Cycloartane-Type Saponins, Phytochemical-Rich Extracts, and Sub-Extracts from Astragalus noeanus Boiss. Exhibit In Vitro and In Silico Effects on Glucose Metabolism
Abstract
1. Introduction
2. Results
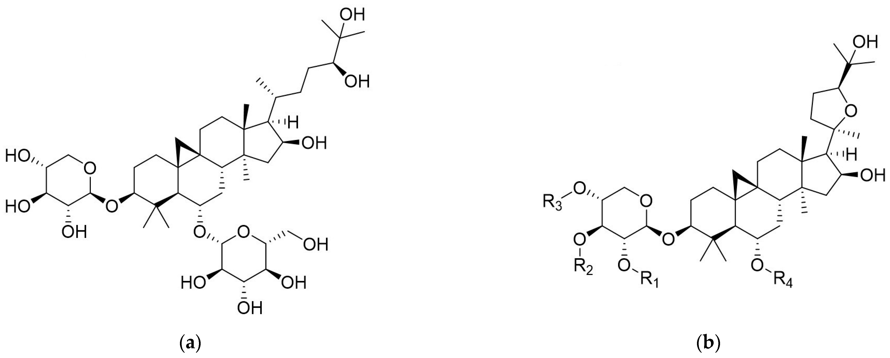
2.1. Plant Extraction and Isolation
2.2. Phytochemical Investigation
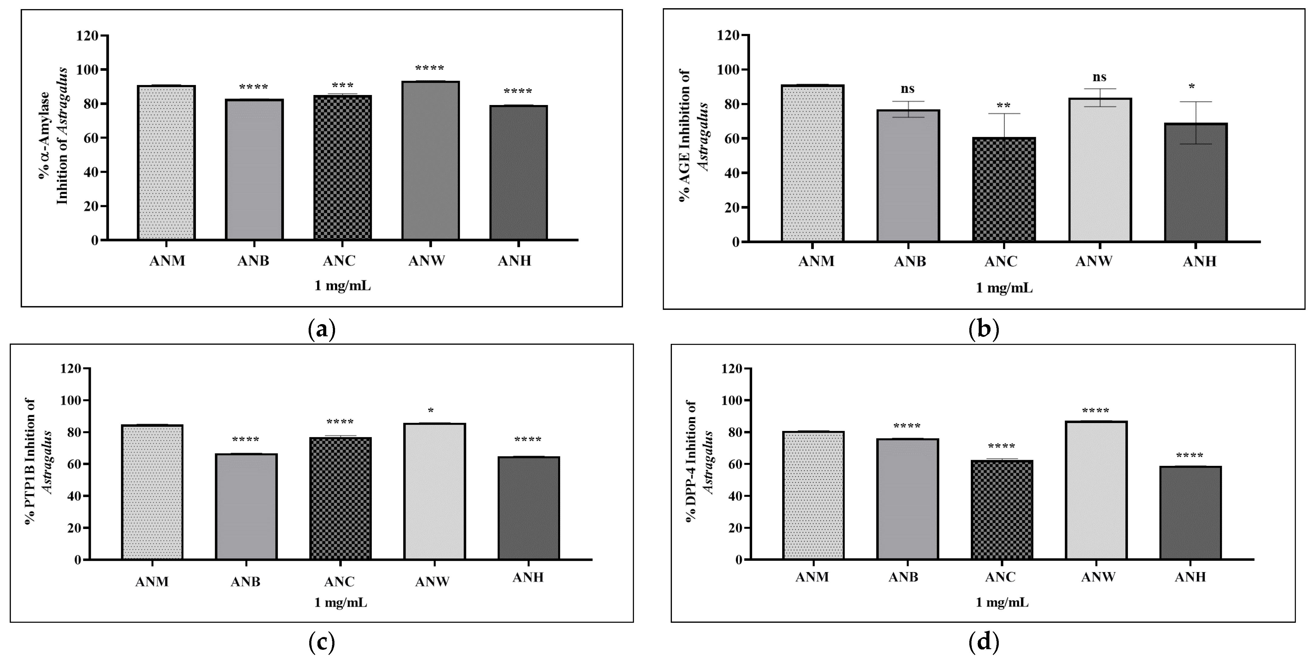
2.3. In Vitro Diabetes-Related Bioactivity Assays of A. noeanus Extracts/Sub-Extracts and Saponins
2.4. Antioxidant Activity
2.5. Molecular Docking Results
3. Discussion
4. Materials and Methods
4.1. Chemicals
4.2. Plant Material
4.3. Extraction and Isolation
4.4. In Vitro Diabetes-Related Bioactivity Methods
4.4.1. α-Amylase Inhibition Activity
4.4.2. Protein Tyrosine Phosphatase 1B (PTP1B) Inhibitory Assay
4.4.3. Dipeptidyl Peptidase IV (DPP IV) Inhibitory Activity
4.4.4. Advanced Glycation End Products (AGEs) Assay
4.4.5. Prebiotic Activity
4.5. In Vitro Investigation of Antioxidant Potential
4.5.1. DPPH Radical Scavenging Activity
4.5.2. Ferric Reducing Antioxidant Power (FRAP)
4.5.3. Cupric Reducing Antioxidant Capacity (CUPRAC)
4.5.4. Total Antioxidant Capacity
4.6. Chemical Profile Assessment
4.6.1. Total Flavonoid Content
4.6.2. Total Saponin Content
4.6.3. HPTLC Quantification of Saponins
4.7. Molecular Docking Studies
4.8. Statistics
5. Conclusions
Supplementary Materials
Author Contributions
Funding
Institutional Review Board Statement
Informed Consent Statement
Data Availability Statement
Acknowledgments
Conflicts of Interest
Abbreviations
| AGEs | Advanced Glycation End Products |
| AN | Astragalus noeanus |
| ANB | Astragalus noeanus Butanol Sub-Extract |
| ANC | Astragalus noeanus Chloroform Sub-Extract |
| ANH | Astragalus noeanus Hexane Extract |
| ANM | Astragalus noeanus Methanol Extract |
| ANW | Astragalus noeanus Water Sub-Extract |
| ASTI–IV | Astragaloside I–IV |
| BHT | Butylated Hydroxytoluene |
| BSA | Bovine Serum Albumin |
| CCE | Cyclocanthoside E |
| COSY | Correlation Spectroscopy |
| CUPRAC | Cupric Reducing Antioxidant Capacity |
| DM | Diabetes Mellitus |
| DNSA | 3,5-Dinitrosalicylic Acid |
| DPP IV (DPP4) | Dipeptidyl Peptidase IV |
| EDTA | Ethylenediaminetetraacetic Acid |
| FRAP | Ferric Reducing Antioxidant Power |
| FeE | FeSO4 Equivalents |
| GIP | Glucose-Dependent Insulinotropic Polypeptide |
| GLP-1 | Glucagon-Like Peptide 1 |
| GG | Lactobacillus rhamnosus GG |
| HMBC | Heteronuclear Multiple Bond Correlation |
| HPTLC | High-Performance Thin-Layer Chromatography |
| HRMS | High-Resolution Mass Spectrometry |
| HSQC | Heteronuclear Single Quantum Coherence |
| IC50 | Half-Maximal Inhibitory Concentration |
| LE | Ligand Efficiency |
| LP | Lactobacillus paracasei |
| LR | Lactobacillus reuteri |
| MRS | De Man, Rogosa, and Sharpe Medium |
| NMR | Nuclear Magnetic Resonance |
| OD600 | Optical Density at 600 nm |
| PTP1B | Protein Tyrosine Phosphatase 1B |
| QE | Quercetin Equivalent |
| RAGE | Receptor for Advanced Glycation End Products |
| S.D. | Standard Deviation |
| TFC | Total Flavonoid Content |
| TOAC | Total Antioxidant Capacity |
| TPS | Total Saponin Content |
| TPTZ | 2,4,6-Tris(2-pyridyl)-S-triazine |
| UV/VIS | Ultraviolet-Visible Spectrophotometry |
| pNPP | Para-Nitrophenyl Phosphate |
References
- Chinsembu, K.C. Diabetes mellitus and nature’s pharmacy of putative antidiabetic plants. J. Herb. Med. 2019, 15, 100230. [Google Scholar] [CrossRef]
- Stratton, C.F.; Newman, D.J.; Tan, D.S. Cheminformatic comparison of approved drugs from natural product versus synthetic origins. Bioorg. Med. Chem. Lett. 2015, 25, 4802–4807. [Google Scholar] [CrossRef]
- Chakrabarti, R.; Bhavtaran, S.; Narendra, P.; Varghese, N. Dipeptidyl peptidase-IV inhibitory activity of Berberis aristata. Nat. Prod. 2011, 4, 158–163. [Google Scholar]
- Wang, N.; Zhang, D.L.; Mao, X.Q.; Zou, F.; Jin, H.; Ouyang, J.P. Astragalus polysaccharides decreased the expression of PTP1B through relieving ER stress induced activation of ATF6 in a rat model of type 2 diabetes. Mol. Cell. Endocrinol. 2009, 307, 89–98. [Google Scholar] [CrossRef]
- Bharti, S.K.; Krishnan, S.; Kumar, A.; Kumar, A. Antidiabetic phytoconstituents and their mode of action on metabolic pathways. Ther. Adv. Endocrinol. Metab. 2018, 9, 81–100. [Google Scholar] [CrossRef] [PubMed]
- Vhora, N.; Naskar, U.; Hiray, A.; Kate, A.S.; Jain, A. Recent advances in in-vitro assays for type 2 diabetes mellitus: An overview. Rev. Diabet. Stud. 2020, 16, 13–23. [Google Scholar] [CrossRef] [PubMed]
- Kwon, R.H.; Thaku, N.; Timalsina, B.; Park, S.E.; Choi, J.S.; Jung, H.A. Inhibition mechanism of components isolated from Morus alba branches on diabetes and diabetic complications via experimental and molecular docking analyses. Antioxidants 2022, 11, 383. [Google Scholar] [CrossRef]
- Andrés Juan, C.; Pérez de la Lastra, J.M.; Plou, F.J.; Pérez-Lebeña, E.; Reinbothe, S. The chemistry of reactive oxygen species (ROS) revisited: Outlining their role in biological macromolecules (DNA, lipids and proteins) and induced pathologies. Int. J. Mol. Sci. 2021, 22, 4642. [Google Scholar] [CrossRef] [PubMed]
- Twarda-Clapa, A.; Olczak, A.; Białkowska, A.M.; Koziołkiewicz, M. Advanced glycation end-products (AGEs): Formation, chemistry, classification, receptors, and diseases related to AGEs. Cells 2022, 11, 1312. [Google Scholar] [CrossRef]
- Li, S.P.; Zhao, X.J.; Wang, J.Y. Synergy of Astragalus polysaccharides and probiotics (Lactobacillus and Bacillus cereus) on immunity and intestinal microbiota in chicks. Poult. Sci. 2009, 88, 519–525. [Google Scholar] [CrossRef]
- Yang, G.; Wei, J.; Liu, P.; Zhang, Q.; Tian, Y.; Hou, G.; Meng, L.; Xin, Y.; Jiang, X. Role of the gut microbiota in type 2 diabetes and related diseases. Metabolism 2021, 117, 154712. [Google Scholar] [CrossRef]
- Ejtahed, H.S.; Mohtadi-Nia, J.; Homayouni-Rad, A.; Niafar, M.; Asghari-Jafarabadi, M.; Mofid, V. Probiotic yogurt improves antioxidant status in type 2 diabetic patients. Nutrition 2012, 28, 539–543. [Google Scholar] [CrossRef]
- Hsieh, M.C.; Tsai, W.H.; Jheng, Y.P.; Su, S.L.; Wang, S.Y.; Lin, C.C.; Chen, Y.H.; Chang, W.W. The beneficial effects of Lactobacillus reuteri ADR-1 or ADR-3 consumption on type 2 diabetes mellitus: A randomized, double-blinded, placebo-controlled trial. Sci. Rep. 2018, 8, 16791. [Google Scholar] [CrossRef]
- Akan, H.; Firat, M.; Ekici, M. Astragalus bahcesarayensis (Leguminosae–Papilionoideae), a new species of section Alopecuroidei DC. from Turkey. Bot. J. Linn. Soc. 2008, 156, 439–444. [Google Scholar] [CrossRef]
- Amiri, S.M.; Joharchi, M.R.; Nadaf, M.; Nasseh, Y. Ethnobotanical knowledge of Astragalus spp.: The world’s largest genus of vascular plants. Avicenna J. Phytomed. 2020, 10, 128–142. [Google Scholar] [PubMed]
- Hayta, S.; Polat, R.; Selvi, S. Traditional uses of medicinal plants in Elazığ (Turkey). J. Ethnopharmacol. 2014, 154, 613–623. [Google Scholar] [CrossRef] [PubMed]
- Cakilcioglu, U.; Turkoglu, I. An ethnobotanical survey of medicinal plants in Sivrice (Elaziğ–Turkey). J. Ethnopharmacol. 2010, 132, 165–175. [Google Scholar] [CrossRef]
- Dalar, A. Plant taxa used in the treatment of diabetes in Van Province, Turkey. Int. J. Second. Metab. 2018, 5, 170–184. [Google Scholar] [CrossRef]
- Polat, R. Ethnobotanical study on medicinal plants in Bingöl (City center) (Turkey). J. Herb. Med. 2019, 16, 100247. [Google Scholar] [CrossRef]
- Salehi, B.; Carneiro, J.N.P.; Rocha, J.E.; Coutinho, H.D.M.; Morais Braga, M.F.B.; Sharifi-Rad, J.; Semwal, P.; Painuli, S.; Moujir, L.M.; de Zarate Machado, V.; et al. Astragalus species: Insights on its chemical composition toward pharmacological applications. Phytother. Res. 2021, 35, 2445–2476. [Google Scholar] [CrossRef]
- Han, D. Treatment with astragaloside IV reduced blood glucose, regulated blood lipids, and protected liver function in diabetic rats. J. Int. Med. Res. 2019, 49, 0300060519841165. [Google Scholar] [CrossRef] [PubMed]
- Li, L.; Zhang, Y.; Luo, Y.; Meng, X.; Pan, G.; Zhang, H.; Li, Y.; Zhang, B. The molecular basis of the anti-inflammatory property of astragaloside IV for the treatment of diabetes and its complications. Drug Des. Devel. Ther. 2023, 17, 771–790. [Google Scholar] [CrossRef]
- Oza, M.J.; Kulkarni, Y.A. Formononetin treatment in type 2 diabetic rats reduces insulin resistance and hyperglycemia. Front. Pharmacol. 2018, 9, 739. [Google Scholar] [CrossRef]
- Xu, A.; Wang, H.; Hoo, R.L.; Sweeney, G.; Vanhoutte, P.M.; Wang, Y.; Wu, D.; Chu, W.; Qin, G.; Lam, K.S. Selective elevation of adiponectin production by the natural compounds derived from a medicinal herb alleviates insulin resistance and glucose intolerance in obese mice. Endocrinology 2009, 150, 625–633. [Google Scholar] [CrossRef]
- Zhang, Q.; Cheng, S.; Sun, J.; Sun, Z.; Peng, W.; Kuang, G.; Su, X.; Wang, X.; Rao, Y.; Ou, T. Natural product cycloastragenol: A promising anti-diabetes candidate with therapeutic effects on its related complications in rats. Authorea. 2020, 1–17. Available online: https://www.authorea.com/users/314529/articles/444876 (accessed on 16 October 2025).
- He, Q.; Han, C.; Huang, L.; Yang, H.; Hu, J.; Chen, H.; Dou, R.; Ren, D.; Lin, H. Astragaloside IV alleviates mouse slow transit constipation by modulating gut microbiota profile and promoting butyric acid generation. J. Cell. Mol. Med. 2020, 24, 9349–9361. [Google Scholar] [CrossRef]
- Zheng, Y.; Ren, W.; Zhang, L.; Zhang, Y.; Liu, D.; Liu, Y. A review of the pharmacological action of Astragalus polysaccharide. Front. Pharmacol. 2020, 11, 349. [Google Scholar] [CrossRef]
- Qu, C.; Tan, X.; Hu, Q.; Tang, J.; Wang, Y.; He, C.; He, Z.J.; Li, B.; Fu, X.; Du, Q. A systematic review of astragaloside IV effects on animal models of diabetes mellitus and its complications. Heliyon 2024, 10, e26863. [Google Scholar] [CrossRef] [PubMed]
- Isaev, M.L.; Imonmazarov, B.A.; Fadeev, Y.M.; Kintya, P.A. Triterpene glycosides of Astragalus and their genins XLII. Cycloartanes of Astragalus tragacantha. Chem. Nat. Compd. 1992, 28, 315. [Google Scholar] [CrossRef]
- Alaniya, M.D.; Gigoshvili, T.I.; Kavtaradze, N.S.; Lavoi, S.; Pichette, A.; Mshvildadze, V.D. Cyclocephalogenin and cyclogalegigenin from Astragalus caucasicus. Chem. Nat. Compd. 2007, 43, 361–362. [Google Scholar] [CrossRef]
- Bedir, E.; Calis, I.; Aquino, R.; Piacente, S.; Pizza, C. Cycloartane triterpene glycosides from the roots of Astragalus brachypterus and Astragalus microcephalus. J. Nat. Prod. 1998, 61, 1469–1472. [Google Scholar] [CrossRef] [PubMed]
- Gülcemal, D.; Alankuş-Çalişkan, Ö.; Perrone, A.; Özgökçe, F.; Piacente, S.; Bedir, E. Cycloartane glycosides from Astragalus aureus. Phytochemistry 2011, 72, 761–768. [Google Scholar] [CrossRef] [PubMed]
- Santoro, V.; Parisi, V.; D’Ambola, M.; Sinisgalli, C.; Monné, M.; Milella, L.; Russo, R.; Severino, L.; Braca, A.; Tommasi, N.D. Chemical profiling of Astragalus membranaceus roots (Fish.) Bunge herbal preparation and evaluation of its bioactivity. Nat. Prod. Commun. 2020, 15, 1934578X20924152. [Google Scholar] [CrossRef]
- Li, W.; Fitzloff, J.F. Determination of astragaloside IV in Radix Astragali (Astragalus membranaceus var. monghulicus) using high-performance liquid chromatography with evaporative light-scattering detection. J. Chromatogr. Sci. 2021, 39, 459–462. [Google Scholar] [CrossRef]
- Song, J.Z.; Yiu, H.H.W.; Qiao, C.F.; Han, Q.B.; Xu, H.X. Chemical comparison and classification of Radix Astragali by determination of isoflavonoids and astragalosides. J. Pharm. Biomed. Anal. 2008, 47, 399–406. [Google Scholar] [CrossRef]
- Zu, Y.; Yan, M.; Fu, Y.; Liu, W.; Zhang, L.; Gu, C.; Efferth, T. Determination and quantification of astragalosides in Radix Astragali and its medicinal products using LC-MS. J. Sep. Sci. 2009, 32, 517–525. [Google Scholar] [CrossRef]
- Bahadoran, Z.; Mirmiran, P.; Azizi, F. Dietary polyphenols as potential nutraceuticals in management of diabetes: A review. J. Diabetes Metab. Disord. 2013, 12, 43. [Google Scholar] [CrossRef] [PubMed]
- Arumugam, R.; Kirkan, B.; Sarikurkcu, C. Phenolic profile, antioxidant and enzyme inhibitory potential of methanolic extracts from different parts of Astragalus ponticus Pall. S. Afr. J. Bot. 2019, 120, 268–273. [Google Scholar] [CrossRef]
- Jabbar, A.A.; Abdulrahman, K.K.; Abdulsamad, P.; Mojarrad, S.; Mehmetçik, G.; Sardar, A.S. Phytochemical profile, antioxidant, enzyme inhibitory and acute toxicity activity of Astragalus bruguieri. Baghdad Sci. J. 2023, 20, 157–165. [Google Scholar] [CrossRef]
- Kurt-Celep, İ.; Zengin, G.; Sinan, K.I.; Ak, G.; Elbasan, F.; Yıldıztugay, E.; Maggi, F.; Caprioli, G.; Angeloni, S.; Sharmeen, J.B.; et al. Comprehensive evaluation of two Astragalus species (A. campylosema and A. hirsutus) based on biological, toxicological properties and chemical profiling. Food Chem. Toxicol. 2021, 154, 112330. [Google Scholar] [CrossRef]
- Gao, J.; Jiang, Z.; Adams, E.; Van Schepdael, A. A fast and efficient method for screening and evaluation of hypoglycemic ingredients of Traditional Chinese Medicine acting on PTP1B by capillary electrophoresis. J. Pharm. Biomed. Anal. 2024, 244, 116125. [Google Scholar] [CrossRef]
- Zhao, M.; Zhang, Z.F.; Ding, Y.; Wang, J.B.; Li, Y. Astragalus polysaccharide improves palmitate-induced insulin resistance by inhibiting PTP1B and NF-κB in C2C12 myotubes. Molecules 2012, 17, 7083–7092. [Google Scholar] [CrossRef]
- Zhou, X.; Wang, L.L.; Tang, W.J.; Tang, B. Astragaloside IV inhibits protein tyrosine phosphatase 1B and improves insulin resistance in insulin-resistant HepG2 cells and triglyceride accumulation in oleic acid (OA)-treated HepG2 cells. J. Ethnopharmacol. 2021, 268, 113556. [Google Scholar] [CrossRef]
- Borah, A.K.; Ahmed, S.A.; Borah, J.C. Phytomedicine as a source of SGLT2 inhibitors, GLP-1 secretagogues and DPP-IV inhibitors for mitigation of diabetic nephropathy. Phytomed. Plus 2022, 2, 100225. [Google Scholar] [CrossRef]
- Gawli, K.; Bojja, K.S. Molecules and targets of antidiabetic interest. Phytomed. Plus 2024, 4, 100506. [Google Scholar] [CrossRef]
- Ozdemir, K.; Barak, T.H.; Kurt-Celep, I.; Savasan, O.; Demirci Kayıran, S.; Eroglu Ozkan, E. Evaluation of phytochemistry and antidiabetic potential of an Astragalus species (Astragalus kurdicus Boiss.). Chem. Biodivers. 2024, 21, e202400699. [Google Scholar] [CrossRef]
- Song, Q.; Zou, J.; Li, D.; Cheng, S.W.; Li, K.L.S.; Yang, X.; Shaw, P.C.; Zuo, Z. Gastrointestinal metabolism of Astragalus membranaceus polysaccharides and its related hypoglycemic mechanism based on gut microbial transformation. Int. J. Biol. Macromol. 2024, 280, 135847. [Google Scholar] [CrossRef] [PubMed]
- Motomura, K.; Fujiwara, Y.; Kiyota, N.; Tsurushima, K.; Takeya, M.; Nohara, T.; Nagai, R.; Ikeda, T. Astragalosides isolated from the root of Astragalus radix inhibit the formation of advanced glycation end products. J. Agric. Food Chem. 2009, 57, 7666–7672. [Google Scholar] [CrossRef] [PubMed]
- Luangphiphat, W.; Prombutara, P.; Jamjuree, P.; Chantarangkul, C.; Vitheejongjaroen, P.; Muennarong, C.; Fukfon, K.; Onwan, M.; Taweechotipatr, M. The efficacy of Lacticaseibacillus paracasei MSMC39-1 and Bifidobacterium animalis TA-1 probiotics in modulating gut microbiota and reducing the risk of the characteristics of metabolic syndrome: A randomized, double-blinded, placebo-controlled study. PLoS ONE 2025, 20, e0317202. [Google Scholar] [CrossRef]
- Song, Q.; Cheng, S.W.; Li, D.; Cheng, H.; Lai, Y.S.; Han, Q.; Wu, H.Y.; Shaw, P.C.; Zuo, Z. Gut microbiota mediated hypoglycemic effect of Astragalus membranaceus polysaccharides in db/db mice. Front. Pharmacol. 2022, 13, 1043527. [Google Scholar] [CrossRef]
- Wang, D.; Zhang, Y.; Xu, M.; Sun, X.; Cui, X.; Wang, X.; Liu, D. Dietary Bacillus licheniformis improves the effect of Astragalus membranaceus extract on blood glucose by regulating antioxidation activity and intestinal microbiota in InR[E19]/TM2 Drosophila melanogaster. PLoS ONE 2022, 17, e0271177. [Google Scholar] [CrossRef]
- Yuan, H.; Xu, G.; Liu, J.; Yan, Y.; Zhao, S.; Cai, F.; Yu, X.; Wang, Y.; Li, M. Astragalus mongholicus polysaccharides alleviate insulin resistance through modulation of PI3K/AKT, TLR4/NF-κB signaling pathway and microbiota in rats with type 2 diabetes mellitus. J. Tradit. Complement. Med. 2025, 15, 274–285. [Google Scholar] [CrossRef]
- Gong, P.; Xiao, X.; Wang, S.; Shi, F.; Liu, N.; Chen, X.; Yang, W.; Wang, L.; Chen, F. Hypoglycemic effect of astragaloside IV via modulating gut microbiota and regulating AMPK/SIRT1 and PI3K/AKT pathway. J. Ethnopharmacol. 2021, 281, 114558. [Google Scholar] [CrossRef] [PubMed]
- Pisoschi, A.M.; Pop, A.; Iordache, F.; Stanca, L.; Predoi, G.; Serban, A.I. Oxidative stress mitigation by antioxidants—An overview on their chemistry and influences on health status. Eur. J. Med. Chem. 2021, 209, 112891. [Google Scholar] [CrossRef] [PubMed]
- Caturano, A.; D’Angelo, M.; Mormone, A.; Russo, V.; Mollica, M.P.; Salvatore, T.; Galiero, R.; Rinaldi, L.; Vetrano, E.; Marfella, R.; et al. Oxidative stress in type 2 diabetes: Impacts from pathogenesis to lifestyle modifications. Curr. Issues Mol. Biol. 2023, 45, 6651–6666. [Google Scholar] [CrossRef] [PubMed]
- Yao, J.; Peng, T.; Shao, C.; Liu, Y.; Lin, H.; Liu, Y. The antioxidant action of Astragali radix: Its active components and molecular basis. Molecules 2024, 29, 1691. [Google Scholar] [CrossRef]
- Adigüzel, A.; Sökmen, M.; Özkan, H.; Aǧar, G.; Güllüce, M.; Şahin, F. In vitro antimicrobial and antioxidant activities of methanol and hexane extract of Astragalus species growing in the eastern Anatolia Region of Turkey. Turk. J. Biol. 2009, 33, 65–71. [Google Scholar] [CrossRef]
- Ghasemian-Yadegari, J.; Fard Ardali, J.K.; Nikbakht, M.R.; Rashidipour, M.; Nouraie, H.; Sikevandi, S.J.; Rad, M.T.; Mirzania, F. Evaluation of antioxidant, mutagenicity, and anti-mutagenicity potential of Astragalus gossypinus Fisch. extracts. Curr. Bioact. Compd. 2022, 19, 11–17. [Google Scholar] [CrossRef]
- Al Sharif, M.; Alov, P.; Diukendjieva, A.; Vitcheva, V.; Simeonova, R.; Krasteva, I.; Shkondrov, A.; Tsakovska, I.; Pajeva, I. Molecular determinants of PPARγ partial agonism and related in silico/in vivo studies of natural saponins as potential type 2 diabetes modulators. Food Chem. Toxicol. 2018, 112, 47–59. [Google Scholar] [CrossRef]
- Al Sharif, M.; Vitcheva, V.; Simeonova, R.; Krasteva, I.; Manov, V.; Alov, P.; Popov, G.; Shkondrov, A.; Pajeva, I. In silico and in vivo studies of Astragalus glycyphylloides saponin(s) with relevance to metabolic syndrome modulation. Food Chem. Toxicol. 2019, 130, 317–325. [Google Scholar] [CrossRef]
- Liu, J.; Yang, K.; Zhou, L.; Deng, J.; Rong, G.; Shi, L.; Zhang, X.; Ren, J.; Zhang, Y.; Cao, W. A new strategy for astragaloside IV in the treatment of diabetic kidney disease: Analyzing the regulation of ferroptosis and mitochondrial function of renal tubular epithelial cells. Int. Immunopharmacol. 2024, 141, 112794. [Google Scholar] [CrossRef]
- Inan, Y.; Kurt-Celep, I.; Akyüz, S.; Barak, T.H.; Celep, E.; Yesilada, E. An investigation on the enzyme inhibitory activities, phenolic profile and antioxidant potentials of Salvia virgata Jacq. S. Afr. J. Bot. 2021, 143, 350–358. [Google Scholar] [CrossRef]
- Barak, T.H.; Bardakcı, H.; Kurt-Celep, I.; Özdemir, K.; Celep, E. Evaluation of the influence of in vitro human digestion simulation on the chemical composition and bioactivities of Ziziphus jujuba Mill. Acta Aliment. 2022, 51, 105–114. [Google Scholar] [CrossRef]
- Rattanakiat, S.; Pulbutr, P.; Khunawattanakul, W.; Sungthong, B.; Saramunee, K. Prebiotic activity of polysaccharides extracted from Jerusalem artichoke tuber and development of prebiotic granules. Pharmacogn. J. 2020, 12, 1402–1411. [Google Scholar] [CrossRef]
- Bardakci, H.; Barak, T.H.; Özdemir, K.; Celep, E. Effect of brewing material and various additives on polyphenolic composition and antioxidant bioactivity of commercial Tilia platyphyllos Scop. infusions. J. Res. Pharm. 2020, 24, 133–141. [Google Scholar] [CrossRef]
- Barak, T.H.; Celep, E.; İnan, Y.; Yesilada, E. Influence of in vitro human digestion on the bioavailability of phenolic content and antioxidant activity of Viburnum opulus L. (European cranberry) fruit extracts. Ind. Crops Prod. 2019, 131, 62–69. [Google Scholar] [CrossRef]
- Barak, T.H.; Kurt-Celep, I.; Dilek-Tepe, H.; Bardakcı, H.; Akaydın, G.; Yesilada, E.; Celep, E. In vitro assessment of dermatological activity potential of Achillea clypeolata Sm. in H2O2-treated human dermal fibroblasts. S. Afr. J. Bot. 2023, 160, 1–8. [Google Scholar] [CrossRef]
- Barak, T.H.; Kurt-Celep, İ.; Celep, E. Bioaccessibility and functional food potential of Equisetum telmateia Ehrh. against diabetes-induced kidney disorders. Foods 2024, 13, 4092. [Google Scholar] [CrossRef]
- Barak, T.H.; Kurt-Celep, İ.; Şentürk, T.B.; Bardakci, H.; Celep, E. In vitro anti-aging potential evaluation of Maclura pomifera (Rafin.) Schneider 80% methanol extract with quantitative HPTLC analysis. Turk. J. Pharm. Sci. 2022, 19, 400–407. [Google Scholar] [CrossRef] [PubMed]
- Lim, J.G.; Park, H.M.; Yoon, K.S. Analysis of saponin composition and comparison of the antioxidant activity of various parts of the quinoa plant (Chenopodium quinoa Willd.). Food Sci. Nutr. 2020, 8, 694–702. [Google Scholar] [CrossRef] [PubMed]
- Li, H.; Zhao, Y.; Yang, W.; Zhang, Z. Characterization of astragaloside I–IV based on the separation of HPTLC from Pleurotus ostreatus cultivated with Astragalus. J. Food Sci. 2020, 85, 3183–3190. [Google Scholar] [CrossRef]
- Morris, G.M.; Huey, R.; Lindstrom, W.; Sanner, M.F.; Belew, R.K.; Goodsell, D.S.; Olson, A.J. AutoDock4 and AutoDockTools4: Automated docking with selective receptor flexibility. J. Comput. Chem. 2009, 30, 2785–2791. [Google Scholar] [CrossRef] [PubMed]
- Eberhardt, J.; Santos-Martins, D.; Tillack, A.F.; Forli, S. AutoDock Vina 1.2.0: New docking methods, expanded force field, and Python bindings. J. Chem. Inf. Model. 2021, 61, 3891–3898. [Google Scholar] [CrossRef] [PubMed]
- Trott, O.; Olson, A.J. AutoDock Vina: Improving the speed and accuracy of docking with a new scoring function, efficient optimization, and multithreading. J. Comput. Chem. 2010, 31, 455–461. [Google Scholar] [CrossRef]
- Berman, H.M.; Westbrook, J.; Feng, Z.; Gilliland, G.; Bhat, T.N.; Weissig, H.; Shindyalov, I.N.; Bourne, P.E. The Protein Data Bank. Nucleic Acids Res. 2000, 28, 235–242. [Google Scholar] [CrossRef]
- Phillips, J.C.; Hardy, D.J.; Maia, J.D.C.; Stone, J.E.; Ribeiro, J.V.; Bernardi, R.C.; Buch, R.; Fiorin, G.; Hénin, J.; Jiang, W.; et al. Scalable molecular dynamics on CPU and GPU architectures with NAMD. J. Chem. Phys. 2020, 153, 044130. [Google Scholar] [CrossRef] [PubMed]
- Vanommeslaeghe, K.; Hatcher, E.; Acharya, C.; Kundu, S.; Zhong, S.; Shim, J.; Darian, E.; Guvench, O.; Lopes, P.; Vorobyov, I.; et al. CHARMM general force field: A force field for drug-like molecules compatible with the CHARMM all-atom additive biological force fields. J. Comput. Chem. 2010, 31, 671–690. [Google Scholar] [CrossRef]
- Wallace, A.C.; Laskowski, R.A.; Thornton, J.M. LIGPLOT: A program to generate schematic diagrams of protein–ligand interactions. Protein Eng. 1995, 8, 127–134. [Google Scholar] [CrossRef]









| Extract/ Sub-Extract | (μg/mg) | ||||
|---|---|---|---|---|---|
| AST I | AST II | AST III | AST IV | CCE | |
| ANM | trace | trace | ND | 14.28 ± 1.29 | 117.27 ± 6.71 |
| ANC | ND | ND | ND | ND | trace |
| ANB | trace | 3.5 ± 0.07 | ND | 31.25 ± 2.63 | 197.13 ± 12.49 |
| ANW | trace | trace | ND | 1.44 ± 0.09 | trace |
| ANH | ND | ND | ND | ND | ND |
| A. noeanus Extracts/ Sub-Extracts ** | ANM * | ANB | ANC | ANW | ANH | Standard Inhibitors | |
|---|---|---|---|---|---|---|---|
| 1000 μg/mL | 500 μg/mL | ||||||
| % α-amylase Inhibition | 91.00 ± 0.18 | 82.84 ± 0.04 | 84.99 ± 0.92 | 93.49 ± 0.06 | 79.31 ± 0.05 | 92.40 # ± 0.07 | 88.89 # ± 0.01 |
| % PTP1B Inhibition | 84.86 ± 0.00 | 66.80 ± 0.04 | 77.00 ± 0.03 | 85.93 ± 0.04 | 64.92 ± 0.07 | 93.62 ## ± 0.07 | 90.75 ## ± 0.07 |
| % DPP IV Inhibition | 80.81 ± 0.00 | 76.23 ± 0.01 | 62.48 ± 0.00 | 87.26 ± 0.00 | 58.85 ± 0.01 | 98.46 § ± 0.07 | 93.21 § ± 0.01 |
| % AGEs Inhibition | 91.38 ± 0.15 | 76.95 ± 4.66 | 60.83 ± 13.61 | 83.70 ± 5.20 | 69.09 ± 12.25 | 93.82 §§ ± 6.62 | 85.44 §§ ± 6.88 |
| ** | AST I | AST II | AST III | AST IV | CCE | Standard Inhibitors | |
|---|---|---|---|---|---|---|---|
| 1000 μg/mL | 500 μg/mL | ||||||
| % α-amylase Inhibition | 85.59 ± 1.15 | 86.87 ± 0.30 | 89.26 ± 0.30 | 99.51 ± 0.59 | 82.71 ± 0.04 | 92.40 # ± 0.07 | 88.89 # ± 0.01 |
| % PTP1B Inhibition | 70.24 ± 0.02 | 68.93 ± 0.06 | 77.58 ± 0.04 | 88.37 ± 0.01 | 66.60 ± 0.06 | 93.62 ## ± 0.07 | 90.75 ## ± 0.07 |
| % DPP IV Inhibition | 92.32 ± 0.01 | 80.09 ± 0.5 | 95.21 ± 0.00 | 96.77 ± 0.00 | 90.92 ± 0.00 | 98.46 § ± 0.07 | 93.21 § ± 0.01 |
| % AGEs Inhibition | 74.68 ± 1.00 | 72.78 ± 1.35 | 77.21 ± 2.05 | 82.14 ± 6.05 | 63,35 ± 0.90 | 93.82 §§ ± 6.62 | 85.44 §§ ± 6.88 |
| * | MRS | GLU | BIO | PRE | ANM | ANB | ANW |
|---|---|---|---|---|---|---|---|
| GG | 1.772 a ± 0.051 | 2.071 b ± 0.022 | 2.016 b ± 0.036 | 2.028 b ± 0.109 | 2.145 b ± 0.022 | 2.035 b ± 0.017 | 2.103 b ± 0.011 |
| LP | 1.587 b ± 0.038 | 1.535 bc ± 0.026 | 1.433 c ± 0.099 | 1.304 d ± 0.015 | 1.714 a ± 0.033 | 1.640 ab ± 0.014 | 1.625 ab ± 0.004 |
| LR | 1.608 ab ± 0.033 | 1.538 a ± 0.078 | 1.63 ab ± 0.061 | 1.638 ab ± 0.047 | 1.688 ab ± 0.057 | 1.567 ab ± 0.023 | 1.716 b ± 0.071 |
| Analysis | ANM | ANB | ANC | ANW | ANH |
|---|---|---|---|---|---|
| TOAC A | 105.06 a ± 10.23 | 100.32 a ± 1.52 | 107.71 a ± 7.32 | 18.58 b ± 0.21 | ND. |
| FRAP B | 0.18 a ± 0.00 | 0.14 b ± 0.00 | 0.35 c ± 0.03 | 0.05 d ± 0.00 | ND. |
| CUPRAC C | 39.01a ± 1.31 | 34.68 b ± 1.08 | 65.61 c ± 5.69 | 53.58 d ± 7.46 | 18.89 e ± 1.7 |
| DPPH D | 17.85 a ± 0.21 | 12.00 b ± 0.19 | 44.34 c ± 0.15 | 39.02 d ± 0.32 | ND. |
| 1J2E | 1NNY | 1OSE | 1T49 | 3O3U | TOTAL | |||||||
|---|---|---|---|---|---|---|---|---|---|---|---|---|
| Autodock | Vina | Autodock | Vina | Autodock | Vina | Autodock | Vina | Autodock | Vina | |||
| AST I | DS | −4.34 | −8.9 | −2.41 | −7.7 | −3.32 | −8.4 | −1.92 | −6.1 | −6.02 | −10.5 | −56.29 |
| Ki | 656.63 μM | 17.13 mM | 3.71 mM | 39.33 mM | 38.51 μM | |||||||
| AST II | DS | −4.83 | −9.3 | −2.82 | −7.4 | −2.77 | −8.1 | −1.65 | −6.3 | −5.77 | −10.1 | −59.04 |
| Ki | 287.41 μM | 8.57 mM | 9.38 mM | 61.71 mM | 59.07 μM | |||||||
| AST III | DS | −4.10 | −10.0 | −3.14 | −7.7 | −3.16 | −9.0 | −1.68 | −6.1 | −5.22 | −10.6 | −60.70 |
| Ki | 989.76 μM | 5.01 mM | 4.81 mM | 59.08 mM | 148.43 μM | |||||||
| AST IV | DS | −3.75 | −8.7 | −2.93 | −7.6 | −2.50 | −8.4 | −1.09 | −5.4 | −5.88 | −10.5 | −56.75 |
| Ki | 1.78 mM | 7.10 mM | 14.76 mM | 158.03 mM | 48.83 μM | |||||||
| CCE | DS | −2.24 | −9.2 | −2.17 | −7.5 | −4.76 | −8.5 | +0.22 | −5.7 | −5.16 | −10.6 | −55.61 |
| Ki | 22.63 mM | 25.69 mM | 323.82 μM | - | 165.94 μM | |||||||
| Protein-Ligand Pair | H-Bonding Interactions | Hydrophobic Interactions |
|---|---|---|
| 1J2E-AST I | LEU410, LEU214, SER212, VAL303, THR304 | ALA409, GLU408, ALA306, PRO218, TRP305, PRO159, TRP216, THR156, HSD363, GLU361, TRP215, PRO362, TRP305, TRP216 |
| 1J2E-AST II | ARG358, GLU206, GLU205, TYR547, ARG125 | TYR666, VAL207, SER209, PHE357, PHE208, TYR585, SER552 |
| 1J2E-AST III | TRP305, VAL303, THR304, TRP216, ARG61, TRP157, SER106 | PRO218, PRO159, LYS463, ILE63, TRP62, GLU361, SER217, TRP215, THR156, ILE107 |
| 1J2E-ASTIV | SER212, TRP305, PRO362, HSD363, PHE364 | LEU477, LYS512, HSD533, LEU504, PRO475, ARG453, ASP501, PHE559, GLN505, GLY476, PRO510, MET509, SER511, PRO532 |
| 1J2E-CEE | LEU214, SER212, TRP215, VAL303, THR304, PRO362, ALA306, PHE364, TRP305 | GLY183, GLY240, GLY183, HSD363 |
| 1NNY-AST I | LEU410, LEU214, SER212, VAL303, THR304 | ALA409, GLU408, ALA306, PRO218, TRP305, PRO159, TRP216, THR156, HSD363, GLU361, TRP215, PRO362, TRP305, TRP216 |
| 1NNY-AST II | ARG358, GLU206, GLU205, TYR547, ARG125 | TYR666, VAL207, SER209, PHE357, PHE208, TYR585, SER552 |
| 1NNY-AST III | TRP305, VAL303, THR304, TRP216, ARG61, TRP157, SER106 | PRO218, PRO159, LYS463, ILE63, TRP62, GLU361, SER217, TRP215, THR156, ILE107 |
| 1NNY-AST IV | SER212, TRP305, PRO362, HSD363, PHE364 | LEU477, LYS512, HSD533, LEU504, PRO475, ARG453, ASP501, PHE559, GLN505, GLY476, PRO510, MET509, SER511, PRO532 |
| 1NNY-CEE | LEU214, SER212, TRP215, VAL303, THR304, PRO362, ALA306, PHE364, TRP305 | GLY183, GLY240, GLY183, HSD363 |
| 1OSE-AST I | LEU410, LEU214, SER212, VAL303, THR304 | ALA409, GLU408, ALA306, PRO218, TRP305, PRO159, TRP216, THR156, HSD363, GLU361, TRP215, PRO362, TRP305, TRP216 |
| 1OSE-AST II | ARG358, GLU206, GLU205, TYR547, ARG125 | TYR666, VAL207, SER209, PHE357, PHE208, TYR585, SER552 |
| 1OSE-AST III | TRP305, VAL303, THR304, TRP216, ARG61, TRP157, SER106 | PRO218, PRO159, LYS463, ILE63, TRP62, GLU361, SER217, TRP215, THR156, ILE107 |
| 1OSE-AST IV | SER212, TRP305, PRO362, HSD363, PHE364 | LEU477, LYS512, HSD533, LEU504, PRO475, ARG453, ASP501, PHE559, GLN505, GLY476, PRO510, MET509, SER511, PRO532 |
| 1OSE-CEE | LEU214, SER212, TRP215, VAL303, THR304, PRO362, ALA306, PHE364, TRP305 | GLY183, GLY240, GLY183, HSD363 |
Disclaimer/Publisher’s Note: The statements, opinions and data contained in all publications are solely those of the individual author(s) and contributor(s) and not of MDPI and/or the editor(s). MDPI and/or the editor(s) disclaim responsibility for any injury to people or property resulting from any ideas, methods, instructions or products referred to in the content. |
© 2026 by the authors. Licensee MDPI, Basel, Switzerland. This article is an open access article distributed under the terms and conditions of the Creative Commons Attribution (CC BY) license.
Share and Cite
Özdemir-Bayçınar, K.; Barak, T.H.; Kurt-Celep, İ.; Özbek, M.O.; Wang, D.; Savaşan, O.; Eroğlu Özkan, E. Cycloartane-Type Saponins, Phytochemical-Rich Extracts, and Sub-Extracts from Astragalus noeanus Boiss. Exhibit In Vitro and In Silico Effects on Glucose Metabolism. Pharmaceuticals 2026, 19, 352. https://doi.org/10.3390/ph19030352
Özdemir-Bayçınar K, Barak TH, Kurt-Celep İ, Özbek MO, Wang D, Savaşan O, Eroğlu Özkan E. Cycloartane-Type Saponins, Phytochemical-Rich Extracts, and Sub-Extracts from Astragalus noeanus Boiss. Exhibit In Vitro and In Silico Effects on Glucose Metabolism. Pharmaceuticals. 2026; 19(3):352. https://doi.org/10.3390/ph19030352
Chicago/Turabian StyleÖzdemir-Bayçınar, Kevser, Timur Hakan Barak, İnci Kurt-Celep, M. Oluş Özbek, Dongdong Wang, Ozan Savaşan, and Esra Eroğlu Özkan. 2026. "Cycloartane-Type Saponins, Phytochemical-Rich Extracts, and Sub-Extracts from Astragalus noeanus Boiss. Exhibit In Vitro and In Silico Effects on Glucose Metabolism" Pharmaceuticals 19, no. 3: 352. https://doi.org/10.3390/ph19030352
APA StyleÖzdemir-Bayçınar, K., Barak, T. H., Kurt-Celep, İ., Özbek, M. O., Wang, D., Savaşan, O., & Eroğlu Özkan, E. (2026). Cycloartane-Type Saponins, Phytochemical-Rich Extracts, and Sub-Extracts from Astragalus noeanus Boiss. Exhibit In Vitro and In Silico Effects on Glucose Metabolism. Pharmaceuticals, 19(3), 352. https://doi.org/10.3390/ph19030352

