The Synthesis of α-Hydroxy-Alkylphosphonate Derivatives and Evaluation of Their Cytotoxic Activity
Abstract
1. Introduction
2. Results and Discussion
2.1. Synthesis
2.1.1. Preparation of the α-Hydroxy-Alkylphosphonates
2.1.2. Acylation of the α-Hydroxy-Alkylphosphonates
2.1.3. Phosphinoylation and Phosphorylation of the α-Hydroxy-Alkylphosphonates
2.1.4. Thiophosphinoylation of the α-Hydroxy-Alkylphosphonates
2.1.5. Methanesulfonylation of the α-Hydroxy-Alkylphosphonates
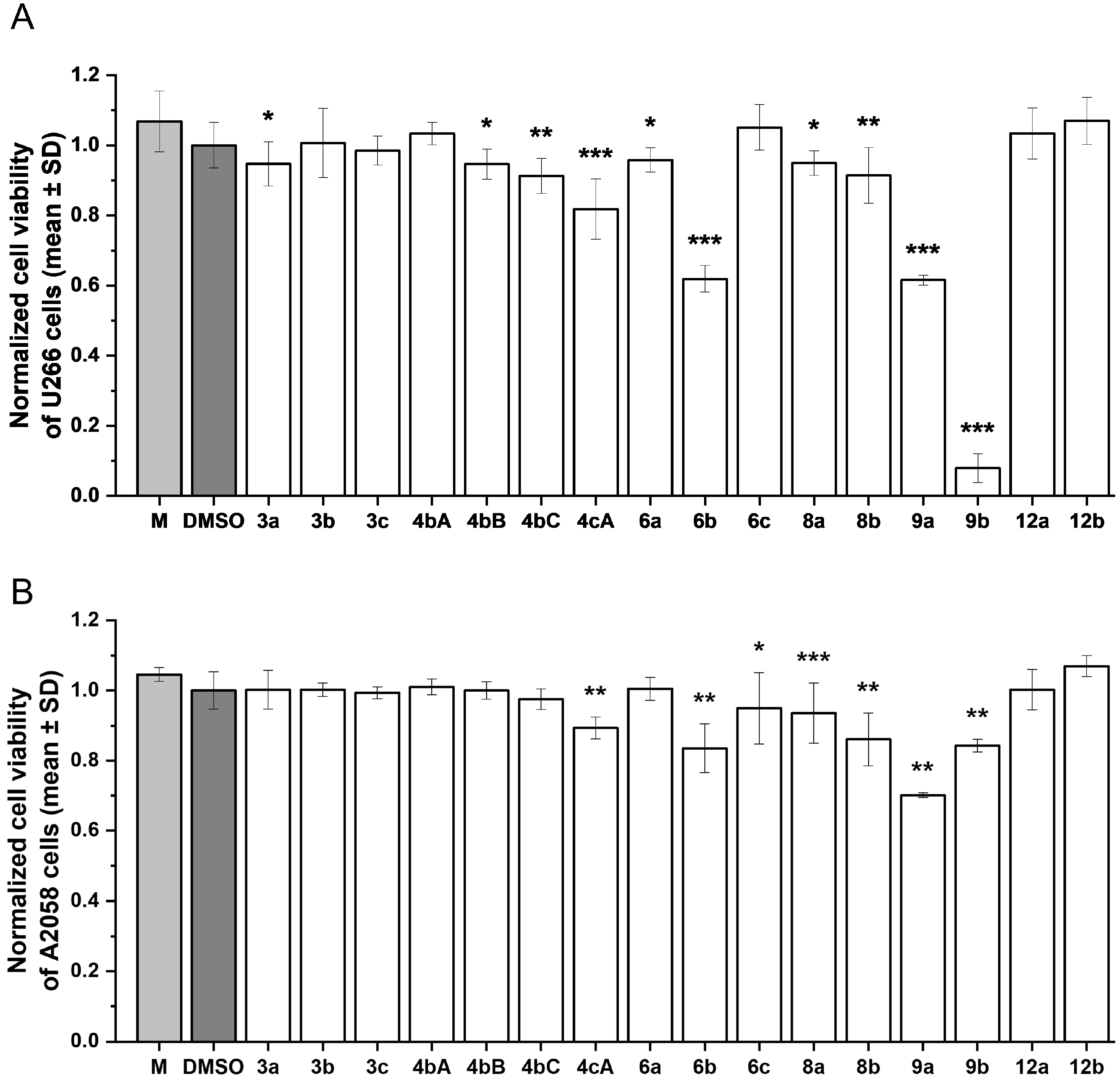
2.2. Study on the Cytotoxic Effect of the Phosphonates and Phosphine Oxides Prepared
3. Materials and Methods
3.1. General Information
3.2. General Procedure for the Synthesis of Dialkyl α-Hydroxy-α-methyl-propylphosphonates (3a–c) (Method A)
3.2.1. Dimethyl α-Hydroxy-α-methyl-propylphosphonate (3a)
3.2.2. Diethyl α-Hydroxy-α-methyl-propylphosphonate (3b)
3.2.3. Dibutyl α-Hydroxy-α-methyl-propylphosphonate (3c)
3.3. General Procedure for the Synthesis of Diaryl α-Hydroxy-α-methyl-propylphosphine Oxides (3d–f) (Method B)
3.3.1. α-Hydroxy-α-methyl-propyl-diphenylphosphine Oxide (3d)
3.3.2. Bis(4-methylphenyl)(α-hydroxy-α-methyl-propyl)phosphine Oxide (3e)
3.3.3. Bis(3,5-dimethylphenyl)(α-hydroxy-α-methyl-propyl)phosphine Oxide (3f)
3.4. General Procedure for the Synthesis of Acylated Diethyl and Dibutyl α-Hydroxy-methyl-propylphosphonates (4bA, 4bB, 4bC and 4cA)
3.4.1. Diethyl α-Acetyloxy-α-methyl-propylphosphonate (4bA)
3.4.2. Diethyl α-Propionyloxy-α-methyl-propylphosphonate (4bB)
3.4.3. Diethyl α-Butyryloxyy-α-methyl-propylphosphonate (4bC)
3.4.4. Dibutyl α-Acetyloxy-α-methyl-propylphosphonate (4cA)
3.5. General Procedure for the Synthesis of Phosphinoylated Diethyl α-Hydroxy-ethylphosphonate and Diphenyl α-Hydroxy-ethylphosphine Oxide (6a and 6b)
3.5.1. Diethyl α-Diphenylphosphinoyloxy-ethylphosphonate (6a)
3.5.2. Diphenyl α-Diphenylphosphinoyloxy-ethylphosphine oxide (6b)
3.6. Synthesis of Diethyl 1-(Diethylphosphonoylethyl)phosphate (6c)
3.7. General Procedure for the Synthesis of Phosphinoylated Diethyl α-Hydroxy-α-methyl-ethylphosphonate and α-Hydroxy-α-methyl-ethylphosphine Oxide (8a and 8b)
3.7.1. Diethyl α-Diphenylphosphinoyloxy-methyl-ethylphosphonate (8a)
3.7.2. Diethyl α-Diphenylphosphinoyloxy-methyl-propylphosphonate (8b)
3.8. General Procedure for the Synthesis of Thiophosphinoylated Diethyl α-Hydroxy-ethylphosphonate and α-Hydroxy-α-ethylphosphine Oxide (9a and 9b)
3.8.1. Diethyl α-Diphenyl-thiophosphinoyloxy-ethylphosphonate (9a)
3.8.2. Diphenyl α-Diphenyl-thiophosphinoyloxy-ethylphosphine Oxide (9b)
3.9. General Procedure for the Synthesis of Thiophosphinoylated Diethyl α-Hydroxy-methyl-ethylphosphonate and α-Hydroxy-α-methyl-propylphosphonate (10 and 11)
3.9.1. Diethyl α-Diphenyl-thiophosphinoyloxy-methyl-ethylphosphonate (10)
3.9.2. Diethyl α-Diphenyl-thiophosphinoyloxy-α-methyl-propylphosphonate (11)
3.10. General Procedure for the Synthesis of Mesylated Dimethyl and Diethyl α-Hydroxy-methyl-ethylphosphonates (12 and 12b)
3.10.1. Dimethyl α-Methanesulfonyloxy-methyl-ethylphosphonate (12a)
3.10.2. Diethyl α-Methanesulfonyloxy-methyl-ethylphosphonate (12b)
3.11. Bioactivity Experimental
3.11.1. Cell Culturing
3.11.2. Cell Viability Assays
3.11.3. Statistical Analysis
4. Conclusions
Supplementary Materials
Author Contributions
Funding
Institutional Review Board Statement
Informed Consent Statement
Data Availability Statement
Conflicts of Interest
References
- Rádai, Z.; Keglevich, G. Synthesis and Reactions of α-Hydroxyphosphonates. Molecules 2018, 23, 1493. [Google Scholar] [CrossRef]
- Olszewski, T.K. Environmentally benign syntheses of α-substituted phosphonates: Preparation of α-amino and α-hydroxyphosphonates in water, in ionic liquids, and under solvent-free conditions. Synthesis 2014, 46, 403–429. [Google Scholar] [CrossRef]
- Spilling, C.D.; Malla, R.K. Synthesis of non-racemic α-hydroxyphosphonates via asymmetric phosphor-aldol reaction. Top. Curr. Chem. 2015, 361, 83–136. [Google Scholar] [CrossRef]
- Kolodiazhnyi, O.I. Chiral hydroxyl phosphonates: Synthesis, configuration and biological properties. Russ. Chem. Rev. 2006, 75, 227–253. [Google Scholar] [CrossRef]
- Failla, S.; Finocchiaro, P.; Consiglio, G.A. Syntheses, characterization, stereochemistry and complexing properties of acyclic and macrocyclic compounds possessing α-amino- or α-hydroxyphosphonate units: A review article. Heteroatom. Chem. 2000, 11, 493–504. [Google Scholar] [CrossRef]
- Pudovik, A.N.; Konovalova, I.V. Addition reactions of esters of phosphorus(III) acids with unsaturated systems. Synthesis 1979, 2, 81–96. [Google Scholar] [CrossRef]
- Kong, D.-L.; Liu, R.-D.; Li, G.-Z.; Zhang, P.-W.; Wu, M.-S. A Rapid, Convenient, Solventless Green Approach for the Synthesis of α-Hydroxyphosphonates by Grinding. Asian J. Chem. 2014, 26, 1246–1248. [Google Scholar] [CrossRef]
- Kalla, R.M.N.; Zhang, Y.; Kim, I. Highly efficient green synthesis of α-hydroxyphosphonates using a recyclable choline hydroxide catalyst. New J. Chem. 2017, 41, 5373–5379. [Google Scholar] [CrossRef]
- Kumar, K.S.; Reddy, C.B.; Reddy, M.V.N.; Rani, C.R.; Reddy, C.S. Green chemical synthesis of α-hydroxyphosphonates. Org. Commun. 2012, 5, 50–57. [Google Scholar]
- Cybulska, P.; Legrand, Y.-M.; Babst-Kostecka, A.; Diliberto, S.; Leśniewicz, A.; Oliviero, E.; Bert, V.; Boulanger, C.; Grison, C.; Olszewski, T.K. Green and Effective Preparation of α-Hydroxyphosphonates by Ecocatalysis. Molecules 2022, 27, 3075. [Google Scholar] [CrossRef]
- Gundluru, M.; Mallu, K.K.R.; Sarva, S.; Cirandur, S.R. Green and eco-friendly synthesis of α-hydroxyphosphonates as antioxidant and antimicrobial agents. J. Mol. Struct. 2022, 1256, 132554. [Google Scholar] [CrossRef]
- Babazadeh, S.; Kazemi Miraki, M.; Pazoki, F.; Heydari, A. Tandem Oxidative Pudovik Reaction Using Fe3O4@SiO2-Metformin-Cu (II) as an Efficient and Recoverable Catalyst. ChemistrySelect 2020, 5, 4263. [Google Scholar] [CrossRef]
- Kumari, S.; Shekhar, A.; Pathak, D.D. A new catalyst and solvent-free green synthesis of-hydroxy phosphonates and-aminophosphonates. Chem. Sci. Trans. 2014, 3, 45–54. [Google Scholar] [CrossRef][Green Version]
- Ramananarivo, H.R.; Solhy, A.; Sebti, J.; Smahi, A.; Zahouily, M.; Clark, J.; Sebti, S. An Eco-Friendly Paradigm for the Synthesis of α-Hydroxyphosphonates Using Sodium-Modified Fluorapatite under Solventless Conditions. ACS Sustain. Chem. Eng. 2013, 1, 403–409. [Google Scholar] [CrossRef]
- Kulkarni, M.A.; Lad, U.P.; Desai, U.V.; Mitragotri, S.D.; Wadgaonkar, P.P. Mechanistic approach for expeditious and solvent-free synthesis of α-hydroxy phosphonates using potassium phosphate as catalyst. C. R. Chim. 2013, 16, 148–152. [Google Scholar] [CrossRef]
- Solhy, A.; Sebti, S.; Tahir, R.; Sebti, J.; Ould Abba, M.; Bousmina, M.; Vaudreuil, S.; Zahouily, M. Remarkable Catalytic Activity of Sodium-Modified-Hydroxyapatite in the Synthesis of α-Hydroxyphosphonates. Curr. Org. Chem. 2010, 14, 1517–1522. [Google Scholar] [CrossRef]
- Tajbakhsh, M.; Khaksar, S.; Tafazoli, Z.; Bekhradnia, A. MgCl2/Et3N Base System as a New Catalyst for the Synthesis of α-Hydroxyphosphonate. Chin. J. Chem. 2012, 30, 827–829. [Google Scholar] [CrossRef]
- Nandre, K.P.; Nandre, J.P.; Patil, V.S.; Bhosale, S.V. Barium hydroxide catalyzed greener protocol for the highly efficient and rapid synthesis of α-hydroxyphosphonates under solvent free conditions. Chem. Biol. Interface 2012, 2, 314–321. [Google Scholar]
- Bouzina, A.; Aouf, N.E.; Berredjem, M. Ultrasound assisted green synthesis of α-hydroxyphosphonates under solvent-free conditions. Res. Chem. Intermed. 2016, 42, 5993–6002. [Google Scholar] [CrossRef]
- Keglevich, G.; Tóth, V.R.; Drahos, L. Microwave-Assisted Synthesis of α-Hydroxybenzylphosphonates and -benzylphosphine Oxides. Heteroat. Chem. 2011, 22, 15–17. [Google Scholar] [CrossRef]
- Kaboudin, B.; Nazari, R. The Synthesis of α-Hydroxyphosphonates Mediated by Microwave Irradiation under Solvent-Free Conditions. J. Chem. Res. 2002, 2002, 291–292. [Google Scholar] [CrossRef]
- Patel, D.V.; Rielly-Gauvin, K.; Ryono, D.E.; Free, C.A.; Rogers, W.L.; Smith, S.A.; DeForrest, J.M.; Oehl, R.S.; Petrillo, E.W. Alpha-hydroxy phosphinyl-based inhibitors of human renin. J. Med. Chem. 1995, 38, 4557–4569. [Google Scholar] [CrossRef] [PubMed]
- Prior, A.M.; Kim, Y.; Weerasekara, S.; Moroze, M.; Alliston, K.R.; Uy, R.A.; Groutas, W.C.; Chang, K.O.; Hua, D.H. Design, synthesis, and bioevaluation of viral 3C and 3C-like protease inhibitors. Bioorg. Med. Chem. Lett. 2013, 23, 6317–6320. [Google Scholar] [CrossRef]
- Pompliano, D.L.; Rands, E.; Schaber, M.D.; Mosser, S.D.; Anthony, N.J.; Gibbs, J.B. Steady-state kinetic mechanism of ras farnesyl:protein transferase. Biochemistry 1992, 31, 3800–3807. [Google Scholar] [CrossRef]
- Frechette, R.F.; Ackerman, C.; Beers, S.; Look, R.; Moore, J. Novel hydroxyphosphonate inhibitors of CD-45 tyrosine phosphatase. Bioorg. Med. Chem. Lett. 1997, 7, 2169–2172. [Google Scholar] [CrossRef]
- Forlani, G.; Occhipinti, A.; Berlicki, Ł.; Dziedzioła, G.; Wieczorek, A.; Kafarski, P. Tailoring the structure of aminobisphosphonates to target plant P5C reductase. J. Agric. Food Chem. 2008, 56, 3193–3199. [Google Scholar] [CrossRef]
- Song, H.; Mao, H.; Shi, D. Synthesis and Herbicidal Activity of α-Hydroxy Phosphonate Derivatives Containing Pyrimidine Moiety. Chin. J. Chem. 2010, 28, 2020–2024. [Google Scholar] [CrossRef]
- Chen, X.B.; Shi, D.Q. Synthesis and biological activity of novel phosphonate derivatives containing of pyridyl and 1,2,3-triazole rings. Phosphorus Sulfur Silicon Relat. Elem. 2008, 183, 1134–1144. [Google Scholar] [CrossRef]
- Chen, T.; Shen, P.; Li, Y.; He, H. Synthesis and herbicidal activity of O,O-dialkyl phenoxyacetoxyalkylphosphonates containing fluorine. J. Fluor. Chem. 2006, 127, 291–295. [Google Scholar] [CrossRef]
- Wang, W.; Zhou, Y.; Peng, H.; He, H.W.; Lu, X.T. Synthesis and herbicidal activity of α-[(substituted phenoxybutyryloxy or valeryoxy)] alkylphosphonates and 2-(substituted)alkyl-5,5-dimethyl-1,3,2-dioxaphosphinan-2-one containing fluorine. J. Fluor. Chem. 2017, 193, 8–16. [Google Scholar] [CrossRef]
- Lorenz, W.; Henglein, A.; Schrader, G. The New Insecticide O,O-Dimethyl 2,2,2-Trichloro-1-hydroxyethylphosphonate. J. Am. Chem. Soc. 1955, 77, 2554–2556. [Google Scholar] [CrossRef]
- Wang, W.; Wang, L.P.; Ning, B.K.; Mao, M.Z.; Xue, C.; Wang, H.Y. Synthesis and insecticidal activities of O,O-dialkyl-2-[3-bromo-1-(3-chloropyridin-2-yl)-1H-pyrazole-5-carbonyloxy] (aryl) methylphosphonates. Phosphorus Sulfur Silicon Relat. Elem. 2016, 191, 1362–1367. [Google Scholar] [CrossRef]
- Pokalwar, R.U.; Hangarge, R.V.; Maske, P.V.; Shingare, M.S.; Pokalwar, R.U.; Hangarge, R.V.; Maske, P.V.; Shingare, M.S. Synthesis and antibacterial activities of α-hydroxyphosphonates and α-acetyloxyphosphonates derived from 2-chloroquinoline-3-carbaldehyde. Arkivoc 2006, 11, 196–204. [Google Scholar] [CrossRef]
- Desai, J.; Wang, Y.; Wang, K.; Malwal, S.R.; Oldfield, E. Isoprenoid biosynthesis inhibitors targeting bacterial cell growth. ChemMedChem 2016, 11, 2205–2215. [Google Scholar] [CrossRef]
- Reddy, G.S.; Sundar, C.S.; Prasad, S.S.; Dadapeer, E.D.; Raju, C.N.; Reddy, C.S. Synthesis, spectral characterization and antimicrobial activity of α-hydroxyphosphonates. Pharma Chem. 2012, 4, 2208–2213. Available online: https://www.derpharmachemica.com/pharma-chemica/synthesis-spectral-characterization-and-antimicrobial-activity-of-hydroxyphosphonates.pdf (accessed on 1 January 2012).
- Patil, N.S.; Deshmukh, G.B.; Patil, S.V.; Bholay, A.D.; Gaikwad, N.D. Synthesis and biological evaluation of novel N-aryl maleimide derivatives clubbed with α-hydroxyphosphonates. Eur. J. Med. Chem. 2014, 83, 490–497. [Google Scholar] [CrossRef]
- Stowasser, B.; Budt, K.-H.; Jian-Qi, L.; Peyman, A.; Ruppert, D. New hybrid transition state analog inhibitors of HIV protease with peripheric C2-symmetry. Tetrahedron Lett. 1992, 33, 6625–6628. [Google Scholar] [CrossRef]
- Kategaonkar, A.H.; Pokalwar, R.U.; Sonar, S.S.; Gawali, V.U.; Shingate, B.B.; Shingare, M.S. Synthesis, in vitro antibacterial and antifungal evaluations of new α-hydroxyphosphonate and new α-acetoxyphosphonate derivatives of tetrazolo [1, 5-a] quinoline. Eur. J. Med. Chem. 2010, 45, 1128–1132. [Google Scholar] [CrossRef]
- Rao, K.U.M.; Sundar, C.S.; Prasad, S.S.; Rani, C.R.; Reddy, C.S. Neat Synthesis and Antioxidant Activity of α-Hydroxyphosphonates. Bull. Korean Chem. Soc. 2011, 32, 3343–3347. [Google Scholar] [CrossRef]
- Naidu, K.R.M.; Kumar, K.S.; Arulselvan, P.; Reddy, C.B.; Lasekan, O. Synthesis of α-Hydroxyphosphonates and Their Antioxidant Properties. Arch. Pharm. Chem. Life Sci. 2012, 345, 957–963. [Google Scholar] [CrossRef]
- Sampath, S.; Raju, C.N.; Rao, C.V. An efficient synthesis, spectral characterization, antimicrobial, and antioxidant activities of novel α-hydroxyphosphonates and α-hydroxyphosphinates. Phosphorus Sulfur Silicon Relat. Elem. 2016, 191, 95–99. [Google Scholar] [CrossRef]
- Yang, J.; Ma, J.; Che, W.; Li, M.; Li, G.; Song, B. Microwave-assisted synthesis and antitumor activity of salicyl acyloxy phosphonate derivatives. Chin. J. Org. Chem 2014, 34, 2566–2571. [Google Scholar] [CrossRef]
- Bagchi, S.; Rathee, P.; Jayaprakash, V.; Banerjee, S. Farnesyl Transferase Inhibitors as Potential Anticancer Agents. Mini-Rev. Med. Chem. 2018, 18, 1611–1623. [Google Scholar] [CrossRef]
- Al-Kali, A.; Gandhi, V.; Ayoubi, M.; Keating, M.; Ravandi, F. Forodesine: Review of Preclinical and Clinical Data. Future Oncol. 2010, 6, 1211–1217. [Google Scholar] [CrossRef]
- Kalla, R.M.N.; Lee, H.R.; Cao, J.; Yoo, J.W.; Kim, I. Phospho sulfonic acid: An efficient and recyclable solid acid catalyst for the solvent-free synthesis of α-hydroxyphosphonates and their anticancer properties. New J. Chem. 2015, 39, 3916–3922. [Google Scholar] [CrossRef]
- Available online: https://joint-research-centre.ec.europa.eu/jrc-news-and-updates/latest-eu-cancer-data-what-new-2025-12-17_en (accessed on 17 December 2025).
- Rádai, Z.; Szeles, P.; Kiss, N.Z.; Hegedűs, L.; Windt, T.; Nagy, V.; Keglevich, G. Green synthesis and cytotoxic activity of dibenzyl α-hydroxyphosphonates and α-hydroxyphosphonic acids. Heteroat. Chem. 2018, 29, e21436. [Google Scholar] [CrossRef]
- Szalai, Z.; Debrei, M.; Ábrányi-Balogh, P.; Bősze, S.; Oláhné Szabó, R.; Karaghiosoff, K.; Drahos, L.; Keglevich, G. Synthesis of Mesylated and Tosylated α-Hydroxy Benzylphosphonates; Their Reactivity and Cytostatic Activity. ACS Omega 2024, 9, 31043–31055. [Google Scholar] [CrossRef] [PubMed]
- Szalai, Z.; Tóth, B.; Oláhné Szabó, R.; Bősze, S.; Karaghiosoff, K.; Czugler, M.; Drahos, L.; Keglevich, G. A study on bisphosphonic derivatives coming from the Pudovik reaction of dialkyl α-oxophosphonates and >P(O)H reagents: X-ray structure and bioactivity. Molecules 2023, 28, 6037. [Google Scholar] [CrossRef]
- Szalai, Z.; Bednárik, J.; Tóth, B.S.; Takács, A.; Tekula, S.; Kőhidai, L.; Karaghiosoff, K.; Drahos, L.; Keglevich, G. Cytotoxic Activity of Bisphosphonic Derivatives Obtained by the Michaelis–Arbuzov or the Pudovik Reaction. Pharmaceuticals 2025, 18, 91. [Google Scholar] [CrossRef]
- Szalai, Z.; Tóth, B.S.; Horváth, C.; Bohus, M.; Takács, A.; Kőhidai, L.; Gömöry, Á.; Drahos, L.; Keglevich, G. The Synthesis of Nonsymmetric α-hydroxy-ethylidenebisphosphonic Derivatives by the Pudovik Reaction, Their Reactions, and Cytotoxic Activity. Asian J. Org. Chem. 2025, 14, e00596. [Google Scholar] [CrossRef]
- Szalai, Z.; Kis, A.S.; Takács, A.; Kőhidai, L.; Karaghiosoff, K.; Czugler, M.; Drahos, L.; Keglevich, G. The Synthesis, Crystal Structure, Modification, and Cytotoxic Activity of α-Hydroxy-Alkylphosphonates. Molecules 2025, 30, 428. [Google Scholar] [CrossRef]
- Gu, L.; Jin, C.; Zhang, H. The catalytic aerobic synthesis of quaternary α-hydroxy phosphonates via direct hydroxylation of phosphonate compounds. New J. Chem. 2015, 39, 1579–1582. [Google Scholar] [CrossRef]
- Keglevich, G.; Sipos, M.; Takács, D.; Greiner, I. A study on the Michael addition of dialkylphosphites to methylvinylketone. Heteroat. Chem. 2007, 18, 226–229. [Google Scholar] [CrossRef]
- Morgalyuk, V.P.; Strelkova, T.V.; Nifant’ev, E.E. Reactions of N,N-dimethylamino(diphenylphosphoryl)chloromethane with alkan-2-ones. Russ. Chem. Bull. 2012, 61, 1833–1835. [Google Scholar] [CrossRef]
- Zhang, J.-Q.; Gao, M.; Han, L.-B. 2-(Hydroxypropan-2-yl)diphenylphosphine oxide (HDPO): A convenient precursor to diphenylphosphine oxide (DPO). Tetrahedron Lett. 2024, 135, 154889. [Google Scholar] [CrossRef]
- Takács, A.; Szász, Z.; Kalabay, M.; Bárány, P.; Csámpai, A.; Hegyesi, H.; Láng, O.; Lajkó, E.; Kőhidai, L. The Synergistic Activity of Bortezomib and TIC10 against A2058 Melanoma Cells. Pharmaceuticals 2021, 14, 820. [Google Scholar] [CrossRef] [PubMed]
- Lajkó, E.; Spring, S.; Hegedüs, R.; Biri-Kovács, B.; Ingebrandt, S.; Mező, G.; Kőhidai, L. Comparative cell biological study of in vitro antitumor and antimetastatic activity on melanoma cells of GnRH-III-containing conjugates modified with short-chain fatty acids. Beilstein J. Org. Chem. 2018, 14, 2495–2509. [Google Scholar] [CrossRef]
- Columbus, I.; Ghindes-Azaria, L.; Chen, R.; Yehezkel, L.; Redy-Keisar, O.; Fridkin, G.; Amir, D.; Marciano, D.; Drug, E.; Gershonov, E.; et al. Studying Lipophilicity Trends of Phosphorus Compounds by 31P-NMR Spectroscopy: A Powerful Tool for the Design of P-Containing Drugs. J. Med. Chem. 2022, 65, 8511–8524. [Google Scholar] [CrossRef]
- Zhao, C.; Rakesh, K.P.; Ravidar, L.; Fang, W.Y.; Qin, H.L. Pharmaceutical and medicinal significance of sulfur (SVI)-Containing motifs for drug discovery: A critical review. Eur. J. Med. Chem. 2019, 162, 679–734. [Google Scholar] [CrossRef]
- Shamsudin, N.F.; Rullah, K. Synthetic strategies and therapeutic applications of sulfur-containing molecules. Eur. J. Med. Chem. 2025, 298, 118007. [Google Scholar] [CrossRef]
- Szalai, Z.; Keglevich, G. Tetraalkyl Hydroxymethylenebisphosphonate and Dialkyl 1-Diphenylphosphinoyl-1-hydroxyethylphosphonate Derivatives by the Pudovik Reaction and Their Rearranged Products. Molecules 2021, 26, 7575. [Google Scholar] [CrossRef] [PubMed]
- Milen, M.; John, T.M.; Kis, A.S.; Garádi, Z.; Szalai, Z.; Takács, A.; Kőhidai, L.; Karaghiosoff, K.; Keglevich, G. Synthesis and Cytotoxic Activity of a New Family of α-Hydroxyphosphonates with the Benzothiophene Scaffold. Pharmaceuticals 2025, 18, 949. [Google Scholar] [CrossRef] [PubMed]










Disclaimer/Publisher’s Note: The statements, opinions and data contained in all publications are solely those of the individual author(s) and contributor(s) and not of MDPI and/or the editor(s). MDPI and/or the editor(s) disclaim responsibility for any injury to people or property resulting from any ideas, methods, instructions or products referred to in the content. |
© 2026 by the authors. Licensee MDPI, Basel, Switzerland. This article is an open access article distributed under the terms and conditions of the Creative Commons Attribution (CC BY) license.
Share and Cite
Szalai, Z.; Facskó, R.; Gömöry, Á.; Drahos, L.; Tekula, S.; Takács, A.; Kőhidai, L.; Keglevich, G. The Synthesis of α-Hydroxy-Alkylphosphonate Derivatives and Evaluation of Their Cytotoxic Activity. Pharmaceuticals 2026, 19, 396. https://doi.org/10.3390/ph19030396
Szalai Z, Facskó R, Gömöry Á, Drahos L, Tekula S, Takács A, Kőhidai L, Keglevich G. The Synthesis of α-Hydroxy-Alkylphosphonate Derivatives and Evaluation of Their Cytotoxic Activity. Pharmaceuticals. 2026; 19(3):396. https://doi.org/10.3390/ph19030396
Chicago/Turabian StyleSzalai, Zsuzsanna, Regina Facskó, Ágnes Gömöry, László Drahos, Szilárd Tekula, Angéla Takács, László Kőhidai, and György Keglevich. 2026. "The Synthesis of α-Hydroxy-Alkylphosphonate Derivatives and Evaluation of Their Cytotoxic Activity" Pharmaceuticals 19, no. 3: 396. https://doi.org/10.3390/ph19030396
APA StyleSzalai, Z., Facskó, R., Gömöry, Á., Drahos, L., Tekula, S., Takács, A., Kőhidai, L., & Keglevich, G. (2026). The Synthesis of α-Hydroxy-Alkylphosphonate Derivatives and Evaluation of Their Cytotoxic Activity. Pharmaceuticals, 19(3), 396. https://doi.org/10.3390/ph19030396

