Transcriptome Analysis Provides Insights into the Safe Overwintering of Local Peach Flower Buds
Abstract
1. Introduction
2. Material and Methods
2.1. Plant Materials
2.2. Measurement of Physiological Indexes
2.3. Transcriptome Sequencing
2.4. Statistical Analysis
3. Results
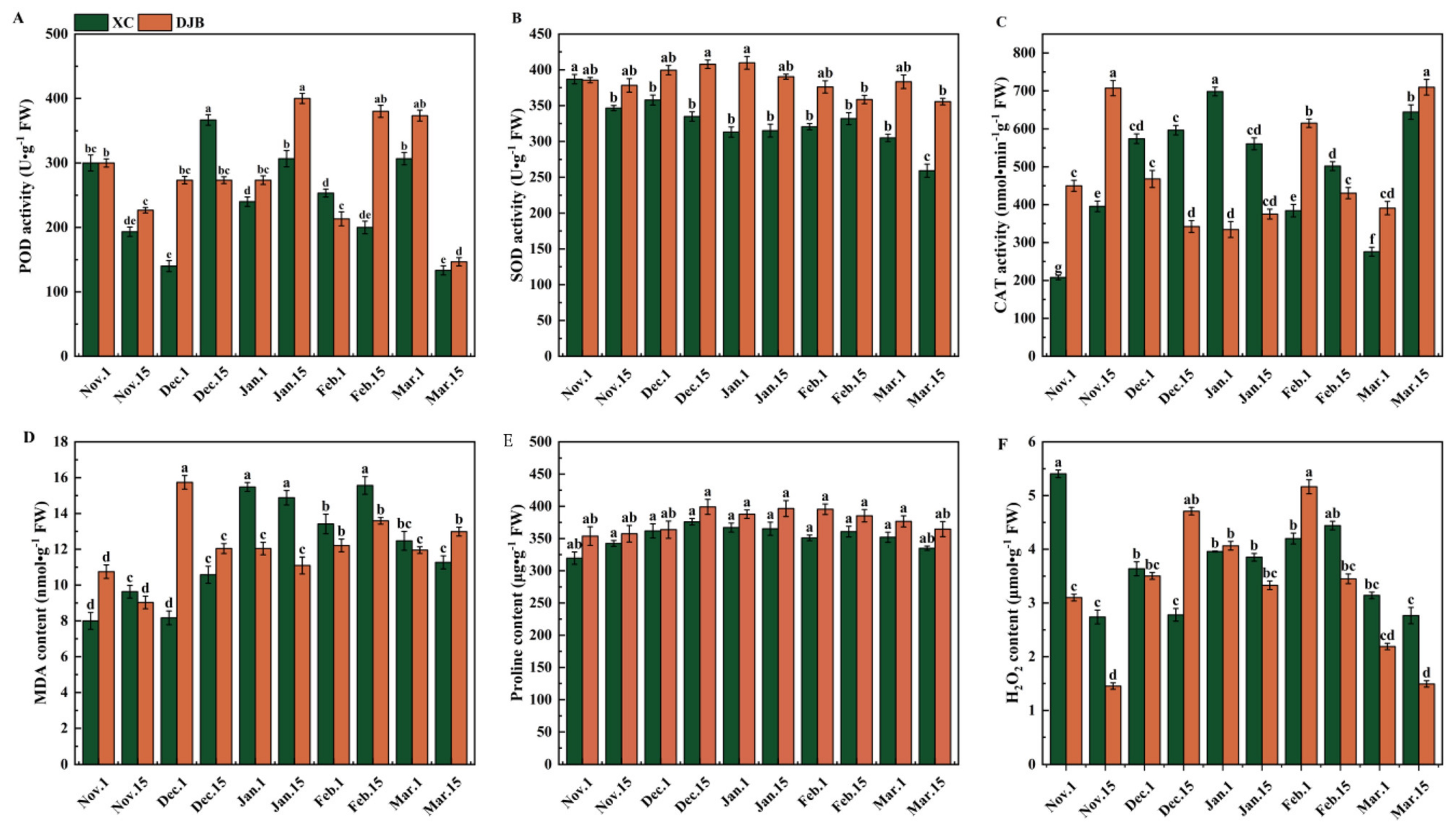
3.1. Changes of Physiological and Biochemical Indexes in Different Dormant Periods
3.2. Transcriptome Data Statistics
3.3. Transcriptome DEGs Enrichment Analysis
3.4. Transcriptome GO Enrichment Analysis



3.5. KEGG Enrichment Analysis of Transcriptome
3.6. The Visualization of Pathways
3.7. The Analysis of Trends in Gene Co-Expression
3.8. The Prediction of Transcription Factors
3.9. The Correlation Heat Map
4. Discussion
4.1. Relationship Between Physiological and Biochemical Indexes and Cold Resistance of Peach
4.2. Plant Hormone Signal Transduction Pathway Cold Resistance Gene
4.3. Relationship Between Phenylpropane Synthesis Pathway and Cold Resistance
4.4. Relationship Between Transcription Factors and Cold Resistance
5. Conclusions
Supplementary Materials
Author Contributions
Funding
Data Availability Statement
Conflicts of Interest
References
- Bento, C.; Gonçalves, A.C.; Silva, B.; Silva, L.R. Peach (Prunus persica): Phytochemicals and health benefits. Food Rev. Int. 2022, 38, 1703–1734. [Google Scholar] [CrossRef]
- Martínez-Gómez, P.; Devin, S.R.; Salazar, J.A.; López-Alcolea, J.; Rubio, M.; Martínez-García, P.J. Principles and prospects of prunus cultivation in greenhouse. Agronomy 2021, 11, 474. [Google Scholar] [CrossRef]
- Samish, R.M. Dormancy in woody plants. Annu. Rev. Plant Physiol. 1954, 5, 183–204. [Google Scholar] [CrossRef]
- Lang, G.A.; Early, J.D.; Martin, G.C.; Darnell, R.L. Endo-, para-, and ecodormancy: Physiological terminology and classification for dormancy research. Hortic. Sci. 1987, 22, 371–377. [Google Scholar]
- Wang, Y.; Zhang, Q.; Wang, S.-P.; Wang, J.-S.; Yao, Y.-B. Characteristics of agro-meteorological disasters and their risk in Gansu Province against the background of climate change. Nat. Hazards 2017, 89, 899–921. [Google Scholar] [CrossRef]
- Li, J.; Zhang, J.; Wang, X.; Wang, G. Long term observation of fractional vegetation cover in Qingyang of Gansu Province and its response to climate change. Atmosphere 2022, 13, 288. [Google Scholar] [CrossRef]
- Kende, Z.; Piroska, P.; Szemők, G.E.; Khaeim, H.; Sghaier, A.H.; Gyuricza, C.; Tarnawa, Á. Optimizing water, temperature, and density conditions for in vitro pea (Pisum sativum L.) Germination. Plants 2024, 13, 2776. [Google Scholar] [CrossRef]
- Minas, I.; Sterle, D. Differential thermal analysis sheds light on the effect of environment and cultivar in peach floral bud cold hardiness. Acta Hortic. 2020, 1281, 385–392. [Google Scholar] [CrossRef]
- Ma, S.; Lin, Q.; Wu, T.; Chen, H.; Hu, S.; Wu, B.; Lin, S.; Lin, S.; Wu, J. EjCBF3 conferred cold-resistance through the enhancement of antioxidase activity in loquat (Eriobotrya japonica Lindl.). Sci. Hortic. 2024, 337, 113556. [Google Scholar] [CrossRef]
- Saini, P.; Gani, M.; Kaur, J.J.; Godara, L.C.; Singh, C.; Chauhan, S.S.; Francies, R.M.; Bhardwaj, A.; Bharat Kumar, N.; Ghosh, M.K. Reactive oxygen species (ROS): A way to stress survival in plants. In Abiotic Stress-Mediated Sensing and Signaling in Plants: An Omics Perspective; Springer: Singapore, 2018; pp. 127–153. [Google Scholar]
- Dvořák, P.; Krasylenko, Y.; Zeiner, A.; Šamaj, J.; Takáč, T. Signaling toward reactive oxygen species-scavenging enzymes in plants. Front. Plant Sci. 2021, 11, 618835. [Google Scholar] [CrossRef]
- Miriam, P.H.; Maria, L.D.; Rivero, R.M. ROS and NO regulation by melatonin under abiotic stress in plants. Antioxidants 2020, 9, 1078. [Google Scholar] [CrossRef] [PubMed]
- Zhang, Y.; Fan, L.; Zhao, M.; Chen, Q.; Qin, Z.; Feng, Z.; Fujiwara, T.; Zhao, L. Chitooligosaccharide plays essential roles in regulating proline metabolism and cold stress tolerance in rice seedlings. Acta Physiol. Plant. 2019, 41, 77. [Google Scholar] [CrossRef]
- Deng, S.; Ma, J.; Zhang, L.; Chen, F.; Sang, Z.; Jia, Z.; Ma, L. De novo transcriptome sequencing and gene expression profiling of Magnolia wufengensis in response to cold stress. BMC Plant Biol. 2019, 19, 321. [Google Scholar] [CrossRef]
- Hwarari, D.; Guan, Y.; Ahmad, B.; Movahedi, A.; Min, T.; Hao, Z.; Lu, Y.; Chen, J.; Yang, L. ICE-CBF-COR signaling cascade and its regulation in plants responding to cold stress. Int. J. Mol. Sci. 2022, 23, 1549. [Google Scholar] [CrossRef]
- Jian, L.-C.; Li, P.H.; Sun, L.-H.; Chen, T.H. Alterations in ultrastructure and subcellular localization of Ca2+ in poplar apical bud cells during the induction of dormancy. J. Exp. Bot. 1997, 48, 1195–1207. [Google Scholar] [CrossRef]
- Smolyaninova, L.V.; Shiyan, A.A.; Maksimov, G.V.; Orlov, S.N. Contribution of monovalent (Na+ and K+) and divalent (Ca2+) ions to the Mechanisms of Synaptic Plasticity. Biochem. Suppl. Ser. A Membr. Cell Biol. 2021, 15, 1–20. [Google Scholar] [CrossRef]
- Ding, Y.; Yang, S. Surviving and thriving: How plants perceive and respond to temperature stress. Dev. Cell 2022, 57, 947–958. [Google Scholar] [CrossRef] [PubMed]
- Wang, L.; Feng, X.; Yao, L.; Ding, C.; Lei, L.; Hao, X.; Li, N.; Zeng, J.; Yang, Y.; Wang, X. Characterization of CBL–CIPK signaling complexes and their involvement in cold response in tea plant. Plant Physiol. Biochem. 2020, 154, 195–203. [Google Scholar] [CrossRef]
- Xiao, P.; Feng, J.-W.; Zhu, X.-T.; Gao, J. Evolution analyses of CAMTA transcription factor in plants and its enhancing effect on cold-tolerance. Front. Plant Sci. 2021, 12, 758187. [Google Scholar] [CrossRef]
- Chinnusamy, V.; Zhu, J.; Zhu, J.K. Cold stress regulation of gene expression in plants. Trends Plant Sci. 2007, 12, 444–451. [Google Scholar] [CrossRef]
- Mehrotra, S.; Verma, S.; Kumar, S.; Kumari, S.; Mishra, B.N. Transcriptional regulation and signalling of cold stress response in plants: An overview of current understanding. Environ. Exp. Bot. 2020, 180, 104243. [Google Scholar] [CrossRef]
- Theocharis, A.; Clément, C.; Barka, E.A. Physiological and molecular changes in plants grown at low temperatures. Planta 2012, 235, 1091–1105. [Google Scholar] [CrossRef] [PubMed]
- Williamson, K.S.; Hensley, K.; Floyd, R.A. Fluorometric and colorimetric assessment of thiobarbituric acid-reactive lipid aldehydes in biological matrices. In Methods in Biological Oxidative Stress; Humana Press: Totowa, NJ, USA, 2003; pp. 57–65. [Google Scholar]
- Da Costa, I.F.; Toro, M.J.U. Evaluation of the antioxidant capacity of bioactive compounds and determination of proline in honeys from Pará. J. Food Sci. Technol. 2021, 58, 1900–1908. [Google Scholar] [CrossRef]
- Wang, M.; Qiu, S.; Yang, H.; Huang, Y.; Dai, L.; Zhang, B.; Zou, J. Spectrophotometric determination of hydrogen peroxide in water with peroxidase-catalyzed oxidation of potassium iodide and its applications to hydroxylamine-involved Fenton and Fenton-like systems. Chemosphere 2021, 270, 129448. [Google Scholar] [CrossRef] [PubMed]
- Cai, F.; Jin, X.; Tian, Y.; Huang, Z.; Wang, X.; Zhang, Y.; Sun, Y.; Shao, C. Molecular regulation of bud dormancy in perennial plants. Plant Growth Regul. 2024, 102, 1–11. [Google Scholar] [CrossRef]
- Kwon, J.H.; Nam, E.Y.; Yun, S.K.; Kim, S.J.; Yu, D.J.; Lee, H.J. Comparative carbohydrate metabolism in the shoots of a cold-hardy and a cold-sensitive peach (Prunus persica) cultivar during cold acclimation and de-acclimation. Hortic. Environ. Biotechnol. 2022, 63, 39–53. [Google Scholar] [CrossRef]
- Gomes, G.L.B.; Scortecci, K.C. Auxin and its role in plant development: Structure, signalling, regulation and response mechanisms. Plant Biol. 2021, 23, 894–904. [Google Scholar] [CrossRef]
- Wisniewski, M.; Norelli, J.; Bassett, C.; Artlip, T.; Macarisin, D. Ectopic expression of a novel peach (Prunus persica) CBF transcription factor in apple (Malus × domestica) results in short-day induced dormancy and increased cold hardiness. Planta 2011, 233, 971–983. [Google Scholar] [CrossRef]
- Singh, R.K.; Miskolczi, P.; Maurya, J.P.; Bhalerao, R.P. A tree ortholog of short vegetative phase floral repressor mediates photoperiodic control of bud dormancy. Curr. Biol. 2019, 29, 128–133. [Google Scholar] [CrossRef]
- Santamaría, M.E.; Rodríguez, R.; Cañal, M.J.; Toorop, P.E. Transcriptome analysis of chestnut (Castanea sativa) tree buds suggests a putative role for epigenetic control of bud dormancy. Ann. Bot. 2011, 108, 485–498. [Google Scholar] [CrossRef]
- Zhao, Y.-L.; Li, Y.; Cao, K.; Yao, J.-L.; Bie, H.-L.; Khan, I.A.; Fang, W.-C.; Chen, C.-W.; Wang, X.-W.; Wu, J.-L.; et al. MADS-box protein PpDAM6 regulates chilling requirement-mediated dormancy and bud break in peach. Plant Physiol. 2023, 193, 448–465. [Google Scholar] [CrossRef] [PubMed]
- Wang, Y.; Wan, C.; Li, L.; Xiang, Z.; Wang, J.; Li, Y.; Zhao, D. Transcriptomic analysis of Yun wu Tribute Tea leaves under cold stress. Curr. Issues Mol. Biol. 2023, 45, 699–720. [Google Scholar] [CrossRef] [PubMed]
- Guan, Y.; Liu, S.; Wu, W.; Hong, K.; Li, R.; Zhu, L.; Liu, Y.; Lu, Y.; Chen, J.; Yang, L.; et al. Genome-wide identification and cold stress-induced expression analysis of the CBF gene family in Liriodendron chinense. J. For. Res. 2021, 32, 2531–2543. [Google Scholar] [CrossRef]
- Madkour, L.H. Function of reactive oxygen species (ROS) inside the living organisms and sources of oxidants. J. Glob. Pharma Technol. 2019, 2, 180023. [Google Scholar]
- Scebba, F.; Sebastiani, L.; Vitagliano, C. Changes in activity of antioxidative enzymes in wheat (Triticum aestivu) seedlings under cold acclimation. Physiol. Plant. 1998, 104, 747–752. [Google Scholar] [CrossRef]
- Pu, K.; Li, N.; Gao, Y.; Zhang, M.; Wang, T.; Xie, J.; Li, J. Alleviating Effects of methyl jasmonate on pepper (Capsicum annuum L.) seedlings under low-temperature Combined with Low-Light Stress. Plants 2024, 13, 2694. [Google Scholar] [CrossRef]
- Starzyńska, A.; Leja, M.; Mareczek, A. Physiological changes in the antioxidant system of broccoli flower buds senescing during short-term storage, related to temperature and packaging. Plant Sci. 2003, 165, 1387–1395. [Google Scholar] [CrossRef]
- Ritonga, F.N.; Chen, S. Physiological and molecular mechanism involved in cold stress tolerance in plants. Plants 2020, 9, 560. [Google Scholar] [CrossRef]
- Sagisaka, S.; Araki, T. Amino acid pools in perennial plants at the wintering stage and at the beginning of growth. Plant Cell Physiol 1983, 24, 479–494. [Google Scholar]
- Golubev, A.M.; Alyoshina, N.A.; Anfalov, V.E.; Kulikov, A.A.; Vdovenko, V.S. Some mechanisms of winter resistance in apricot flower buds in the period of ecodormancy. Agron. Res. 2021, 19, 1487–1503. [Google Scholar]
- Cutler, S.R.; Rodriguez, P.L.; Finkelstein, R.R.; Abrams, S.R. Abscisic acid: Emergence of a core signaling network. Annu. Rev. Plant Biol. 2010, 61, 651–679. [Google Scholar] [CrossRef] [PubMed]
- Wang, Z.; Gerstein, M.; Snyder, M. RNA-Seq: A revolutionary tool for transcriptomics. Nat. Rev. Genet. 2009, 10, 57–63. [Google Scholar] [CrossRef] [PubMed]
- Rahman, A. Auxin: A regulator of cold stress response. Physiol. Plant. 2013, 147, 28–35. [Google Scholar] [CrossRef] [PubMed]
- Du, H.; Wu, N.; Fu, J.; Wang, S.; Li, X.; Xiao, J.; Xiong, L. A GH3 family member, OsGH3-2, modulates auxin and abscisic acid levels and differentially affects drought and cold tolerance in rice. J. Exp. Bot. 2012, 63, 6467–6480. [Google Scholar] [CrossRef]
- Krishna, P.; Prasad, B.D.; Rahman, T. Brassinosteroid Action in Plant Abiotic Stress Tolerance. Methods Mol. Biol. 2017, 1564, 193–202. [Google Scholar]
- Kim, S.Y.; Kim, B.H.; Lim, C.J.; Lim, C.O.; Nam, K.H. Constitutive activation of stress-inducible genes in a brassinosteroid-insensitive 1 (bri1) mutant results in higher tolerance to cold. Physiol. Plant. 2010, 138, 191–204. [Google Scholar] [CrossRef]
- Achard, P.; Gong, F.; Cheminant, S.; Alioua, M.; Hedden, P.; Genschik, P. The cold-inducible CBF1 factor-dependent signaling pathway modulates the accumulation of the growth-repressing DELLA proteins via its effect on gibberellin metabolism. Plant Cell 2008, 20, 2117–2129. [Google Scholar] [CrossRef]
- Aslam, M.; Fakher, B.; Ashraf, M.A.; Cheng, Y.; Wang, B.; Qin, Y. Plant low-temperature stress: Signaling and response. Agronomy 2022, 12, 702. [Google Scholar] [CrossRef]
- Liu, X.; Luo, M.; Li, M.; Wei, J. Transcriptomic analysis reveals lncRNAs associated with flowering of Angelica sinensis during vernalization. Curr. Issues Mol. Biol. 2022, 44, 1867–1888. [Google Scholar] [CrossRef]
- Umezawa, T.; Sugiyama, N.; Mizoguchi, M.; Hayashi, S.; Myouga, F.; Yamaguchi-Shinozaki, K.; Ishihama, Y.; Hirayama, T.; Shinozaki, K. Type 2C protein phosphatases directly regulate abscisic acid-activated protein kinases in Arabidopsis. Proc. Natl. Acad. Sci. USA 2009, 106, 17588–17593. [Google Scholar] [CrossRef]
- Diédhiou, C.J.; Popova, O.V.; Dietz, K.-J.; Golldack, D. The SNF1-type serine-threonine protein kinase SAPK4 regulates stress-responsive gene expression in rice. BMC Plant Biol. 2008, 8, 49. [Google Scholar] [CrossRef] [PubMed]
- Xia, X.; Shao, Y.; Jiang, J.; Ren, L.; Chen, F.; Fang, W.; Guan, Z.; Chen, S. Gene expression profiles responses to aphid feeding in chrysanthemum (Chrysanthemum morifolium). BMC Genom. 2014, 15, 1050. [Google Scholar] [CrossRef] [PubMed]
- Zhao, Q.; Dixon, R.A. Transcriptional networks for lignin biosynthesis: More complex than we thought? Trends Plant Sci. 2011, 16, 227–233. [Google Scholar] [CrossRef]
- Schulz, E.; Tohge, T.; Zuther, E.; Fernie, A.R.; Hincha, D.K. Flavonoids are determinants of freezing tolerance and cold acclimation in Arabidopsis thaliana. Sci. Rep. 2016, 6, 34027. [Google Scholar] [CrossRef]
- Pacheco, J.M.; Ranocha, P.; Kasulin, L.; Fusari, C.M.; Servi, L.; Aptekmann, A.A.; Gabarain, V.B.; Peralta, J.M.; Borassi, C.; Marzol, E.; et al. Apoplastic class III peroxidases PRX62 and PRX69 promote Arabidopsis root hair growth at low temperature. Nat. Commun. 2022, 13, 1310. [Google Scholar] [CrossRef]
- Daudi, A.; Cheng, Z.; O’Brien, J.A.; Mammarella, N.; Khan, S.; Ausubel, F.M.; Bolwell, G.P. The apoplastic oxidative burst peroxidase in Arabidopsis is a major componentof pattern-triggered immunity. Plant Cell 2012, 24, 275–287. [Google Scholar] [CrossRef]
- Macho, A.P.; Schwessinger, B.; Ntoukakis, V.; Brutus, A.; Segonzac, C.; Roy, S.; Kadota, Y.; Oh, M.H.; Sklenar, J.; Derbyshire, P.; et al. Abacterial tyrosine phosphatase inhibits plant pattern recognition receptor activation. Science 2014, 343, 1509–1512. [Google Scholar] [CrossRef]
- Wang, K.; Liu, H.; Mei, Q.; Yang, J.; Ma, F.; Mao, K. Characteristics of bHLH transcription factors and their roles in the abiotic stress responses of horticultural crops. Sci. Hortic. 2023, 310, 111710. [Google Scholar] [CrossRef]
- Xie, Z.; Yang, C.; Liu, S.; Li, M.; Gu, L.; Peng, X.; Zhang, Z. Identification of AP2/ERF transcription factors in Tetrastigma hemsleyanum revealed the specific roles of ERF46 under cold stress. Front. Plant Sci. 2022, 13, 936602. [Google Scholar] [CrossRef]
- Niu, R.; Zhao, X.; Wang, C.; Wang, F. Transcriptome profiling of Prunus persica branches reveals candidate genes potentially involved in freezing tolerance. Sci. Hortic. 2020, 259, 108775. [Google Scholar] [CrossRef]
- Li, Y.; Tian, Q.; Wang, Z.; Li, J.; Liu, S.; Chang, R.; Chen, H.; Liu, G. Integrated analysis of transcriptomics and metabolomics of peach under cold stress. Front. Plant Sci. 2023, 14, 1153902. [Google Scholar] [CrossRef] [PubMed]
- Kiełbowicz, M.A. Involvement of plant C2H2-type zinc finger transcription factors in stress responses. Plant Sci. 2012, 185, 78–85. [Google Scholar] [CrossRef] [PubMed]
- Liu, K.; Hou, Q.; Yu, R.; Deng, H.; Shen, L.; Wang, Q.; Wen, X. Genome-wide analysis of C2H2 zinc finger family and their response to abiotic stresses in apple. Gene 2024, 904, 148164. [Google Scholar] [CrossRef] [PubMed]








| DEG Set | DEG Number | Up-Regulated | Down-Regulated |
|---|---|---|---|
| X-FD vs. D-FD | 588 | 290 | 298 |
| X-MD vs. D-MD | 5090 | 1708 | 3382 |
| X-RD vs. D-RD | 4490 | 2977 | 1513 |
Disclaimer/Publisher’s Note: The statements, opinions and data contained in all publications are solely those of the individual author(s) and contributor(s) and not of MDPI and/or the editor(s). MDPI and/or the editor(s) disclaim responsibility for any injury to people or property resulting from any ideas, methods, instructions or products referred to in the content. |
© 2024 by the authors. Licensee MDPI, Basel, Switzerland. This article is an open access article distributed under the terms and conditions of the Creative Commons Attribution (CC BY) license (https://creativecommons.org/licenses/by/4.0/).
Share and Cite
Niu, R.; Cheng, Y.; Wang, F.; Zhang, Y.; Wang, C. Transcriptome Analysis Provides Insights into the Safe Overwintering of Local Peach Flower Buds. Curr. Issues Mol. Biol. 2024, 46, 13903-13921. https://doi.org/10.3390/cimb46120831
Niu R, Cheng Y, Wang F, Zhang Y, Wang C. Transcriptome Analysis Provides Insights into the Safe Overwintering of Local Peach Flower Buds. Current Issues in Molecular Biology. 2024; 46(12):13903-13921. https://doi.org/10.3390/cimb46120831
Chicago/Turabian StyleNiu, Ruxuan, Yongjuan Cheng, Falin Wang, Yiwen Zhang, and Chenbing Wang. 2024. "Transcriptome Analysis Provides Insights into the Safe Overwintering of Local Peach Flower Buds" Current Issues in Molecular Biology 46, no. 12: 13903-13921. https://doi.org/10.3390/cimb46120831
APA StyleNiu, R., Cheng, Y., Wang, F., Zhang, Y., & Wang, C. (2024). Transcriptome Analysis Provides Insights into the Safe Overwintering of Local Peach Flower Buds. Current Issues in Molecular Biology, 46(12), 13903-13921. https://doi.org/10.3390/cimb46120831
