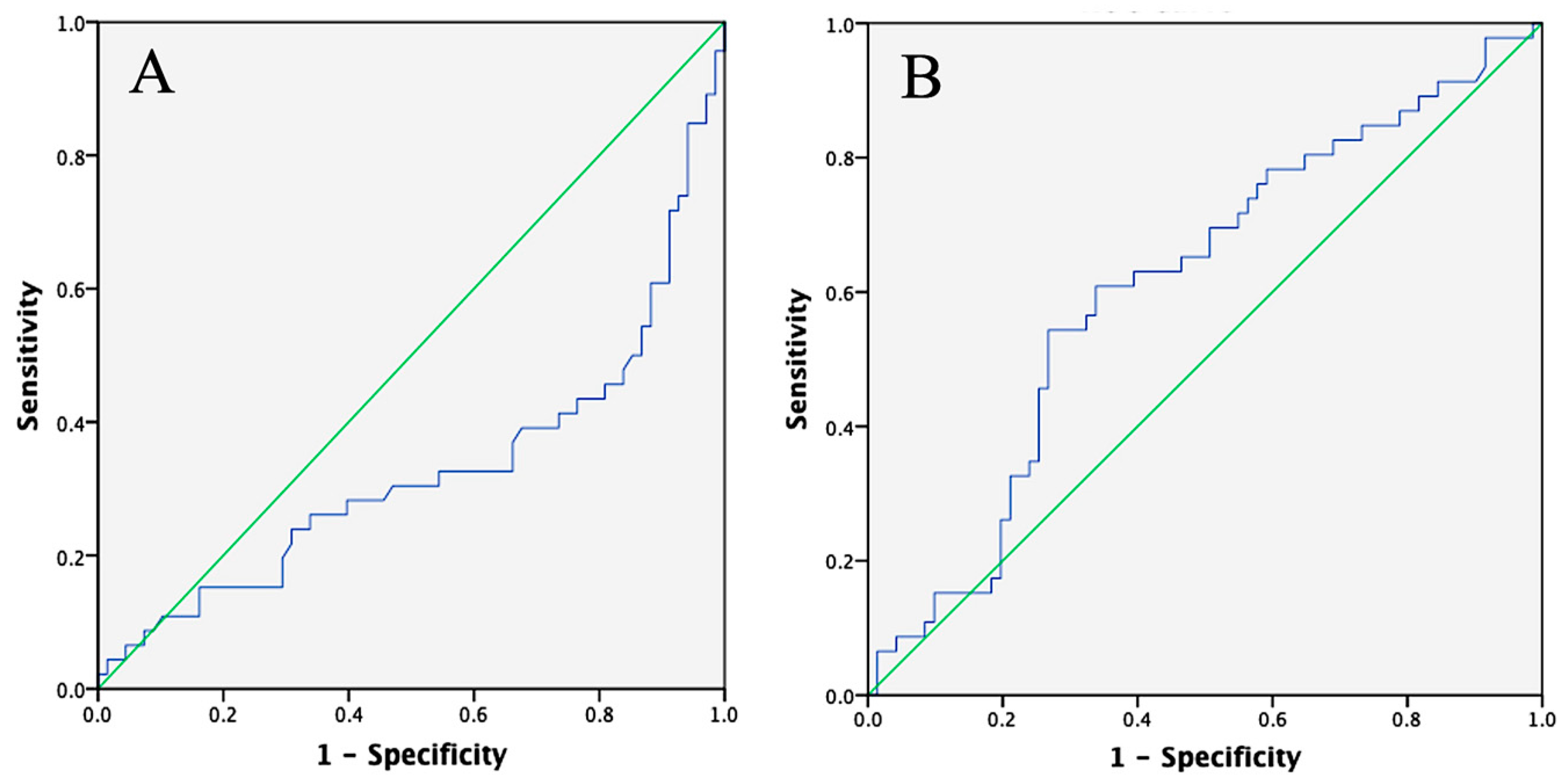
3.2. Correlation Between LATS1 and NF-κB Levels of Expression and Radiation Therapy Response
4. Discussion
5. Conclusions
Author Contributions
Funding
Institutional Review Board Statement
Informed Consent Statement
Data Availability Statement
Acknowledgments
Conflicts of Interest
References
- Singh, D.; Vignat, J.; Lorenzoni, V.; Eslahi, M.; Ginsburg, O.; Lauby-Secretan, B.; Arbyn, M.; Basu, P.; Bray, F.; Vaccarella, S. Global estimates of incidence and mortality of cervical cancer in 2020: A baseline analysis of the WHO Global Cervical Cancer Elimination Initiative. Lancet Glob. Health 2020, 11, e197–e206. [Google Scholar] [CrossRef] [PubMed]
- Cervical Cancer Statistics. Key Facts About Cervical Cancer. Available online: https://www.cancer.org/cancer/types/cervical-cancer/about/key-statistics.html (accessed on 9 April 2025).
- ICO/IARC Information Centre on HPV and Cancer. Human Papillomavirus and Related Cancers 2023; Scientific Research Publishing: Chengdu, China, 2010. [Google Scholar]
- Mauludiyah, I.; Andarini, S.; Holipah, H.; Muflikah, L.; Zuhriyah, L. Cervical Cancer awareness and screening in Malang City, Indonesia: Sociodemographic determinants. J. Med. Pharm. Chem. Res. 2025, 7, 714–724. [Google Scholar]
- Domingo, E.J.; Noviani, R.; Noor, M.R.M.; Ngelangel, C.A.; Limpaphayom, K.K.; Van Thuan, T.; Louie, K.S.; Quinn, M.A. Epidemiology and Prevention of Cervical Cancer in Indonesia, Malaysia, the Philippines, Thailand and Vietnam. Vaccine 2008, 26, M71–M79. [Google Scholar] [CrossRef]
- Rojas-Espaillat, L.A.; Rose, P.G. Management of locally advanced cervical cancer. Curr. Opin. Oncol. 2005, 17, 485–492. [Google Scholar] [CrossRef]
- Green, J.A.; Kirwan, J.M.; Tierney, J.F.; Symonds, P.; Fresco, L.; Collingwood, M.; Williams, C.J. Survival and recurrence after concomitant chemotherapy and radiotherapy for cancer of the uterine cervix: A systematic review and meta-analysis. Lancet 2001, 358, 781–786. [Google Scholar] [CrossRef]
- Toulany, M. Targeting DNA double-strand break repair pathways to improve radiotherapy response. Genes 2019, 10, 25. [Google Scholar] [CrossRef] [PubMed]
- Carlos-Reyes, A.; Muñiz-Lino, M.A.; Romero-Garcia, S.; López-Camarillo, C.; Hernández-de la Cruz, O.N. Biological Adaptations of Tumor Cells to Radiation Therapy. Front. Oncol. 2021, 11, 718636. [Google Scholar] [CrossRef]
- Wu, Y.; Song, Y.; Wang, R.; Wang, T. Molecular mechanisms of tumor resistance to radiotherapy. Mol. Cancer 2023, 22, 96. [Google Scholar] [CrossRef]
- Lv, L.; Zhou, X. Targeting Hippo signaling in cancer: Novel perspectives and therapeutic potential. MedComm 2023, 4, e375. [Google Scholar] [CrossRef]
- Fu, M.; Hu, Y.; Lan, T.; Guan, K.L.; Luo, T.; Luo, M. The Hippo signalling pathway and its implications in human health and diseases. Signal Transduct. Target Ther. 2022, 7, 376. [Google Scholar] [CrossRef]
- Han, Y. Analysis of the role of the Hippo pathway in cancer. J. Transl. Med. 2019, 17, 116. [Google Scholar] [CrossRef]
- Liu, X.; Wang, Y.; Chen, B.; Chan, W.N.; Mui, C.W.; Cheung, A.H.; Zhang, J.; Wong, K.Y.; Yu, J.; Kang, W.; et al. Targeting the Hippo Pathway in Gastric Cancer and Other Malignancies in the Digestive System: From Bench to Bedside. Biomedicines 2022, 10, 2512. [Google Scholar] [CrossRef]
- Zheng, K.W.; Zhang, C.H.; Wu, W.; Zhu, Z.; Gong, J.P.; Li, C.M. FNBP4 is a Potential Biomarker Associated with Cuproptosis and Promotes Tumor Progression in Hepatocellular Carcinoma. Int. J. Gen. Med. 2023, 16, 467–480. [Google Scholar] [CrossRef]
- Human Protein Atlas. Human Protein Atlas. Available online: https://www.proteinatlas.org/ENSG00000131023-LATS1 (accessed on 16 September 2024).
- Siam, R.; Harada, R.; Cadieux, C.; Battat, R.; Vadnais, C.; Nepveu, A. Transcriptional activation of the Lats1 tumor suppressor gene in tumors of CUX1 transgenic mice. Mol. Cancer 2009, 8, 60. [Google Scholar] [CrossRef] [PubMed]
- Liu, S.; Song, L.; Zhang, L.; Zeng, S.; Gao, F. MiR-21 modulates resistance of HR-HPV positive cervical cancer cells to radiation through targeting LATS1. Biochem. Biophys. Res. Commun. 2015, 459, 679–685. [Google Scholar] [CrossRef] [PubMed]
- Jan, R.; Chaudhry, G.-E.-S. Understanding Apoptosis and Apoptotic Pathways Targeted Cancer Therapeutics. Adv. Pharm. Bull. 2019, 9, 205–218. [Google Scholar] [CrossRef] [PubMed]
- Zinatizadeh, M.R.; Schock, B.; Chalbatani, G.M.; Zarandi, P.K.; Jalali, S.A.; Miri, S.R. The Nuclear Factor Kappa B (NF-κB) signaling in cancer development and immune diseases. Genes Dis. 2021, 8, 287–297. [Google Scholar] [CrossRef]
- Borek, C. Antioxidants and Radiation Therapy. J. Nutr. 2004, 134, 3207S–3209S. [Google Scholar] [CrossRef]
- Baud, V.; Karin, M. Is NF-κB a good target for cancer therapy? Hopes and pitfalls. Nat. Rev. Drug Discov. 2009, 8, 33–40. [Google Scholar] [CrossRef]
- An, F.; Liu, Y.; Hu, Y. miR-21 inhibition of LATS1 promotes proliferation and metastasis of renal cancer cells and tumor stem cell phenotype. Oncol. Lett. 2017, 14, 4684–4688. [Google Scholar] [CrossRef]
- Eisenhauer, E.A.; Therasse, P.; Bogaerts, J.; Schwartz, L.H.; Sargent, D.; Ford, R.; Dancey, J.; Arbuck, S.; Gwyther, S.; Mooney, M.; et al. New response evaluation criteria in solid tumours: Revised RECIST guideline (version 1.1). Eur. J. Cancer 2009, 45, 228–247. [Google Scholar] [CrossRef]
- Genevet, A.; Wehr, M.C.; Brain, R.; Thompson, B.J.; Tapon, N. Kibra is a regulator of the Salvador/Warts/Hippo signaling network. Dev. Cell 2010, 18, 300–308. [Google Scholar] [CrossRef]
- Deng, J.; Zhang, W.; Liu, S.; An, H.; Tan, L.; Ma, L. LATS1 suppresses proliferation and invasion of cervical cancer. Mol. Med. Rep. 2017, 15, 1654–1660. [Google Scholar] [CrossRef]
- Nozaki, M.; Yabuta, N.; Fukuzawa, M.; Mukai, S.; Okamoto, A.; Sasakura, T.; Fukushima, K.; Naito, Y.; Longmore, G.D.; Nojima, H. LATS1/2 Kinases Trigger Self-Renewal of Cancer Stem Cells in Aggressive Oral Cancer. Oncotarget 2019, 10, 1014–1030. [Google Scholar] [CrossRef] [PubMed]
- Wang, D.; He, J.; Dong, J.; Meyer, T.F.; Xu, T. The HIPPO Pathway in Gynecological Malignancies. Am. J. Cancer Res. 2020, 10, 610–629. [Google Scholar]
- Baiocchi, G.; Begnami, M.D.; Fukazawa, E.M.; Oliveira, R.A.R.; Faloppa, C.C.; Kumagai, L.Y.; Badiglian-Filho, L.; Pellizzon, A.C.A.; Maia, M.A.C.; Jacinto, A.A.; et al. Prognostic value of nuclear factor κ B expression in patients with advanced cervical cancer undergoing radiation therapy followed by hysterectomy. J. Clin. Pathol. 2012, 65, 614–618. [Google Scholar] [CrossRef] [PubMed]
- Das, S.; Kumar Ray, D.; Mahapatra, E.; Biswas, S.; Sengupta, D.; Roy, M.; Mukherjee, S. AURKA/NFκB Axis: A Key Determinant of Radioresistance in Cervical Squamous Carcinoma Cells. Arch. Clin. Biomed. Res. 2022, 6, 707–721. [Google Scholar] [CrossRef]
- Verzella, D.; Pescatore, A.; Capece, D.; Vecchiotti, D.; Ursini, M.V.; Franzoso, G.; Alesse, E.; Zazzeroni, F. Life, death, and autophagy in cancer: NF-κB turns up everywhere. Cell Death Dis. 2020, 11, 210. [Google Scholar] [CrossRef]
- Zhu, H.; Tao, X.; Zhou, L.; Sheng, B.; Zhu, X.; Zhu, X. Expression of thioredoxin 1 and peroxiredoxins in squamous cervical carcinoma and its predictive role in NACT. BMC Cancer 2019, 19, 865. [Google Scholar] [CrossRef]
- Seo, S.U.; Woo, S.M.; Min, K.; Kwon, T.K. Itch and autophagy-mediated NF-κB activation contributes to inhibition of cathepsin D-induced sensitizing effect on anticancer drugs. Cell Death Dis. 2022, 13, 552. [Google Scholar] [CrossRef]
- Ge, Y.; Zhou, M.; Chen, C.; Wu, X.; Wang, X. Role of AMPK mediated pathways in autophagy and aging. Biochimie 2022, 195, 100–113. [Google Scholar] [CrossRef] [PubMed]
- Fan, X.Y.; Tian, C.; Wang, H.; Xu, Y.; Ren, K.; Zhang, B.-Y.; Gao, C.; Shi, Q.; Meng, G.; Zhang, L.-B.; et al. Activation of the AMPK-ULK1 pathway plays an important role in autophagy during prion infection. Sci. Rep. 2015, 5, 14728. [Google Scholar] [CrossRef] [PubMed]
- Meng, Z.; Moroishi, T.; Guan, K.L. Mechanisms of Hippo pathway regulation. Genes Dev. 2016, 30, 1–17. [Google Scholar] [CrossRef]
- Cytoskeleton Inc. YAP1 Grabs the Spotlight in Oncogenic Ras Addiction. 2015. Available online: https://www.cytoskeleton.com/pdf-storage/news/yap1-ras-oncogenic-review.pdf (accessed on 27 April 2025).
- Wang, K.; Degerny, C.; Xu, M.; Yang, X.J. YAP, TAZ, and Yorkie: A conserved family of signal-responsive transcriptional coregulators in animal development and human diseaseThis paper is one of a selection of papers published in this Special Issue, entitled CSBMCB’s 51st Annual Meeting—Epigenetics and Chromatin Dynamics, and has undergone the Journal’s usual peer review process. Biochem. Cell Biol. 2009, 87, 77–91. [Google Scholar] [CrossRef] [PubMed]
- Zhao, B.; Wei, X.; Li, W.; Udan, R.S.; Yang, Q.; Kim, J.; Xie, J.; Ikenoue, T.; Yu, J.; Li, L.; et al. Inactivation of YAP oncoprotein by the Hippo pathway is involved in cell contact inhibition and tissue growth control. Genes Dev. 2007, 21, 2747–2761. [Google Scholar] [CrossRef]
- Li, X.R.; Zhou, K.Q.; Yin, Z.; Gao, Y.L.; Yang, X. Knockdown of FBP1 enhances radiosensitivity in prostate cancer cells by activating autophagy. Neoplasma 2020, 67, 982–991. [Google Scholar] [CrossRef]
- He, C.; Mao, D.; Hua, G.; Lv, X.; Chen, X.; Angeletti, P.C.; Dong, J.; Remmenga, S.W.; Rodabaugh, K.J.; Zhou, J.; et al. The Hippo/YAP pathway interacts with EGFR signaling and HPV oncoproteins to regulate cervical cancer progression. EMBO Mol. Med. 2015, 7, 1426–1449. [Google Scholar] [CrossRef]


| Variable | Q1–Q4 | n (%) |
|---|---|---|
| Age (years) | 53 (43–79) | |
| Marital status | ||
| No information | 2 (1.7) | |
| Not married | 4 (3.5) | |
| Married | 87 (76.3) | |
| Married > 1 time(s) | 21 (18.4) | |
| Length of marriage (years) | 24 (18–43) | |
| Parity | 3 (2–7) | |
| 0 | 8 (7) | |
| 1 | 12 (10.5) | |
| 2 | 34 (29.8) | |
| >2 | 60 (52.6) | |
| Abortion | 0 (0–2) | |
| 0 | 86 (75.4) | |
| 1 | 21 (18.4) | |
| 2 | 7 (6.1) |
| Biomarkers | Radiosensitive (CR/PR) | Radioresistant (SD/PD) | Total | p-Value * |
|---|---|---|---|---|
| Median (Q1–Q4) | Median (Q1–Q4) | Median (Q1–Q4) | ||
| LATS1 (ng/mg) | 8.6 × 10−3 (2.9 × 10−3–7.6 × 10−2) | 4.9 × 10−2 (1.5 × 10−2–1.1 × 10−1) | 3.2 × 10−2 (6.3 × 10−3–1 × 10−1) | 0.001 |
| NF-κB (pg/mg) | 438.7 (71.2–736.3) | 291.7 (10.3–423.5) | 351 (23.1–622) | 0.045 |
| Biomarkers | n | Pre-Test Probability | Se | Sp | PPV | NPV | LR | Pre-Test Odds | Post-Test Odds | Post-Test Probability | 95% CI |
|---|---|---|---|---|---|---|---|---|---|---|---|
| LATS1 | 114 | 59.6 | 66.2 | 65.2 | 73.8 | 56.6 | 1.7 | 1.48 | 2.51 | 71.5 | 62–79 |
| NF-κB | 114 | 59.6 | 61.8 | 63.0 | 71.2 | 52.7 | 1.5 | 1.48 | 2.23 | 69.0 | 60–77 |
Disclaimer/Publisher’s Note: The statements, opinions and data contained in all publications are solely those of the individual author(s) and contributor(s) and not of MDPI and/or the editor(s). MDPI and/or the editor(s) disclaim responsibility for any injury to people or property resulting from any ideas, methods, instructions or products referred to in the content. |
© 2025 by the authors. Licensee MDPI, Basel, Switzerland. This article is an open access article distributed under the terms and conditions of the Creative Commons Attribution (CC BY) license (https://creativecommons.org/licenses/by/4.0/).
Share and Cite
Putra, A.D.; Andrijono; Winarto, H.; Prijanti, A.R.; Lisnawati; Pakasi, T.A.; Gandamihardja, S.; Wirasugianto, J.; Amelia; Syariatin, L. Investigating LATS1 and NF-κB as Predictors of Radiotherapy Response in Cervical Cancer. Curr. Issues Mol. Biol. 2025, 47, 365. https://doi.org/10.3390/cimb47050365
Putra AD, Andrijono, Winarto H, Prijanti AR, Lisnawati, Pakasi TA, Gandamihardja S, Wirasugianto J, Amelia, Syariatin L. Investigating LATS1 and NF-κB as Predictors of Radiotherapy Response in Cervical Cancer. Current Issues in Molecular Biology. 2025; 47(5):365. https://doi.org/10.3390/cimb47050365
Chicago/Turabian StylePutra, Andi Darma, Andrijono, Hariyono Winarto, Ani Retno Prijanti, Lisnawati, Trevino Aristarkus Pakasi, Supriadi Gandamihardja, Jourdan Wirasugianto, Amelia, and Lasmini Syariatin. 2025. "Investigating LATS1 and NF-κB as Predictors of Radiotherapy Response in Cervical Cancer" Current Issues in Molecular Biology 47, no. 5: 365. https://doi.org/10.3390/cimb47050365
APA StylePutra, A. D., Andrijono, Winarto, H., Prijanti, A. R., Lisnawati, Pakasi, T. A., Gandamihardja, S., Wirasugianto, J., Amelia, & Syariatin, L. (2025). Investigating LATS1 and NF-κB as Predictors of Radiotherapy Response in Cervical Cancer. Current Issues in Molecular Biology, 47(5), 365. https://doi.org/10.3390/cimb47050365

