Disulfiram and Its Derivatives: An Immortal Phoenix of Drug Repurposing
Abstract
1. Introduction
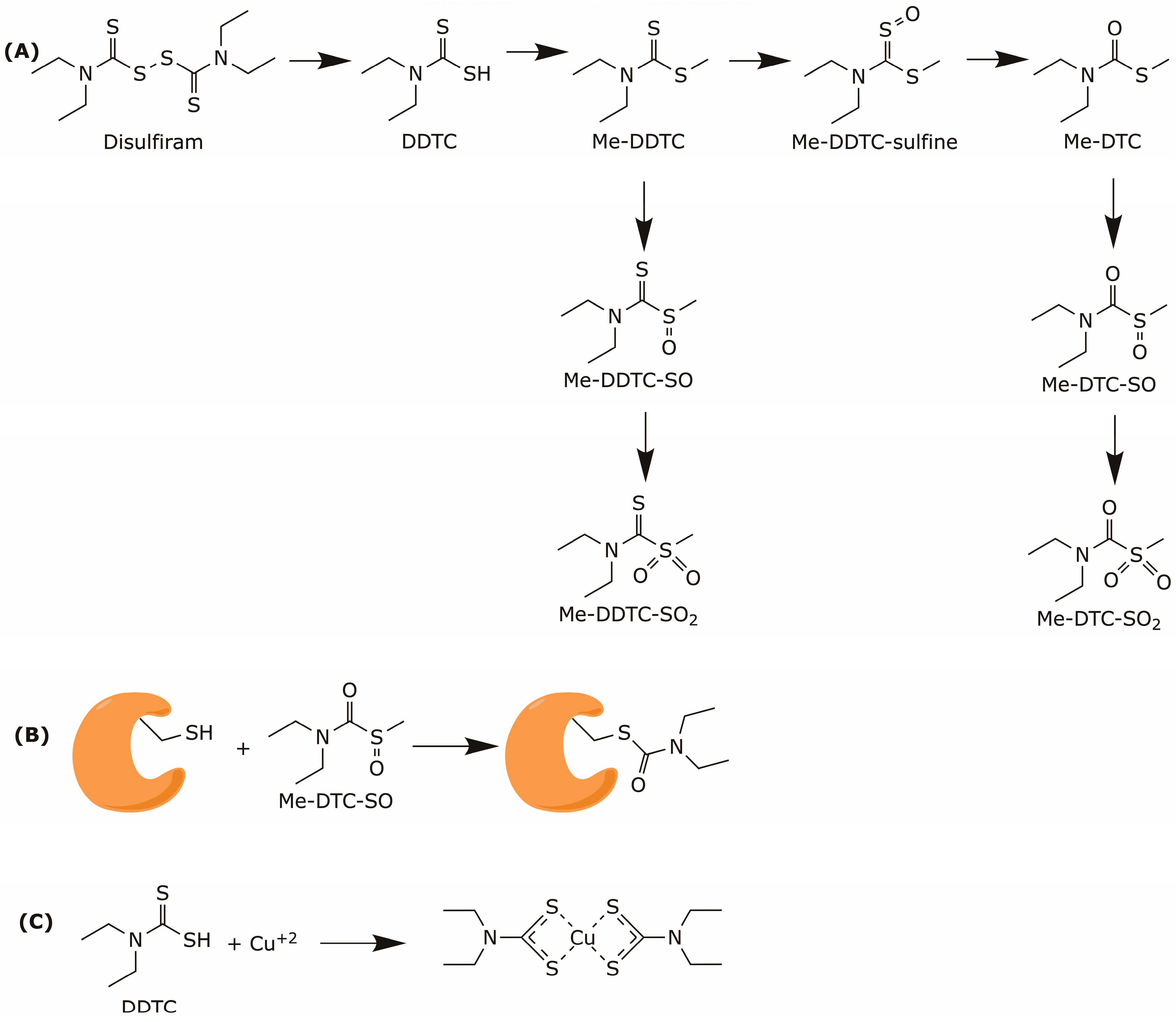
2. Molecular Mechanism of Action
3. Pharmacokinetics:
4. Disulfiram Derivatives
4.1. ALDH1A1 Inhibitors
4.2. Monoacylglycerol Lipase (MAGL) Inhibitors
4.3. DSF Derivatives with Antimicrobial Activity
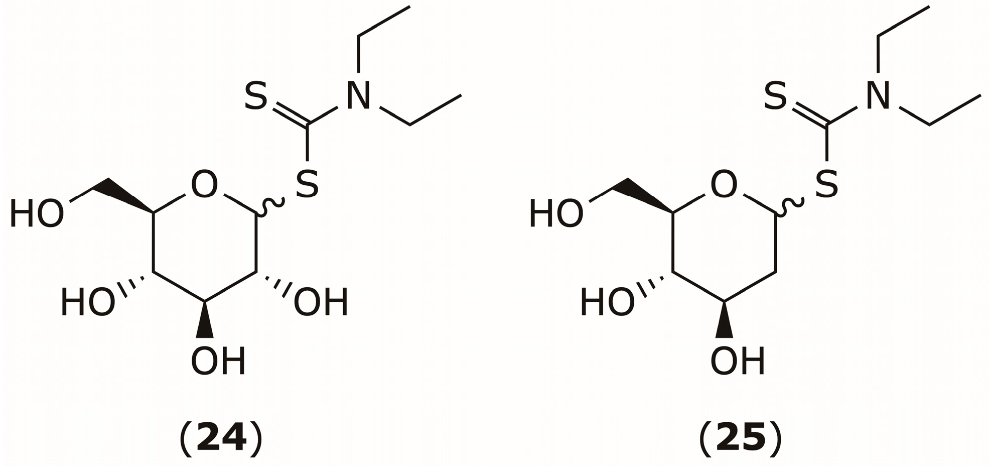
4.4. DSF Derivatives with Antidiabetic Activity
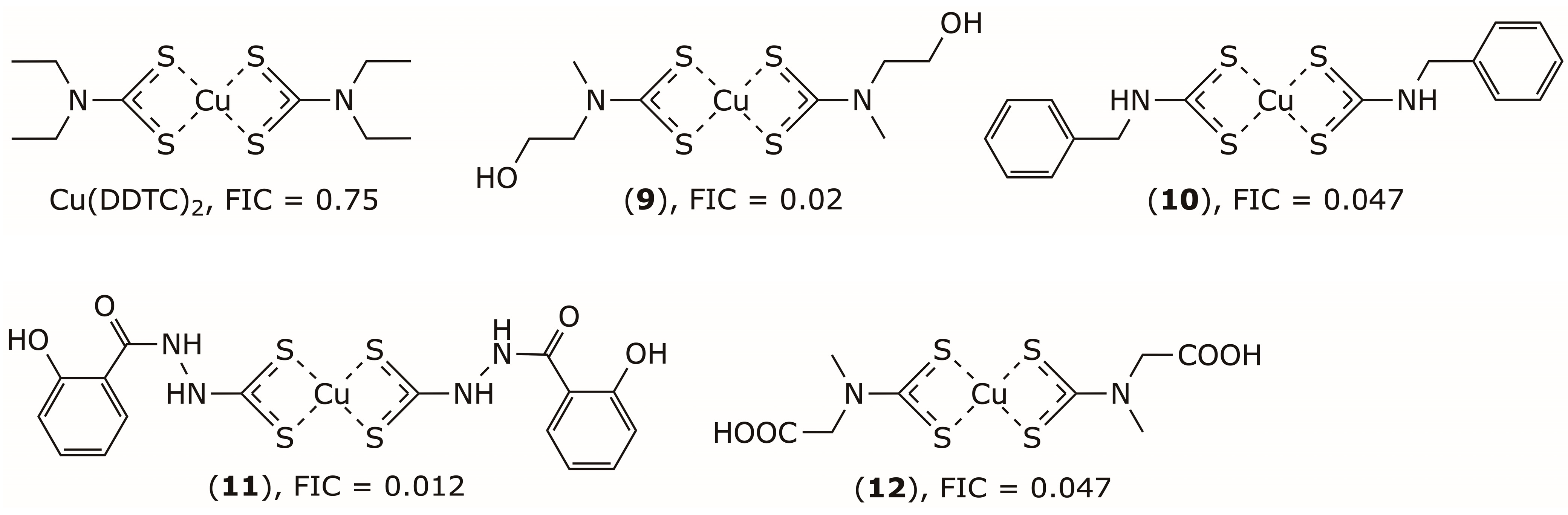
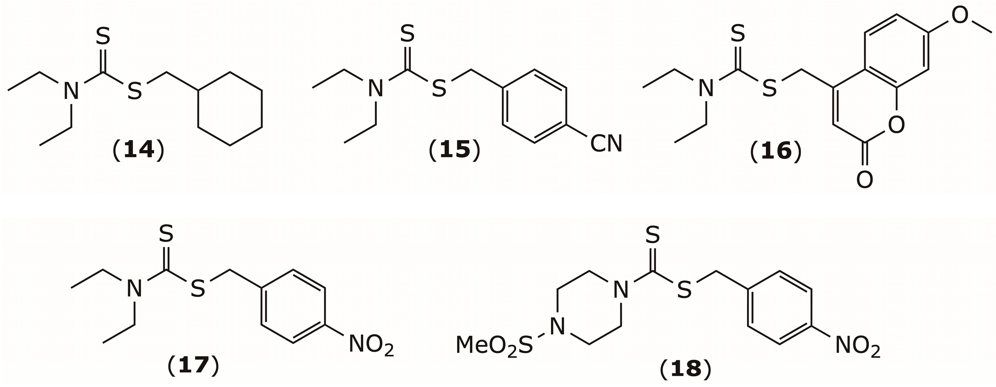
4.5. DSF Derivatives with Anticancer Activity
5. Conclusions
Funding
Data Availability Statement
Conflicts of Interest
References
- Bell, R.G.; Smith, H.W. Preliminary report on clinical trials of antabuse. Can. Med. Assoc. J. 1949, 60, 286–288. [Google Scholar]
- Yip, N.C.; Fombon, I.S.; Liu, P.; Brown, S.; Kannappan, V.; Armesilla, A.L.; Xu, B.; Cassidy, J.; Darling, J.L.; Wang, W. Disulfiram modulated ROS-MAPK and NFkappaB pathways and targeted breast cancer cells with cancer stem cell-like properties. Br. J. Cancer 2011, 104, 1564–1574. [Google Scholar] [CrossRef]
- Chiba, T.; Suzuki, E.; Yuki, K.; Zen, Y.; Oshima, M.; Miyagi, S.; Saraya, A.; Koide, S.; Motoyama, T.; Ogasawara, S.; et al. Disulfiram eradicates tumor-initiating hepatocellular carcinoma cells in ROS-p38 MAPK pathway-dependent and -independent manners. PLoS ONE 2014, 9, e84807. [Google Scholar] [CrossRef] [PubMed]
- Li, Y.; Wang, L.H.; Zhang, H.T.; Wang, Y.T.; Liu, S.; Zhou, W.L.; Yuan, X.Z.; Li, T.Y.; Wu, C.F.; Yang, J.Y. Disulfiram combined with copper inhibits metastasis and epithelial-mesenchymal transition in hepatocellular carcinoma through the NF-kappaB and TGF-beta pathways. J. Cell. Mol. Med. 2018, 22, 439–451. [Google Scholar] [CrossRef] [PubMed]
- Xu, Y.; Lu, L.; Luo, J.; Wang, L.; Zhang, Q.; Cao, J.; Jiao, Y. Disulfiram Alone Functions as a Radiosensitizer for Pancreatic Cancer Both In Vitro and In Vivo. Front. Oncol. 2021, 11, 683695. [Google Scholar] [CrossRef]
- Kannappan, V.; Liu, Y.; Wang, Z.; Azar, K.; Kurusamy, S.; Kilari, R.S.; Armesilla, A.L.; Morris, M.R.; Najlah, M.; Liu, P.; et al. PLGA-Nano-Encapsulated Disulfiram Inhibits Hypoxia-Induced NF-kappaB, Cancer Stem Cells, and Targets Glioblastoma In Vitro and In Vivo. Mol. Cancer Ther. 2022, 21, 1273–1284. [Google Scholar] [CrossRef]
- Beaudry, A.; Jacques-Ricard, S.; Darracq, A.; Sgarioto, N.; Garcia, A.; Garcia, T.R.; Lemieux, W.; Beland, K.; Haddad, E.; Cordeiro, P.; et al. Repurposing disulfiram, an alcohol-abuse drug, in neuroblastoma causes KAT2A downregulation and in vivo activity with a water/oil emulsion. Sci. Rep. 2023, 13, 16443. [Google Scholar] [CrossRef]
- Wang, Q.; Zhu, T.; Miao, N.; Qu, Y.; Wang, Z.; Chao, Y.; Wang, J.; Wu, W.; Xu, X.; Xu, C.; et al. Disulfiram bolsters T-cell anti-tumor immunity through direct activation of LCK-mediated TCR signaling. EMBO J. 2022, 41, e110636. [Google Scholar] [CrossRef] [PubMed]
- Hassani, S.; Ghaffari, P.; Chahardouli, B.; Alimoghaddam, K.; Ghavamzadeh, A.; Alizadeh, S.; Ghaffari, S.H. Disulfiram/copper causes ROS levels alteration, cell cycle inhibition, and apoptosis in acute myeloid leukaemia cell lines with modulation in the expression of related genes. Biomed. Pharmacother. 2018, 99, 561–569. [Google Scholar] [CrossRef]
- Zeng, M.; Wu, B.; Wei, W.; Jiang, Z.; Li, P.; Quan, Y.; Hu, X. Disulfiram: A novel repurposed drug for cancer therapy. Chin. Med. J. 2024, 137, 1389–1398. [Google Scholar] [CrossRef]
- Abdullah, O.; Beaudoin, C.A.; Omran, Z. Anticancer Effects of New Disulfiram Analogs. Biol. Pharm. Bull. 2024, 47, 1804–1812. [Google Scholar] [CrossRef]
- Chen, C.; Nie, D.; Huang, Y.; Yu, X.; Chen, Z.; Zhong, M.; Liu, X.; Wang, X.; Sui, S.; Liu, Z.; et al. Anticancer effects of disulfiram in T-cell malignancies through NPL4-mediated ubiquitin-proteasome pathway. J. Leukoc. Biol. 2022, 112, 919–929. [Google Scholar] [CrossRef]
- Xu, B.; Wang, S.; Li, R.; Chen, K.; He, L.; Deng, M.; Kannappan, V.; Zha, J.; Dong, H.; Wang, W. Disulfiram/copper selectively eradicates AML leukemia stem cells in vitro and in vivo by simultaneous induction of ROS-JNK and inhibition of NF-kappaB and Nrf2. Cell Death Dis. 2017, 8, e2797. [Google Scholar] [CrossRef] [PubMed]
- Guo, F.; Yang, Z.; Sehouli, J.; Kaufmann, A.M. Blockade of ALDH in Cisplatin-Resistant Ovarian Cancer Stem Cells In Vitro Synergistically Enhances Chemotherapy-Induced Cell Death. Curr. Oncol. 2022, 29, 2808–2822. [Google Scholar] [CrossRef]
- Kita, Y.; Hamada, A.; Saito, R.; Teramoto, Y.; Tanaka, R.; Takano, K.; Nakayama, K.; Murakami, K.; Matsumoto, K.; Akamatsu, S.; et al. Systematic chemical screening identifies disulfiram as a repurposed drug that enhances sensitivity to cisplatin in bladder cancer: A summary of preclinical studies. Br. J. Cancer 2019, 121, 1027–1038. [Google Scholar] [CrossRef]
- Lanz, J.; Biniaz-Harris, N.; Kuvaldina, M.; Jain, S.; Lewis, K.; Fallon, B.A. Disulfiram: Mechanisms, Applications, and Challenges. Antibiotics 2023, 12, 524. [Google Scholar] [CrossRef]
- Bilsel, Y.; Bugra, D.; Yamaner, S.; Bulut, T.; Cevikbas, U.; Turkoglu, U. Could honey have a place in colitis therapy? Effects of honey, prednisolone, and disulfiram on inflammation, nitric oxide, and free radical formation. Dig. Surg. 2002, 19, 306–311; discussion 311–312. [Google Scholar] [CrossRef]
- Zhang, Y.; Zhang, R.; Han, X. Disulfiram inhibits inflammation and fibrosis in a rat unilateral ureteral obstruction model by inhibiting gasdermin D cleavage and pyroptosis. Inflamm. Res. 2021, 70, 543–552. [Google Scholar] [CrossRef] [PubMed]
- Liu, T.; Wang, P.; Cong, M.; Zhao, X.; Zhang, D.; Xu, H.; Liu, L.; Jia, J.; You, H. Diethyldithiocarbamate, an anti-abuse drug, alleviates steatohepatitis and fibrosis in rodents through modulating lipid metabolism and oxidative stress. Br. J. Pharmacol. 2018, 175, 4480–4495. [Google Scholar] [CrossRef] [PubMed]
- Li, C.; Li, L.; Lan, T. Co-treatment with disulfiram and glycyrrhizic acid suppresses the inflammatory response of chondrocytes. J. Orthop. Surg. Res. 2021, 16, 132. [Google Scholar] [CrossRef]
- Kanai, K.; Itoh, N.; Yoshioka, K.; Yonezawa, T.; Ikadai, H.; Hori, Y.; Ito, Y.; Nagai, N.; Chikazawa, S.; Hoshi, F.; et al. Inhibitory effects of oral disulfiram on endotoxin-induced uveitis in rats. Curr. Eye Res. 2010, 35, 892–899. [Google Scholar] [CrossRef] [PubMed]
- Hu, J.J.; Liu, X.; Xia, S.; Zhang, Z.; Zhang, Y.; Zhao, J.; Ruan, J.; Luo, X.; Lou, X.; Bai, Y.; et al. FDA-approved disulfiram inhibits pyroptosis by blocking gasdermin D pore formation. Nat. Immunol. 2020, 21, 736–745. [Google Scholar] [CrossRef]
- Deng, W.; Yang, Z.; Yue, H.; Ou, Y.; Hu, W.; Sun, P. Disulfiram suppresses NLRP3 inflammasome activation to treat peritoneal and gouty inflammation. Free. Radic. Biol. Med. 2020, 152, 8–17. [Google Scholar] [CrossRef]
- Li, Y.; Fu, S.Y.; Wang, L.H.; Wang, F.Y.; Wang, N.N.; Cao, Q.; Wang, Y.T.; Yang, J.Y.; Wu, C.F. Copper improves the anti-angiogenic activity of disulfiram through the EGFR/Src/VEGF pathway in gliomas. Cancer Lett. 2015, 369, 86–96. [Google Scholar] [CrossRef]
- Omran, Z.; Sheikh, R.; Baothman, O.A.; Zamzami, M.A.; Alarjah, M. Repurposing Disulfiram as an Anti-Obesity Drug: Treating and Preventing Obesity in High-Fat-Fed Rats. Diabetes Metab. Syndr. Obes. 2020, 13, 1473–1480. [Google Scholar] [CrossRef]
- Bernier, M.; Mitchell, S.J.; Wahl, D.; Diaz, A.; Singh, A.; Seo, W.; Wang, M.; Ali, A.; Kaiser, T.; Price, N.L.; et al. Disulfiram Treatment Normalizes Body Weight in Obese Mice. Cell Metab. 2020, 32, 203–214.e4. [Google Scholar] [CrossRef] [PubMed]
- Bernier, M.; Harney, D.; Koay, Y.C.; Diaz, A.; Singh, A.; Wahl, D.; Pulpitel, T.; Ali, A.; Guiterrez, V.; Mitchell, S.J.; et al. Elucidating the mechanisms by which disulfiram protects against obesity and metabolic syndrome. NPJ Aging Mech. Dis. 2020, 6, 8. [Google Scholar] [CrossRef]
- Luo, Q.; Wu, Z.; Pan, Y.; Zhang, Y. Disulfiram inhibits bacterial growth by inducing zinc-dependent reactive oxygen species. Front. Microbiol. 2025, 16, 1619416. [Google Scholar] [CrossRef]
- Dubey, V.; Devnath, K.; Gupta, V.K.; Kalyan, G.; Singh, M.; Kothari, A.; Omar, B.J.; Pathania, R. Disulfiram enhances meropenem activity against NDM- and IMP-producing carbapenem-resistant Acinetobacter baumannii infections. J. Antimicrob. Chemother. 2022, 77, 1313–1323. [Google Scholar] [CrossRef] [PubMed]
- Chen, C.; Cai, J.; Shi, J.; Wang, Z.; Liu, Y. Resensitizing multidrug-resistant Gram-negative bacteria to carbapenems and colistin using disulfiram. Commun. Biol. 2023, 6, 810. [Google Scholar] [CrossRef]
- Chen, C.; Yang, K.W.; Wu, L.Y.; Li, J.Q.; Sun, L.Y. Disulfiram as a potent metallo-beta-lactamase inhibitor with dual functional mechanisms. Chem. Commun. 2020, 56, 2755–2758. [Google Scholar] [CrossRef] [PubMed]
- Cvek, B. The Promiscuity of Disulfiram in Medicinal Research. ACS Med. Chem. Lett. 2023, 14, 1610–1614. [Google Scholar] [CrossRef] [PubMed]
- Koppaka, V.; Thompson, D.C.; Chen, Y.; Ellermann, M.; Nicolaou, K.C.; Juvonen, R.O.; Petersen, D.; Deitrich, R.A.; Hurley, T.D.; Vasiliou, V. Aldehyde dehydrogenase inhibitors: A comprehensive review of the pharmacology, mechanism of action, substrate specificity, and clinical application. Pharmacol. Rev. 2012, 64, 520–539. [Google Scholar] [CrossRef]
- Pike, M.G.; Mays, D.C.; Macomber, D.W.; Lipsky, J.J. Metabolism of a disulfiram metabolite, S-methyl N,N-diethyldithiocarbamate, by flavin monooxygenase in human renal microsomes. Drug Metab. Dispos. Biol. Fate Chem. 2001, 29, 127–132. [Google Scholar]
- Heikkila, R.E.; Cabbat, F.S.; Cohen, G. In vivo inhibition of superoxide dismutase in mice by diethyldithiocarbamate. J. Biol. Chem. 1976, 251, 2182–2185. [Google Scholar] [CrossRef]
- Gonzalez-Suarez, A.D.; Thorn, C.F.; Whirl-Carrillo, M.; Klein, T.E. PharmGKB summary: Disulfiram pathway. Pharmacogenet. Genom. 2023, 33, 207–216. [Google Scholar] [CrossRef]
- Johansson, B. A review of the pharmacokinetics and pharmacodynamics of disulfiram and its metabolites. Acta Psychiatr. Scand. Suppl. 1992, 369, 15–26. [Google Scholar] [CrossRef] [PubMed]
- Stokes, M.; Patel, P.; Abdijadid, S. Disulfiram. In StatPearls; StatPearls: Treasure Island, FL, USA, 2025. [Google Scholar]
- Lee, S.A.; Elliott, J.H.; McMahon, J.; Hartogenesis, W.; Bumpus, N.N.; Lifson, J.D.; Gorelick, R.J.; Bacchetti, P.; Deeks, S.G.; Lewin, S.R.; et al. Population Pharmacokinetics and Pharmacodynamics of Disulfiram on Inducing Latent HIV-1 Transcription in a Phase IIb Trial. Clin. Pharmacol. Ther. 2019, 105, 692–702. [Google Scholar] [CrossRef]
- Huang, D.; Yao, Y.; Lou, Y.; Kou, L.; Yao, Q.; Chen, R. Disulfiram and cancer immunotherapy: Advanced nano-delivery systems and potential therapeutic strategies. Int. J. Pharm. X 2024, 8, 100307. [Google Scholar] [CrossRef]
- Lu, Y.; Pan, Q.; Gao, W.; Pu, Y.; Luo, K.; He, B.; Gu, Z. Leveraging disulfiram to treat cancer: Mechanisms of action, delivery strategies, and treatment regimens. Biomaterials 2022, 281, 121335. [Google Scholar] [CrossRef]
- Tanei, T.; Morimoto, K.; Shimazu, K.; Kim, S.J.; Tanji, Y.; Taguchi, T.; Tamaki, Y.; Noguchi, S. Association of breast cancer stem cells identified by aldehyde dehydrogenase 1 expression with resistance to sequential Paclitaxel and epirubicin-based chemotherapy for breast cancers. Clin. Cancer Res. 2009, 15, 4234–4241. [Google Scholar] [CrossRef]
- Vassalli, G. Aldehyde Dehydrogenases: Not Just Markers, but Functional Regulators of Stem Cells. Stem Cells Int. 2019, 2019, 3904645. [Google Scholar] [CrossRef]
- Ziouzenkova, O.; Orasanu, G.; Sharlach, M.; Akiyama, T.E.; Berger, J.P.; Viereck, J.; Hamilton, J.A.; Tang, G.; Dolnikowski, G.G.; Vogel, S.; et al. Retinaldehyde represses adipogenesis and diet-induced obesity. Nat. Med. 2007, 13, 695–702. [Google Scholar] [CrossRef] [PubMed]
- Omran, Z. Obesity: Current Treatment and Future Horizons. Mini Rev. Med. Chem. 2017, 17, 51–61. [Google Scholar] [CrossRef]
- Kiefer, F.W.; Orasanu, G.; Nallamshetty, S.; Brown, J.D.; Wang, H.; Luger, P.; Qi, N.R.; Burant, C.F.; Duester, G.; Plutzky, J. Retinaldehyde dehydrogenase 1 coordinates hepatic gluconeogenesis and lipid metabolism. Endocrinology 2012, 153, 3089–3099. [Google Scholar] [CrossRef] [PubMed]
- Sanders, T.J.; McCarthy, N.E.; Giles, E.M.; Davidson, K.L.; Haltalli, M.L.; Hazell, S.; Lindsay, J.O.; Stagg, A.J. Increased production of retinoic acid by intestinal macrophages contributes to their inflammatory phenotype in patients with Crohn’s disease. Gastroenterology 2014, 146, 1278–1288.e2. [Google Scholar] [CrossRef]
- Fan, X.; Molotkov, A.; Manabe, S.; Donmoyer, C.M.; Deltour, L.; Foglio, M.H.; Cuenca, A.E.; Blaner, W.S.; Lipton, S.A.; Duester, G. Targeted disruption of Aldh1a1 (Raldh1) provides evidence for a complex mechanism of retinoic acid synthesis in the developing retina. Mol. Cell. Biol. 2003, 23, 4637–4648. [Google Scholar] [CrossRef]
- Li, B.; Yang, K.; Liang, D.; Jiang, C.; Ma, Z. Discovery and development of selective aldehyde dehydrogenase 1A1 (ALDH1A1) inhibitors. Eur. J. Med. Chem. 2021, 209, 112940. [Google Scholar] [CrossRef] [PubMed]
- Moore, S.A.; Baker, H.M.; Blythe, T.J.; Kitson, K.E.; Kitson, T.M.; Baker, E.N. Sheep liver cytosolic aldehyde dehydrogenase: The structure reveals the basis for the retinal specificity of class 1 aldehyde dehydrogenases. Struct. Fold. Des. 1998, 6, 1541–1551. [Google Scholar] [CrossRef]
- Omran, Z. Disulfiram Derivatives as ALDH1A1 and MAGL Inhibitors. U.S. Patent 20230174475 A1, 12 September 2023. [Google Scholar]
- Omran, Z.; Abdullah, O. Disulfiram Derivatives as ALDH1A1 and MAGL Inhibitors. U.S. Patent 12227469 B2, 18 February 2025. [Google Scholar]
- Omran, Z.; Abdullah, O. Dithienyl disulfiram derivatives as selective aldh1a1 inhibitors. U.S. Patent 12371401 B2, 29 July 2025. [Google Scholar]
- Omran, Z. Development of new disulfiram analogues as ALDH1a1-selective inhibitors. Bioorg. Med. Chem. Lett. 2021, 40, 127958. [Google Scholar] [CrossRef]
- Omran, Z. Novel Disulfiram Derivatives as ALDH1a1-Selective Inhibitors. Molecules 2022, 27, 480. [Google Scholar] [CrossRef] [PubMed]
- Vandevoorde, S.; Saha, B.; Mahadevan, A.; Razdan, R.K.; Pertwee, R.G.; Martin, B.R.; Fowler, C.J. Influence of the degree of unsaturation of the acyl side chain upon the interaction of analogues of 1-arachidonoylglycerol with monoacylglycerol lipase and fatty acid amide hydrolase. Biochem. Biophys. Res. Commun. 2005, 337, 104–109. [Google Scholar] [CrossRef]
- Deng, H.; Li, W. Monoacylglycerol lipase inhibitors: Modulators for lipid metabolism in cancer malignancy, neurological and metabolic disorders. Acta Pharm. Sin. B 2020, 10, 582–602. [Google Scholar] [CrossRef]
- Calignano, A.; La Rana, G.; Giuffrida, A.; Piomelli, D. Control of pain initiation by endogenous cannabinoids. Nature 1998, 394, 277–281. [Google Scholar] [CrossRef]
- Maldonado, R.; Valverde, O.; Berrendero, F. Involvement of the endocannabinoid system in drug addiction. Trends Neurosci. 2006, 29, 225–232. [Google Scholar] [CrossRef]
- Sánchez, A.J.; García-Merino, A. Neuroprotective agents: Cannabinoids. Clin. Immunol. 2012, 142, 57–67. [Google Scholar] [CrossRef]
- Di Marzo, V.; Goparaju, S.K.; Wang, L.; Liu, J.; Bátkai, S.; Járai, Z.; Fezza, F.; Miura, G.I.; Palmiter, R.D.; Sugiura, T.; et al. Leptin-regulated endocannabinoids are involved in maintaining food intake. Nature 2001, 410, 822–825. [Google Scholar] [CrossRef] [PubMed]
- Nomura, D.K.; Morrison, B.E.; Blankman, J.L.; Long, J.Z.; Kinsey, S.G.; Marcondes, M.C.; Ward, A.M.; Hahn, Y.K.; Lichtman, A.H.; Conti, B.; et al. Endocannabinoid hydrolysis generates brain prostaglandins that promote neuroinflammation. Science 2011, 334, 809–813. [Google Scholar] [CrossRef] [PubMed]
- Douglass, J.D.; Zhou, Y.X.; Wu, A.; Zadroga, J.A.; Gajda, A.M.; Lackey, A.I.; Lang, W.; Chevalier, K.M.; Sutton, S.W.; Zhang, S.P.; et al. Global deletion of MGL in mice delays lipid absorption and alters energy homeostasis and diet-induced obesity. J. Lipid Res. 2015, 56, 1153–1171. [Google Scholar] [CrossRef]
- Berdan, C.A.; Erion, K.A.; Burritt, N.E.; Corkey, B.E.; Deeney, J.T. Inhibition of Monoacylglycerol Lipase Activity Decreases Glucose-Stimulated Insulin Secretion in INS-1 (832/13) Cells and Rat Islets. PLoS ONE 2016, 11, e0149008. [Google Scholar] [CrossRef]
- Nomura, D.K.; Long, J.Z.; Niessen, S.; Hoover, H.S.; Ng, S.W.; Cravatt, B.F. Monoacylglycerol lipase regulates a fatty acid network that promotes cancer pathogenesis. Cell 2010, 140, 49–61. [Google Scholar] [CrossRef] [PubMed]
- Nomura, D.K.; Lombardi, D.P.; Chang, J.W.; Niessen, S.; Ward, A.M.; Long, J.Z.; Hoover, H.H.; Cravatt, B.F. Monoacylglycerol lipase exerts dual control over endocannabinoid and fatty acid pathways to support prostate cancer. Chem. Biol. 2011, 18, 846–856. [Google Scholar] [CrossRef]
- Ye, L.; Zhang, B.; Seviour, E.G.; Tao, K.X.; Liu, X.H.; Ling, Y.; Chen, J.Y.; Wang, G.B. Monoacylglycerol lipase (MAGL) knockdown inhibits tumor cells growth in colorectal cancer. Cancer Lett. 2011, 307, 6–17. [Google Scholar] [CrossRef]
- Zhang, J.; Liu, Z.; Lian, Z.; Liao, R.; Chen, Y.; Qin, Y.; Wang, J.; Jiang, Q.; Wang, X.; Gong, J. Monoacylglycerol Lipase: A Novel Potential Therapeutic Target and Prognostic Indicator for Hepatocellular Carcinoma. Sci. Rep. 2016, 6, 35784. [Google Scholar] [CrossRef]
- Hu, W.R.; Lian, Y.F.; Peng, L.X.; Lei, J.J.; Deng, C.C.; Xu, M.; Feng, Q.S.; Chen, L.Z.; Bei, J.X.; Zeng, Y.X. Monoacylglycerol lipase promotes metastases in nasopharyngeal carcinoma. Int. J. Clin. Exp. Pathol. 2014, 7, 3704–3713. [Google Scholar]
- Labar, G.; Bauvois, C.; Muccioli, G.G.; Wouters, J.; Lambert, D.M. Disulfiram is an inhibitor of human purified monoacylglycerol lipase, the enzyme regulating 2-arachidonoylglycerol signaling. Chembiochem 2007, 8, 1293–1297. [Google Scholar] [CrossRef] [PubMed]
- Saario, S.M.; Salo, O.M.; Nevalainen, T.; Poso, A.; Laitinen, J.T.; Jarvinen, T.; Niemi, R. Characterization of the sulfhydryl-sensitive site in the enzyme responsible for hydrolysis of 2-arachidonoyl-glycerol in rat cerebellar membranes. Chem. Biol. 2005, 12, 649–656. [Google Scholar] [CrossRef] [PubMed][Green Version]
- Kapanda, C.N.; Muccioli, G.G.; Labar, G.; Poupaert, J.H.; Lambert, D.M. Bis(dialkylaminethiocarbonyl)disulfides as potent and selective monoglyceride lipase inhibitors. J. Med. Chem. 2009, 52, 7310–7314. [Google Scholar] [CrossRef]
- Kapanda, C.N.; Masquelier, J.; Labar, G.; Muccioli, G.G.; Poupaert, J.H.; Lambert, D.M. Synthesis and pharmacological evaluation of 2,4-dinitroaryldithiocarbamate derivatives as novel monoacylglycerol lipase inhibitors. J. Med. Chem. 2012, 55, 5774–5783. [Google Scholar] [CrossRef]
- Omran, Z. New Disulfiram Derivatives as MAGL-Selective Inhibitors. Molecules 2021, 26, 3296. [Google Scholar] [CrossRef]
- Long, T.E. Repurposing Thiram and Disulfiram as Antibacterial Agents for Multidrug-Resistant Staphylococcus aureus Infections. Antimicrob. Agents Chemother. 2017, 61, e00898-17. [Google Scholar] [CrossRef]
- Long, T.E.; Naidu, S.T.; Hissom, E.G.; Meka, Y.; Chavva, H.; Brown, K.C.; Valentine, M.E.; Fan, J.; Denvir, J.; Primerano, D.A.; et al. Disulfiram induces redox imbalance and perturbations in central glucose catabolism and metal homeostasis to inhibit the growth of Staphylococcus aureus. Sci. Rep. 2025, 15, 15658. [Google Scholar] [CrossRef]
- Sheppard, J.G.; Frazier, K.R.; Saralkar, P.; Hossain, M.F.; Geldenhuys, W.J.; Long, T.E. Disulfiram-based disulfides as narrow-spectrum antibacterial agents. Bioorg. Med. Chem. Lett. 2018, 28, 1298–1302. [Google Scholar] [CrossRef] [PubMed]
- Lewis, A.D.; Riedel, T.M.; Kesler, M.B.A.; Varney, M.E.; Long, T.E. Pharmacological evaluation of disulfiram analogs as antimicrobial agents and their application as inhibitors of fosB-mediated fosfomycin resistance. J. Antibiot. 2022, 75, 146–154. [Google Scholar] [CrossRef] [PubMed]
- Perera, V.R.; Newton, G.L.; Pogliano, K. Bacillithiol: A key protective thiol in Staphylococcus aureus. Expert Rev. Anti-Infect. Ther. 2015, 13, 1089–1107. [Google Scholar] [CrossRef] [PubMed]
- Djoko, K.Y.; Achard, M.E.S.; Phan, M.D.; Lo, A.W.; Miraula, M.; Prombhul, S.; Hancock, S.J.; Peters, K.M.; Sidjabat, H.E.; Harris, P.N.; et al. Copper Ions and Coordination Complexes as Novel Carbapenem Adjuvants. Antimicrob. Agents Chemother. 2018, 62, e02280-17. [Google Scholar] [CrossRef]
- Chen, C.; Yang, K.W.; Zhai, L.; Ding, H.H.; Chigan, J.Z. Dithiocarbamates combined with copper for revitalizing meropenem efficacy against NDM-1-producing Carbapenem-resistant Enterobacteriaceae. Bioorg. Chem. 2022, 118, 105474. [Google Scholar] [CrossRef]
- Schumann, J.A.; Plasner, S. Trichomoniasis. In StatPearls; StatPearls: Treasure Island, FL, USA, 2025. [Google Scholar]
- Muzny, C.A.; George, S.; Kissinger, P.J.; Van Gerwen, O.T. Trichomoniasis and Other Sexually Transmitted Parasitic Diseases in Women. Clin. Obstet. Gynecol. 2025, 68, 194–205. [Google Scholar] [CrossRef]
- Mandalapu, D.; Kushwaha, B.; Gupta, S.; Singh, N.; Shukla, M.; Kumar, J.; Tanpula, D.K.; Sankhwar, S.N.; Maikhuri, J.P.; Siddiqi, M.I.; et al. 2-Methyl-4/5-nitroimidazole derivatives potentiated against sexually transmitted Trichomonas: Design, synthesis, biology and 3D-QSAR study. Eur. J. Med. Chem. 2016, 124, 820–839. [Google Scholar] [CrossRef]
- Hotez, P.J.; Fenwick, A.; Savioli, L.; Molyneux, D.H. Rescuing the bottom billion through control of neglected tropical diseases. Lancet 2009, 373, 1570–1575. [Google Scholar] [CrossRef]
- Olveda, D.U.; Olveda, R.M.; McManus, D.P.; Cai, P.; Chau, T.N.; Lam, A.K.; Li, Y.; Harn, D.A.; Vinluan, M.L.; Ross, A.G. The chronic enteropathogenic disease schistosomiasis. Int. J. Infect. Dis. 2014, 28, 193–203. [Google Scholar] [CrossRef]
- Vennervald, B.J.; Polman, K. Helminths and malignancy. Parasite Immunol. 2009, 31, 686–696. [Google Scholar] [CrossRef]
- Cioli, D.; Pica-Mattoccia, L. Praziquantel. Parasitol. Res. 2003, 90, S3–S9. [Google Scholar] [CrossRef]
- Pica-Mattoccia, L.; Carlini, D.; Guidi, A.; Cimica, V.; Vigorosi, F.; Cioli, D. The schistosome enzyme that activates oxamniquine has the characteristics of a sulfotransferase. Memórias Inst. Oswaldo Cruz 2006, 101, 307–312. [Google Scholar] [CrossRef]
- Foster, R.; Mesmer, E.T.; Cheetham, B.L.; King, D.F. The control of immature Schistosoma mansoni in mice by UK 3883, a novel 2-aminomethyltetrahydroquinoline derivative. Ann. Trop. Med. Parasitol. 1971, 65, 221–232. [Google Scholar] [CrossRef]
- Valentim, C.L.; Cioli, D.; Chevalier, F.D.; Cao, X.; Taylor, A.B.; Holloway, S.P.; Pica-Mattoccia, L.; Guidi, A.; Basso, A.; Tsai, I.J.; et al. Genetic and molecular basis of drug resistance and species-specific drug action in schistosome parasites. Science 2013, 342, 1385–1389. [Google Scholar] [CrossRef] [PubMed]
- Botros, S.S.; Bennett, J.L. Praziquantel resistance. Expert Opin. Drug Discov. 2007, 2, S35–S40. [Google Scholar] [CrossRef] [PubMed]
- Bennett, J.L.; Gianutsos, G. Disulfiram—A compound that selectively induces abnormal egg production and lowers norepinephrine levels in Schistosoma mansoni. Biochem. Pharmacol. 1978, 27, 817–820. [Google Scholar] [CrossRef] [PubMed]
- Seed, J.L.; Pratt, M.C.; Bennett, J.L. The effects of chronic disulfiram treatment on mice infected with Schistosoma mansoni. Am. J. Trop. Med. Hyg. 1979, 28, 508–514. [Google Scholar] [CrossRef]
- Rennar, G.A.; Gallinger, T.L.; Mader, P.; Lange-Grunweller, K.; Haeberlein, S.; Grunweller, A.; Grevelding, C.G.; Schlitzer, M. Disulfiram and dithiocarbamate analogues demonstrate promising antischistosomal effects. Eur. J. Med. Chem. 2022, 242, 114641. [Google Scholar] [CrossRef]
- Wang, M.; Huang, X.; Zhang, D.; Liu, Y.; Liu, P. The role of fructose-1,6-bisphosphatase 1 on regulating the cancer progression and drug resistance. Discov. Oncol. 2025, 16, 346. [Google Scholar] [CrossRef] [PubMed]
- Sawant, S.D.; Sawant, V.N. Comprehensive Review and Perspective on Fructose 1,6-Bisphosphatase Inhibitors for the Management of Type 2 Diabetes Mellitus. Russ. J. Bioorg. Chem. 2025, 51, 439–464. [Google Scholar] [CrossRef]
- Kaur, R.; Dahiya, L.; Kumar, M. Fructose-1,6-bisphosphatase inhibitors: A new valid approach for management of type 2 diabetes mellitus. Eur. J. Med. Chem. 2017, 141, 473–505. [Google Scholar] [CrossRef] [PubMed]
- Huang, Y.; Wei, L.; Han, X.; Chen, H.; Ren, Y.; Xu, Y.; Song, R.; Rao, L.; Su, C.; Peng, C.; et al. Discovery of novel allosteric site and covalent inhibitors of FBPase with potent hypoglycemic effects. Eur. J. Med. Chem. 2019, 184, 111749. [Google Scholar] [CrossRef]
- Xu, Y.X.; Huang, Y.Y.; Song, R.R.; Ren, Y.L.; Chen, X.; Zhang, C.; Mao, F.; Li, X.K.; Zhu, J.; Ni, S.S.; et al. Development of disulfide-derived fructose-1,6-bisphosphatase (FBPase) covalent inhibitors for the treatment of type 2 diabetes. Eur. J. Med. Chem. 2020, 203, 112500. [Google Scholar] [CrossRef]
- Huang, Y.; Xu, Y.; Song, R.; Ni, S.; Liu, J.; Xu, Y.; Ren, Y.; Rao, L.; Wang, Y.; Wei, L.; et al. Identification of the New Covalent Allosteric Binding Site of Fructose-1,6-bisphosphatase with Disulfiram Derivatives toward Glucose Reduction. J. Med. Chem. 2020, 63, 6238–6247. [Google Scholar] [CrossRef]
- Karimov, A.; Orujova, A.; Taslimi, P.; Sadeghian, N.; Mammadov, B.; Karaman, H.S.; Farzaliyev, V.; Sujayev, A.; Tas, R.; Alwasel, S.; et al. Novel functionally substituted esters based on sodium diethyldithiocarbamate derivatives: Synthesis, characterization, biological activity and molecular docking studies. Bioorg. Chem. 2020, 99, 103762. [Google Scholar] [CrossRef]
- Pathak, S.R.; Senwar, K.R.; Ritika; Sharma, K.N. Chapter 4—Alpha-glucosidase in diabetes mellitus. In Diabetes Mellitus; Nidhar, M., Tewari, A.K., Eds.; Academic Press: Cambridge, MA, USA, 2025; pp. 63–78. [Google Scholar]
- Najlah, M.; McCallum, N.; Pereira, A.M.; Alves, D.; Ansari-Fard, N.; Rehmani, S.; Kaya, A. Sugar-Linked Diethyldithiocarbamate Derivatives: A Novel Class of Anticancer Agents. Int. J. Mol. Sci. 2025, 26, 5589. [Google Scholar] [CrossRef]
- Wang, R.; Shen, J.; Yan, H.; Gao, X.; Dong, T.; Wang, P.; Zhou, J. The Evolving Role of Disulfiram in Radiobiology and the Treatment of Breast Cancer. OncoTargets Ther. 2020, 13, 10441–10446. [Google Scholar] [CrossRef]
- Yuan, Q.; Peng, R.; Yu, H.; Wang, S.; Chen, Z.; Dong, S.; Li, W.; Cheng, B.; Jiang, Q.; Cong, Y.; et al. Disulfiram Protects Against Radiation-Induced Intestinal Injury in Mice. Front. Pharmacol. 2022, 13, 852669. [Google Scholar] [CrossRef]
- Jia, Y.; Huang, T. Overview of Antabuse((R)) (Disulfiram) in Radiation and Cancer Biology. Cancer Manag. Res. 2021, 13, 4095–4101. [Google Scholar] [CrossRef] [PubMed]
- Wang, S.; Ji, Y.; Sun, S.; Liu, Y.; Liu, W.; Long, W. Radiation protective effects of two disulfiram derivatives in mice. Int. J. Radiat. Med. Nucl. Med. 2025, 49, 31–40. [Google Scholar] [CrossRef]












Disclaimer/Publisher’s Note: The statements, opinions and data contained in all publications are solely those of the individual author(s) and contributor(s) and not of MDPI and/or the editor(s). MDPI and/or the editor(s) disclaim responsibility for any injury to people or property resulting from any ideas, methods, instructions or products referred to in the content. |
© 2026 by the authors. Licensee MDPI, Basel, Switzerland. This article is an open access article distributed under the terms and conditions of the Creative Commons Attribution (CC BY) license.
Share and Cite
Omran, Z.; Abdullah, O. Disulfiram and Its Derivatives: An Immortal Phoenix of Drug Repurposing. Pharmaceuticals 2026, 19, 200. https://doi.org/10.3390/ph19020200
Omran Z, Abdullah O. Disulfiram and Its Derivatives: An Immortal Phoenix of Drug Repurposing. Pharmaceuticals. 2026; 19(2):200. https://doi.org/10.3390/ph19020200
Chicago/Turabian StyleOmran, Ziad, and Omeima Abdullah. 2026. "Disulfiram and Its Derivatives: An Immortal Phoenix of Drug Repurposing" Pharmaceuticals 19, no. 2: 200. https://doi.org/10.3390/ph19020200
APA StyleOmran, Z., & Abdullah, O. (2026). Disulfiram and Its Derivatives: An Immortal Phoenix of Drug Repurposing. Pharmaceuticals, 19(2), 200. https://doi.org/10.3390/ph19020200

