Pharmacogenomic Analysis of Combined Therapies against Glioblastoma Based on Cell Markers from Single-Cell Sequencing
Abstract
:1. Introduction
2. Results
2.1. Single-Cell Sequencing Analysis
2.2. Pyroptosis-Related Gene Analysis
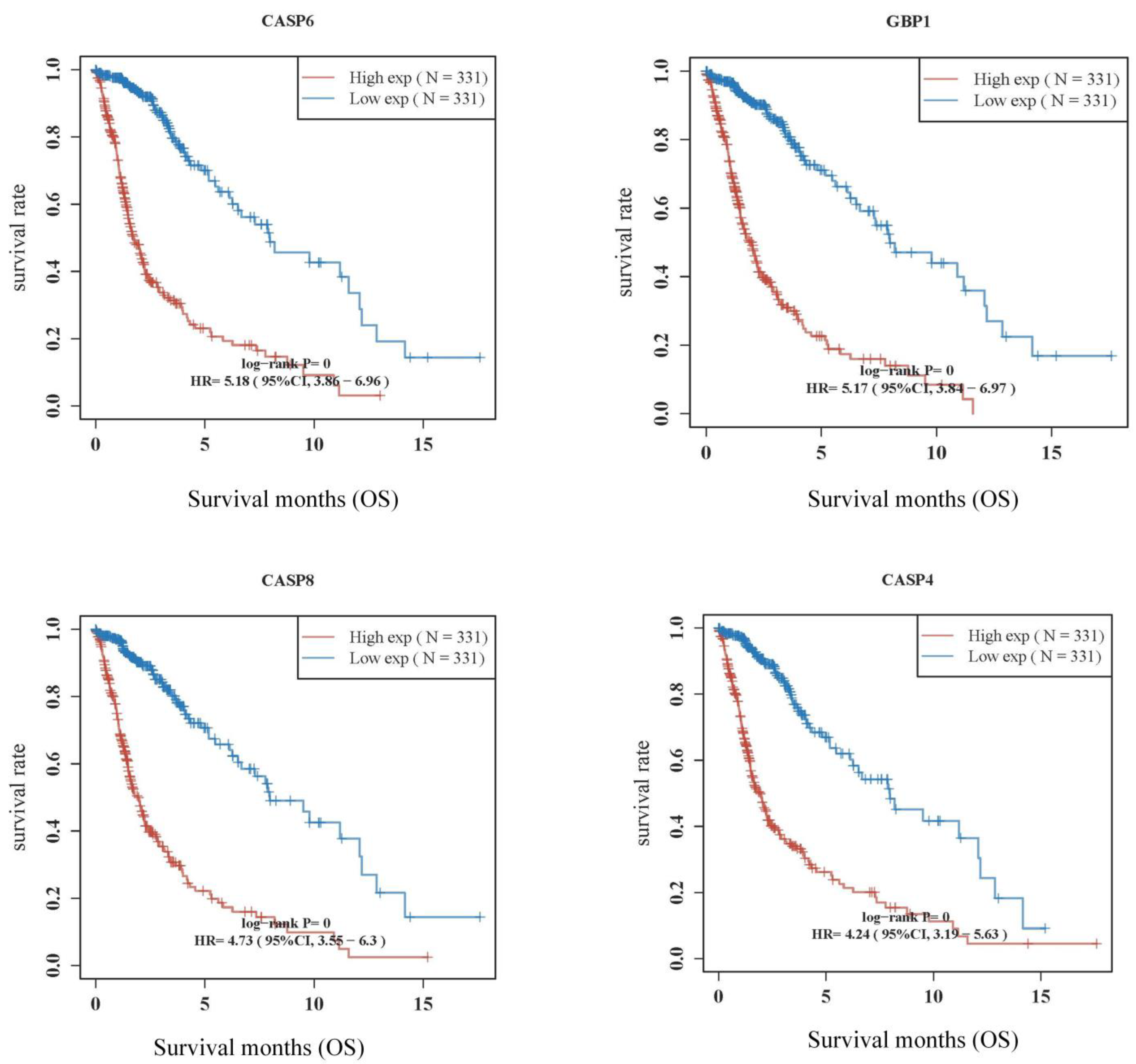
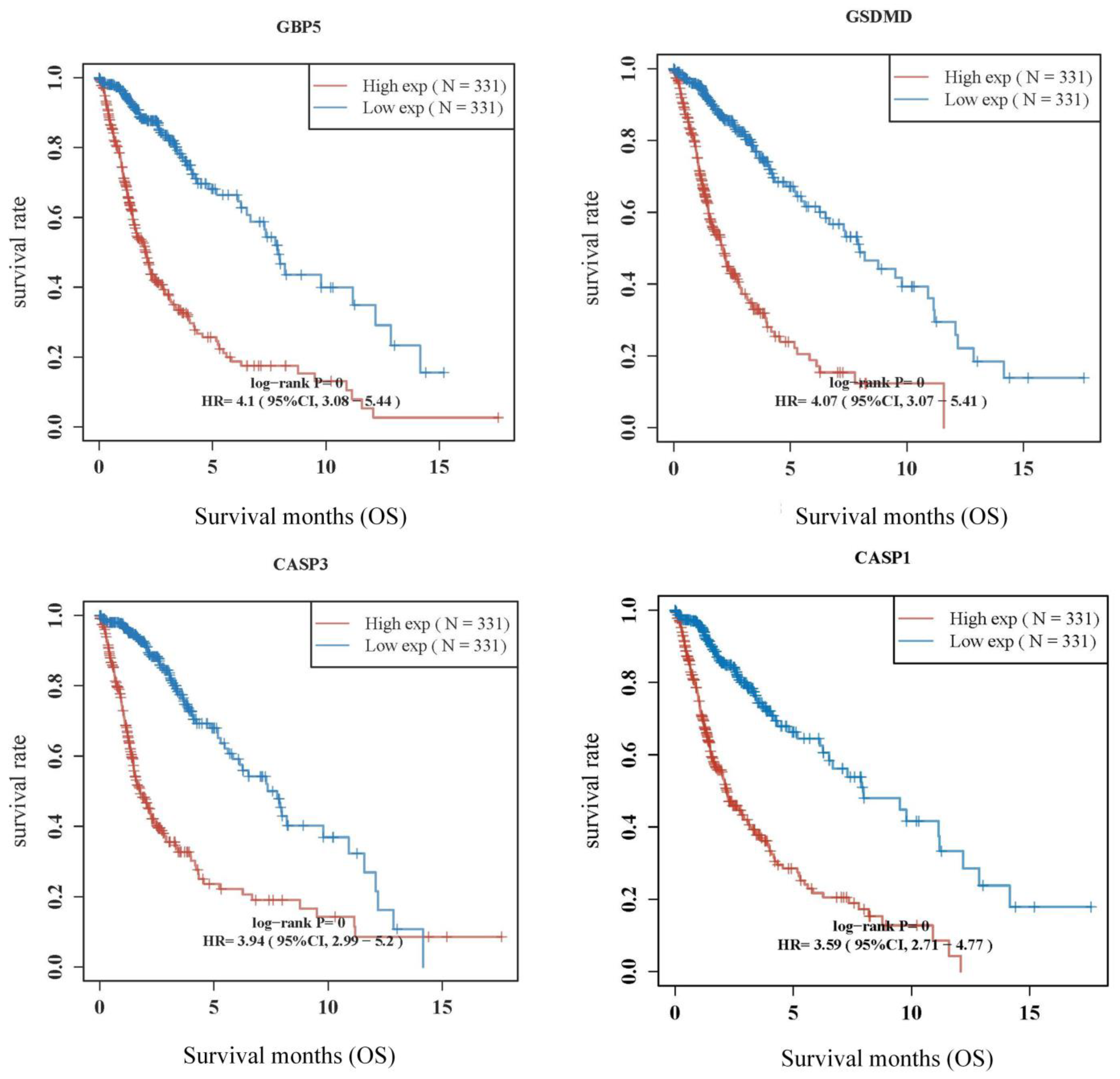
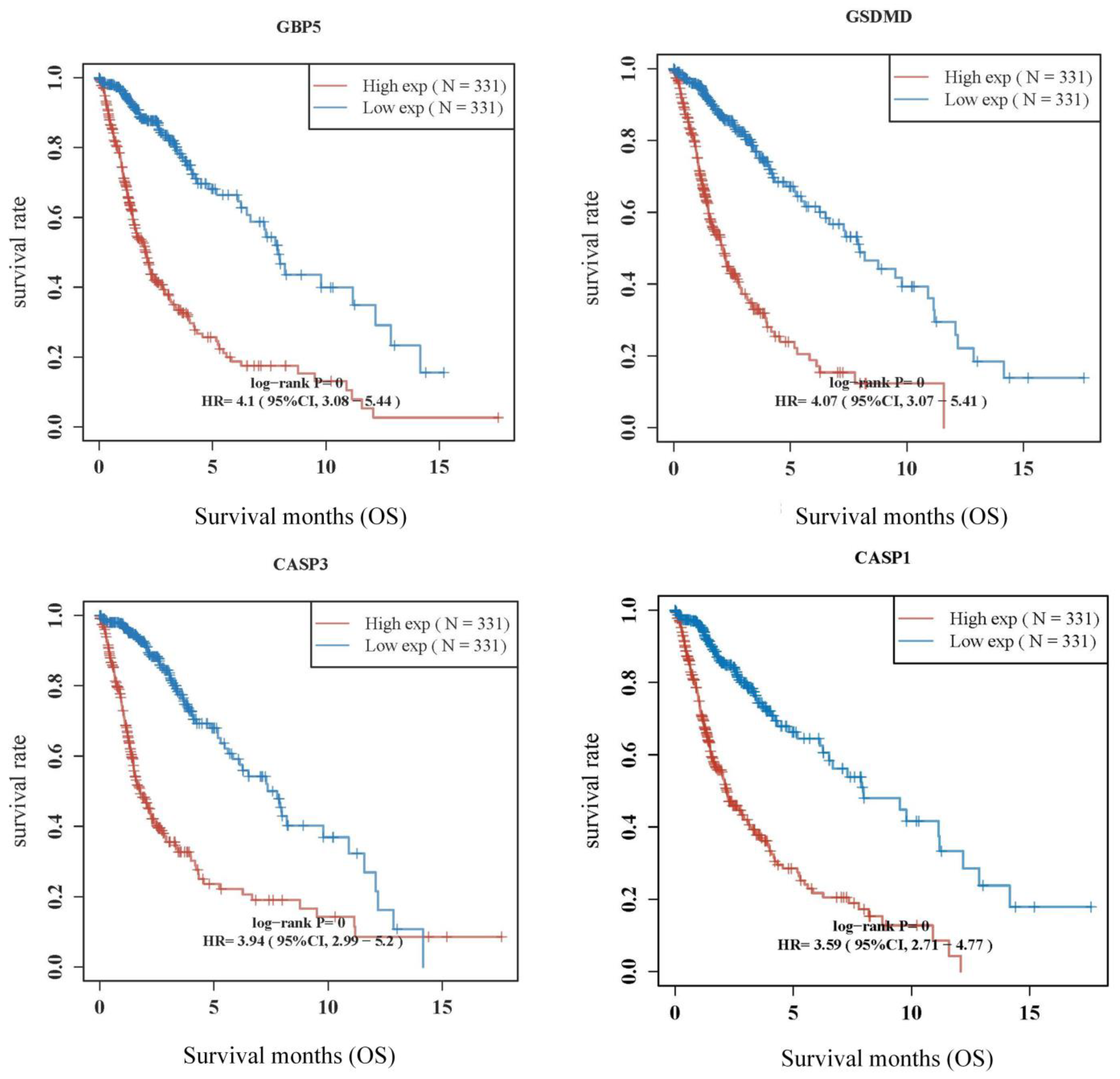
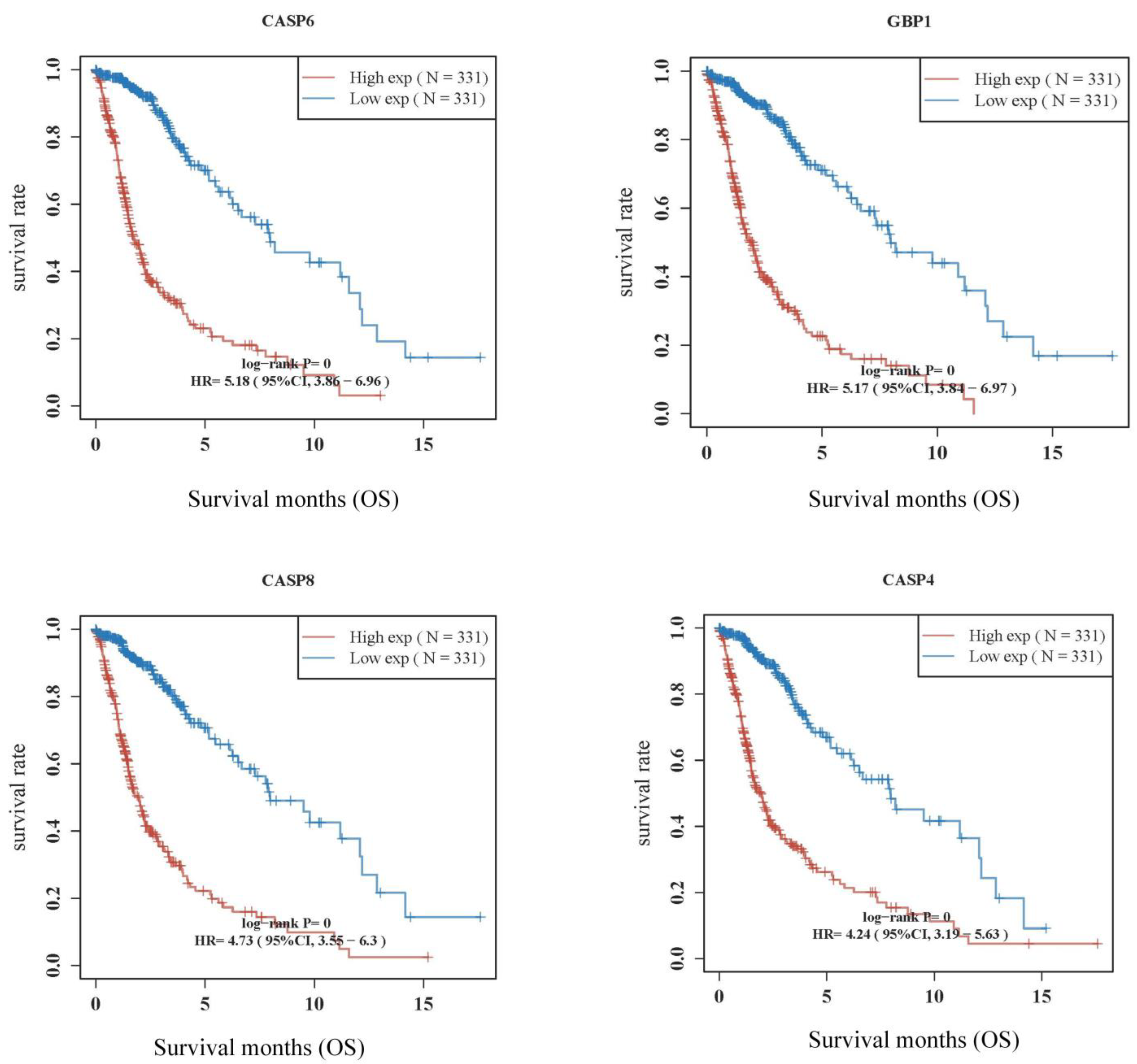
2.3. The Prognostic Value of Pyroptosis-Related Genes
Riskscore = (0.4066) × CASP6 + (0.0316) × GBP1 + (0.7417) × CASP4 + (0.1422) × GBP5 + (0.1563) × GSDMD + (0.2342) × CASP3 + (−0.1911) × CASP1
2.4. The Abundance of Immune Cells and TMB in GBM
2.5. Drug Prediction, Drug Sensitivity, and Drug Validation
3. Discussion
4. Materials and Methods
4.1. Single-Cell Sequencing Analysis
4.2. Pyroptosis Gene Analysis
4.3. The Prognostic Value of Pyroptosis-Related Genes
4.4. The abundance of Immune Cells and Tumor Mutation Burden in GBM
4.5. Drug Prediction, Drug Sensitivity, and Drug Validation
5. Conclusions
Supplementary Materials
Author Contributions
Funding
Institutional Review Board Statement
Informed Consent Statement
Data Availability Statement
Conflicts of Interest
References
- Mutharasu, G.; Murugesan, A.; Konda Mani, S.; Yli-Harja, O.; Kandhavelu, M. Transcriptomic analysis of glioblastoma multiforme providing new insights into GPR17 signaling communication. J. Biomol. Struct. Dyn. 2022, 40, 2586–2599. [Google Scholar] [CrossRef]
- Wang, J.; Zuo, J.; Wahafu, A.; Wang, M.D.; Li, R.C.; Xie, W.F. Combined elevation of TRIB2 and MAP3K1 indicates poor prognosis and chemoresistance to temozolomide in glioblastoma. CNS Neurosci. Ther. 2020, 26, 297–308. [Google Scholar] [CrossRef]
- Lah, T.T.; Novak, M.; Pena Almidon, M.A.; Marinelli, O.; Zvar Baskovic, B.; Majc, B.; Mlinar, M.; Bosnjak, R.; Breznik, B.; Zomer, R.; et al. Cannabigerol Is a Potential Therapeutic Agent in a Novel Combined Therapy for Glioblastoma. Cells 2021, 10, 340. [Google Scholar] [CrossRef] [PubMed]
- Peng, H.; Zeng, X.; Zhou, Y.; Zhang, D.; Nussinov, R.; Cheng, F. A component overlapping attribute clustering (COAC) algorithm for single-cell RNA sequencing data analysis and potential pathobiological implications. PLoS Comput. Biol. 2019, 15, e1006772. [Google Scholar] [CrossRef]
- Zhong, R.; Zhang, Y.; Chen, D.; Cao, S.; Han, B.; Zhong, H. Single-cell RNA sequencing reveals cellular and molecular immune profile in a Pembrolizumab-responsive PD-L1-negative lung cancer patient. Cancer Immunol. Immunother 2021, 70, 2261–2274. [Google Scholar] [CrossRef] [PubMed]
- Vollmann-Zwerenz, A.; Leidgens, V.; Feliciello, G.; Klein, C.A.; Hau, P. Tumor Cell Invasion in Glioblastoma. Int. J. Mol. Sci. 2020, 21, 1932. [Google Scholar] [CrossRef]
- Ren, L.W.; Li, W.; Zheng, X.J.; Liu, J.Y.; Yang, Y.H.; Li, S.; Zhang, S.; Fu, W.Q.; Xiao, B.; Wang, J.H.; et al. Benzimidazoles induce concurrent apoptosis and pyroptosis of human glioblastoma cells via arresting cell cycle. Acta Pharmacol. Sin. 2021, 43, 194–208. [Google Scholar] [CrossRef] [PubMed]
- Moustakas, A.; Kreisl, T.N. New treatment options in the management of glioblastoma multiforme: A focus on bevacizumab. OncoTargets Ther. 2010, 3, 27–38. [Google Scholar]
- Hopkins, A.L. Network pharmacology: The next paradigm in drug discovery. Nat. Chem. Biol. 2008, 4, 682–690. [Google Scholar] [CrossRef]
- Qu, X.A.; Rajpal, D.K. Applications of Connectivity Map in drug discovery and development. Drug Discov Today 2012, 17, 1289–1298. [Google Scholar] [CrossRef]
- Li, Z.; Wang, H.; Wei, J.; Han, L.; Guo, Z. Indirubin exerts anticancer effects on human glioma cells by inducing apoptosis and autophagy. AMB Express 2020, 10, 171. [Google Scholar] [CrossRef] [PubMed]
- Zheng, C.; Wang, J.; Liu, J.; Pei, M.; Huang, C.; Wang, Y. System-level multi-target drug discovery from natural products with applications to cardiovascular diseases. Mol. Divers 2014, 18, 621–635. [Google Scholar] [CrossRef] [PubMed]
- Ramsay, R.R.; Popovic-Nikolic, M.R.; Nikolic, K.; Uliassi, E.; Bolognesi, M.L. A perspective on multi-target drug discovery and design for complex diseases. Clin. Transl. Med. 2018, 7, 3. [Google Scholar] [CrossRef]
- Velazquez Vega, J.E.; Brat, D.J.; Ryken, T.C.; Olson, J.J. The role of neuropathology in the management of newly diagnosed glioblastoma: A systematic review and evidence-based clinical practice guideline. J. Neurooncol. 2020, 150, 143–164. [Google Scholar] [CrossRef]
- Yang, L.; Bhat, A.M.; Qazi, S.; Raza, K. DLC1 as Druggable Target for Specific Subsets of Gastric Cancer: An RNA-seq-Based Study. Medicina 2023, 59, 514. [Google Scholar] [CrossRef]
- Heath, J.R.; Ribas, A.; Mischel, P.S. Single-cell analysis tools for drug discovery and development. Nat. Rev. Drug Discov. 2016, 15, 204–216. [Google Scholar] [CrossRef] [PubMed]
- Hsu, S.K.; Li, C.Y.; Lin, I.L.; Syue, W.J.; Chen, Y.F.; Cheng, K.C.; Teng, Y.N.; Lin, Y.H.; Yen, C.H.; Chiu, C.C. Inflammation-related pyroptosis, a novel programmed cell death pathway, and its crosstalk with immune therapy in cancer treatment. Theranostics 2021, 11, 8813–8835. [Google Scholar] [CrossRef]
- Wang, L.; Qin, X.; Liang, J.; Ge, P. Induction of Pyroptosis: A Promising Strategy for Cancer Treatment. Front. Oncol. 2021, 11, 635774. [Google Scholar] [CrossRef]
- Li, X.Y.; Zhang, L.Y.; Li, X.Y.; Yang, X.T.; Su, L.X. A Pyroptosis-Related Gene Signature for Predicting Survival in Glioblastoma. Front. Oncol. 2021, 11, 697198. [Google Scholar] [CrossRef]
- Noroxe, D.S.; Poulsen, H.S.; Lassen, U. Hallmarks of glioblastoma: A systematic review. ESMO Open 2016, 1, e000144. [Google Scholar] [CrossRef]
- Lai, Z.; Markovets, A.; Ahdesmaki, M.; Chapman, B.; Hofmann, O.; McEwen, R.; Johnson, J.; Dougherty, B.; Barrett, J.C.; Dry, J.R. VarDict: A novel and versatile variant caller for next-generation sequencing in cancer research. Nucleic. Acids Res. 2016, 44, e108. [Google Scholar] [CrossRef] [PubMed]
- Kim, S.K. (Ed.) Handbook of Anticancer Drugs from Marine Origin; Springer International Publishing: Cham, Switzerland, 2015. [Google Scholar]
- Yu, X.; Jin, J.; Zheng, Y.; Zhu, H.; Xu, H.; Ma, J.; Lan, Q.; Zhuang, Z.; Chen, C.C.; Li, M. GBP5 drives malignancy of glioblastoma via the Src/ERK1/2/MMP3 pathway. Cell Death Dis. 2021, 12, 203. [Google Scholar] [CrossRef]
- Trone, J.C.; Vallard, A.; Sotton, S.; Ben Mrad, M.; Jmour, O.; Magne, N.; Pommier, B.; Laporte, S.; Ollier, E. Survival after hypofractionation in glioblastoma: A systematic review and meta-analysis. Radiat. Oncol. 2020, 15, 145. [Google Scholar] [CrossRef] [PubMed]
- Zhang, L.; Zhao, Q.; Mao, L.; Li, H.; Zhuang, M.; Wang, J.; Liu, Y.; Qi, M.; Du, X.; Xia, Z.; et al. Bioinformatics Analyses Reveal the Prognostic Value and Biological Roles of SEPHS2 in Various Cancers. Int. J. Gen. Med. 2021, 14, 6059–6076. [Google Scholar] [CrossRef]
- Zhu, J.; Xiao, J.; Wang, M.; Hu, D. Pan-Cancer Molecular Characterization of m(6)A Regulators and Immunogenomic Perspective on the Tumor Microenvironment. Front. Oncol. 2020, 10, 618374. [Google Scholar] [CrossRef]
- Mathys, H.; Davila-Velderrain, J.; Peng, Z.; Gao, F.; Mohammadi, S.; Young, J.Z.; Menon, M.; He, L.; Abdurrob, F.; Jiang, X.; et al. Single-cell transcriptomic analysis of Alzheimer’s disease. Nature 2019, 570, 332–337. [Google Scholar] [CrossRef] [PubMed]
- Chen, S.; Ma, J.; Yang, L.; Teng, M.; Lai, Z.Q.; Chen, X.; He, J. Anti-glioblastoma Activity of Kaempferol via Programmed Cell Death Induction: Involvement of Autophagy and Pyroptosis. Front. Bioeng. Biotechnol. 2020, 8, 614419. [Google Scholar] [CrossRef]
- Nguyen, H.T.; Ketha, A.; Kukavica, B.; Tatipamula, V.B. Anti-Inflammatory Potential of Lichens and its Substances. MedDocs Ebooks 2021, 1–9. [Google Scholar]
- Sztiller-Sikorska, M.; Czyz, M. Parthenolide as Cooperating Agent for Anti-Cancer Treatment of Various Malignancies. Pharmaceuticals 2020, 13, 194. [Google Scholar] [CrossRef]
- Jafari, N.; Nazeri, S.; Enferadi, S.T. Parthenolide reduces metastasis by inhibition of vimentin expression and induces apoptosis by suppression elongation factor alpha-1 expression. Phytomedicine 2018, 41, 67–73. [Google Scholar] [CrossRef]
- Yang, X.; Kui, L.; Tang, M.; Li, D.; Wei, K.; Chen, W.; Miao, J.; Dong, Y. High-Throughput Transcriptome Profiling in Drug and Biomarker Discovery. Front. Genet. 2020, 11, 19. [Google Scholar] [CrossRef]
- Huang, X.F.; Zhang, J.L.; Huang, D.P.; Huang, A.S.; Huang, H.T.; Liu, Q.; Liu, X.H.; Liao, H.L. A network pharmacology strategy to investigate the anti-inflammatory mechanism of luteolin combined with in vitro transcriptomics and proteomics. Int. Immunopharmacol. 2020, 86, 106727. [Google Scholar] [CrossRef]
- Xie, Y.; He, L.; Lugano, R.; Zhang, Y.; Cao, H.; He, Q.; Chao, M.; Liu, B.; Cao, Q.; Wang, J.; et al. Key molecular alterations in endothelial cells in human glioblastoma uncovered through single-cell RNA sequencing. JCI Insight 2021, 6, e150861. [Google Scholar] [CrossRef]
- Peng, S.; Hebert, L.L.; Eschbacher, J.M.; Kim, S. Single-Cell RNA Sequencing of a Postmenopausal Normal Breast Tissue Identifies Multiple Cell Types That Contribute to Breast Cancer. Cancers 2020, 12, 3639. [Google Scholar] [CrossRef] [PubMed]
- Zhang, Y.; Song, J.; Zhao, Z.; Yang, M.; Chen, M.; Liu, C.; Ji, J.; Zhu, D. Single-cell transcriptome analysis reveals tumor immune microenvironment heterogenicity and granulocytes enrichment in colorectal cancer liver metastases. Cancer Lett. 2020, 470, 84–94. [Google Scholar] [CrossRef] [PubMed]
- Zhang, X.; Lan, Y.; Xu, J.; Quan, F.; Zhao, E.; Deng, C.; Luo, T.; Xu, L.; Liao, G.; Yan, M.; et al. CellMarker: A manually curated resource of cell markers in human and mouse. Nucleic. Acids Res. 2019, 47, D721–D728. [Google Scholar] [CrossRef] [PubMed]
- Nam, H.H.; Kim, J.S.; Lee, J.; Seo, Y.H.; Kim, H.S.; Ryu, S.M.; Choi, G.; Moon, B.C.; Lee, A.Y. Pharmacological Effects of Agastache rugosa against Gastritis Using a Network Pharmacology Approach. Biomolecules 2020, 10, 1298. [Google Scholar] [CrossRef]
- Bi, F.; Chen, Y.; Yang, Q. Significance of tumor mutation burden combined with immune infiltrates in the progression and prognosis of ovarian cancer. Cancer Cell Int. 2020, 20, 373. [Google Scholar] [CrossRef]
- Mayakonda, A.; Lin, D.C.; Assenov, Y.; Plass, C.; Koeffler, H.P. Maftools: Efficient and comprehensive analysis of somatic variants in cancer. Genome Res. 2018, 28, 1747–1756. [Google Scholar] [CrossRef] [PubMed]
- Lin, W.; Wu, S.; Chen, X.; Ye, Y.; Weng, Y.; Pan, Y.; Chen, Z.; Chen, L.; Qiu, X.; Qiu, S. Characterization of Hypoxia Signature to Evaluate the Tumor Immune Microenvironment and Predict Prognosis in Glioma Groups. Front. Oncol. 2020, 10, 796. [Google Scholar] [CrossRef]
- Li, Z.; Huang, B.; Yi, W.; Wang, F.; Wei, S.; Yan, H.; Qin, P.; Zou, D.; Wei, R.; Chen, N. Identification of Potential Early Diagnostic Biomarkers of Sepsis. J. Inflamm. Res. 2021, 14, 621–631. [Google Scholar] [CrossRef]
- Yuan, Q.; Sun, N.; Zheng, J.; Wang, Y.; Yan, X.; Mai, W.; Liao, Y.; Chen, X. Prognostic and Immunological Role of FUN14 Domain Containing 1 in Pan-Cancer: Friend or Foe? Front. Oncol. 2019, 9, 1502. [Google Scholar] [CrossRef]
- Jeong, S.H.; Kim, R.B.; Park, S.Y.; Park, J.; Jung, E.J.; Ju, Y.T.; Jeong, C.Y.; Park, M.; Ko, G.H.; Song, D.H.; et al. Nomogram for predicting gastric cancer recurrence using biomarker gene expression. Eur. J. Surg. Oncol. 2020, 46, 195–201. [Google Scholar] [CrossRef]
- Liu, J.; Chen, Z.; Zhao, P.; Li, W. Prognostic and immune regulating roles of YIF1B in Pan-Cancer: A potential target for both survival and therapy response evaluation. Biosci. Rep. 2020, 40, BSR20201384. [Google Scholar] [CrossRef] [PubMed]
- Thorsson, V.; Gibbs, D.L.; Brown, S.D.; Wolf, D.; Bortone, D.S.; Ou Yang, T.H.; Porta-Pardo, E.; Gao, G.F.; Plaisier, C.L.; Eddy, J.A.; et al. The Immune Landscape of Cancer. Immunity 2018, 48, 812–830e814. [Google Scholar] [CrossRef]
- Cui, X.; Zhang, X.; Liu, M.; Zhao, C.; Zhang, N.; Ren, Y.; Su, C.; Zhang, W.; Sun, X.; He, J.; et al. A pan-cancer analysis of the oncogenic role of staphylococcal nuclease domain-containing protein 1 (SND1) in human tumors. Genomics 2020, 112, 3958–3967. [Google Scholar] [CrossRef] [PubMed]
- Zhou, X.; Zhu, X.; Yao, J.; Wang, X.; Wang, N. Comprehensive analysis of clinical prognosis and molecular immune characterization of tropomyosin 4 in pancreatic cancer. Investig. New Drugs 2021, 39, 1469–1483. [Google Scholar] [CrossRef] [PubMed]
- Wen, Z.; Wang, Z.; Wang, S.; Ravula, R.; Yang, L.; Xu, J.; Wang, C.; Zuo, Z.; Chow, M.S.; Shi, L.; et al. Discovery of molecular mechanisms of traditional Chinese medicinal formula Si-Wu-Tang using gene expression microarray and connectivity map. PLoS ONE 2011, 6, e18278. [Google Scholar] [CrossRef]


















| No. | Name of Natural Products | Structures |
|---|---|---|
| 1 | Parthenolide (PubChem CID 7251185) (ADMET_BBB_Level: good) | ![]() |
| 2 | Rutin (PubChem CID 5280805) (ADMET_BBB_Level: low) | ![]() |
| 3 | Baeomycesic acid (PubChem CID 5321461) (ADMET_BBB_Level: low) | ![]() |
| 4 | Luteolin (PubChem CID 5280445) (ADMET_BBB_Level: low) | ![]() |
| 5 | Kaempferol (PubChem CID 5280863) (ADMET_BBB_Level: low) | ![]() |
Disclaimer/Publisher’s Note: The statements, opinions and data contained in all publications are solely those of the individual author(s) and contributor(s) and not of MDPI and/or the editor(s). MDPI and/or the editor(s) disclaim responsibility for any injury to people or property resulting from any ideas, methods, instructions or products referred to in the content. |
© 2023 by the authors. Licensee MDPI, Basel, Switzerland. This article is an open access article distributed under the terms and conditions of the Creative Commons Attribution (CC BY) license (https://creativecommons.org/licenses/by/4.0/).
Share and Cite
Liu, J.; Wu, R.; Yuan, S.; Kelleher, R.; Chen, S.; Chen, R.; Zhang, T.; Obaidi, I.; Sheridan, H. Pharmacogenomic Analysis of Combined Therapies against Glioblastoma Based on Cell Markers from Single-Cell Sequencing. Pharmaceuticals 2023, 16, 1533. https://doi.org/10.3390/ph16111533
Liu J, Wu R, Yuan S, Kelleher R, Chen S, Chen R, Zhang T, Obaidi I, Sheridan H. Pharmacogenomic Analysis of Combined Therapies against Glioblastoma Based on Cell Markers from Single-Cell Sequencing. Pharmaceuticals. 2023; 16(11):1533. https://doi.org/10.3390/ph16111533
Chicago/Turabian StyleLiu, Junying, Ruixin Wu, Shouli Yuan, Robbie Kelleher, Siying Chen, Rongfeng Chen, Tao Zhang, Ismael Obaidi, and Helen Sheridan. 2023. "Pharmacogenomic Analysis of Combined Therapies against Glioblastoma Based on Cell Markers from Single-Cell Sequencing" Pharmaceuticals 16, no. 11: 1533. https://doi.org/10.3390/ph16111533
APA StyleLiu, J., Wu, R., Yuan, S., Kelleher, R., Chen, S., Chen, R., Zhang, T., Obaidi, I., & Sheridan, H. (2023). Pharmacogenomic Analysis of Combined Therapies against Glioblastoma Based on Cell Markers from Single-Cell Sequencing. Pharmaceuticals, 16(11), 1533. https://doi.org/10.3390/ph16111533






