Moringa oleifera: A Review of the Pharmacology, Chemical Constituents, and Application for Dental Health
Abstract
1. Introduction
2. Phytochemical Constituent
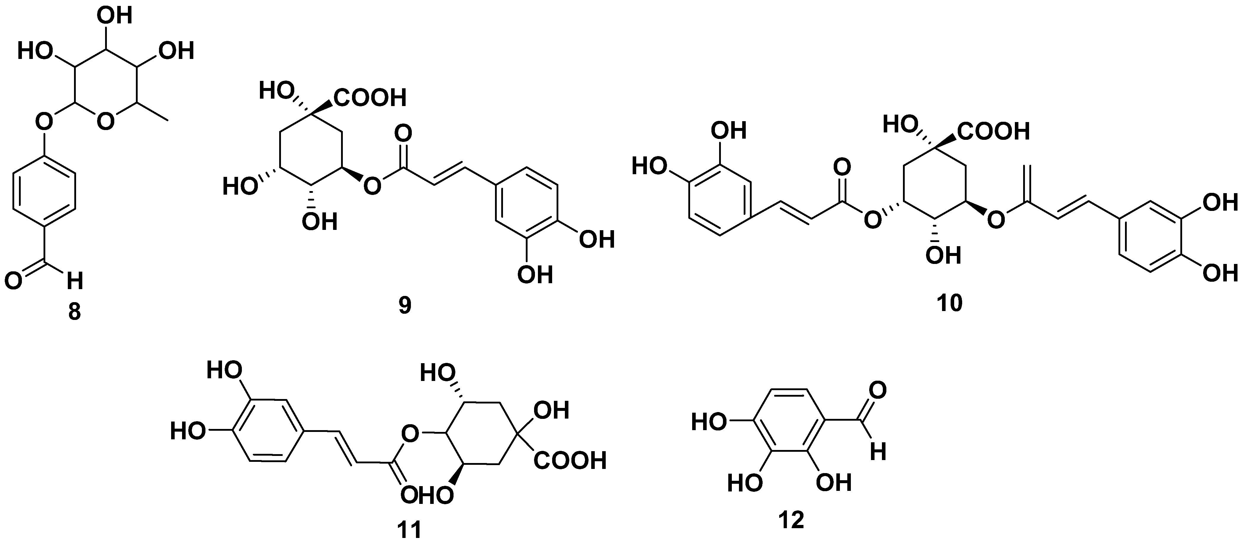
2.1. Phenolic
2.2. Glucosinolate
2.3. Flavonoid
2.4. Fatty Acid
2.5. Ester
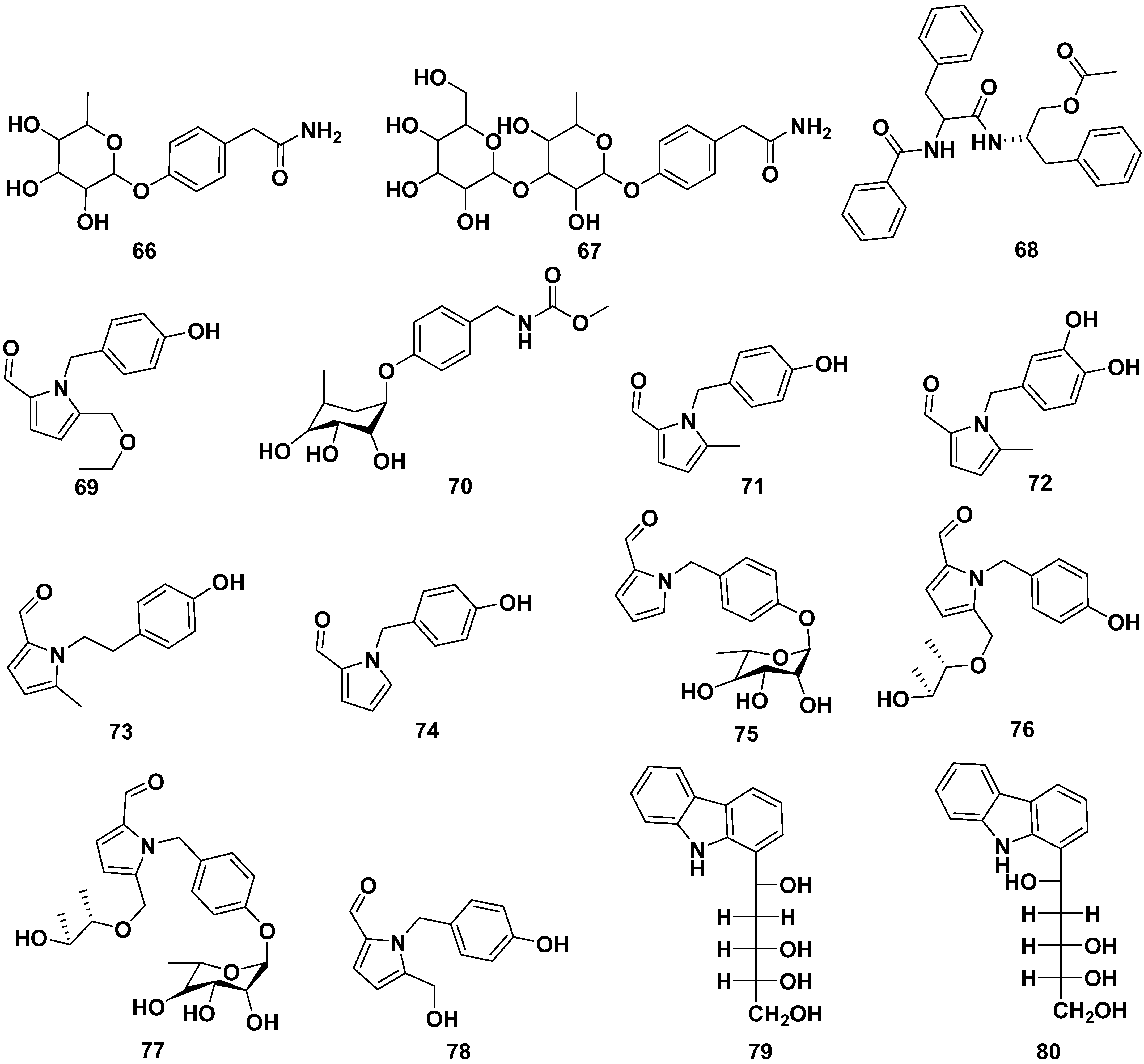
2.6. Alkaloid
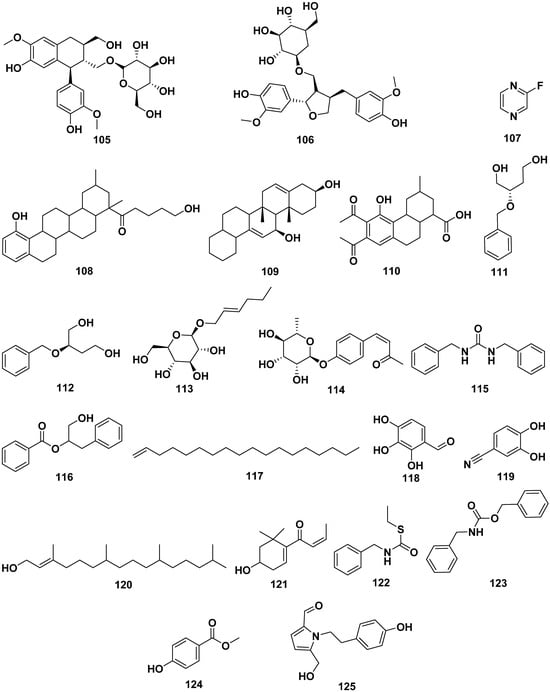
2.7. Sterol
2.8. Terpene
2.9. Other Compounds
3. Pharmacological Properties
3.1. Anti-Hemorrhage
3.2. Anti-Allergic
3.3. Antimicrobial
3.4. Anthelminthic
3.5. Antihypertensive
3.6. Antileishmanial
3.7. Wound Healing
3.8. Antioxidant
3.9. Anti-diarrheal
3.10. Hepatoprotective
3.11. Anti-Inflammatory
3.12. Anti-Diabetic
3.13. Anticancer
4. Utilization of M. oleifera in Dental Health
5. Conclusions
Author Contributions
Funding
Institutional Review Board Statement
Informed Consent Statement
Data Availability Statement
Acknowledgments
Conflicts of Interest
References
- Granella, S.J.; Bechlin, T.R.; Christ, D.; Coelho, S.R.M.; de Oliveira Paz, C.H. An approach to recent applications of Moringa oleifera in the agricultural and biofuel industries. S. Afr. J. Bot. 2021, 137, 110–116. [Google Scholar] [CrossRef]
- Leone, A.; Spada, A.; Battezzati, A.; Schiraldi, A.; Aristil, J.; Bertoli, S. Cultivation, genetic, ethnopharmacology, phytochemistry and pharmacology of Moringa oleifera leaves: An overview. Int. J. Mol. Sci. 2015, 16, 12791–12835. [Google Scholar] [CrossRef]
- Matic, I.; Guidi, A.; Kenzo, M.; Mattei, M.; Galgani, A. Investigation of medicinal plants traditionally used as dietary supplements: A review on Moringa oleifera. J. Public Health Afr. 2018, 9, 191–199. [Google Scholar] [CrossRef]
- Mishra, G.; Singh, P.; Verma, R.; Kumar, S.; Srivastav, S.; Jha, K.; Khosa, R. Traditional uses, phytochemistry and pharmacological properties of Moringa oleifera plant: An overview. Der Pharm. Lett. 2011, 3, 141–164. [Google Scholar]
- Padayachee, B.; Baijnath, H. An updated comprehensive review of the medicinal, phytochemical and pharmacological properties of Moringa oleifera. S. Afr. J. Bot. 2020, 129, 304–316. [Google Scholar] [CrossRef]
- Valdivié-Navarro, M.; Martínez-Aguilar, Y.; Mesa-Fleitas, O.; Botello-León, A.; Hurtado, C.B.; Velázquez-Martí, B. Review of Moringa oleifera as forage meal (leaves plus stems) intended for the feeding of non-ruminant animals. Anim. Feed. Sci. Technol. 2020, 260, 114338. [Google Scholar] [CrossRef]
- Brilhante, R.S.N.; Sales, J.A.; Pereira, V.S.; Castelo, D.d.S.C.M.; de Aguiar Cordeiro, R.; de Souza Sampaio, C.M.; Paiva, M.d.A.N.; Dos Santos, J.B.F.; Sidrim, J.J.C.; Rocha, M.F.G. Research advances on the multiple uses of Moringa oleifera: A sustainable alternative for socially neglected population. Asian Pac. J. Trop. Med. 2017, 10, 621–630. [Google Scholar] [CrossRef] [PubMed]
- Gopalakrishnan, L.; Doriya, K.; Kumar, D.S. Moringa oleifera: A review on nutritive importance and its medicinal application. Food Sci. Hum. Wellness 2016, 5, 49–56. [Google Scholar] [CrossRef]
- Trigo, C.; Castello, M.L.; Ortola, M.D.; Garcia-Mares, F.J.; Desamparados Soriano, M. Moringa oleifera: An unknown crop in developed countries with great potential for industry and adapted to climate change. Foods 2020, 10, 31. [Google Scholar] [CrossRef]
- Hastuty, Y.D. Ekstrak daun kelor dan efeknya pada kadar hemoglobin remaja putri. J. Kesehat. Poltekkes Plb. 2022, 17, 121–127. [Google Scholar] [CrossRef]
- Yuliastuti, S.; Kurnia, H. Pengaruh pemberian serbuk halus daun kelor (Moringa oleifera) terhadap kadar hb ibu hamil trimester iii dengan anemia di wilayah kerja puskesmas mangunreja kab. Tasikmalaya the influence of Moringa oleifera fine powder. Media Inf. 2021, 17, 122–127. [Google Scholar] [CrossRef]
- Ferraz, C.C.R.; Henry, M.A.; Hargreaves, K.M.; Diogenes, A. Lipopolysaccharide from Porphyromonas gingivalis sensitizes capsaicin-sensitive nociceptors. J. Endod. 2011, 37, 45–48. [Google Scholar] [CrossRef] [PubMed]
- Gao, Y.; Jiang, X.; Lin, D.; Chen, Y.; Tong, Z. The starvation resistance and biofilm formation of Enterococcus faecalis in coexistence with Candida albicans, Streptococcus gordonii, Actinomyces viscosus, or Lactobacillus acidophilus. J. Endod. 2016, 42, 1233–1238. [Google Scholar] [CrossRef] [PubMed]
- Miranda, T.T.; Vianna, C.R.; Rodrigues, L.; Rosa, C.A.; Corrêa Jr, A. Differential proteinase patterns among Candida albicans strains isolated from root canal and lingual dorsum: Possible roles in periapical disease. J. Endod. 2015, 41, 841–845. [Google Scholar] [CrossRef]
- Salem, A.S.; Tompkins, G.R.; Cathro, P.R. Alkaline tolerance and biofilm formation of Root Canal isolates of Enterococcus faecalis: An in Vitro Study. J. Endod. 2022, 48, 542–547.e544. [Google Scholar] [CrossRef] [PubMed]
- Gomes, B.P.; Montagner, F.; Jacinto, R.C.; Zaia, A.A.; Ferraz, C.C.R.; Souza-Filho, F.J. Polymerase chain reaction of Porphyromonas gingivalis, Treponema denticola, and Tannerella forsythia in primary endodontic infections. J. Endod. 2007, 33, 1049–1052. [Google Scholar] [CrossRef]
- Senges, C.; Wrbas, K.-T.; Altenburger, M.; Follo, M.; Spitzmüller, B.; Wittmer, A.; Hellwig, E.; Al-Ahmad, A. Bacterial and Candida albicans adhesion on different root canal filling materials and sealers. J. Endod. 2011, 37, 1247–1252. [Google Scholar] [CrossRef]
- Montagner, F.; Jacinto, R.C.; Signoretti, F.G.C.; de Mattos, V.S.; Grecca, F.S.; de Almeida Gomes, B.P.F. Beta-lactamic resistance profiles in Porphyromonas, Prevotella, and Parvimonas species isolated from acute endodontic infections. J. Endod. 2014, 40, 339–344. [Google Scholar] [CrossRef] [PubMed]
- Putri, S.A.; Nur Shadrina, A.A.; Julaeha, E.; Kurnia, D. Potential Nevadensin from Ocimum basilicum as Antibacterial Agent against Streptococcus mutans: In Vitro and In Silico Studies. Comb. Chem. High Throughput Screen. 2023, 26, 1746–1754. [Google Scholar] [CrossRef]
- Madhloom, F. Antimicrobial Effect of Moringa oleifera L. and Red Pomegranate against Clinically Isolated Porphyromonas gingivalis: In vitro Study. Arch. Razi Inst. 2022, 77, 1405. [Google Scholar] [CrossRef]
- Nugraha, A.P.; Triwardhani, A.; Sitalaksmi, R.M.; Ramadhani, N.F.; Luthfi, M.; Ulfa, N.M. Phytochemical, antioxidant, and antibacterial activity of Moringa oleifera nanosuspension against peri-implantitis bacteria: An in vitro study. J. Oral Biol. Craniofacial Res. 2023, 13, 720–726. [Google Scholar] [CrossRef] [PubMed]
- Bhattacharya, A.; Tiwari, P.; Sahu, P.K.; Kumar, S. A review of the phytochemical and pharmacological characteristics of Moringa oleifera. J. Pharm. Bioallied Sci. 2018, 10, 181. [Google Scholar]
- Özcan, M. Moringa spp: Composition and bioactive properties. S. Afr. J. Bot. 2020, 129, 25–31. [Google Scholar] [CrossRef]
- Cheenpracha, S.; Park, E.-J.; Yoshida, W.Y.; Barit, C.; Wall, M.; Pezzuto, J.M.; Chang, L.C. Potential anti-inflammatory phenolic glycosides from the medicinal plant Moringa oleifera fruits. Bioorg. Med. Chem. 2010, 18, 6598–6602. [Google Scholar] [CrossRef]
- Lar, P.; Ojile, E.; Dashe, E.; Oluoma, J. Antibacterial activity on Moringa oleifera seed extracts on some gram negative bacterial isolates. Afr. J. Nat. Sci. 2011, 14, 57–62. [Google Scholar]
- Zaffer, M.; Ganie, S.A.; Gulia, S.S.; Yadav, S.S.; Singh, R.; Ganguly, S. Antifungal efficacy of Moringa oleifera Lam. AJPCT 2015, 3, 28–33. [Google Scholar]
- El-Meidany, W.M.; Abdel-Gawad, F.K.; Mahmoud, S.H.; Ali, M.A. In vitro antiviral effect of cinnamon oil, Moringa oleifera extract, Manuka honey, and Nigella sativa oil against SARS-CoV-2 compared to remdesivir. Bull. Natl. Res. Cent. 2023, 47, 156. [Google Scholar] [CrossRef]
- Allam, O.G.; Kutkat, O.; Gaballah, M.; El-Halawany, A.M.; Mostafa, A.; Shouman, S.; Ali, M.A.; El Farouk, O. Virucidal effect of Moringa oleifera against SARS-CoV-2 and Influenza A/H1N1. Afr. J. Biol. Sci. 2023, 19, 69–78. [Google Scholar] [CrossRef]
- Xiong, Y.; Rajoka, M.S.R.; Mehwish, H.M.; Zhang, M.; Liang, N.; Li, C.; He, Z. Virucidal activity of Moringa A from Moringa oleifera seeds against Influenza A Viruses by regulating TFEB. Int. Immunopharmacol. 2021, 95, 107561. [Google Scholar] [CrossRef] [PubMed]
- Nasr-Eldin, M.A.; Abdelhamid, A.; Baraka, D. Antibiofilm and antiviral potential of leaf extracts from Moringa oleifera and rosemary (Rosmarinus officinalis Lam.). Egypt. J. Microbiol. 2017, 52, 129–139. [Google Scholar] [CrossRef]
- Mahbub, K.R.; Hoq, M.M.; Ahmed, M.M.; Sarker, A. In vitro antibacterial activity of Crescentia cujete and Moringa oleifera. Bangladesh Res. Publ. J. 2011, 5, 337–343. [Google Scholar]
- Effendi, D.N.; Yuliawati, K.M.; Patricia, V.M. Uji Aktivitas Antibakteri Ekstrak Daun Kelor (Moringa oleifera L.) Terhadap Bakteri Staphylococcus epidermidis. Proc. Bdg. Conf. Ser. Pharm. 2023, 3, 528–533. [Google Scholar]
- Ashraf, M.; Alam, S.S.; Fatima, M.; Altaf, I.; Khan, F.; Afzal, A. Comparative anti-influenza potential of Moringa oleifera leaves and amantadine invitro. Pak. Postgrad. Med. J. 2017, 28, 127–131. [Google Scholar] [CrossRef]
- Goswami, D.; Mukherjee, P.K.; Kar, A.; Ojha, D.; Roy, S.; Chattopadhyay, D. Screening of Ethnomedicinal Plants of Diverse Culture for Antiviral Potentials; NISCAIR-CSIR: New Delhi, India, 2016. [Google Scholar]
- Kurokawa, M.; Wadhwani, A.; Kai, H.; Hidaka, M.; Yoshida, H.; Sugita, C.; Watanabe, W.; Matsuno, K.; Hagiwara, A. Activation of cellular immunity in herpes simplex virus type 1-infected mice by the oral administration of aqueous extract of Moringa oleifera Lam. leaves. Phytother. Res. 2016, 30, 797–804. [Google Scholar] [CrossRef]
- Nilani, P.; Pinaka, M.K.; Duraisamy, B.; Dhamodaran, P.; Jeyaprakash, M. Anthelmintic activity of Moringa oleifera seed oil-validation of traditional use. J. Adv. Sci. Res. 2012, 3, 65–66. [Google Scholar]
- Randriamboavonjy, J.I.; Loirand, G.; Vaillant, N.; Lauzier, B.; Derbré, S.; Michalet, S.; Pacaud, P.; Tesse, A. Cardiac protective effects of Moringa oleifera seeds in spontaneous hypertensive rats. Am. J. Hypertens. 2016, 29, 873–881. [Google Scholar] [CrossRef]
- Bennett, R.N.; Mellon, F.A.; Foidl, N.; Pratt, J.H.; Dupont, M.S.; Perkins, L.; Kroon, P.A. Profiling glucosinolates and phenolics in vegetative and reproductive tissues of the multi-purpose trees Moringa oleifera L.(horseradish tree) and Moringa stenopetala L. J. Agric. Food Chem. 2003, 51, 3546–3553. [Google Scholar] [CrossRef]
- Huang, L.; Yuan, C.; Wang, Y. Bioactivity-guided identification of anti-adipogenic isothiocyanates in the moringa (Moringa oleifera) seed and investigation of the structure-activity relationship. Molecules 2020, 25, 2504. [Google Scholar] [CrossRef]
- Ragasa, C.Y.; Ng, V.A.S.; Shen, C.-C. Chemical constituents of Moringa oleifera Lam. seeds. Int. J. Pharmacogn. Phytochem. Res. 2016, 8, 495–498. [Google Scholar]
- Kaur, A.; Kaur, P.K.; Singh, S.; Singh, I.P. Antileishmanial compounds from Moringa oleifera Lam. Z. Für Naturforschung C 2014, 69, 110–116. [Google Scholar] [CrossRef]
- Jiang, M.-Y.; Lu, H.; Pu, X.-Y.; Li, Y.-H.; Tian, K.; Xiong, Y.; Wang, W.; Huang, X.-Z. Laxative Metabolites from the Leaves of Moringa oleifera. J. Agric. Food Chem. 2020, 68, 7850–7860. [Google Scholar] [CrossRef] [PubMed]
- Adeyemi, S.; Larayetan, R.; Onoja, A.; Ajayi, A.; Yahaya, A.; Ogunmola, O.O.; Adeyi, A.; Chijioke, O. Anti-hemorrhagic activity of ethanol extract of Moringa oleifera leaf on envenomed albino rats. Sci. Afr. 2021, 12, e00742. [Google Scholar] [CrossRef]
- Atawodi, S.E.; Atawodi, J.C.; Idakwo, G.A.; Pfundstein, B.; Haubner, R.; Wurtele, G.; Bartsch, H.; Owen, R.W. Evaluation of the polyphenol content and antioxidant properties of methanol extracts of the leaves, stem, and root barks of Moringa oleifera Lam. J. Med. Food 2010, 13, 710–716. [Google Scholar] [CrossRef] [PubMed]
- Zhao, B.; Deng, J.; Li, H.; He, Y.; Lan, T.; Wu, D.; Gong, H.; Zhang, Y.; Chen, Z. Optimization of phenolic compound extraction from Chinese Moringa oleifera leaves and antioxidant activities. J. Food Qual. 2019, 2019, 5346279. [Google Scholar] [CrossRef]
- Xu, Y.-B.; Chen, G.-L.; Guo, M.-Q. Antioxidant and anti-inflammatory activities of the crude extracts of Moringa oleifera from Kenya and their correlations with flavonoids. Antioxidants 2019, 8, 296. [Google Scholar] [CrossRef]
- Sahakitpichan, P.; Mahidol, C.; Disadee, W.; Ruchirawat, S.; Kanchanapoom, T. Unusual glycosides of pyrrole alkaloid and 4′-hydroxyphenylethanamide from leaves of Moringa oleifera. Phytochemistry 2011, 72, 791–795. [Google Scholar] [CrossRef] [PubMed]
- Karthivashan, G.; Tangestani Fard, M.; Arulselvan, P.; Abas, F.; Fakurazi, S. Identification of bioactive candidate compounds responsible for oxidative challenge from hydro-ethanolic extract of Moringa oleifera leaves. J. Food Sci. 2013, 78, C1368–C1375. [Google Scholar] [CrossRef]
- Guevara, A.P.; Vargas, C.; Sakurai, H.; Fujiwara, Y.; Hashimoto, K.; Maoka, T.; Kozuka, M.; Ito, Y.; Tokuda, H.; Nishino, H. An antitumor promoter from Moringa oleifera Lam. Mutat. Res./Genet. Toxicol. Environ. Mutagen. 1999, 440, 181–188. [Google Scholar] [CrossRef] [PubMed]
- Abd Rani, N.Z.; Kumolosasi, E.; Jasamai, M.; Jamal, J.A.; Lam, K.W.; Husain, K. In vitro anti-allergic activity of Moringa oleifera Lam. extracts and their isolated compounds. BMC Complement. Altern. Med. 2019, 19, 361. [Google Scholar] [CrossRef]
- Igbo, U.E.; Igoli, J.O.; Onyiriuka, S.O.; Ogukwe, C.E.; Ayuk, A.A.; Gray, A.I. Isolation and characterization of Pyropheophorbide-a from Moringa oleifera Lam. Trop. J. Nat. Prod. Res. 2019, 3, 314–318. [Google Scholar] [CrossRef]
- Luetragoon, T.; Pankla Sranujit, R.; Noysang, C.; Thongsri, Y.; Potup, P.; Suphrom, N.; Nuengchamnong, N.; Usuwanthim, K. Bioactive compounds in Moringa oleifera Lam. leaves inhibit the pro-inflammatory mediators in lipopolysaccharide-induced human monocyte-derived macrophages. Molecules 2020, 25, 191. [Google Scholar] [CrossRef]
- Punia, J.; Singh, R. Antioxidant potential and nutritional content of stem, bark and pod of Drumstick tree (Moringa oleifera Lam.) from semi-arid region of Haryana. J. Indian Chem. Soc. 2017, 94, 103–110. [Google Scholar]
- Fantoukh, O.I.; Albadry, M.A.; Parveen, A.; Hawwal, M.F.; Majrashi, T.; Ali, Z.; Khan, S.I.; Chittiboyina, A.G.; Khan, I.A. Isolation, synthesis, and drug interaction potential of secondary metabolites derived from the leaves of miracle tree (Moringa oleifera) against CYP3A4 and CYP2D6 isozymes. Phytomedicine 2019, 60, 153010. [Google Scholar] [CrossRef]
- Oluduro, O.; Aderiye, B.; Connolly, J.; Akintayo, E.; Famurewa, O. Characterization and antimicrobial activity of 4-([beta]-d-glucopyranosyl-1 [arrow right] 4-[alpha]-l-rhamnopyranosyloxy)-benzyl thiocarboxamide; a novel bioactive compound from Moringa oleifera seed extract. Folia Microbiol. 2010, 55, 422. [Google Scholar] [CrossRef]
- Li, F.-H.; Wang, H.-Q.; Su, X.-M.; Li, C.-K.; Li, B.-M.; Chen, R.-Y.; Kang, J. Constituents isolated from n-butanol extract of leaves of Moringa oleifera. Zhongguo Zhong Yao Za Zhi/Zhongguo Zhongyao Zazhi/China J. Chin. Mater. Medica 2018, 43, 114–118. [Google Scholar]
- Sashidhara, K.V.; Singh, S.P.; Kant, R.; Maulik, P.R.; Sarkar, J.; Kanojiya, S.; Kumar, K.R. Cytotoxic cycloartane triterpene and rare isomeric bisclerodane diterpenes from the leaves of Polyalthia longifolia var. pendula. Bioorg. Med. Chem. Lett. 2010, 20, 5767–5771. [Google Scholar] [CrossRef]
- Khalid, S.; Arshad, M.; Raza, K.; Mahmood, S.; Siddique, F.; Aziz, N.; Khan, S.; Khalid, W.; AL-Farga, A.; Aqlan, F. Assessment of hepatoprotective, nephroprotective efficacy, and antioxidative potential of Moringa oleifera leaf powder and ethanolic extract against PCOS-induced female albino mice (Mus Musculus). Food Sci. Nutr. 2023, 11, 7206–7217. [Google Scholar] [CrossRef]
- Al-Malki, A.L.; El Rabey, H.A. The antidiabetic effect of low doses of Moringa oleifera Lam. seeds on streptozotocin induced diabetes and diabetic nephropathy in male rats. BioMed Res. Int. 2015, 2015, 381040. [Google Scholar] [CrossRef]
- Gupta, R.; Mathur, M.; Bajaj, V.K.; Katariya, P.; Yadav, S.; Kamal, R.; Gupta, R.S. Evaluation of antidiabetic and antioxidant activity of Moringa oleifera in experimental diabetes. J. Diabetes 2012, 4, 164–171. [Google Scholar] [CrossRef]
- Chen, G.-L.; Xu, Y.-B.; Wu, J.-L.; Li, N.; Guo, M.-Q. Hypoglycemic and hypolipidemic effects of Moringa oleifera leaves and their functional chemical constituents. Food Chem. 2020, 333, 127478. [Google Scholar] [CrossRef]
- Vasanth, K.; Minakshi, G.C.; Velu, K.; Priya, T.; Kumar, R.M.; Kaliappan, I.; Dubey, G.P. Anti-adipogenic β-sitosterol and lupeol from Moringa oleifera suppress adipocyte differentiation through regulation of cell cycle progression. J. Food Biochem. 2022, 46, e14170. [Google Scholar] [CrossRef] [PubMed]
- Abbas, H.H.; Atiyah, M.M. Anti-fungal activities of aqueous and alcoholic leaf extracts of Moringa oleifera Lam. on Candida albicans isolated from diabetic foot infections. In Proceedings of the AIP Conference Proceedings; AIP Publishing: New York, NY, USA, 2023. [Google Scholar]
- Sulaiman, M.R.; Zakaria, Z.; Bujarimin, A.; Somchit, M.; Israf, D.; Moin, S. Evaluation of Moringa oleifera aqueous extract for antinociceptive and anti-inflammatory activities in animal models. Pharm. Biol. 2008, 46, 838–845. [Google Scholar] [CrossRef]
- Ariyani, F.; Amin, I.; Fardiaz, D. Ekstrak Air Daun Sirih (Piper betle Linn) sebagai Antioksidan Alami pada Pengolahan Ikan Patin (Pangasius hypophthalmus) Asin Kering. J. Pascapanen Dan Bioteknol. Kelaut. Dan Perikan. 2015, 10, 45–59. [Google Scholar] [CrossRef]
- Jung, I.L. Soluble extract from Moringa oleifera leaves with a new anticancer activity. PLoS ONE 2014, 9, e95492. [Google Scholar] [CrossRef] [PubMed]
- Elsayed, E.A.; Sharaf-Eldin, M.A.; Wadaan, M. In vitro evaluation of cytotoxic activities of essential oil from Moringa oleifera seeds on HeLa, HepG2, MCF-7, CACO-2 and L929 cell lines. Asian Pac. J. Cancer Prev 2015, 16, 4671–4675. [Google Scholar] [CrossRef]
- Nair, S.; Varalakshmi, K. Anticancer, cytotoxic potential of Moringa oleifera extracts on HeLa cell line. J. Nat. Pharm. 2011, 2, 138–142. [Google Scholar]
- Do, B.H.; Nguyen, T.P.T.; Ho, N.Q.C.; Le, T.L.; Hoang, N.S.; Doan, C.C. Mitochondria-mediated Caspase-dependent and Caspase-independent apoptosis induced by aqueous extract from Moringa oleifera leaves in human melanoma cells. Mol. Biol. Rep. 2020, 47, 3675–3689. [Google Scholar] [CrossRef] [PubMed]
- Dodiya, B.; Amin, B.; Kamlaben, S.; Patel, P. Antibacterial activity and phytochemical screening of different parts of Moringa oleifera against selected gram positive and gram negative bacteria. J. Pharm. Chem. Biol. Sci. 2015, 3, 421–425. [Google Scholar]
- Abadallah, M.; Ali, M. Antibacterial activity of Moringa oleifera leaf extracts against bacteria isolated from patients attending general Sani Abacha specialist hospital damaturu. J. Allied Pharm. Sci. 2019, 1, 61–66. [Google Scholar]
- Brilhante, R.S.N.; Sales, J.A.; de Souza Sampaio, C.M.; Barbosa, F.G.; Paiva, M.d.A.N.; de Melo Guedes, G.M.; de Alencar, L.P.; de Ponte, Y.B.; Bandeira, T.d.J.P.G.; Moreira, J.L.B. Vibrio spp. from Macrobrachium amazonicum prawn farming are inhibited by Moringa oleifera extracts. Asian Pac. J. Trop. Med. 2015, 8, 919–922. [Google Scholar] [CrossRef]
- Morgan, C.; Opio, C.; Migabo, S. Chemical composition of Moringa (Moringa oleifera) root powder solution and effects of Moringa root powder on E. coli growth in contaminated water. S. Afr. J. Bot. 2020, 129, 243–248. [Google Scholar] [CrossRef]
- Zahran, E.M.; Mohamad, S.A.; Yahia, R.; Badawi, A.M.; Sayed, A.M.; Abdelmohsen, U.R. Anti-otomycotic potential of nanoparticles of Moringa oleifera leaf extract: An integrated in vitro, in silico and phase 0 clinical study. Food Funct. 2022, 13, 11083–11096. [Google Scholar] [CrossRef] [PubMed]
- Peixoto, J.R.O.; Silva, G.C.; Costa, R.A.; Vieira, G.H.F.; Fonteles Filho, A.A.; dos Fernandes Vieira, R.H.S. In vitro antibacterial effect of aqueous and ethanolic Moringa leaf extracts. Asian Pac. J. Trop. Med. 2011, 4, 201–204. [Google Scholar] [CrossRef] [PubMed]
- Sayeed, M.A.; Hossain, M.S.; Chowdhury, M.E.H.; Haque, M. In vitro antimicrobial activity of methanolic extract of Moringa olieifera lam. fruits. J. Pharmacogn. Phytochem. 2012, 1, 94–98. [Google Scholar]
- Moyo, B.; Masika, P.J.; Muchenje, V. Antimicrobial activities of Moringa oleifera Lam leaf extracts. Afr. J. Biotechnol. 2012, 11, 2797–2802. [Google Scholar] [CrossRef]
- Kumar, V.; Pandey, N.; Mohan, N.; Singh, R.P. Antibacterial & antioxidant activity of different extract of Moringa oleifera Leaves–an in vitro study. Int. J. Pharm. Sci. Rev. Res. 2012, 12, 89–94. [Google Scholar]
- Fouad, E.A.; Elnaga, A.S.A.; Kandil, M.M. Antibacterial efficacy of Moringa oleifera leaf extract against pyogenic bacteria isolated from a dromedary camel (Camelus dromedarius) abscess. Vet. World 2019, 12, 802. [Google Scholar] [CrossRef]
- Syeda, A.M.; Riazunnisa, K. Data on GC-MS analysis, in vitro anti-oxidant and anti-microbial activity of the Catharanthus roseus and Moringa oleifera leaf extracts. Data Brief 2020, 29, 105258. [Google Scholar] [CrossRef] [PubMed]
- Aboud, A.S.; Jazar, Z.H.; Mansoor, R.F.; Zboon, H.A. Effect of ethanol and aqueous extract of Moringa oleifera on bacteria isolated from wound infection. Int. J. Sci. Res. Arch. 2023, 9, 941–949. [Google Scholar] [CrossRef]
- Cahyani, D.E.; Rusdi, B.; Mulqie, L. Antibacterial activity and klt-bioautography analysys of ethanol extract of kelor leaves (Moringa oleifera L.) against Staphylococcus aureus dan Escherichia coli Bacteries. Proc. Bdg. Conf.Ser. Pharm. 2023, 3, 168–176. [Google Scholar]
- Doughari, J.; Pukuma, M.; De, N. Antibacterial effects of Balanites aegyptiaca L. Drel. and Moringa oleifera Lam. on Salmonella typhi. Afr. J. Biotechnol. 2007, 6, 2212–2215. [Google Scholar] [CrossRef]
- Xiong, Y.; Riaz Rajoka, M.S.; Zhang, M.; He, Z. Isolation and identification of two new compounds from the seeds of Moringa oleifera and their antiviral and anti-inflammatory activities. Nat. Prod. Res. 2022, 36, 974–983. [Google Scholar] [CrossRef]
- Lovely, K.A.; Hernandez, C.L.C. Anti-hypertensive effect of Moringa oleifera Lam. Cogent Biol. 2019, 5, 1596526. [Google Scholar]
- Ramadhany, E.P.; Ambarawati, I.G.A.D.; Musyaffa, M.R. Effect of 4% and 15% moringa leaf extract gel on gingival wound healing in rats. Maj. Kedokt. Gigi Indones. 2022, 8, 192–199. [Google Scholar] [CrossRef]
- Oldoni, T.L.C.; Merlin, N.; Bicas, T.C.; Prasniewski, A.; Carpes, S.T.; Ascari, J.; de Alencar, S.M.; Massarioli, A.P.; Bagatini, M.D.; Morales, R. Antihyperglycemic activity of crude extract and isolation of phenolic compounds with antioxidant activity from Moringa oleifera Lam. leaves grown in Southern Brazil. Food Res. Int. 2021, 141, 110082. [Google Scholar] [CrossRef]
- Segwatibe, M.K.; Cosa, S.; Bassey, K. Antioxidant and Antimicrobial Evaluations of Moringa oleifera Lam Leaves Extract and Isolated Compounds. Molecules 2023, 28, 899. [Google Scholar] [CrossRef]
- Hamed, Y.S.; Abdin, M.; Rayan, A.M.; Akhtar, H.M.S.; Zeng, X. Synergistic inhibition of isolated flavonoids from Moringa oleifera leaf on α-glucosidase activity. Lwt 2021, 141, 111081. [Google Scholar] [CrossRef]
- Misra, A.; Srivastava, S.; Srivastava, M. Evaluation of anti diarrheal potential of Moringa oleifera (Lam.) leaves. J. Pharmacogn. Phytochem. 2014, 2, 43–46. [Google Scholar]
- Pari, L.; Kumar, N.A. Hepatoprotective activity of Moringa oleifera on antitubercular drug-induced liver damage in rats. J. Med. Food 2002, 5, 171–177. [Google Scholar] [CrossRef]
- Pappas, I.S.; Siomou, S.; Bozinou, E.; Lalas, S.I. Moringa oleifera leaves crude aqueous extract down-regulates of BRCA1, mta-1 and oncogenes c-myc and p53 in AsPC-1, MCF-7 and HTC-116 cells. Food Biosci. 2021, 43, 101221. [Google Scholar] [CrossRef]
- Ibrahim, M.A.; Mohamed, S.R.; Dkhil, M.A.; Thagfan, F.A.; Abdel-Gaber, R.; Soliman, D. The effect of Moringa oleifera leaf extracts against urethane-induced lung cancer in rat model. Environ. Sci. Pollut. Res. 2023, 30, 37280–37294. [Google Scholar] [CrossRef] [PubMed]
- Panchaware, P.S.; Shekokar, S.S.; Pachpor, A.G. Study of cytotoxic effects of CO2 extract of shigru (Moringa oleifera lam.) Root, in MCF-7 cell line of breast cancer. World J. Biol. Pharm. Health Sci. 2023, 15, 128–137. [Google Scholar] [CrossRef]
- Krishnamurthy, P.T.; Vardarajalu, A.; Wadhwani, A.; Patel, V. Identification and characterization of a potent anticancer fraction from the leaf extracts of Moringa oleifera L. Indian J. Exp. Biol. 2015, 53, 98–103. [Google Scholar]
- Tragulpakseerojn, J.; Yamaguchi, N.; Pamonsinlapatham, P.; Wetwitayaklung, P.; Yoneyama, T.; Ishikawa, N.; Ishibashi, M.; Apirakaramwong, A. Anti-proliferative effect of Moringa oleifera Lam (Moringaceae) leaf extract on human colon cancer HCT116 cell line. Trop. J. Pharm. Res. 2017, 16, 371–378. [Google Scholar] [CrossRef]
- Mohd Fisall, U.F.; Ismail, N.Z.; Adebayo, I.A.; Arsad, H. Dichloromethane fraction of Moringa oleifera leaf methanolic extract selectively inhibits breast cancer cells (MCF7) by induction of apoptosis via upregulation of Bax, p53 and caspase 8 expressions. Mol. Biol. Rep. 2021, 48, 4465–4475. [Google Scholar] [CrossRef] [PubMed]
- Wisitpongpun, P.; Suphrom, N.; Potup, P.; Nuengchamnong, N.; Calder, P.C.; Usuwanthim, K. In vitro bioassay-guided identification of anticancer properties from Moringa oleifera Lam. leaf against the MDA-MB-231 cell line. Pharmaceuticals 2020, 13, 464. [Google Scholar] [CrossRef]
- Kumar, S.; Verma, P.K.; Shukla, A.; Singh, R.K.; Patel, A.K.; Yadav, L.; Kumar, S.; Kumar, N.; Acharya, A. Moringa oleifera L. leaf extract induces cell cycle arrest and mitochondrial apoptosis in Dalton’s Lymphoma: An in vitro and in vivo study. J. Ethnopharmacol. 2023, 302, 115849. [Google Scholar] [CrossRef] [PubMed]
- Rahman, M.M.; Sheikh, M.M.I.; Sharmin, S.A.; Islam, M.S.; Rahman, M.A.; Rahman, M.M.; Alam, M. Antibacterial activity of leaf juice and extracts of Moringa oleifera Lam. against some human pathogenic bacteria. CMU J. Nat. Sci. 2009, 8, 219. [Google Scholar]
- Angestia, W.; Ningrum, V.; Lee, T.L.; Lee, S.-C.; Bakar, A. Antibacterial activities of moringa olifiera freeze dried extract on staphylococcus aureus. J. Dentomaxillofacial Sci. 2020, 5, 154–157. [Google Scholar] [CrossRef]
- Arévalo-Híjar, L.; Aguilar-Luis, M.A.; Caballero-García, S.; Gonzáles-Soto, N.; Valle-Mendoza, D. Antibacterial and cytotoxic effects of Moringa oleifera (Moringa) and Azadirachta indica (Neem) methanolic extracts against strains of Enterococcus faecalis. Int. J. Dent. 2018, 2018, 1071676. [Google Scholar] [CrossRef]
- Elgamily, H.; Moussa, A.; Elboraey, A.; Hoda, E.-S.; Al-Moghazy, M.; Abdalla, A. Microbiological assessment of Moringa oleifera extracts and its incorporation in novel dental remedies against some oral pathogens. Open Access Maced. J. Med. Sci. 2016, 4, 585. [Google Scholar] [CrossRef]
- Zaffer, M.; Ahmad, S.; Sharma, R.; Mahajan, S.; Gupta, A.; Agnihotri, R.K. Antibacterial activity of bark extracts of Moringa oleifera Lam. against some selected bacteria. Pak. J. Pharm. Sci. 2014, 27, 1857–1862. [Google Scholar] [PubMed]
- Amanze, E.K.; Nwankpa, U.D.; Udekwu, C.E.; Ogbonna, H.N.; Nwokafor, C.V.; Udensi, C.G. Antibacterial activity of Moringa oleifera root bark extract against some pathogenic organisms. Asian J. Immunol. 2020, 4, 21–27. [Google Scholar]
- Ichsan, M.; Soraya, C.; Mubarak, Z.; Nur, S.; Gani, B.A. The Potency of Moringa oleifera on the Biofilm Formation, Adhesion, and Growth of Streptococcus Mutants Based on Incubation Times. J. Int. Dent. Med. Res. 2023, 16, 943–949. [Google Scholar]
- Marrufo, T.; Encarnação, S.; Silva, O.M.D.; Duarte, A.; Neto, F.F.; Barbosa, F.M.; Agostinho, A.B. Chemical characterization and determination of antioxidant and antimicrobial activities of the leaves of Moringa oleifera. Int. Netw. Environ. Manag. Confl. 2013, 2, 1–15. [Google Scholar]
- Gulzar, R.A.; Ajitha, H.S. Comparative evaluation of antimicrobial efficacy of Moringa oleifera extract and calcium hydroxide against E. faecalis. Int. J. Dent. Oral. Sci. 2021, 8, 2605–2609. [Google Scholar] [CrossRef]
- Jwa, S.-K. Efficacy of Moringa oleifera leaf extracts against cariogenic biofilm. Prev. Nutr. Food Sci. 2019, 24, 308. [Google Scholar] [CrossRef] [PubMed]
- Soraya, C.; Syafriza, D.; Gani, B.A. Antibacterial effect of Moringa oleifera gel to prevent the growth, biofilm formation, and cytotoxicity of Streptococcus mutans. J. Int. Dent. Med. Res. 2022, 15, 1053–1061. [Google Scholar]
- Amalunweze, A.; Ezumezu, C. Production of herbal toothpaste using Moringa root essential oil extract. Int. J. Adv. Biochem. Res. 2022, 6, 49–51. [Google Scholar]
- Alharbi, A.M.; Alharbi, T.M.; Alqahtani, M.S.; Elfasakhany, F.M.; Afifi, I.K.; Rajeh, M.T.; Fattouh, M.; Kenawi, L.M.M. A Comparative Evaluation of Antibacterial Efficacy of Moringa oleifera Leaf Extract, Octenidine Dihydrochloride, and Sodium Hypochlorite as Intracanal Irrigants against Enterococcus faecalis: An In Vitro Study. Int. J. Dent. 2023, 2023, 7690497. [Google Scholar] [CrossRef]
- Rochyani, L. The inhibition of leaf extract Moringaoleifera on the formation biofilm bacteria Enterococcus faecalis. DENTA 2020, 14, 44–50. [Google Scholar] [CrossRef]
- Kumar, G.K.; Ramamurthy, S.; Ulaganathan, A.; Varghese, S.; Praveen, A.A.; Saranya, V. Moringa oleifera Mouthwash Reinforced with Silver Nanoparticles–Preparation, Characterization and its Efficacy Against Oral Aerobic Microorganisms–In Vitro Study. Biomed. Pharmacol. J. 2022, 15, 2051–2059. [Google Scholar] [CrossRef]
- Rieuwpassa, I.E.; Ramadany, S.; Achmad, H.; Sitanaya, R.; Lesmana, H.; Djais, A.I.; Sesioria, A.; Inayah, N.H.; Mutmainnah, N. The Effectiveness of Moringa Leaf Extract (Moringa oleifera) Against Porphyromonas gingivalis Bacteria in Periodontitis Cases Through IL-1 Cytokine Analysis. J. Int. Dent. Med. Res. 2022, 15, 611–617. [Google Scholar]















| Part of Plant | Usage | References |
|---|---|---|
| Seed | Skincare, haircare, fertilizer, cure for eye disease, fever, snake bite, headache, bladder, ulcer, gastritis, gout, stimulant, antispasmodic, stomachache, anemia, joint pain, hypertension, water purification. | [2,3,4] |
| Leaf | Wound healing, snake bites, stimulation, breast milk production, diarrhea, animal feed, constipation, bronchitis, glandular swelling, rheumatism, influenza, food, malaria, arthritis. | [2,3,4,5,6] |
| Root | Anticoagulation, wound healing, laxative, diuretic, toothache, cold, sores, asthma, bronchitis, epilepsy, urinary discharge, laxative, antiparalytic, cardiac tonic. | [3,4,5] |
| Pod (Fruit) | Diabetic, antipyretic, asthma, spleen, skin tumor, joint pain. | [4,5] |
| Flower | Stimulant, tonic, cholagogue, cold, inflammation, muscle disease, tumor, cholera. | [4,5] |
| Bark (Stem) | Heart compilation, fever, eye disease, digestive disorder, animal feed, headache, hypoglycemia, toothache. | [4,5,6] |
| M. oleifera | Microorganism | Inhibition Zone (mm) | MIC (mg/mL) | MBC (mg/mL) | References |
|---|---|---|---|---|---|
| (A) Gram Negative Bacteria | |||||
| Stem methanol extract | Vibrio cholerae Vibrio mimicus | - - | 2.50 1.25 | - - | [72] |
| Leaves ethanol extract | V. cholerae V. mimicus | - - | 0.08 5 | - - | [72] |
| Pods ethanol extract | V. cholerae V. mimicus | - - | 0.31 2.5 | - - | [72] |
| Flower chloroform extract | V. cholerae V. mimicus | - - | 0.63 1.25 | - - | [72] |
| Ethanol extract | Proteus mirabilis Fusarium sp. | - 12 | 3.75 μg/mL - | - - | [55] |
| Methanol extract | Burkholderia cepacian Yersinia enterocolitica | 19 19 | - - | - - | [55] |
| Aqueous extract | Proteus vulgaris | 15 | - | - | [55] |
| Escherichia coli | 15 | - | - | ||
| Yersinia enterocolitica | 15 | - | - | ||
| Serratia rubidaea | 15 | - | - | ||
| Salmonella pollum | 15 | - | - | ||
| Pullarum sp. | 5 | - | - | ||
| P. mirabilis | - | 3.75 μg/mL | - | ||
| Root powder extract | E. coli | - | 87% | - | [73] |
| Nanoparticles loaded to extract | Aspergillus niger | 55 | - | - | [74] |
| Ethanol extract | Aeromonas cavie Vibrio parahaelomyticus | 23.8 21.9 | - - | - - | [75] |
| Aqueous extract | Aeromonas cavie V. parahaelomyticus | 22.3 20.7 | - - | - - | [75] |
| Methanol pod extract | P. aeruginosa | 22 | - | - | [76] |
| Acetone extract | E. coli Enterobacter cloacae P. vulgaris | - - - | 5 5 5 | 5 5 5 | [77] |
| Leaf ethanol extract | E. coli | 18.3 | - | - | [78] |
| Leaf methanol extract | E. coli | 19 | - | - | [78] |
| Leaf aqueous extract | E. coli | 14 | - | - | [78] |
| Aqueous extract Ethanol extract | E. coli | 18.25 27.75 | 25 390 μg/mL | - - | [79] |
| Aqueous extract Ethanol extract | Klebsiella pneumoniae | 21.75 28.5 | 50 780 μg/mL | - - | [79] |
| Aqueous extract Ethanol extract | Citrobacter sp. | 20.65 19.5 | 50 390 μg/mL | - - | [79] |
| Aqueous extract Ethanol extract | P. vulgaris | 14.75 24.75 | 25 780 μg/mL | - - | [79] |
| Aqueous extract Ethanol extract | P. aeruginosa | 17.5 22.25 | 25 780 μg/mL | - - | [79] |
| Aqueous extract Methanol extract | Staphylococcus aureus | 20 24 | - - | - - | [79] |
| Aqueous extract Methanol extract | E. coli | 18 16 | - - | - - | [80] |
| Methanol extract | Klebsiella spp. | 25 | - | - | [81] |
| Ethanol extract | Enterococcus faecalis | 27.5 | 10% (w/v) | - | [82] |
| Ethanol extract | Salmonella typhi | 8 | 8 | 8.5 | [83] |
| Chloroform extract | Shigella dysenteriae | - | 1500 μg/mL | 2000 μg/mL | [31] |
| Ethanol seed extract | E. coli Shigella flexneri | 16 15 | 100 100 | - - | [25] |
| (B) Gram Positive Bacteria | |||||
| Methanol extract | Aspergillus flavus | 12 | - | - | [55] |
| Nanoparticles loaded to extract | A. flavus | 55 | - | - | [74] |
| Ethanol extract | S. aureus Enterococcus aureus | 23.3 19.4 | - - | - - | [75] |
| Aqueous extract | S. aureus E. aureus | 25.4 17.8 | - - | - - | [75] |
| Acetone extract | S. aureus Micrococcus kristinae | - - | 5 0.5 | 5 1 | [77] |
| Leaf ethanol extract | Bacillus subtilis S. aureus | 19 21.3 | - - | - - | [78] |
| Leaf methanol extract | B. subtilis S. aureus | 22 23.6 | - - | - - | [78] |
| Leaf aqueous extract | B. subtilis S. aureus | 12 18 | - - | - - | [78] |
| Aqueous extract Ethanol extract | Corynebacterium pseudotuberculosis | 22.5 25.65 | 25 390 μg/mL | - - | [79] |
| Aqueous extract Ethanol extract | Corynebacterium ulcerans | 25.5 30.5 | 25 390 μg/mL | - - | [79] |
| Aqueous extract Ethanol extract | S. aureus | 14.75 26.75 | 50 390 μg/mL | - - | [79] |
| Aqueous extract Methanol extract | B. subtilis | 23 23 | - - | - - | [80] |
| Ethanol extract | Staphylococcus epidermidis | 12 | - | - | [80] |
| Ethanol extract | S. aureus | 19.5 | 10% (w/v) | [82] | |
| (C) Fungi | |||||
| Aqueous extract | Candica albicans | 5 | - | - | [55] |
| Ethanol extract | C. albicans | - | 718.33 μg/mL | - | [74] |
| Nanoparticles loaded to extract | C.albicans | 75 | - | - | [74] |
| Methanol pod extract | Colletotrichum sp. | 14 | - | - | [76] |
| Ethanol extract Aqueous extract | C.albicans | 1.87 cm 1.87 cm | - - | - - | [63] |
| Ethyl acetate extract | Microsporum gypseum Rhizopus stolonifer | 9.67 8.67 | 1.56 6.25 | - - | [26] |
| Methanol extract | R. stolonifer | 9.66 | 1.56 | - | [26] |
| M. oleifera | Viral | IC50 (μg/mL) | CC50 (μg/mL) | EC50 (μg/mL) | References |
|---|---|---|---|---|---|
| Leaf extract | SARS-CoV-2 “NRC-03-nhCoV” | 52.79 | 111.54 | - | [27] |
| Crude ethanol extract | SARS-CoV-2 | 12.29 | 7277 | - | [28] |
| Seed extract | IAVs | - | - | 1.27 | [29] |
| Seed extract | H1N1 | 0.26 | - | - | [84] |
| Aqueous extract | HSV-1 HSV-2 | 43.2% 21.4% | - - | - - | [30] |
| Leaf ethanol extract | H9 | - | 100 | - | [33] |
| Methanol extract | HSV-1F VU-09 | - - | 724.5 - | 74.8 79.6 | [34] |
| Aqueous leaf extract | AqMOL ACV | - - | 697.8 >30 | 721.8 0.48 | [35] |
| M. oleifera | Bio-Assay | IC50 | EC50 (mg/mL) | References |
|---|---|---|---|---|
| Roots extract Leaf extract Stem bark extract | Xanthine oxidase | 16 μL 30 μL 38 μL | - - - | [44] |
| Roots extract Leaf extract Stem bark extract | 2-deoxyguanosine | 40 μL 58 μL 72 μL | - - - | [44] |
| n-Butanol extract Ethyl acetate extract Petroleum ether extract Aqueous extract | DPPH | 92.62% 90.27% - - | 0.07 0.08 0.35 0.44 | [45] |
| n-Butanol extract Ethyl acetate extract Crude extract | ABTS | 99.46% 97.49% 77.82% | 0.01 0.04 - | [45] |
| Petroleum ether extract Aqueous extract | ABTS | - - | 0.18 0.29 | [45] |
| n-Butanol extract Ethyl acetate extract | Hydroxy radical-scavenging | 94.46% 80.68% | - - | [45] |
| Leaf extract | DPPH | 1.87 mg/mL | - | [46] |
| Leaf extract | FRAP | 0.99 mM Fe2+/g | - | [46] |
| Root extract | ABTS | 1.24 mg/mL | - | [46] |
| Ethyl acetate extract Acetone extract | DPPH | 526.7 μMol 435.7 μMol | - - | [87] |
| Ethanol extract | DPPH | 0.44 mg/mL | - | [88] |
| Ethanol extract | Hydroxy peroxide free radical scavenging | 0.54 mg/mL | - | [88] |
| Ethanol extract | FRAP | 0.25 mg/mL | - | [88] |
| Ethyl acetate extract | DPPH | 71.9 μg/mL | - | [89] |
| Ethyl acetate extract | ABTS | 54.79 μg/mL | - | [89] |
| M. oleifera | Bio-Assay | IC50 (μg/mL) | Other Values | References |
|---|---|---|---|---|
| Seed essential oil | HeLa HepG2 MCF-7 CACO-2 L929 | 442.8 751.9 226.1 1000 1000 | 23.9% 34.93% 40.48% 50.28% 42.99% | [67,68] |
| Aqueous extract | HeLa | 70 | 70 μg/mL | [67,68] |
| Aqueous extract | A375 | - | 36.40% | [69] |
| Aqueous extract | Bcl-2 | - | 0.68 to 0.53-fold | [69] |
| Aqueous extract | Bax | - - | 2.62-fold increase at the m-RNA level; 1.85-fold increase at the protein level | [69] |
| Aqueous extract | MOE activation of Caspase-3/7 | - | Increase 1.75-fold | [69] |
| Aqueous extract | MOE activation of Caspase-9 | - | Increase 1.42-fold | [69] |
| Aqueous extract | MCF-7 HTC116 AsPC-1 | 100 125 240 | - - - | [92] |
| Leaf extract | Urethane-induced lung cancer in rats | - | Induced in glutathione 3.8 mg/g, superoxide dismutase 900.6 U/g, and malondialdehyde 172 nmol/g | [93] |
| Leaf extract | Urethane-induced lung cancer in rats | - | Increase 50% EGFR-mRNA, 10.8% improvements of mucin level and the presence of PCNA-positive cells in lung | [93] |
| CO2 root extract | MCF-7 | - | Spanning 100 to 500 μg/mL | [94] |
| n-Hexane extract Chloroform extract Ethyl acetate extract Methanol extract | Hep-2 | 180.6 190.2 40.2 170.1 | - - - - | [95] |
| Crude extract | HCT116 | 9.5 (24 h) 5.04 (48 h) | - | [96] |
| Crude extract | CYP3A4 | 52.50 | - | [54] |
| Chloroform extract | MCF-7 | 6.25 | ||
| Dicholoromethane extract | MCF-7 | 5 | 1.87-fold increase in p53 expression, 1.47-fold increase in Bax expression 1.05-fold increase in cytochrome C levels, 2.21-fold increase in caspase 8 expression | [97] |
| Ethyl acetate extract | MDA-MB-231 | 233.5 | Increase 44.2% of late apoptotic cells; increased level of cleaved caspase 3 protein, Bax mRNA, and p53 mRNA; decreased anti-apoptotic Bcl-2 protein | [98] |
| M. oleifera | Microorganism | Inhibition Zone (mm) | MIC (μg/mL) | MBC | References |
|---|---|---|---|---|---|
| Ethanol extract | P. aeruginosa | 21.21 | 458 | - | [100] |
| Ethanol extract | S. aureus | 20.55 | >1 | - | [101] |
| Aqueous extract | S. aureus | 12 | 58.75 mg/mL | - | [100] |
| Methanol extract | E. faecalis | 44.83 | - | - | [102] |
| Leaves ethanolic extract | S. aureus | 19.25 | - | - | [103] |
| S. mutans | 13 | ||||
| Roots ethanolic extract | S. aureus | 9.25 | - | - | [103] |
| S. mutans | 10.50 | ||||
| Seed ethanolic extract | S. aureus | 3.25 | - | - | [103] |
| S. mutans | 4.75 | ||||
| Bark ethyl acetate extract | S. aureus | 16.33 | - | - | [104] |
| Root bark methanolic extract | S. aureus | 19 | 12.5 mg/mL | - | [105] |
| Leaf extract | S. mutans biofilm | 0.20/(OD 520 nm) | - | - | [106] |
| Diethyl ether, n-Hexane, and Ethyl acetate extract | S. aureus | - | 15.6 | - | [107] |
| Diethyl ether extract | E. faecalis | - | 15.6 | - | [107] |
| extract | S. aureus | - | 15.6 | - | [107] |
| Leaf extract | E. faecalis | 11.89 (at 100 μg/mL) | - | - | [108] |
| Leaf extract | E. faecalis | 35.5 (at 24 h) 48.83 (at 48 h) | 75 | - | [102] |
Disclaimer/Publisher’s Note: The statements, opinions and data contained in all publications are solely those of the individual author(s) and contributor(s) and not of MDPI and/or the editor(s). MDPI and/or the editor(s) disclaim responsibility for any injury to people or property resulting from any ideas, methods, instructions or products referred to in the content. |
© 2024 by the authors. Licensee MDPI, Basel, Switzerland. This article is an open access article distributed under the terms and conditions of the Creative Commons Attribution (CC BY) license (https://creativecommons.org/licenses/by/4.0/).
Share and Cite
Amin, M.F.; Ariwibowo, T.; Putri, S.A.; Kurnia, D. Moringa oleifera: A Review of the Pharmacology, Chemical Constituents, and Application for Dental Health. Pharmaceuticals 2024, 17, 142. https://doi.org/10.3390/ph17010142
Amin MF, Ariwibowo T, Putri SA, Kurnia D. Moringa oleifera: A Review of the Pharmacology, Chemical Constituents, and Application for Dental Health. Pharmaceuticals. 2024; 17(1):142. https://doi.org/10.3390/ph17010142
Chicago/Turabian StyleAmin, Meiny Faudah, Taufiq Ariwibowo, Salsabila Aqila Putri, and Dikdik Kurnia. 2024. "Moringa oleifera: A Review of the Pharmacology, Chemical Constituents, and Application for Dental Health" Pharmaceuticals 17, no. 1: 142. https://doi.org/10.3390/ph17010142
APA StyleAmin, M. F., Ariwibowo, T., Putri, S. A., & Kurnia, D. (2024). Moringa oleifera: A Review of the Pharmacology, Chemical Constituents, and Application for Dental Health. Pharmaceuticals, 17(1), 142. https://doi.org/10.3390/ph17010142

