Operational Mapping of Soil Moisture Using Synthetic Aperture Radar Data: Application to the Touch Basin (France)
Abstract
:1. Introduction
2. Description of Databases
2.1. Database 1995-2005
- Touch site, near Toulouse, France (long. 01°02′ E, lat. 43°27′ N). Soil composition is about 55% silt, 21% clay, and 24% sand. Data were acquired in 2004 and 2005.
- Villamblain site, near Orléans, France (long. 01°34′ E, lat. 48°00′ N). Soils composed of about 60% silt, 30% clay, and 10% sand. Data were acquired in 2003, 2004, and 2005.
- Châteauguay site, near Montreal, Canada (long. 73°46′ W, lat. 45°19′ N). Soil composition at both sites is about 42% silt, 36% clay, and 20% sand. Fieldwork was carried out in 1999.
- Brochets site, near Montreal, Canada (long. 72°54′ W, lat. 45°08′ N). Soil composition at both sites is about 42% silt, 36% clay, and 20% sand. Fieldwork was carried out in 1999.
- Alpilles site, Rhône valley, France (long. 4°45′ E, lat. 43°47′ N). Soil composition is 54% silt, 40% clay, and 6% sand. Fieldwork was carried out in 1997.
- Orgeval site, near Paris, France (long. 3°07′ E, lat. 48°51′ N). Soil composition is about 78% silt, 17% clay, and 5% sand. Fieldwork was carried out in 1995 to measure soil moisture and surface roughness.
- Pays de Caux site, Normandy, France (long. 0°50′ W, lat. 49°47′ N). Soil composition is approximately 67% silt, 13% clay, and 17% sand. Fieldwork was carried out in 1994, 1998, and 1999 to measure soil moisture and surface roughness.
2.2. Database 2006-2007
Study site
Radar and optical images
ISBA data
In situ measurements
Textural map
3. Soil moisture mapping
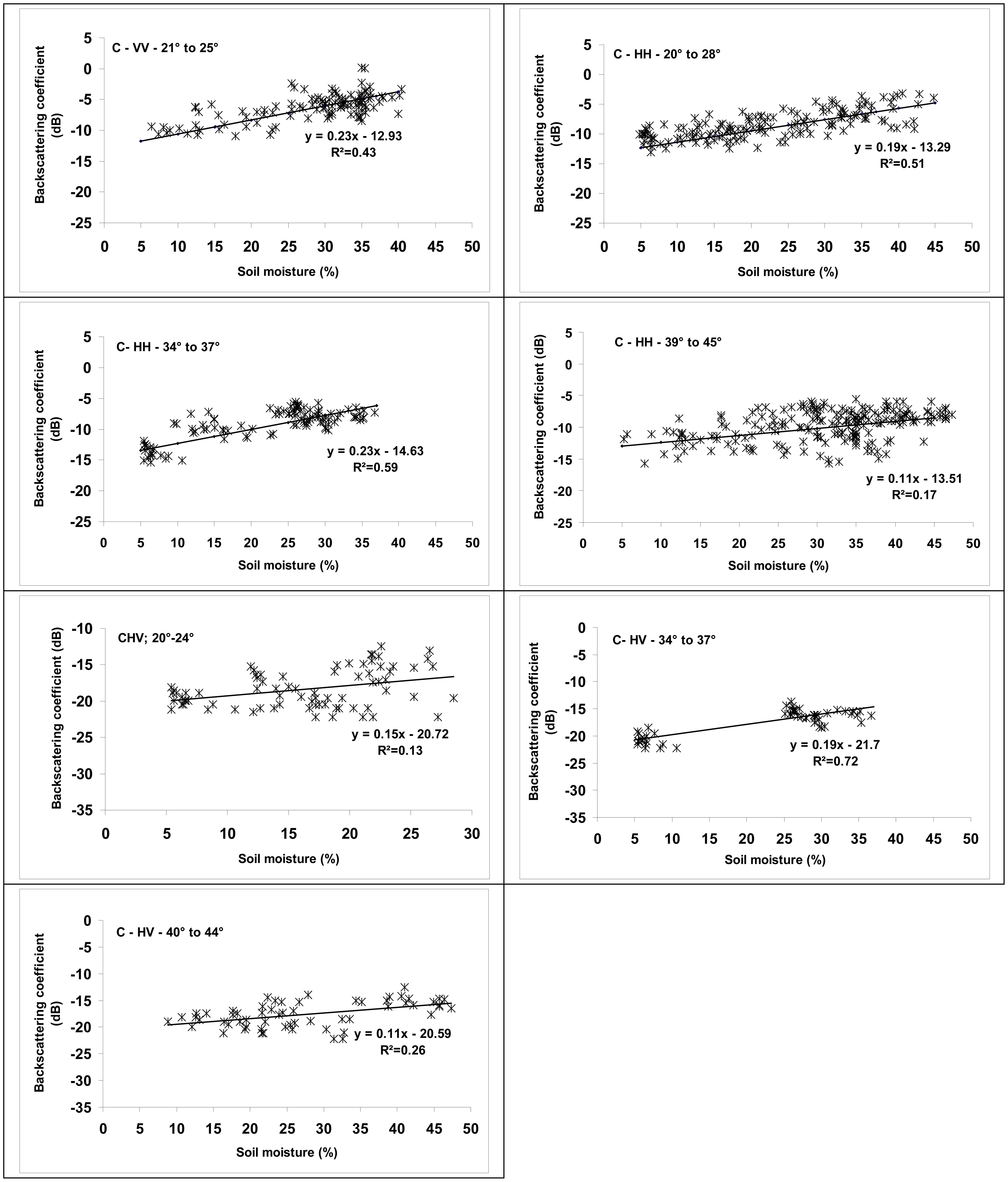
3.1. Relationship between radar signal and soil moisture
3.2. Methodology
3.3. Results and discussion
Comparison between radar estimates and gravimetric data
Analysis of ISBA simulations
Comparison between ISBA and radar moistures
Correlation analysis between precipitations and soil moistures (ISBA and radar)
Soil moisture mapping according to soil surface texture of the SGBDE
4. Conclusions
- The comparison between radar soil moisture and in situ measurements shows a RMSE for the soil moisture estimate of the order of 3% (in comparison with gravimetric moistures of March 12, 2007). Other SAR images with a wide range of soil moisture (<20% and >35%) are required to better validate the linear regressions established between radar signal and soil moisture.
- The mean difference between ISBA simulations and radar estimates is lower than 5% for 12 dates among the 18 examined dates. The 6 remaining dates show a mean difference between 5% and 10%. The comparison between ISBA and gravimetric measurements of the 12 March 2007 shows a RMSE of about 6%. Generally, these results are very encouraging.
- An important difference between ISBA and radar moistures is observed for some grids when the soil is frozen. The use of both liquid and frozen bulk soil water contents improves the results of the comparison between radar and ISBA model.
- No dependence was observed between gravimetric or radar moistures and textural zones according to 1:1000000 textural map. The soil moisture mapping from SAR images at the textural scale shown a weak variation between textural units. The correlation observed between texture map and ISBA moisture is induced by the use of the texture map as an input parameter in the ISBA model. Even if this parameter is very important for soil moisture estimation, radar and gravimetric results shown that the scale at 1:1000000 of the used textural map is not appropriate to differentiate moistures zones. Finally, additional studies on the sensibility of soil moisture to each pedological parameter (texture, density, …) would be necessary in using higher resolution texture data.
Acknowledgments
References
- Beven, K.J.; Fisher, J. Remote sensing and scaling in hydrology. In Scaling up hydrology using remote sensing; Stewart, J.B., Engman, E.T., Fedes, R.A., Kerr, Y., Eds.; Wiley Press: Chichester, UK, 1996; pp. 1–18. [Google Scholar]
- Le Bissonnais, Y.; Jamagne, M.; Lambert, J.J.; Le Bas, C.; Daroussin, J.; King, D.; Cerdan, O.; Léonard, J.; Bresson, L.M.; Jones, R. Pan-European soil crusting and erodibility assessment from the European Soil Geographical Database using pedotransfer rules. Adv. Environ. Monitor. Model. 2005, 2, 1–15. [Google Scholar]
- Valentin, C.; Poesen, J.; Li, Y. Gully erosion: Impacts, factors and control. Catena 2005, 63, 132–153. [Google Scholar]
- Dobson, M.C.; Ulaby, F.T. Active microwave soil moisture research. IEEE Trans. Geosci. Remote Sens. 1986, 24, 23–36. [Google Scholar]
- Ulaby, F.T.; Moore, R.K.; Fung, A.K. Microwave Remote Sensing, Active and Passive, From Theory to Applications; Artech House Inc.: Norwood, MA, USA, 1986; Vol. 3. [Google Scholar]
- Fung, A.K. Microwave scattering and emission models and their applications; Artech House, Inc.: Boston, London, 1994. [Google Scholar]
- Ulaby, F.T.; Batlivala, P.P.; Dobson, M.C. Microwave backscatter dependence on surface roughness, soil moisture, and soil texture: Part I – Bare soil. IEEE Trans. Geosci. Remote Sens. 1978, GE-16, 286–295. [Google Scholar]
- Fung, A.K.; Chen, K.S. Dependence of the surface backscattering coefficients on roughness, frequency and polarization states. Int. J. Remote Sens. 1992, 13, 1663–1680. [Google Scholar]
- Dubois, P.; Van Zyl, J.J.; Engman, T. Measuring of soil moisture with imaging radars. IEEE Trans. Geosci. Remote Sens. 1995, 33, 915–926. [Google Scholar]
- Shi, J.; Wang, J.; Hsu, A.Y.; O'Neill, P.E.; Engman, E.T. Estimation of bare surface soil moisture and surface roughness parameter using L-band SAR image data. IEEE Trans. Geosci. Remote Sens. 1997, 35, 1254–1266. [Google Scholar]
- Le Hégarat, S.; Zribi, M.; Alem, F.; Weisse, A.; Loumagne, C. Soil moisture estimation from ERS/SAR data: Toward an operational methodology. IEEE Trans. Geosci. Remote Sens. 2002, 40, 2647–2658. [Google Scholar]
- Baghdadi, N.; Gaultier, S.; King, C. Retrieving surface roughness and soil moisture from synthetic aperture radar (SAR) data using neural networks. Can. J. Remote Sens. 2002, 5, 701–711. [Google Scholar]
- Zribi, M.; Dechambre, M. A new empirical model to retrieve soil moisture and roughness from C-band radar data. Remote Sens. Environ. 2002, 84, 42–52. [Google Scholar]
- Oh, Y. Quantitative retrieval of soil moisture content and surface roughness from multipolarized radar observations of bare soil surfaces. IEEE Trans. Geosci. Remote Sens. 2004, 42, 596–601. [Google Scholar]
- Baghdadi, N.; Holah, N.; Zribi, M. Soil moisture estimation using multi-incidence and multi-polarization ASAR SAR data. Int. J. Remote Sens. 2006, 27, 1907–1920. [Google Scholar]
- Srivastava, H.S.; Patel, P.; Manchanda, M.L.; Adiga, S. Use of multi-incidence angle RADARSAT-1 SAR data to incorporate the effect of surface roughness in soil moisture estimation. IEEE Trans. Geosci. Remote Sens. 2003, 41, 1638–1640. [Google Scholar]
- Holah, H.; Baghdadi, N.; Zribi, M.; Bruand, A.; King, C. Potential of ASAR/ENVISAT for the characterisation of soil surface parameters over bare agricultural fields. Remote Sens. Environ. 2005, 96, 78–86. [Google Scholar]
- Mattia, F.; Le Toan, T.; Souyris, J.C.; De Carolis, G.; Floury, N.; Posa, F.; Pasquariello, G. The effect of surface roughness on multifrequency polarimetric SAR data. IEEE Trans. Geosci. Remote Sens. 1997, 33, 915–926. [Google Scholar]
- Zribi, M.; Taconet, O.; Le Hegarat-Mascle, S.; Vidal-Madjar, D.; Emblanch, C.; Loumagne, C.; Normand, M. Backscattering behavior and simulation: Comparison over bare soils using SIR-C/X-SAR and ERASME 1994 data over Orgeval. Remote Sens. Environ. 1997, 59, 308–320. [Google Scholar]
- Baghdadi, N.; Holah, N.; Zribi, M. Calibration of the Integral Equation Model for SAR data in C-band and HH and VV polarizations. Int. J. Remote Sens. 2006, 27, 805–816. [Google Scholar]
- Baghdadi, N.; Zribi, M. Evaluation of Radar Backscatter Models IEM, OH and Dubois Using Experimental Observations. Int. J. Remote Sens. 2006, 27, 3831–3852. [Google Scholar]
- Cerdan, O.; Baghdadi, N.; Denux, J.P.; Desprats, J.F.; Gay, M.; Albergel, C.; Dubus, I.; Dupros, F.; Holah, N.; El Hajj, M. APIBAR: Appui à la Prévision des Inondations. Cas des Bassins Rapides du Sud de la France Final Report BRGM/RP-54218-FR. 2006. [Google Scholar]
- Habets, F.; Boone, A.; Champeaux, J.L.; Etchevers, P.; Franchistéguy, L.; Leblois, E.; Ledoux, E.; Le Moigne, P.; Martin, E.; Morel, S.; Noilhan, J.; Quintana Segui, P.; Rousset-Regimbeau, F.; Viennot, P. The SAFRAN-ISBA-MODCOU hydrometeorological model applied over France. J. Geophys. Res. 2007. submitted. [Google Scholar]
- Oh, Y.; Kay, Y. Condition for precise measurement of soil surface roughness. IEEE Trans. Geosci. Remote Sens. 1998, 36, 691–695. [Google Scholar]
- Baghdadi, N.; Paillou, P.; Davidson, M.; Grandjean, G.; Dubois, P. Relationship between profile length and roughness parameters for natural surfaces. Int. J. Remote Sens. 2000, 21, 3375–3381. [Google Scholar]
- Davidson, M.; Le Toan, T.; Marria, F.; Satalino, G.; Maninnen, T.; Borgeaud, M. On the characterisation of agricultural soil roughness for radar remote sensing studies. IEEE Trans. Geosci. Remote Sens. 2000, 38, 630–640. [Google Scholar]
- BEST - Basic Envisat SAR Toolbox, Version 4.0.3; European Space Agency (ESA), July 2005. http://envisat.esa.int/.
- Joughin, I.; Percival, D.; Winebrenner, D. Maximum Likelihood Estimation of K Distribution Parameters for SAR Data. IEEE Trans. Geosci. Remote Sens. 1993, 31, 989–999. [Google Scholar]
- Lee, J.S.; Jurkevich, I.; Dewaele, P.; Wambacq, P.; Oosterlinck, A. Speckle filtering of synthetic aperture radar images: A Review. Remote Sens. Rev. 1994, 8, 313–340. [Google Scholar]
- Noilhan, J.; Mahfouf, J.F. The ISBA land surface parameterization scheme. Global Planet. Change 1996, 13, 145–159. [Google Scholar]
- Noilhan, J.; Planton, S. A simple parameterization of land surface processes for meteorological models. Month. Weath. Rev. 1989, 117, 536–549. [Google Scholar]
- Masson, V.; Champeaux, J.L.; Chauvin, F.; Méringuet, C.; Lacaze, R. A global database of land surface parameters at 1 km resolution for use in meteorological and climate models. J. Clim. 2003, 16, 1261–1282. [Google Scholar]
- Durand, Y.; Brun, E.; Mérindol, L.; Guyomarc'h, G.; Lesaffre, B.; Martin, E. A meteorological estimation of relevant parameters for snow schemes used with atmospheric models. Ann. Glaciol. 1993, 18, 65–71. [Google Scholar]
- Quintana Seguí, P.; Le Moigne, P.; Durand, Y.; Martin, E.; Habets, F.; Baillon, M.; Franchisteguy, L.; Morel, S.; Noilhan, J. Analysis of near surface atmospheric variables: validation of the SAFRAN analysis over France. J. Appl. Meteorol. Climatol. 2007, in press. [Google Scholar]
- Bruckler, L.; Wittono, H.; Stengel, P. Near surface moisture estimation from microwave measurements. Remote Sens. Environ. 1988, 26, 101–121. [Google Scholar]
- Bruand, A.; Pérez-Fernandez, P.; Duval, O.; Quétin, P.; Nicoullaud, B.; Gaillard, H.; Razison, L.; Pessaud, J.F.; Prudhomme, L. Estimation des propriétés de rétention en eau des sols : Utilisation de classes de pédotransfert après stratification texturale et texturo-structurale. Etude Gest. Sols 2002, 9, 105–125. [Google Scholar]
- Gupta, S.C.; Larson, W.E. Estimating soil water retention characteristics from particle size distribution, organic matter percent and bulk density. Water Resour. Res. 1979, 15, 1633–1635. [Google Scholar]
- Puckett, W.E; Dane, J.H; Hajeh, B.F. Physical and mineralogical data to determine soil hydraulic properties. Soil Sci. Soc. Am. J. 1985, 49, 831–836. [Google Scholar]
- Soil Geographical Database of Europe at scale 1:1,000,000 (SGDBE). Version 2; http://eusoils.jrc.it/ESDB%5FArchive/ESDBv2/.
- Weimann, A.; Von Schönermark, M.; Schumann, A.; Jörn, P.; Günther, R. Soil moisture estimation with ERS-1 SAR data in the East-German loess soil area. Int. J. Remote Sens. 1998, 19, 237–243. [Google Scholar]
- Zribi, M.; Baghdadi, N.; Holah, N.; Fafin, O. New methodology for soil surface moisture estimation and its application to ENVISAT-ASAR multi-incidence data inversion. Remote Sens. Environ. 2005, 96, 485–496. [Google Scholar]
- Beaudoin, A.; Gwyn, Q.H.J.; Le Toan, T. SAR observation and modelling of the C-band backscatter variability due to multi-scale geometry and soil moisture. IEEE Trans. Geosci. Remote Sens. 1990, 28, 886–894. [Google Scholar]
- Willmott, C.J. Some comments on the evaluation of model performance. Bull. Am. Meteorol. Soc. 1982, 63, 1309–1313. [Google Scholar]
- Hajnsek, I.; Pottier, E.; Cloude, S. Inversion of surface parameters from polarimetric SAR. IEEE Trans. Geosci. Remote Sens. 2003, 41, 727–744. [Google Scholar]









| Date(dd/mm/yy) | SAR sensor | Acquisition Time (TU) | Polarization | Incidence angle | Optical image Date | Percentage of bare soil |
|---|---|---|---|---|---|---|
| 12/03/2007 | ASAR | 10 :13 | VV , VH | IS2 : 23° | SPOT 15/02/2007 | 10.9 |
| 17/01/2007 | ASAR | 10 :10 | VV , VH | IS3 : 28° | SPOT 15/02/2007 | 19.9 |
| 07/01/2007 | ASAR | 21 :43 | VV , VH | IS3 : 28° | SPOT 15/02/2007 | 19.9 |
| 04/01/2007 | ASAR | 10 :13 | VV , VH | IS2 : 23° | SPOT 15/02/2007 | 19.9 |
| 01/01/2007 | ASAR | 10 :13 | VV , VH | IS2 : 23° | SPOT 15/02/2007 | 19.9 |
| 14/08/2006 | ERS-2 | 10 :42 | VV | 23° | ASTER 01/07/2006 | 20.9 |
| 10/07/2006 | ERS-2 | 10 :42 | VV | 23° | ASTER 01/07/2006 | 20.9 |
| 15/04/2006 | ASAR | 21 :34 | VV , HH | IS1 : 18° | SPOT 07/04/2006 | 16.1 |
| 15/04/2006 | ASAR | 10 :16 | VV , HH | IS1 : 18° | SPOT 07/04/2006 | 16.1 |
| 12/04/2006 | ASAR | 10 :10 | VV , HH | IS3 : 28° | SPOT 07/04/2006 | 16.1 |
| 02/04/2006 | ASAR | 21 :43 | VV , HH | IS3 : 28° | SPOT 07/04/2006 | 16.1 |
| 30/03/2006 | ASAR | 10 :19 | VV , HH | IS1 : 18° | SPOT 07/04/2006 | 8.7 |
| 27/03/2006 | ERS-2 | 10 :42 | VV | 23° | SPOT 07/04/2006 | 16.0 |
| 18/03/2006 | ASAR | 09 :56 | VV , HH | IS7 : 44° | SPOT 15/03/2006 | 24.1 |
| 17/03/2006 | ASAR | 21 :45 | VV , HH | IS4 : 33° | SPOT 15/03/2006 | 24.1 |
| 11/03/2006 | ASAR | 21 :34 | VV , HH | IS1 : 18° | SPOT 15/03/2006 | 24.1 |
| 11/03/2006 | ASAR | 10 :16 | VV , HH | IS1 : 18° | SPOT 15/03/2006 | 24.1 |
| 08/03/2006 | ASAR | 10 :10 | VV , HH | IS3 : 28° | SPOT 15/03/2006 | 24.1 |
| Id ISBA grid | Measured soil moisture by gravimetry (%) | RadVV– Gravi | RadVH– Gravi | RadMean– Gravi | ISBA – Gravi | RadMean– ISBA | |
|---|---|---|---|---|---|---|---|
| Test field number | Mean mv | ||||||
| 19727 | - | - | - | - | - | - | 6.75 |
| 19728 | - | - | - | - | - | - | 4.51 |
| 19899 | - | - | - | - | - | - | -1.77 |
| 19900 | 4 | 23.2 | 3.66 | 4.02 | 3.84 | 0 | 3.84 |
| 19901 | 1 | 19.35 | 7.14 | 6.56 | 6.85 | -4.25 | 11.10 |
| 19902 | - | - | - | - | - | - | 10.58 |
| 20073 | - | - | - | - | - | - | 0.77 |
| 20074 | 3 | 25.72 | 1.82 | 0.53 | 1.17 | -10.02 | 11.19 |
| 20075 | 3 | 22.67 | 2.81 | 1.62 | 2.21 | -7.67 | 9.88 |
| 20246 | 1 | 24.93 | -1.08 | -1.2 | -1.14 | 4.57 | -5.71 |
| 20247 | 5 | 26.88 | -1.5 | -2.11 | -1.80 | 3.02 | -4.82 |
| 20248 | 4 | 25.32 | 2.28 | 1.03 | 1.65 | -9.12 | 10.77 |
| 20249 | - | - | - | - | - | - | 10.27 |
| 20419 | 3 | 21.29 | 3.02 | 3.67 | 3.35 | 3.91 | -0.56 |
| 20420 | 6 | 23.7 | 0.07 | -0.27 | -0.10 | 3.1 | -3.20 |
| 20421 | 2 | 22.24 | 2.01 | 2.35 | 2.18 | 1.76 | 0.42 |
| 20422 | - | - | - | - | - | - | 10.70 |
| Bias | 2.42 | 1.62 | 1.82 | -1.47 | 4.40 | ||
| Standard deviation | 2.31 | 2.62 | 2.54 | 5.74 | 6.21 | ||
| MAE | 1.55 | 2.02 | 1.86 | 5.03 | 5.43 | ||
| RMSE | 3.25 | 2.97 | 3.02 | 5.64 | 7.46 | ||
| d | 0.49 | 0.41 | 0.46 | 0.48 | 0.39 | ||
© 2007 by MDPI ( http://www.mdpi.org). Reproduction is permitted for noncommercial purposes.
Share and Cite
Baghdadi, N.; Aubert, M.; Cerdan, O.; Franchistéguy, L.; Viel, C.; Eric, M.; Zribi, M.; Desprats, J.F. Operational Mapping of Soil Moisture Using Synthetic Aperture Radar Data: Application to the Touch Basin (France). Sensors 2007, 7, 2458-2483. https://doi.org/10.3390/s7102458
Baghdadi N, Aubert M, Cerdan O, Franchistéguy L, Viel C, Eric M, Zribi M, Desprats JF. Operational Mapping of Soil Moisture Using Synthetic Aperture Radar Data: Application to the Touch Basin (France). Sensors. 2007; 7(10):2458-2483. https://doi.org/10.3390/s7102458
Chicago/Turabian StyleBaghdadi, Nicolas, Maelle Aubert, Olivier Cerdan, Laurent Franchistéguy, Christian Viel, Martin Eric, Mehrez Zribi, and Jean François Desprats. 2007. "Operational Mapping of Soil Moisture Using Synthetic Aperture Radar Data: Application to the Touch Basin (France)" Sensors 7, no. 10: 2458-2483. https://doi.org/10.3390/s7102458
APA StyleBaghdadi, N., Aubert, M., Cerdan, O., Franchistéguy, L., Viel, C., Eric, M., Zribi, M., & Desprats, J. F. (2007). Operational Mapping of Soil Moisture Using Synthetic Aperture Radar Data: Application to the Touch Basin (France). Sensors, 7(10), 2458-2483. https://doi.org/10.3390/s7102458
