Improvement of Docetaxel Efficacy through Simultaneous Blockade of Transcription Factors NF-κB and STAT-3 Using Pentoxifylline and Stattic in Prostate Cancer Cells
Abstract
1. Introduction
2. Materials and Methods
2.1. Cell Line and Culture Conditions
2.2. Drugs and Reagents
2.3. In Vitro Treatments
2.4. Apoptosis
2.5. Proliferation Assay
2.6. Colony Number Formation Assay
2.7. Assessment of Pan-Caspase Activity
2.8. Evaluation of Caspase-3, Caspase-8, and Caspase-9 Activity
2.9. Determination of Mitochondrial Membrane Potential (Δψm)
2.10. Cell Cycle Analysis
2.11. Determination of Pro-/Antiapoptotic Gene Expression by Real-Time qRT-PCR
2.12. Phosphorylation State of p65 and STAT-3 Transcription Factors
2.13. Statistical Analysis
3. Results
3.1. Effect of PTX, STT, and DTX Drugs on the Induction of Apoptosis in Metastatic Prostate Cancer DU-145 Cells
3.2. Combinations of Pentoxifylline + Stattic + Docetaxel Led to the Enhanced Induction of Apoptosis in Metastatic Prostate Cancer DU-145 Cells
3.3. The Combined Treatment of Pentoxifylline + Stattic + Docetaxel Inhibits DU-145 Cellular Proliferation
3.4. Pentoxifylline + Stattic per se and Combined with Docetaxel Blocked the Clonogenic Capacity of DU-145 Cells
3.5. Caspase Activity from DU-145 Cells after In Vitro Treatment with Docetaxel, Pentoxifylline, and Stattic or Combinations
3.6. Increased Loss of Mitochondrial Membrane Potential (Δψm) after In Vitro Treatment of DU-145 Cells with Pentoxifylline, Stattic, Docetaxel, or Combinations
3.7. DU-145 Cells Were Arrested Predominantly in the G1 Phase of the Cell Cycle after Treatments with Pentoxifylline + Stattic + Docetaxel
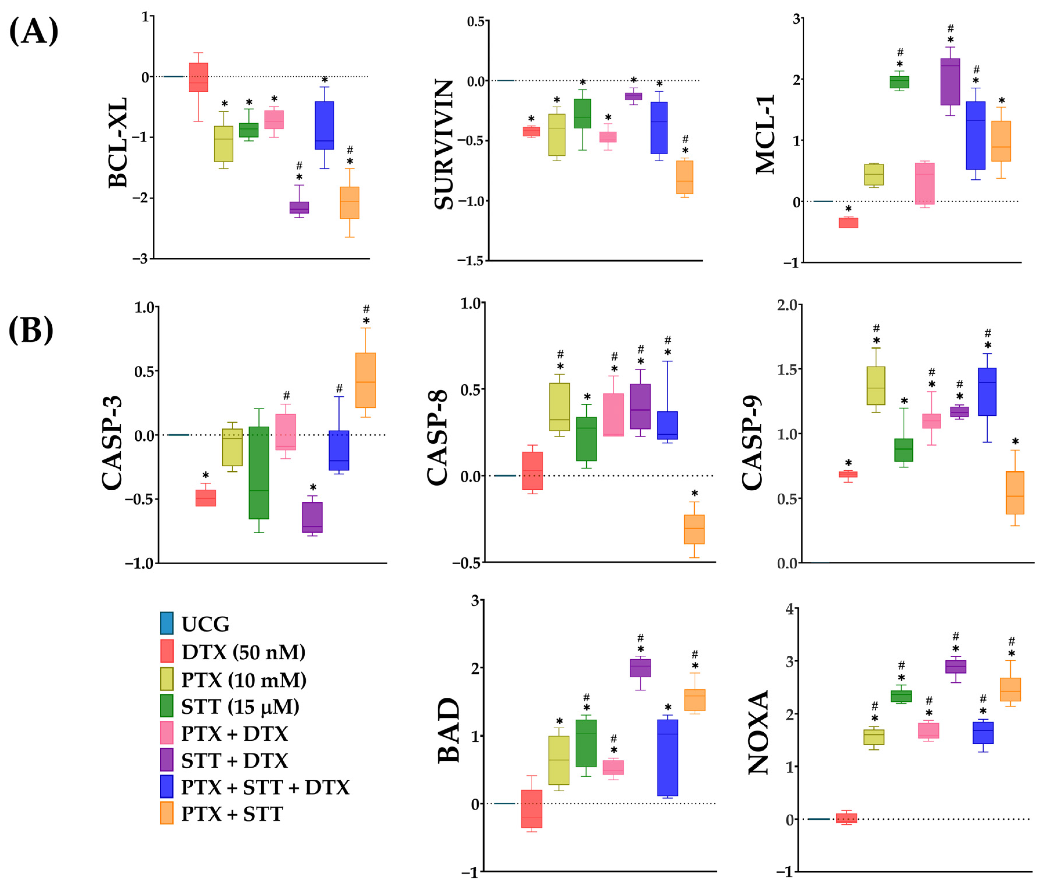
3.8. Increased Activity of Proapoptotic Genes and Decreased Expression of Antiapoptotic Genes in DU-145 Cells after Exposure to Pentoxifylline + Stattic in the Presence or Not of Docetaxel
3.9. Pentoxifylline and Stattic Treatments Alone and Mostly Combined Led to a Significant Decrease in p65 and STAT-3 Phosphorylation in DU-145 Cells
4. Discussion
5. Conclusions
Supplementary Materials
Author Contributions
Funding
Institutional Review Board Statement
Informed Consent Statement
Data Availability Statement
Acknowledgments
Conflicts of Interest
References
- Bray, F.; Laversanne, M.; Sung, H.; Ferlay, J.; Siegel, R.L.; Soerjomataram, I.; Jemal, A. Global cancer statistics 2022: GLOBOCAN estimates of incidence and mortality worldwide for 36 cancers in 185 countries. CA Cancer J. Clin. 2024, 74, 229–263. [Google Scholar] [CrossRef]
- Rebello, R.J.; Oing, C.; Knudsen, K.E.; Loeb, S.; Johnson, D.C.; Reiter, R.E.; Gillessen, S.; Van der Kwast, T.; Bristow, R.G. Prostate cancer. Nat. Rev. Dis. Primers 2021, 7, 9. [Google Scholar] [CrossRef] [PubMed]
- Karantanos, T.; Corn, P.G.; Thompson, T.C. Prostate cancer progression after androgen deprivation therapy: Mechanisms of castrate resistance and novel therapeutic approaches. Oncogene 2013, 32, 5501–5511. [Google Scholar] [CrossRef] [PubMed]
- Sadrkhanloo, M.; Paskeh, M.D.A.; Hashemi, M.; Raesi, R.; Motahhary, M.; Saghari, S.; Sharifi, L.; Bokaie, S.; Mirzaei, S.; Entezari, M.; et al. STAT3 signaling in prostate cancer progression and therapy resistance: An oncogenic pathway with diverse functions. Biomed. Pharmacother. 2023, 158, 114168. [Google Scholar] [CrossRef]
- Martel, C.L.; Gumerlock, P.H.; Meyers, F.J.; Lara, P.N. Current strategies in the management of hormone refractory prostate cancer. Cancer Treat. Rev. 2003, 29, 171–187. [Google Scholar] [CrossRef] [PubMed]
- Chen, M.K.; Liang, Z.J.; Luo, D.S.; Xue, K.Y.; Liao, D.Y.; Li, Z.; Yu, Y.; Chen, Z.S.; Zhao, S.C. Abiraterone, Orteronel, Enzalutamide and Docetaxel: Sequential or Combined Therapy? Front. Pharmacol. 2022, 13, 843110. [Google Scholar] [CrossRef]
- Yang, X.; Chen, H.; Xu, D.; Chen, X.; Li, Y.; Tian, J.; Wang, D.; Pang, J. Efficacy and safety of Androgen Deprivation Therapy (ADT) combined with modified docetaxel chemotherapy versus ADT combined with standard docetaxel chemotherapy in patients with metastatic castration-resistant prostate cancer: Study protocol for a multicentre prospective randomized controlled trial. BMC Cancer 2022, 22, 177. [Google Scholar]
- Ingrosso, G.; Detti, B.; Scartoni, D.; Lancia, A.; Giacomelli, I.; Baki, M.; Carta, G.; Livi, L.; Santoni, R. Current therapeutic options in metastatic castration-resistant prostate cancer. Semin. Oncol. 2018, 45, 303–315. [Google Scholar] [CrossRef]
- Mahon, K.L.; Henshall, S.M.; Sutherland, R.L.; Horvath, L.G. Pathways of chemotherapy resistance in castration-resistant prostate cancer. Endocr. Relat. Cancer 2011, 18, R103–R123. [Google Scholar] [CrossRef]
- Staal, J.; Beyaert, R. Inflammation and NF-κB Signaling in Prostate Cancer: Mechanisms and Clinical Implications. Cells 2018, 7, 122. [Google Scholar] [CrossRef]
- Fan, Y.; Mao, R.; Yang, J. NF-kappaB and STAT3 signaling pathways collaboratively link inflammation to cancer. Protein Cell 2013, 4, 176–185. [Google Scholar] [CrossRef]
- Don-Doncow, N.; Marginean, F.; Coleman, I.; Nelson, P.S.; Ehrnstrom, R.; Krzyzanowska, A.; Morrissey, C.; Hellsten, R.; Bjartell, A. Expression of STAT3 in Prostate Cancer Metastases. Eur. Urol. 2017, 71, 313–316. [Google Scholar] [CrossRef] [PubMed]
- Yu, H.; Pardoll, D.; Jove, R. STATs in cancer inflammation and immunity: A leading role for STAT3. Nat. Rev. Cancer 2009, 9, 798–809. [Google Scholar] [CrossRef]
- Taniguchi, K.; Karin, M. NF-κB, inflammation, immunity and cancer: Coming of age. Nat. Rev. Immunol. 2018, 18, 309–324. [Google Scholar] [CrossRef] [PubMed]
- O’Neill, A.J.; Prencipe, M.; Dowling, C.; Fan, Y.; Mulrane, L.; Gallagher, W.M.; O’Connor, D.; O’Connor, R.; Devery, A.; Corcoran, C.; et al. Characterisation and manipulation of docetaxel resistant prostate cancer cell lines. Mol. Cancer 2011, 10, 126. [Google Scholar] [CrossRef] [PubMed]
- Schust, J.; Sperl, B.; Hollis, A.; Mayer, T.U.; Berg, T. Stattic: A small-molecule inhibitor of STAT3 activation and dimerization. Chem. Biol. 2006, 13, 1235–1242. [Google Scholar] [CrossRef]
- Pan, Y.; Zhou, F.; Zhang, R.; Claret, F.X. Stat3 inhibitor Stattic exhibits potent antitumor activity and induces chemo- and radio-sensitivity in nasopharyngeal carcinoma. PLoS ONE 2013, 8, e54565. [Google Scholar] [CrossRef]
- Zhang, Q.; Zhang, C.; He, J.; Guo, Q.; Hu, D.; Yang, X.; Wang, J.; Kang, Y.; She, R.; Wang, Z.; et al. STAT3 inhibitor stattic enhances radiosensitivity in esophageal squamous cell carcinoma. Tumour Biol. 2015, 36, 2135–2142. [Google Scholar] [CrossRef]
- Ji, T.; Gong, D.; Han, Z.; Wei, X.; Yan, Y.; Ye, F.; Ding, W.; Wang, J.; Xia, X.; Li, F.; et al. Abrogation of constitutive Stat3 activity circumvents cisplatin resistant ovarian cancer. Cancer Lett. 2013, 341, 231–239. [Google Scholar] [CrossRef]
- Mohammadian, J.; Sabzichi, M.; Molavi, O.; Shanehbandi, D.; Samadi, N. Combined Treatment with Stattic and Docetaxel Alters the Bax/Bcl-2 Gene Expression Ratio in Human Prostate Cancer Cells. Asian Pac. J. Cancer Prev. 2016, 17, 5031–5035. [Google Scholar]
- Spitzner, M.; Roesler, B.; Bielfeld, C.; Emons, G.; Gaedcke, J.; Wolff, H.A.; Rave-Frank, M.; Kramer, F.; Beissbarth, T.; Kitz, J.; et al. STAT3 inhibition sensitizes colorectal cancer to chemoradiotherapy in vitro and in vivo. Int. J. Cancer 2014, 134, 997–1007. [Google Scholar] [CrossRef]
- Scuto, A.; Kujawski, M.; Kowolik, C.; Krymskaya, L.; Wang, L.; Weiss, L.M.; Digiusto, D.; Yu, H.; Forman, S.; Jove, R. STAT3 inhibition is a therapeutic strategy for ABC-like diffuse large B-cell lymphoma. Cancer Res. 2011, 71, 3182–3188. [Google Scholar] [CrossRef]
- Han, Z.; Wang, X.; Ma, L.; Chen, L.; Xiao, M.; Huang, L.; Cao, Y.; Bai, J.; Ma, D.; Zhou, J.; et al. Inhibition of STAT3 signaling targets both tumor-initiating and differentiated cell populations in prostate cancer. Oncotarget 2014, 5, 8416–8428. [Google Scholar] [CrossRef] [PubMed]
- Solis-Martinez, R.; Cancino-Marentes, M.; Hernandez-Flores, G.; Ortiz-Lazareno, P.; Mandujano-Alvarez, G.; Cruz-Galvez, C.; Sierra-Diaz, E.; Rodriguez-Padilla, C.; Jave-Suarez, L.F.; Aguilar-Lemarroy, A.; et al. Regulation of immunophenotype modulation of monocytes-macrophages from M1 into M2 by prostate cancer cell-culture supernatant via transcription factor STAT3. Immunol. Lett. 2018, 196, 140–148. [Google Scholar] [CrossRef] [PubMed]
- Golunski, G.; Woziwodzka, A.; Piosik, J. Potential Use of Pentoxifylline in Cancer Therapy. Curr. Pharm. Biotechnol. 2018, 19, 206–216. [Google Scholar] [CrossRef] [PubMed]
- Lerma-Díaz, J.M.; Hernández-Flores, G.; Domínguez-Rodríguez, J.R.; Ortíz-Lazareno, P.C.; Gómez-Contreras, P.; Cervantes-Munguía, R.; Scott-Algara, D.; Aguilar-Lemarroy, A.; Jave-Suárez, L.F.; Bravo-Cuellar, A. In vivo and in vitro sensitization of leukemic cells to adriamycin-induced apoptosis by pentoxifylline. Involvement of caspase cascades and IkappaBalpha phosphorylation. Immunol. Lett. 2006, 103, 149–158. [Google Scholar] [CrossRef]
- Bravo-Cuellar, A.; Ortiz-Lazareno, P.C.; Sierra-Diaz, E.; Solorzano-Ibarra, F.; Mendez-Clemente, A.S.; Aguilar-Lemarroy, A.; Jave-Suarez, L.F.; Ruiz Velazco-Nino, E.; Hernandez-Flores, G. Pentoxifylline Sensitizes Cisplatin-Resistant Human Cervical Cancer Cells to Cisplatin Treatment: Involvement of Mitochondrial and NF-Kappa B Pathways. Front. Oncol. 2020, 10, 592706. [Google Scholar] [CrossRef]
- Cruz-Galvez, C.C.; Ortiz-Lazareno, P.C.; Pedraza-Brindis, E.J.; Villasenor-Garcia, M.M.; Reyes-Uribe, E.; Bravo-Hernandez, A.; Solis-Martinez, R.A.; Cancino-Marentes, M.; Rodriguez-Padilla, C.; Bravo-Cuellar, A.; et al. Pentoxifylline Enhances the Apoptotic Effect of Carboplatin in Y79 Retinoblastoma Cells. In Vivo 2019, 33, 401–412. [Google Scholar] [CrossRef]
- Gonzalez-Ramella, O.; Ortiz-Lazareno, P.C.; Jiménez-López, X.; Gallegos-Castorena, S.; Hernández-Flores, G.; Medina-Barajas, F.; Meza-Arroyo, J.; Jave-Suárez, L.F.; Lerma-Díaz, J.M.; Sánchez-Zubieta, F.; et al. Pentoxifylline during steroid window phase at induction to remission increases apoptosis in childhood with acute lymphoblastic leukemia. Clin. Transl. Oncol. 2016, 18, 369–374. [Google Scholar] [CrossRef]
- Cancino-Marentes, M.E.; Hernández-Flores, G.; Ortiz-Lazareno, P.C.; Villaseñor-García, M.M.; Orozco-Alonso, E.; Sierra-Díaz, E.; Solís-Martínez, R.A.; Cruz-Gálvez, C.C.; Bravo-Cuellar, A. Sensitizing the cytotoxic action of Docetaxel induced by Pentoxifylline in a PC3 prostate cancer cell line. BMC Urol. 2021, 21, 38. [Google Scholar] [CrossRef]
- Gasparian, A.V.; Yao, Y.J.; Kowalczyk, D.; Lyakh, L.A.; Karseladze, A.; Slaga, T.J.; Budunova, I.V. The role of IKK in constitutive activation of NF-kappaB transcription factor in prostate carcinoma cells. J. Cell Sci. 2002, 115 Pt 1, 141–151. [Google Scholar] [CrossRef] [PubMed]
- Mora, L.B.; Buettner, R.; Seigne, J.; Diaz, J.; Ahmad, N.; Garcia, R.; Bowman, T.; Falcone, R.; Fairclough, R.; Cantor, A.; et al. Constitutive activation of Stat3 in human prostate tumors and cell lines: Direct inhibition of Stat3 signaling induces apoptosis of prostate cancer cells. Cancer Res. 2002, 62, 6659–6666. [Google Scholar]
- Mendez-Clemente, A.; Bravo-Cuellar, A.; Gonzalez-Ochoa, S.; Santiago-Mercado, M.; Palafox-Mariscal, L.; Jave-Suarez, L.; Solorzano-Ibarra, F.; Villasenor-Garcia, M.; Ortiz-Lazareno, P.; Hernandez-Flores, G. Dual STAT-3 and IL-6R inhibition with stattic and tocilizumab decreases migration, invasion and proliferation of prostate cancer cells by targeting the IL-6/IL-6R/STAT-3 axis. Oncol. Rep. 2022, 48, 138. [Google Scholar] [CrossRef] [PubMed]
- Cunningham, D.; You, Z. In vitro and in vivo model systems used in prostate cancer research. J. Biol. Methods 2015, 2, e17. [Google Scholar] [CrossRef] [PubMed]
- Kaufmann, S.H.; Earnshaw, W.C. Induction of apoptosis by cancer chemotherapy. Exp. Cell Res. 2000, 256, 42–49. [Google Scholar] [CrossRef] [PubMed]
- Gonzalez-Ochoa, S.; Tellez-Banuelos, M.C.; Mendez-Clemente, A.S.; Bravo-Cuellar, A.; Hernandez Flores, G.; Palafox-Mariscal, L.A.; Haramati, J.; Pedraza-Brindis, E.J.; Sanchez-Reyes, K.; Ortiz-Lazareno, P.C. Combination Blockade of the IL6R/STAT-3 Axis with TIGIT and Its Impact on the Functional Activity of NK Cells against Prostate Cancer Cells. J. Immunol. Res. 2022, 2022, 1810804. [Google Scholar] [CrossRef]
- Chen, Y.; Pandya, K.J.; Hyrien, O.; Keng, P.C.; Smudzin, T.; Anderson, J.; Qazi, R.; Smith, B.; Watson, T.J.; Feins, R.H.; et al. Preclinical and pilot clinical studies of docetaxel chemoradiation for Stage III non-small-cell lung cancer. Int. J. Radiat. Oncol. Biol. Phys. 2011, 80, 1358–1364. [Google Scholar] [CrossRef]
- Talar, B.; Gajos-Michniewicz, A.; Talar, M.; Chouaib, S.; Czyz, M. Pentoxifylline Inhibits WNT Signalling in beta-Cateninhigh Patient-Derived Melanoma Cell Populations. PLoS ONE 2016, 11, e0158275. [Google Scholar] [CrossRef]
- Leidgens, V.; Proske, J.; Rauer, L.; Moeckel, S.; Renner, K.; Bogdahn, U.; Riemenschneider, M.J.; Proescholdt, M.; Vollmann-Zwerenz, A.; Hau, P.; et al. Stattic and metformin inhibit brain tumor initiating cells by reducing STAT3-phosphorylation. Oncotarget 2017, 8, 8250–8263. [Google Scholar] [CrossRef]
- Guo, H.; Xiao, Y.; Yuan, Z.; Yang, X.; Chen, J.; Chen, C.; Wang, M.; Xie, L.; Chen, Q.; Tong, Y.; et al. Inhibition of STAT3(Y705) phosphorylation by Stattic suppresses proliferation and induces mitochondrial-dependent apoptosis in pancreatic cancer cells. Cell Death Discov. 2022, 8, 116. [Google Scholar] [CrossRef]
- Mohammadian, J.; Molavi, O.; Pirouzpanah, M.B.; Rahimi, A.A.R.; Samadi, N. Stattic enhances the anti-proliferative effect of docetaxel via the Bax/Bcl-2/cyclin B axis in human cancer cells. Process Biochem. 2018, 69, 188–196. [Google Scholar] [CrossRef]
- Poon, I.K.; Hulett, M.D.; Parish, C.R. Molecular mechanisms of late apoptotic/necrotic cell clearance. Cell Death Differ. 2010, 17, 381–397. [Google Scholar] [CrossRef] [PubMed]
- Cavalcante, G.C.; Schaan, A.P.; Cabral, G.F.; Santana-da-Silva, M.N.; Pinto, P.; Vidal, A.F.; Ribeiro-Dos-Santos, A. A Cell’s Fate: An Overview of the Molecular Biology and Genetics of Apoptosis. Int. J. Mol. Sci. 2019, 20, 4133. [Google Scholar] [CrossRef] [PubMed]
- Spoerri, L.; Oo, Z.Y.; Larsen, J.E.; Haass, N.K.; Gabrielli, B.; Pavey, S. Cell Cycle Checkpoint and DNA Damage Response Defects as Anticancer Targets: From Molecular Mechanisms to Therapeutic Opportunities. In Stress Response Pathways in Cancer; Wondrak, G., Ed.; Springer: Dordrecht, The Netherlands, 2015; pp. 29–49. [Google Scholar]
- Li, Y.X.; Weber-Johnson, K.; Sun, L.Q.; Paschoud, N.; Mirimanoff, R.O.; Coucke, P.A. Effect of pentoxifylline on radiation-induced G2-phase delay and radiosensitivity of human colon and cervical cancer cells. Radiat. Res. 1998, 149, 338–342. [Google Scholar] [CrossRef][Green Version]
- Theron, T.; Binder, A.; Verheye-Dua, F.; Bohm, L. The role of G2-block abrogation, DNA double-strand break repair and apoptosis in the radiosensitization of melanoma and squamous cell carcinoma cell lines by pentoxifylline. Int. J. Radiat. Biol. 2000, 76, 1197–1208. [Google Scholar] [CrossRef]
- Imran, M.; Saleem, S.; Chaudhuri, A.; Ali, J.; Baboota, S. Docetaxel: An update on its molecular mechanisms, therapeutic trajectory and nanotechnology in the treatment of breast, lung and prostate cancer. J. Drug Deliv. Sci. Technol. 2020, 60, 101959. [Google Scholar] [CrossRef]
- Kamran, M.Z.; Gude, R.P. Pentoxifylline inhibits melanoma tumor growth and angiogenesis by targeting STAT3 signaling pathway. Biomed. Pharmacother. 2013, 67, 399–405. [Google Scholar] [CrossRef]









| PubChem ID | Name and Abbreviation | Structure |
|---|---|---|
| CID 148124 | Docetaxel DTX | ![]() |
| CID 4740 | Pentoxifylline PTX | ![]() |
| CID 2779853 | Stattic STT | ![]() |
| Gene | Primer Sequence (5′→3′) | Amplicon Length | GenBank Accession No. |
|---|---|---|---|
| BCL-XL | F: GCA GGC GAC GAG TTT GAA CT R: GTG TCT GGT CAT TTC CGA CTG A | 434 bp | NM_001191 |
| SURVIVIN | F: TGA GCT GCA GGT TCC TTA TCT G R: GAA TGG CTT TGT GCT TAG TTT T | 234 bp | NM_001168 |
| MCL-1 | F: CAC GAG ACG GTC TTC CAA GGA TGC T R: CTA GGT TGC TAG GGT GCA ACT CTA GGA | 497 bp | NM_021960 |
| BAD | F: CTC CGG AGG ATG AGT GAC GAG T R: ACT TCC GCC CAT ATT CAA GAT | 240 bp | NM_004322 |
| NOXA | F: GAG ATG CCT GGG AAG AAG G R: TCC TGA GCA GAA GAG TTT GGA | 162 bp | NM_021127 |
| CASP-3 | F: ATA CTC CAC AGC ACC TGG TTA T R: AAT GAG AGG ATA CAG TAC CAA | 329 bp | NM_004346 |
| CASP-8 | F: ACC TGC TGG ATA TTT TCA TAG AGA R: TGT TGA TGA TCA GAC AGT ATC CC | 264 bp | NM_001228 |
| CASP-9 | F: GTA CGT TGA GAC CCT GGA CGA C R: GTC GCT AAG AGC CTG TCT GTC ACT | 323 bp | NM_001229 |
| RPS18 | F: CGA TGG GCG GCG GAA AA R: CAG TCG CTC CAG GTC TTC ACG G | 117 bp | NM_022551 |
| RPL32 | F: GCA TTG ACA ACA GGG TTC GTA G R: ATT TAA ACA GAA AAC GTG CAC A | 320 bp | NM_000994 |
Disclaimer/Publisher’s Note: The statements, opinions and data contained in all publications are solely those of the individual author(s) and contributor(s) and not of MDPI and/or the editor(s). MDPI and/or the editor(s) disclaim responsibility for any injury to people or property resulting from any ideas, methods, instructions or products referred to in the content. |
© 2024 by the authors. Licensee MDPI, Basel, Switzerland. This article is an open access article distributed under the terms and conditions of the Creative Commons Attribution (CC BY) license (https://creativecommons.org/licenses/by/4.0/).
Share and Cite
Cruz-Lozano, J.R.; Hernández-Flores, G.; Ortiz-Lazareno, P.C.; Palafox-Mariscal, L.A.; Vázquez-Ibarra, K.C.; González-Martínez, K.L.; Villaseñor-García, M.M.; Bravo-Cuellar, A. Improvement of Docetaxel Efficacy through Simultaneous Blockade of Transcription Factors NF-κB and STAT-3 Using Pentoxifylline and Stattic in Prostate Cancer Cells. Curr. Issues Mol. Biol. 2024, 46, 10140-10159. https://doi.org/10.3390/cimb46090605
Cruz-Lozano JR, Hernández-Flores G, Ortiz-Lazareno PC, Palafox-Mariscal LA, Vázquez-Ibarra KC, González-Martínez KL, Villaseñor-García MM, Bravo-Cuellar A. Improvement of Docetaxel Efficacy through Simultaneous Blockade of Transcription Factors NF-κB and STAT-3 Using Pentoxifylline and Stattic in Prostate Cancer Cells. Current Issues in Molecular Biology. 2024; 46(9):10140-10159. https://doi.org/10.3390/cimb46090605
Chicago/Turabian StyleCruz-Lozano, José Roberto, Georgina Hernández-Flores, Pablo Cesar Ortiz-Lazareno, Luis Arturo Palafox-Mariscal, Katia Carolina Vázquez-Ibarra, Karen Lilith González-Martínez, María Martha Villaseñor-García, and Alejandro Bravo-Cuellar. 2024. "Improvement of Docetaxel Efficacy through Simultaneous Blockade of Transcription Factors NF-κB and STAT-3 Using Pentoxifylline and Stattic in Prostate Cancer Cells" Current Issues in Molecular Biology 46, no. 9: 10140-10159. https://doi.org/10.3390/cimb46090605
APA StyleCruz-Lozano, J. R., Hernández-Flores, G., Ortiz-Lazareno, P. C., Palafox-Mariscal, L. A., Vázquez-Ibarra, K. C., González-Martínez, K. L., Villaseñor-García, M. M., & Bravo-Cuellar, A. (2024). Improvement of Docetaxel Efficacy through Simultaneous Blockade of Transcription Factors NF-κB and STAT-3 Using Pentoxifylline and Stattic in Prostate Cancer Cells. Current Issues in Molecular Biology, 46(9), 10140-10159. https://doi.org/10.3390/cimb46090605




