DNA Methylation of the IL-17A Gene Promoter Is Associated with Subclinical Atherosclerosis and Coronary Artery Disease: The Genetics of Atherosclerotic Disease Mexican Study
Abstract
:1. Introduction
2. Materials and Methods
2.1. Design and Subjects
2.2. DNA Extraction and Sodium Bisulfite Treatment
2.3. Epigenetic Analysis
2.4. Analysis of the Percentage of DNA Methylation
2.5. Statistical Analysis
3. Results
3.1. Characteristics of the Studied Population
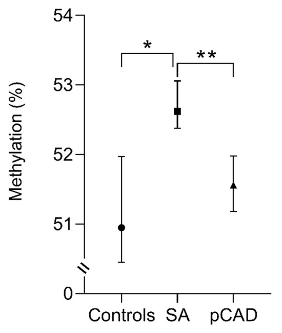
3.2. DNA Methylation Status of IL-17A Gene Promoter
3.3. Association between DNA Methylation Levels of IL-17A Gene Promoter and the Risk of SA and pCAD
4. Discussion
5. Conclusions
Author Contributions
Funding
Institutional Review Board Statement
Informed Consent Statement
Data Availability Statement
Acknowledgments
Conflicts of Interest
References
- Gawryszewski, V.P.; Souza, M.F. Mortality due to cardiovascular diseases in the Americas by region, 2000–2009. Sao Paulo Med. J. 2014, 132, 105–110. [Google Scholar] [CrossRef]
- Lozano, R.; Naghavi, M.; Foreman, K.; Lim, S.; Shibuya, K.; Aboyans, V.; Abraham, J.; Adair, T.; Aggarwal, R.; Ahn, S.Y. Global and regional mortality from 235 causes of death for 20 age groups in 1990 and 2010: A systematic analysis for the Global Burden of Disease Study 2010. Lancet 2012, 380, 2095–2128. [Google Scholar] [CrossRef]
- Libby, P.; Ridker, P.M.; Maseri, A. Inflammation and atherosclerosis. Circulation 2002, 105, 1135–1143. [Google Scholar] [CrossRef] [PubMed]
- Hansson, G.K.; Libby, P.; Tabas, I. Inflammation and plaque vulnerability. J. Intern. Med. 2015, 278, 483–493. [Google Scholar] [CrossRef] [PubMed]
- Carr, J.J.; Nelson, J.C.; Wong, N.D.; McNitt-Gray, M.; Arad, Y.; Jacobs, D.R., Jr.; Sidney, S.; Bild, D.E.; Williams, O.D.; Detrano, R.C. Calcified coronary artery plaque measurement with cardiac CT in population-based studies: Standardized protocol of Multi-Ethnic Study of Atherosclerosis (MESA) and Coronary Artery Risk Development in Young Adults (CARDIA) study. Radiology 2005, 234, 35–43. [Google Scholar] [CrossRef] [PubMed]
- Posadas-Romero, C.; López-Bautista, F.; Rodas-Díaz, M.A.; Posadas-Sánchez, R.; Kimura-Hayama, E.; Juárez-Rojas, J.G.; Medina-Urrutia, A.X.; Cardoso-Saldaña, G.C.; Vargas-Alarcón, G.; Jorge-Galarza, E. Prevalence and extent of coronary artery calcification in an asymptomatic cardiovascular Mexican population: Genetics of Atherosclerotic Disease study. Arch. Cardiol. Mex. 2017, 87, 292–301. [Google Scholar] [PubMed]
- Nakahara, T.; Dweck, M.R.; Narula, N.; Pisapia, D.; Narula, J.; Strauss, H.W. Coronary Artery Calcification: From Mechanism to Molecular Imaging. JACC Cardiovasc. Imaging 2017, 10, 582–593. [Google Scholar] [CrossRef] [PubMed]
- Faggiano, P.; Dasseni, N.; Gaibazzi, N.; Rossi, A.; Henein, M.; Pressman, G. Cardiac calcification as a marker of subclinical atherosclerosis and predictor of cardiovascular events: A review of the evidence. Eur. J. Prev. Cardiol. 2019, 26, 1191–1204. [Google Scholar] [CrossRef]
- Faggiano, A.; Santangelo, G.; Carugo, S.; Pressman, G.; Picano, E.; Faggiano, P. Cardiovascular Calcification as a Marker of Increased Cardiovascular Risk and a Surrogate for Subclinical Atherosclerosis: Role of Echocardiography. J. Clin. Med. 2021, 10, 1668. [Google Scholar] [CrossRef]
- de Boer, O.J.; van der Meer, J.J.; Teeling, P.; van der Loos, C.M.; Idu, M.M.; van Maldegem, F.; Aten, J.; van der Wal, A.C. Differential expression of interleukin-17 family cytokines in intact and complicated human atherosclerotic plaques. J. Pathol. 2010, 220, 499–508. [Google Scholar] [CrossRef]
- Shen, J.; Zhao, M.; Zhang, C.; Sun, X. IL-1β in atherosclerotic vascular calcification: From bench to bedside. Int. J. Biol. Sci. 2021, 17, 4353–4364. [Google Scholar] [CrossRef] [PubMed]
- Hao, N.; Zhou, Z.; Zhang, F.; Li, Y.; Hu, R.; Zou, J.; Zheng, R.; Wang, L.; Xu, L.; Tan, W.; et al. Interleukin-29 Accelerates Vascular Calcification via JAK2/STAT3/BMP2 Signaling. J. Am. Heart Assoc. 2023, 12, e027222. [Google Scholar] [CrossRef]
- Robert, M.; Miossec, P. Effects of Interleukin 17 on the cardiovascular system. Autoimmun. Rev. 2017, 16, 984–991. [Google Scholar] [CrossRef] [PubMed]
- Swaidani, S.; Liu, C.; Zhao, J.; Bulek, K.; Li, X. TRAF Regulation of IL-17 Cytokine Signaling. Front. Immunol. 2019, 10, 1293. [Google Scholar] [CrossRef] [PubMed]
- Warnatsch, A.; Ioannou, M.; Wang, Q.; Papayannopoulos, V. Inflammation. Neutrophil extracellular traps license macrophages for cytokine production in atherosclerosis. Science 2015, 349, 316–320. [Google Scholar] [CrossRef]
- Erbel, C.; Dengler, T.J.; Wangler, S.; Lasitschka, F.; Bea, F.; Wambsganss, N.; Hakimi, M.; Böckler, D.; Katus, H.A.; Gleissner, C.A. Expression of IL-17A in human atherosclerotic lesions is associated with increased inflammation and plaque vulnerability. Basic Res. Cardiol. 2011, 106, 125–134. [Google Scholar] [CrossRef] [PubMed]
- Benagiano, M.; Munari, F.; Ciervo, A.; Amedei, A.; Paccani, S.R.; Mancini, F.; Ferrari, M.; Della Bella, C.; Ulivi, C.; D’Elios, S.; et al. Chlamydophila pneumoniae phospholipase D (CpPLD) drives Th17 inflammation in human atherosclerosis. Proc. Natl. Acad. Sci. USA 2012, 109, 1222–1227. [Google Scholar] [CrossRef]
- Oliveira, D.C.; Oliveira, C.G.C.; Mendes, E.B., Jr.; Silveira, M.M.; Cabral, J.V.; Ferreira, E. Circulating interleukin-17A in patients with acute and chronic coronary syndromes. Am. J. Cardiovasc. Dis. 2021, 11, 704–709. [Google Scholar]
- Ghaznavi, H.; Soltanpour, M.S. Association study between rs2275913 genetic polymorphism and serum levels of IL-17A with risk of coronary artery disease. Mol. Biol. Res. Commun. 2020, 9, 35–40. [Google Scholar]
- Sun, J.; Yu, H.; Liu, H.; Pu, D.; Gao, J.; Jin, X.; Liu, X.; Yan, A. Correlation of pre-operative circulating inflammatory cytokines with restenosis and rapid angiographic stenotic progression risk in coronary artery disease patients underwent percutaneous coronary intervention with drug-eluting stents. J. Clin. Lab. Anal. 2020, 34, e23108. [Google Scholar] [CrossRef]
- Chang, S.F.; Liu, S.F.; Chen, C.N.; Kuo, H.C. Serum IP-10 and IL-17 from Kawasaki disease patients induce calcification-related genes and proteins in human coronary artery smooth muscle cells in vitro. Cell Biosci. 2020, 10, 36. [Google Scholar] [CrossRef]
- Hiramatsu-Asano, S.; Mukai, T.; Akagi, T.; Uchida, H.A.; Fujita, S.; Nakano, K.; Morita, Y. IL-17A promotes vascular calcification in an ex vivo murine aorta culture. Biochem. Biophys. Res. Commun. 2022, 604, 83–87. [Google Scholar] [CrossRef]
- Dutta, P.; Sengupta, A.; Chakraborty, S. Epigenetics: A new warrior against cardiovascular calcification, a forerunner in modern lifestyle diseases. Environ. Sci. Pollut. Res. Int. 2022, 29, 62093–62110. [Google Scholar] [CrossRef] [PubMed]
- Aavik, E.; Babu, M.; Ylä-Herttuala, S. DNA methylation processes in atheosclerotic plaque. Atherosclerosis 2019, 281, 168–179. [Google Scholar] [CrossRef] [PubMed]
- Kowara, M.; Cudnoch-Jedrzejewska, A. Pathophysiology of Atherosclerotic Plaque Development-Contemporary Experience and New Directions in Research. Int. J. Mol. Sci. 2021, 22, 3513. [Google Scholar] [CrossRef] [PubMed]
- Li, J.; Zhang, X.; Yang, M.; Yang, H.; Xu, N.; Fan, X.; Liu, G.; Jiang, X.; Fan, J.; Zhang, L.; et al. DNA methylome profiling reveals epigenetic regulation of lipoprotein-associated phospholipase A2 in human vulnerable atherosclerotic plaque. Clin. Epigenetics 2021, 13, 161. [Google Scholar] [CrossRef]
- Posadas-Sánchez, R.; Pérez-Hernández, N.; Rodríguez-Pérez, J.M.; Coral-Vázquez, R.M.; Roque-Ramírez, B.; Llorente, L.; Lima, G.; Flores-Dominguez, C.; Villarreal-Molina, T.; Posadas-Romero, C.; et al. Interleukin-27 polymorphisms are associated with premature coronary artery disease and metabolic parameters in the Mexican population: The genetics of atherosclerotic disease (GEA) Mexican study. Oncotarget 2017, 8, 64459–64470. [Google Scholar] [CrossRef]
- Mautner, G.C.; Mautner, S.L.; Froehlich, J.; Feuerstein, I.M.; Proschan, M.A.; Roberts, W.C.; Doppman, J.L. Coronary artery calcification: Assessment with electron beam CT and histomorphometric correlation. Radiology 1994, 192, 619–623. [Google Scholar] [CrossRef]
- Matthews, D.R.; Hosker, J.P.; Rudenski, A.S.; Naylor, B.A.; Treacher, D.F.; Turner, R.C. Homeostasis model assessment: Insulin resistance and beta-cell function from fasting plasma glucose and insulin concentrations in man. Diabetologia 1985, 28, 412–419. [Google Scholar] [CrossRef]
- Angeles-Martínez, J.; Posadas-Sánchez, R.; Pérez-Hernández, N.; Rodríguez-Pérez, J.M.; Fragoso, J.M.; Bravo-Flores, E.; Posadas- Romero, C.; Vargas-Alarcón, G. IL-15 polymorphisms are associated with subclinical atherosclerosis and cardiovascular risk factors. The Genetics of Atherosclerosis Disease (GEA) Mexican Study. Cytokine 2017, 99, 173–178. [Google Scholar] [CrossRef]
- Li, L.C.; Dahiya, R. MethPrimer: Designing primers for methylation PCRs. Bioinformatics 2002, 18, 1427–1431. [Google Scholar] [CrossRef] [PubMed]
- Dai, Y.; Chen, D.; Xu, T. DNA Methylation Aberrant in Atherosclerosis. Front. Pharmacol. 2022, 13, 815977. [Google Scholar] [CrossRef] [PubMed]
- Mohammadpanah, M.; Heidari, M.M.; Khatami, M.; Hadadzadeh, M. Relationship of hypomethylation CpG islands in interleukin-6 gene promoter with IL-6 mRNA levels in patients with coronary atherosclerosis. J. Cardiovasc. Thorac. Res. 2020, 12, 214–221. [Google Scholar] [CrossRef] [PubMed]
- Zuo, H.P.; Guo, Y.Y.; Che, L.; Wu, X.Z. Hypomethylation of Interleukin-6 Promoter is Associated with the Risk of Coronary Heart Disease. Arq. Bras. Cardiol. 2016, 107, 131–136. [Google Scholar] [CrossRef]
- Alipour, S.; Sakhinia, E.; Khabbazi, A.; Samadi, N.; Babaloo, Z.; Azad, M.; Abolhasani, S.; Farhadi, J.; Jadideslam, G.; Roshanravan, N.; et al. Methylation status of interleukin-6 gene promoter in patients with Behçet’s disease. Reumatol. Clin. 2020, 16, 229–234. [Google Scholar] [CrossRef] [PubMed]
- Bao, X.J.; Mao, S.Q.; Gu, T.L.; Zheng, S.Y.; Zhao, J.S.; Zhang, L.N. Hypomethylation of the Interferon γ Gene as a Potential Risk Factor for Essential Hypertension: A Case-Control Study. Tohoku J. Exp. Med. 2018, 244, 283–290. [Google Scholar] [CrossRef]
- Jin, S.; Park, C.O.; Shin, J.U.; Noh, J.Y.; Lee, Y.S.; Lee, N.R.; Kim, H.R.; Noh, S.; Lee, Y.; Lee, J.H.; et al. DAMP molecules S100A9 and S100A8 activated by IL-17A and house-dust mites are increased in atopic dermatitis. Exp. Dermatol. 2014, 23, 938–941. [Google Scholar] [CrossRef]
- Erbel, C.; Akhavanpoor, M.; Okuyucu, D.; Wangler, S.; Dietz, A.; Zhao, L.; Stellos, K.; Little, K.M.; Lasitschka, F.; Doesch, A.; et al. IL-17A influences essential functions of the monocyte/macrophage lineage and is involved in advanced murine and human atherosclerosis. J. Immunol. 2014, 193, 4344–4355. [Google Scholar] [CrossRef]
- Bartoloni, E.; Alunno, A.; Cafaro, G.; Valentini, V.; Bistoni, O.; Bonifacio, A.F.; Gerli, R. Subclinical Atherosclerosis in Primary Sjögren’s Syndrome: Does Inflammation Matter? Front. Immunol. 2019, 10, 817. [Google Scholar] [CrossRef]


| Characteristics | Controls (n = 43) | Subclinical Atherosclerosis (n = 48) | pCAD (n = 38) | * p |
|---|---|---|---|---|
| Age (years) | 56.86 ± 8.85 | 62.47 ± 8.05 € | 57.47 ± 6.34 ¥ | 0.001 |
| Gender (% male) | 15 (34.9) | 26 (55.3) | 34 (89.5) | <0.001 |
| BMI (kg/m2) | 25.13 ± 2.94 | 29.31 ± 3.66 € | 28.60 ± 3.75 € | <0.001 |
| Glucose (mg/dL) | 89 (81–93) | 95 (88.5–103) € | 91.50 (84.75–126.75) € | <0.001 |
| Triglycerides (mg/dL) | 101.10 (84–130.20) | 157.40 (113.87–236.30) € | 147.40 (111.07–195.42) € | <0.001 |
| Total cholesterol (mg/dL) | 193.80 ± 34.29 | 194.28 ± 41.44 | 149.15 ± 35.12 €, ¥ | <0.001 |
| HDL-C (mg/dL) | 59 (51–68) | 41.79 (35.82–52.20) € | 36.70 (32.82–42.80) €, ¥ | <0.001 |
| Non HDL-C (mg/dL) | 132.94 ± 35.20 | 149.40 ± 42.35 | 110.58 ± 35.13 €, ¥ | <0.001 |
| HOMA | 2.60 (1.85–3.52) | 4.78 (3.17–6.96) € | 4.84 (3.81–6.73) € | <0.001 |
| CAC (Agatston) | 0 | 172.7 (77.47–363.44) € | ND | <0.001 |
| Group | Crude Model | Model 1 | Model 2 | Model 3 | ||||
|---|---|---|---|---|---|---|---|---|
| OR (95% CI) | p | OR (95% CI) | p | OR (95% CI) | p | OR (95% CI) | p | |
| 1 | Reference | Reference | Reference | Reference | ||||
| 2 | 5.68 (2.38–14.03) | <0.001 | 7.74 (2.84–21.08) | <0.001 | 6.37 (2.34–17.33) | <0.001 | 6.05 (2.15–16.97) | 0.001 |
| Group | Crude Model | Model 1 | Model 2 | Model 3 | ||||
|---|---|---|---|---|---|---|---|---|
| OR (95% CI) | p | OR (95% CI) | p | OR (95% CI) | p | OR (95% CI) | p | |
| 1 | Reference | Reference | Reference | Reference | ||||
| 2 | 0.16 (0.06–0.41) | <0.001 | 0.16 (0.06–0.44) | <0.001 | 0.19 (0.06–0.57) | 0.003 | 0.19 (0.06–0.57) | 0.003 |
Disclaimer/Publisher’s Note: The statements, opinions and data contained in all publications are solely those of the individual author(s) and contributor(s) and not of MDPI and/or the editor(s). MDPI and/or the editor(s) disclaim responsibility for any injury to people or property resulting from any ideas, methods, instructions or products referred to in the content. |
© 2023 by the authors. Licensee MDPI, Basel, Switzerland. This article is an open access article distributed under the terms and conditions of the Creative Commons Attribution (CC BY) license (https://creativecommons.org/licenses/by/4.0/).
Share and Cite
Pérez-Hernández, N.; Posadas-Sánchez, R.; Vargas-Alarcón, G.; Pérez-Méndez, Ó.; Luna-Luna, M.; Rodríguez-Pérez, J.M. DNA Methylation of the IL-17A Gene Promoter Is Associated with Subclinical Atherosclerosis and Coronary Artery Disease: The Genetics of Atherosclerotic Disease Mexican Study. Curr. Issues Mol. Biol. 2023, 45, 9768-9777. https://doi.org/10.3390/cimb45120610
Pérez-Hernández N, Posadas-Sánchez R, Vargas-Alarcón G, Pérez-Méndez Ó, Luna-Luna M, Rodríguez-Pérez JM. DNA Methylation of the IL-17A Gene Promoter Is Associated with Subclinical Atherosclerosis and Coronary Artery Disease: The Genetics of Atherosclerotic Disease Mexican Study. Current Issues in Molecular Biology. 2023; 45(12):9768-9777. https://doi.org/10.3390/cimb45120610
Chicago/Turabian StylePérez-Hernández, Nonanzit, Rosalinda Posadas-Sánchez, Gilberto Vargas-Alarcón, Óscar Pérez-Méndez, María Luna-Luna, and José Manuel Rodríguez-Pérez. 2023. "DNA Methylation of the IL-17A Gene Promoter Is Associated with Subclinical Atherosclerosis and Coronary Artery Disease: The Genetics of Atherosclerotic Disease Mexican Study" Current Issues in Molecular Biology 45, no. 12: 9768-9777. https://doi.org/10.3390/cimb45120610
APA StylePérez-Hernández, N., Posadas-Sánchez, R., Vargas-Alarcón, G., Pérez-Méndez, Ó., Luna-Luna, M., & Rodríguez-Pérez, J. M. (2023). DNA Methylation of the IL-17A Gene Promoter Is Associated with Subclinical Atherosclerosis and Coronary Artery Disease: The Genetics of Atherosclerotic Disease Mexican Study. Current Issues in Molecular Biology, 45(12), 9768-9777. https://doi.org/10.3390/cimb45120610

