Generalized Split-Window Algorithm for Estimate of Land Surface Temperature from Chinese Geostationary FengYun Meteorological Satellite (FY-2C) Data
Abstract
:1. Introduction
2. Theory
2.1. Radiative transfer for split-window algorithm
2.2. Algorithm development for FY-2C
3. Results and Analysis
3.1. GSW algorithm coefficients
3.2. Estimation of LST
3.3. Determination of the LSEs
3.4. Determination of the atmospheric WVC
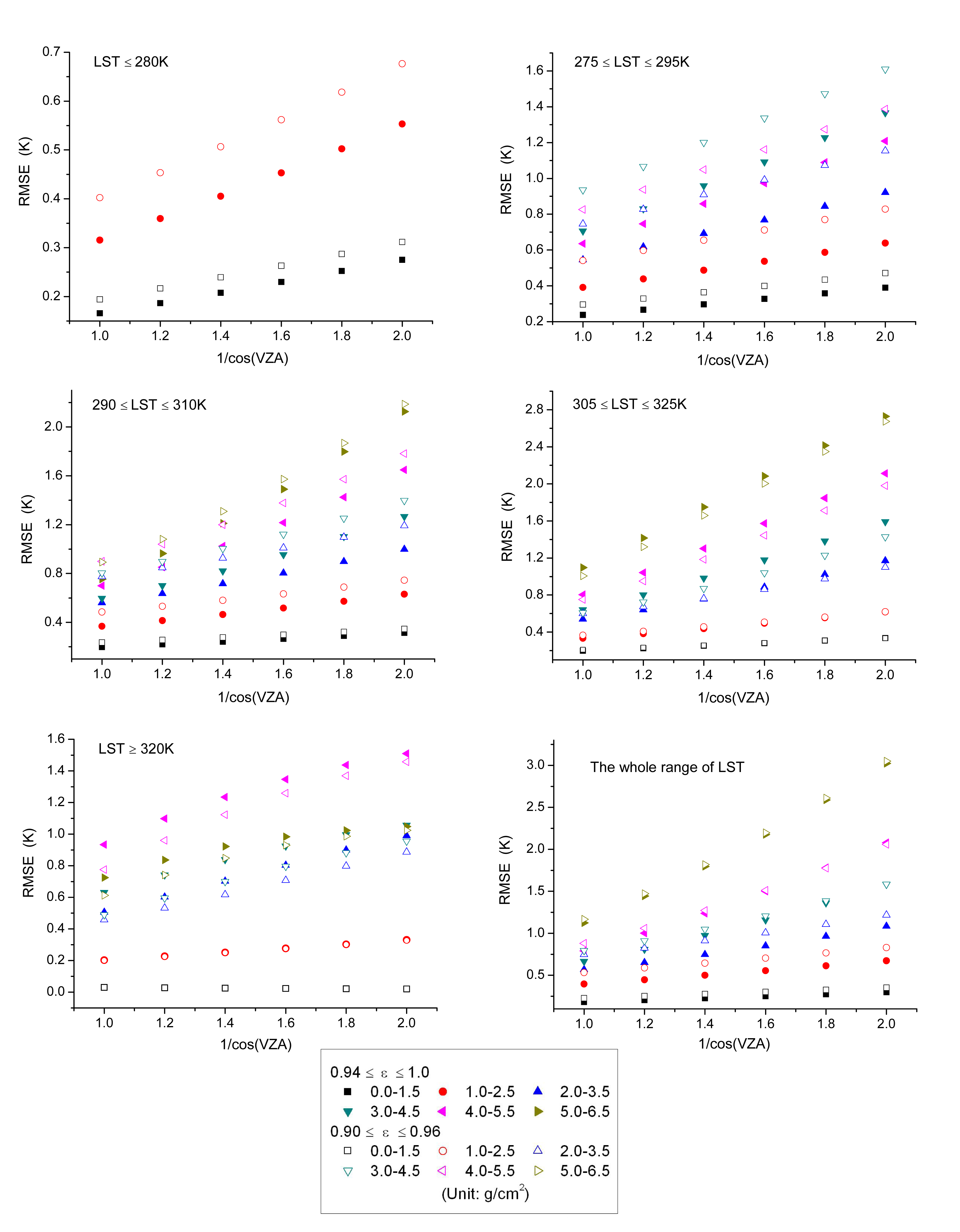
3.5. Sensitivity analysis
3.5.1 Sensitivity analysis to instrumental noises (NEAT)
3.5.2 Sensitivity analysis to LSEs
3.5.3 Sensitivity analysis to the atmospheric WVC
3.6. Intercomparison of different formulations of the split-window algorithms
4. Application to actual FY-2C satellite data
5. Conclusions
Acknowledgments
References and Notes
- Mannstein, H. Surface energy budget, surface temperature, and thermal inertia. In Remote Sensing Applications in Meteorology and Climatology; Vaughan, R.A., Reidel, D., Eds.; Dordrecht: Netherlands, 1987; NATO ASI Ser. C: Math. Phys Sci., vol. 201. [Google Scholar]
- Sellers, P.J.; Hall, F.G.; Asrar, G.; Strebel, D.E.; Murphy, R.E. The first ISLSCP Field Experiment (FIFE). Bullet of American Meteorology Society 1988, 69(1), 22–27. [Google Scholar]
- Serafini, V.V. Estimation of the evapotranspiration using surface and satellite data. International journal of remote sensing 1987, 8, 1547–1562. [Google Scholar]
- Bussieres, No.; Louie, P.Y.T.; Hogg, W. Progress report on the implementation of an algorithm to estimate regional evaportanspiration using satellite data. In Proceeding of the workshop on applications of remote sensing in hydrology, Saskaton Saskatchewan, 13-14 February, 1990.
- Price, J.C. The potential of Remotely Sensed Thermal Infrared data to Infer Surface Soil Moisture and Evaporation. Water Resources 1990, 16, 787–795. [Google Scholar]
- Schmugge, T.J.; André, J.C. Land Surface Evaporation: Measurements and Parameterization.; Springer-Verlag: New York, 1991. [Google Scholar]
- Running, S.W.; Justice, C.; Salomonson, V.; Hall, D.; Barker, J.; Kaufman, Y.; Strahler, A.; Huete, A.; Muller, J.-P.; Vanderbilt, V.; Wan, Z.; Teillet, P. Terrestrial remote sensing science and algorithms planned for EOS/MODIS. International journal of remote sensing 1994, 17, 3587–3620. [Google Scholar]
- Price, J.C. Land surface temperature measurements from the split window channels of the NOAA 7 AVHRR. Journal of Geophysical research 1984, D5, 7231–7237. [Google Scholar]
- Ottlé, C.; Vidal-Madjar, D. Estimation of land surface temperature with NOAA9 data. Remote Sensing of Environment 1992, 40(1), 27–41. [Google Scholar]
- Jiménez-Muñoz, J.C.; Sobrino, J.A. A generalized single-channel method for retrieving land surface temperature from remote sensing data. Journal of Geophysical Research 2003, 108(D22), 4688. [Google Scholar] [CrossRef]
- McMillin, L.M. Estimation of sea surface temperature from two infrared window measurements with different absorption. Journal of Geophysical Research 1975, 80, 5113–5117. [Google Scholar]
- Becker, F.; Li, Z.-L. Toward a local split window method over land surface. International Journal of Remote Sensing 1990, 3, 369–393. [Google Scholar]
- Sun, D.; Pinker, R.T. Estimation of land surface temperature from Geostationary Operational Environmental Satellite (GOES-8). Journal of Geophysical Research 2003, 108(D11), 4326. [Google Scholar] [CrossRef]
- Prata, A.J.; Platt, C.M.R. Land surface temperature measurements from the AVHRR. In Proceedings of the 5th AVHRR data users conference, Tromso, Norway, June 25-28, 1991; EUM P09. pp. 443–438.
- Vidal, A. Atmospheric and emissivity correction of land surface temperature measured from satellite using ground measurements or satellite data. International Journal of Remote Sensing 1991, 12, 2449–2460. [Google Scholar]
- Ulivieri, C.; Castronouvo, M.M.; Francioni, R.; Cardillo, A. A SW algorithn for estimating land surface temperature from satellites. Advance Space Research 1992, 14(3), 59–65. [Google Scholar]
- Sobrino, J.A.; Li, Z.-L.; Stoll, M.P.; Becker, F. Determination of the surface temperature from ATSR data. Proceedings of 25th International Symposium on Remote Sensing of Environment, Graz, Austria, April 4-8, 1993; pp. II-19–II-109.
- Sobrino, J.A.; Li, Z.-L.; Stoll, M.P.; Becker, F. Improvements in the split-window technique for land surface temperature determination. IEEE Transections on Geoscience and Remote Sensing 1994, 32(2), 243–253. [Google Scholar]
- Coll, C.; Caselles, V. A split-window algorithm for land surface temperature from advanced very high resolution radiometer data: Validation and algorithm comparison. Journal of Geophysical research Atmospheres 1997, 102(D14), 16697–16713. [Google Scholar]
- Becker, F.; Li, Z.-L. Surface temperature and emissivity at various scales: Definition, measurement and related problems. Remote Sensing of Environment 1995, 12, 225–253. [Google Scholar]
- Wan, Z.; Dozier, J. A generalized split-window algorithm for retrieving land-surface temperature from space. IEEE Transections on Geoscience and Remote Sensing 1996, Vol.34(No.4), 892–905. [Google Scholar]
- Sobrino, J.A; Romaguera, M. Land surface temperature retrieval from MSG1-SEVIRI data. Remote Sensing of Environment 2004, 92, 247–254. [Google Scholar]
- Li, Z.-L.; Petitcolin, F.; Zhang, R.H. A physically based algorithm for land surface emissivity retrieval from combined mid-infrared and thermal infrared data. 2000, 43, 23–33. [Google Scholar]
- Berk, A.; Bernstein, L.S.; Anderson, G.P.; Acharya, P.K.; Robertson, D.C.; Chetwynd, J.H.; et al. MODTRAN cloud and multiple scattering upgrades with application to AVHRIS. Remote Sensing of Environment 1998, 65, 367–375. [Google Scholar]
- Scott, N.A.; Chédin, A. A fast line-by-line method for atmospheric absorption computations: The Automatized Atmospheric Absorption Atlas. Journal of Applied Meteorology 1981, 20, 802–812. [Google Scholar]
- Jiang, G.-M.; Li, Z.-L.; Nerry, F. Land surface emissivity retrieval from combined mid-infrared and thermal infrared data of MSG-SEVIRI. Remote Sensing of Environment 2006, 105, 326–340. [Google Scholar]
- Li, Z.-L.; Jia, L.; Su, Z.; Wan, Z.; Zhang, R. A new approach for retrieving precipitable water from ATSR2 split-window channel data over land area. International Journal of Remote Sensing 2003, 24(24), 5095–5117. [Google Scholar]









| Channel no. | Channel name | Spectral range (μm) | Spatial resolution (km) | 
|---|---|---|---|
| 1 | IR1 | 10.3-11.3 | 5 | 
| 2 | IR2 | 11.5-12.5 | 5 | 
| 3 | IR3 | 6.3-7.6 | 5 | 
| 4 | IR4 | 3.5-4.0 | 5 | 
| 5 | VIS | 0.55-0.90 | 1.25 | 
| Conditions | ε ∈ [0.94, 1.0], Ts ∈ [290K, 310K], VZA=0° | |||
|---|---|---|---|---|
| Water vapor content (g/cm2) | WVC ∈ [0.0, 1.5] | WVC ∈ [5.0, 6.5] | ||
| Variable | α | β | α | β | 
| Range of Values (K) | [44.80, 61.23] | [-135.71,-121.05] | [11.57, 34.42] | [-70.13,-19.48] | 
| Mean (K) | 52.39 | -127.60 | 23.29 | -45.56 | 
| Standard deviation (K) | 3.10 | 3.06 | 4.22 | 9.32 | 
| Authors | Formulations | 
|---|---|
| Price, 1984 [8] | Ts = a0 + a1Ti + a2(Ti − Tj) + a3(Ti − Tj)(1 − ε) + a4TjΔε | 
| Prata and Platt, 1991 [14] | |
| Vidal, 1991 [15] | |
| Ulivieri et al., 1992 [16] | Ts = a0 + a1Ti + a2(Ti − Tj) + a3(1 − ε) + a4Δε | 
| Sobrino et al., 1993 [17] | Ts = a0 + a1Ti + a2(Ti − Tj) + a3(Ti − Tj)2 + a4(1 − ε) + a5Δε | 
| Sobrino et al., 1994 [18] | |
| Coll et al., 1997 [19] | Ts = Ti+ a0 + a1(Ti − Tj) + a2(Ti − Tj)2 + a3(1 − ε) + a4Δε | 
| RMSE (K) | Authors | |||||||||
| VZA(°) | GSW | Price84 | Prata91 | Vidal91 | Ulivieri92 | Sobrino93 | Sobrino94 | Coll97 | BL95 | |
| 0 | 0.37 | 0.73 | 1.15 | 0.38 | 0.38 | 0.37 | 0.38 | 0.38 | 0.22 | |
| 33.56 | 0.41 | 0.74 | 1.26 | 0.43 | 0.42 | 0.42 | 0.42 | 0.43 | 0.25 | |
| 44.42 | 0.46 | 0.74 | 1.35 | 0.48 | 0.47 | 0.47 | 0.47 | 0.47 | 0.28 | |
| 51.32 | 0.52 | 0.75 | 1.43 | 0.53 | 0.53 | 0.51 | 0.53 | 0.52 | 0.32 | |
| 56.25 | 0.57 | 0.77 | 1.49 | 0.58 | 0.58 | 0.57 | 0.58 | 0.57 | 0.36 | |
| 60 | 0.63 | 0.80 | 1.54 | 0.64 | 0.64 | 0.62 | 0.64 | 0.62 | 0.41 | |
| A (red) | B (green) | C (baby blue) | |
|---|---|---|---|
| Longitude (°) | 120.06 E | 116.15 E | 122.75 E | 
| Latitude (°) | 43.70 N | 33.84 N | 38.47 N | 
| VZA (°) | 53.44 | 41.96 | 49.14 | 
| WVC (g/cm2) | 0.868 | 1.465 | 1.217 | 
| εIR1 | 0.944 | 0.962 | 0.986 | 
| εIR2 | 0.946 | 0.966 | 0.99 | 
| TIR1 (K) | 309.42 | 295.24 | 281.95 | 
| TIR2 (K) | 307.32 | 294.58 | 282.20 | 
| Ts (K) | 318.35 | 299.74 | 286.47 | 
© 2008 by MDPI Reproduction is permitted for noncommercial purposes.
Share and Cite
Tang, B.; Bi, Y.; Li, Z.-L.; Xia, J. Generalized Split-Window Algorithm for Estimate of Land Surface Temperature from Chinese Geostationary FengYun Meteorological Satellite (FY-2C) Data. Sensors 2008, 8, 933-951. https://doi.org/10.3390/s8020933
Tang B, Bi Y, Li Z-L, Xia J. Generalized Split-Window Algorithm for Estimate of Land Surface Temperature from Chinese Geostationary FengYun Meteorological Satellite (FY-2C) Data. Sensors. 2008; 8(2):933-951. https://doi.org/10.3390/s8020933
Chicago/Turabian StyleTang, Bohui, Yuyun Bi, Zhao-Liang Li, and Jun Xia. 2008. "Generalized Split-Window Algorithm for Estimate of Land Surface Temperature from Chinese Geostationary FengYun Meteorological Satellite (FY-2C) Data" Sensors 8, no. 2: 933-951. https://doi.org/10.3390/s8020933
APA StyleTang, B., Bi, Y., Li, Z.-L., & Xia, J. (2008). Generalized Split-Window Algorithm for Estimate of Land Surface Temperature from Chinese Geostationary FengYun Meteorological Satellite (FY-2C) Data. Sensors, 8(2), 933-951. https://doi.org/10.3390/s8020933
 
        


 
       