Tactile Sensor-Based Body Center of Pressure Estimation System Using Supervised Deep Learning Models
Abstract
1. Introduction
2. Materials and Methods
2.1. System Overview and Experimental Environment for CoP Estimation and Evaluation

2.2. System Configuration and Data Acquisition
2.2.1. Tactile Sensor

2.2.2. 3D Pose-Based Joint Angular Feature Extraction
2.2.3. Synchronized Data Collection and Post-Processing
2.2.4. Data Synchronization & Sampling
2.3. Experimental Protocol
2.3.1. Participants
2.3.2. Protocol

2.4. Data Preprocessing and Feature Engineering
2.4.1. Data Preprocessing
2.4.2. Input Feature Construction
- Tactile pressure images (64 × 64)
- Tactile WMA CoP data
- Ground truth CoP data
- Lower-limb angular features (angles, angular velocities, and angular accelerations for the hip, knee, and ankle joints)
- Subjects’ characteristics
- Experimental settings
3. CoP Estimation Algorithm
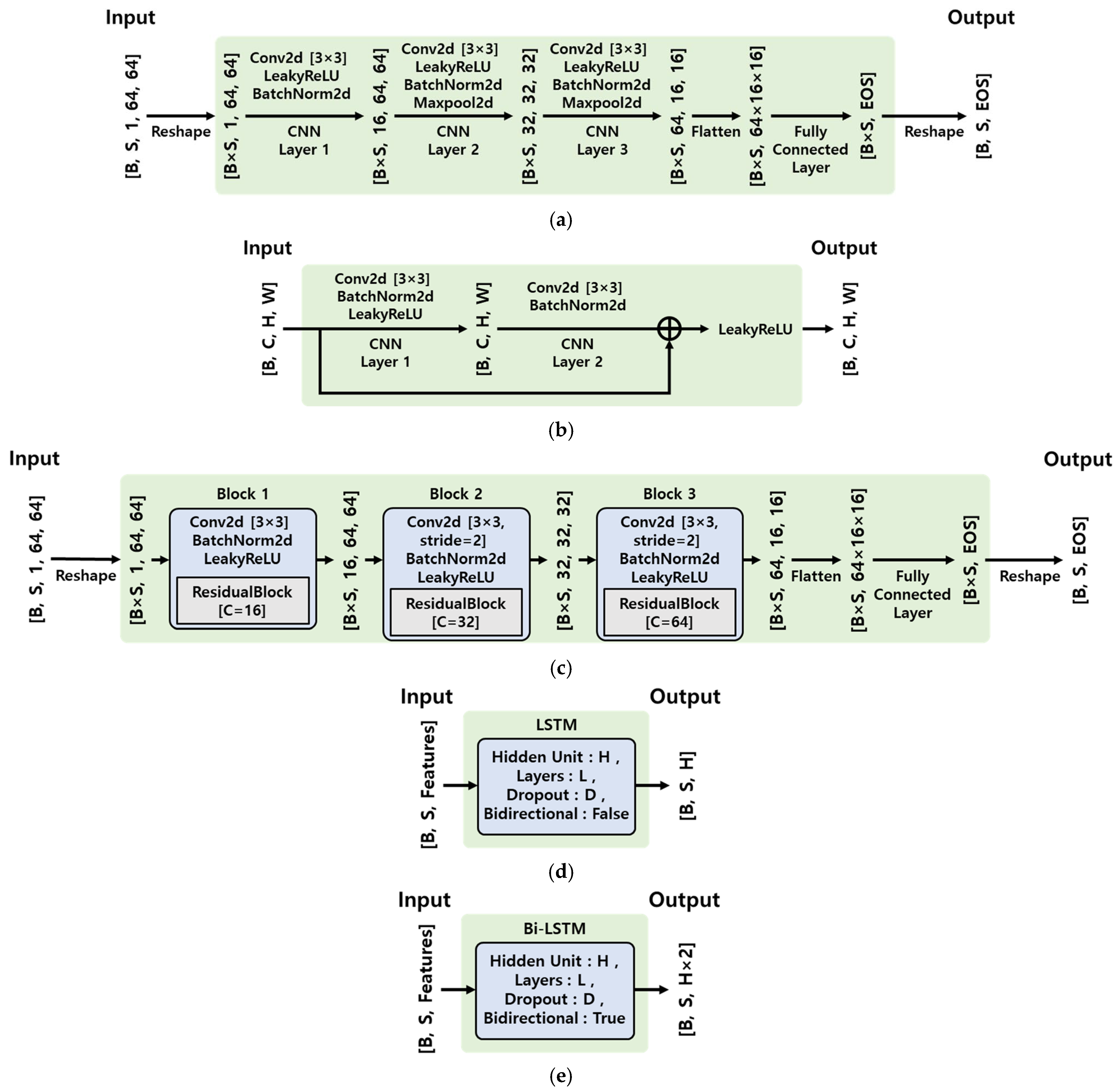
3.1. Encoder Architecture
3.2. Decoder Architecture
3.3. Feature Integration and CoP Estimation
3.4. Hyperparameter Optimization
3.5. Model Evaluation
3.6. Statistical Analysis
- with angular data (WA), where lower-limb angular features were included
- only tactile data (OT), where the model used tactile sensor input alone
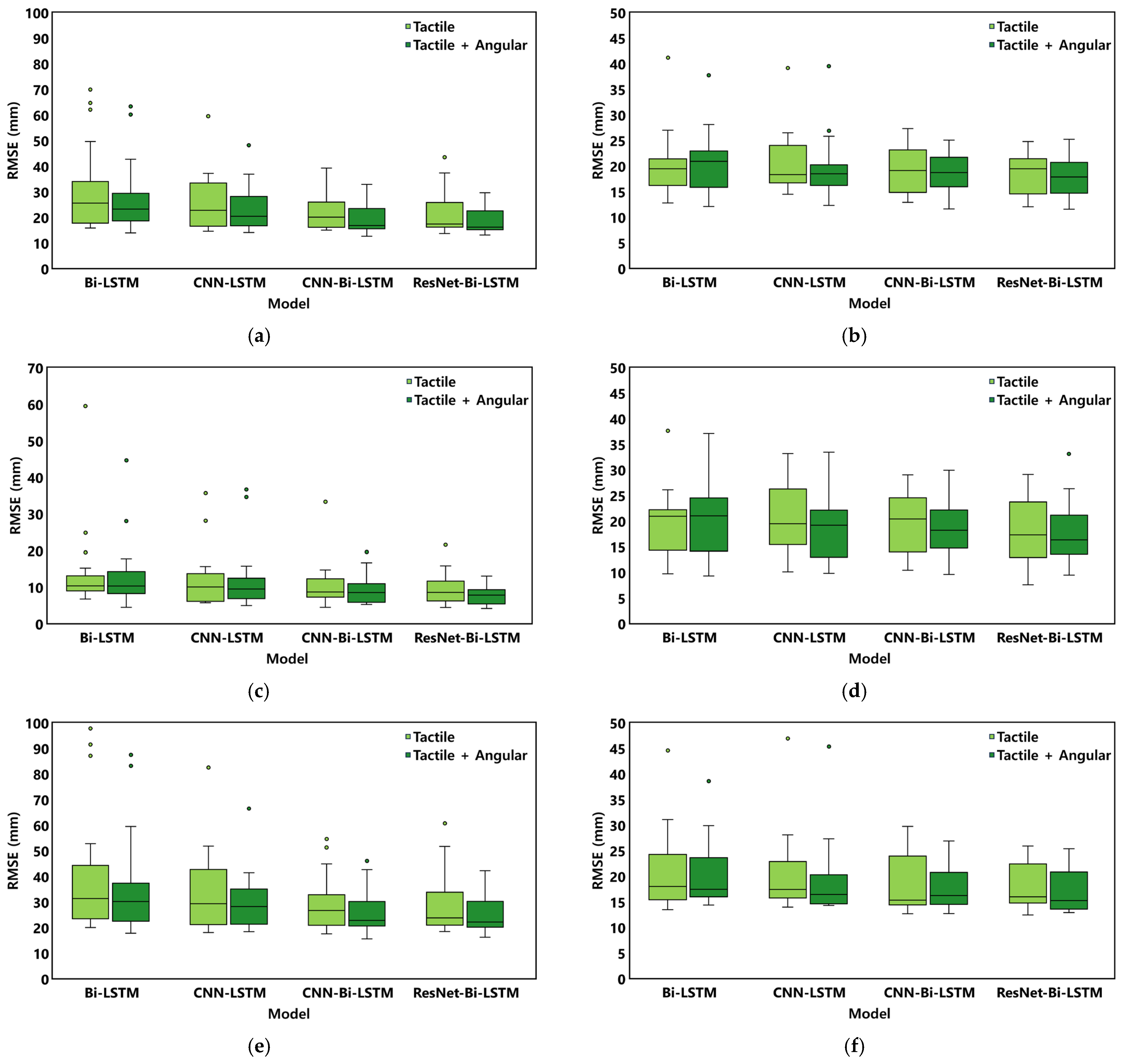
4. Results

| ResNet-Bi-LSTM | CNN-Bi-LSTM | CNN-LSTM | Bi-LSTM | |||||
|---|---|---|---|---|---|---|---|---|
| Input Data | WA 1 | OT 2 | WA 1 | OT 2 | WA 1 | OT 2 | WA 1 | OT 2 |
| ML RMSE (mm) (SD) | 18.63 (4.57) | 21.84 (7.91) | 19.89 (5.51) | 22.11 (7.11) | 22.95 (8.34) | 25.51 (10.58) | 27.23 (12.78) | 30.23 (15.77) |
| AP RMSE (mm) (SD) | 17.65 (3.48) | 18.26 (3.71) | 18.50 (3.50) | 19.33 (4.46) | 19.42 (5.61) | 20.37 (5.32) | 20.47 (5.50) | 20.16 (5.76) |
| ML NRMSE (%) (SD) | 4.23 (1.05) | 4.90 (1.51) | 4.48 (1.04) | 4.98 (1.40) | 5.17 (1.72) | 5.73 (2.14) | 6.27 (3.47) | 6.88 (3.85) |
| AP NRMSE (%) (SD) | 5.55 (1.70) | 5.72 (1.58) | 5.73 (1.19) | 5.96 (1.35) | 5.96 (1.38) | 6.32 (1.60) | 6.32 (1.61) | 6.23 (1.64) |
| ML R2 (SD) | 0.97 (0.02) | 0.96 (0.03) | 0.97 (0.02) | 0.96 (0.03) | 0.96 (0.03) | 0.94 (0.05) | 0.91 (0.15) | 0.90 (0.16) |
| AP R2 (SD) | 0.87 (0.09) | 0.86 (0.10) | 0.86 (0.08) | 0.85 (0.10) | 0.85 (0.09) | 0.83 (0.11) | 0.84 (0.09) | 0.84 (0.10) |

| ResNet-Bi-LSTM | CNN-Bi-LSTM | CNN-LSTM | Bi-LSTM | |||||
|---|---|---|---|---|---|---|---|---|
| Protocol | Static | Dynamic | Static | Dynamic | Static | Dynamic | Static | Dynamic |
| ML RMSE (mm) (SD) | 8.09 (3.24) | 24.88 (6.36) | 8.95 (3.70) | 26.32 (7.91) | 11.54 (7.98) | 29.55 (10.71) | 12.97 (8.23) | 35.21 (18.00) |
| AP RMSE (mm) (SD) | 17.47 (5.71) | 17.13 (3.91) | 18.90 (5.09) | 17.55 (3.93) | 19.24 (6.63) | 18.97 (6.70) | 20.04 (6.45) | 20.54 (5.78) |
| ML NRMSE (%) (SD) | 6.36 (2.97) | 6.51 (1.65) | 7.15 (3.94) | 6.83 (1.86) | 8.33 (4.25) | 7.76 (3.14) | 10.33 (6.26) | 9.29 (5.47) |
| AP NRMSE (%) (SD) | 12.66 (6.56) | 5.53 (1.15) | 13.83 (7.03) | 5.65 (1.07) | 13.54 (6.56) | 6.05 (1.56) | 14.01 (5.73) | 6.59 (1.49) |
| ML R2 (SD) | 0.89 (0.18) | 0.92 (0.05) | 0.83 (0.28) | 0.91 (0.05) | 0.81 (0.27) | 0.88 (0.12) | 0.62 (0.73) | 0.79 (0.36) |
| AP R2 (SD) | 0.42 (0.89) | 0.89 (0.08) | 0.26 (1.22) | 0.89 (0.07) | 0.23 (1.44) | 0.87 (0.10) | 0.36 (0.94) | 0.85 (0.10) |
| M 1 | IC 2 | M 1 × IC 2 | |
|---|---|---|---|
| ML RMSE | 0.002 | <0.001 | 0.722 |
| AP RMSE | 0.022 | 0.102 | 0.132 |


5. Discussion
6. Conclusions
Author Contributions
Funding
Institutional Review Board Statement
Informed Consent Statement
Data Availability Statement
Conflicts of Interest
Appendix A. Model Architectures

Appendix B. Hyperparameters
| Parameter | Value |
|---|---|
| Batch Size | [8, 16, 32, 64] |
| Sequence Length | [11, 15, 19, 23, 25, 27, 29, 31, 33, 35, 37, 39, 41] |
| RNN Hidden Units | [32, 64, 128, 256] |
| Intermediate FC Layer Units | [32, 64, 128] |
| RNN Layers | [2, 3, 4] |
| RNN dropout | [0, 0.1, 0.2, 0.3] |
| CNN Output Feature Dimension | [64, 128, 256, 512, 1024] |
| Weight Optimization Function | Adam, AdamW, RMSProp, SGD, Nadam |
| Subjects’ Characteristics | gender, height, weight, body fat mass, lean body mass, upper/lower limb length, waist-to-hip ratio |
| Epochs | 10 |
| Learning Rate | 0.001 |
| Weight Decay | 0.0001 |
| Sliding Window Step | 3 |
| Learning Rate Scheduler Step Size | 2 |
| Learning Rate Scheduler Decay Factor Gamma | 0.5 |
| Model | Parameter | Value |
|---|---|---|
| Bi-LSTM | Batch Size | 16 |
| Sequence Length | 11 | |
| RNN Hidden Units | 128 | |
| Intermediate FC Layer Units | 32 | |
| RNN Layers | 2 | |
| RNN dropout | 0.2 | |
| CNN Output Feature Dimension | - | |
| Weight Optimization Function | RMSProp | |
| Subjects’ Characteristics | weight, gender, lean mass, upper/lower limb length, waist-hip ratio | |
| CNN-LSTM | Batch Size | 8 |
| Sequence Length | 25 | |
| RNN Hidden Units | 256 | |
| Intermediate FC Layer Units | 32 | |
| RNN Layers | 2 | |
| RNN dropout | 0.2 | |
| CNN Output Feature Dimension | 512 | |
| Weight Optimization Function | RMSProp | |
| Subjects’ Characteristics | weight, gender, lean mass, upper/lower limb length, waist-hip ratio | |
| CNN-Bi-LSTM | Batch Size | 8 |
| Sequence Length | 37 | |
| RNN Hidden Units | 128 | |
| Intermediate FC Layer Units | 32 | |
| RNN Layers | 2 | |
| RNN dropout | 0.2 | |
| CNN Output Feature Dimension | 512 | |
| Weight Optimization Function | RMSProp | |
| Subjects’ Characteristics | weight, gender, lean mass, upper/lower limb length, waist-hip ratio | |
| ResNet-Bi-LSTM | Batch Size | 8 |
| Sequence Length | 37 | |
| RNN Hidden Units | 128 | |
| Intermediate FC Layer Units | 32 | |
| RNN Layers | 2 | |
| RNN dropout | 0.2 | |
| CNN Output Feature Dimension | 512 | |
| Weight Optimization Function | RMSProp | |
| Subjects’ Characteristics | weight, gender, lean mass, upper/lower limb length, waist-hip ratio |
References
- World Health Organization. Ageing and Health. Available online: https://www.who.int/news-room/fact-sheets/detail/ageing-and-health (accessed on 15 May 2025).
- World Health Organization. Falls. Available online: https://www.who.int/news-room/fact-sheets/detail/falls (accessed on 15 May 2025).
- Haddad, Y.K.; Miller, G.F.; Kakara, R.; Florence, C.; Bergen, G.; Burns, E.R.; Atherly, A. Healthcare spending for non-fatal falls among older adults, USA. Inj. Prev. 2024, 30, 272–276. [Google Scholar] [CrossRef]
- Papalia, G.F.; Papalia, R.; Diaz Balzani, L.A.; Torre, G.; Zampogna, B.; Vasta, S.; Fossati, C.; Alifano, A.M.; Denaro, V. The effects of physical exercise on balance and prevention of falls in older people: A systematic review and meta-analysis. J. Clin. Med. 2020, 9, 2595. [Google Scholar] [CrossRef]
- Wiśniowska-Szurlej, A.; Ćwirlej-Sozańska, A.; Wilmowska-Pietruszyńska, A.; Sozański, B. The use of static posturography cut-off scores to identify the risk of falling in older adults. Int. J. Environ. Res. Public Health 2022, 19, 6480. [Google Scholar] [CrossRef] [PubMed]
- de Abreu, D.C.C.; Bandeira, A.C.L.; Magnani, P.E.; de Oliveira Grigoletto, D.A.; de Faria Junior, J.R.; Teixeira, V.R.S.; Fuentes, V.M.; de Matos Brunelli Braghin, R. Standing balance test for fall prediction in older adults: A 6-month longitudinal study. BMC Geriatr. 2024, 24, 947. [Google Scholar] [CrossRef] [PubMed]
- Moon, S.H.; Doshi, K.B.; Lockhart, T. Assessing fall risk in osteoporosis patients: A comparative study of age-matched fallers and nonfallers. Front. Digit. Health 2024, 6, 1387193. [Google Scholar] [CrossRef]
- Verma, S.; Kumar, D.; Kumawat, A.; Dutta, A.; Lahiri, U. A low-cost adaptive balance training platform for stroke patients: A usability study. IEEE Trans. Neural Syst. Rehabil. Eng. 2017, 25, 935–944. [Google Scholar] [CrossRef]
- Lee, H.; Choi, Y.; Eizad, A.; Song, W.-K.; Kim, K.-J.; Yoon, J. A machine learning-based initial difficulty level adjustment method for balance exercise on a trunk rehabilitation robot. IEEE Trans. Neural Syst. Rehabil. Eng. 2023, 31, 1857–1866. [Google Scholar] [CrossRef]
- Chen, B.; Liu, P.; Xiao, F.; Liu, Z.; Wang, Y. Review of the upright balance assessment based on the force plate. Int. J. Environ. Res. Public Health 2021, 18, 2696. [Google Scholar] [CrossRef] [PubMed]
- Santos, V.M.; Gomes, B.B.; Neto, M.A.; Amaro, A.M. A systematic review of insole sensor technology: Recent studies and future directions. Appl. Sci. 2024, 14, 6085. [Google Scholar] [CrossRef]
- Park, S.; Yoon, S. Validity evaluation of an inertial measurement unit (IMU) in gait analysis using statistical parametric mapping (SPM). Sensors 2021, 21, 3667. [Google Scholar] [CrossRef]
- Prisco, G.; Pirozzi, M.A.; Santone, A.; Esposito, F.; Cesarelli, M.; Amato, F.; Donisi, L. Validity of wearable inertial sensors for gait analysis: A systematic review. Diagnostics 2024, 15, 36. [Google Scholar] [CrossRef]
- Prasanth, H.; Caban, M.; Keller, U.; Courtine, G.; Ijspeert, A.; Vallery, H.; Von Zitzewitz, J. Wearable sensor-based real-time gait detection: A systematic review. Sensors 2021, 21, 2727. [Google Scholar] [CrossRef]
- Bincalar, A.D.; Freeman, C.; Schraefel, M. Optimal Algorithms for Improving Pressure-Sensitive Mat Centre of Pressure Measurements. Sensors 2025, 25, 1283. [Google Scholar] [CrossRef]
- Martinez-Cesteros, J.; Medrano-Sanchez, C.; Plaza-Garcia, I.; Igual-Catalan, R.; Albiol-Pérez, S. A velostat-based pressure-sensitive mat for center-of-pressure measurements: A preliminary study. Int. J. Environ. Res. Public Health 2021, 18, 5958. [Google Scholar] [CrossRef]
- Choi, H.S.; Yoon, S.; Kim, J.; Seo, H.; Choi, J.K. Calibrating Low-Cost Smart Insole Sensors with Recurrent Neural Networks for Accurate Prediction of Center of Pressure. Sensors 2024, 24, 4765. [Google Scholar] [CrossRef]
- Duong, T.T.; Uher, D.; Young, S.D.; Farooquee, R.; Druffner, A.; Pasternak, A.; Kanner, C.; Fragala-Pinkham, M.; Montes, J.; Zanotto, D. Accurate cop trajectory estimation in healthy and pathological gait using multimodal instrumented insoles and deep learning models. IEEE Trans. Neural Syst. Rehabil. Eng. 2023, 31, 4801–4811. [Google Scholar] [CrossRef]
- Choi, A.; Jung, H.; Lee, K.Y.; Lee, S.; Mun, J.H. Machine learning approach to predict center of pressure trajectories in a complete gait cycle: A feedforward neural network vs. LSTM network. Med. Biol. Eng. Comput. 2019, 57, 2693–2703. [Google Scholar] [CrossRef]
- Choi, Y.; Park, D.-H.; Lee, S.; Han, I.; Akan, E.; Jeon, H.-C.; Luo, Y.; Kim, S.; Matusik, W.; Rus, D.; et al. Seamless-walk: Natural and comfortable virtual reality locomotion method with a high-resolution tactile sensor. Virtual Real. 2023, 27, 1431–1445. [Google Scholar] [CrossRef]
- Dominguez-Gimeno, S.; Medrano, C.; Igual, R.; Plaza, I. Optimized Creep-Hysteresis Model to Improve Center-of-Pressure Detection in Pressure Sensitive Mats. IEEE Sens. J. 2025, 25, 15295–15306. [Google Scholar] [CrossRef]
- Baik, J.; Park, S.; Choi, Y.; Kim, K.-J.; Lee, H. The Measurement Algorithm of the Center of Pressure based on the Tactile sensor. In Proceedings of the 2024 International Workshop on Intelligent Systems (IWIS), Ulsan, Republic of Korea, 28–30 August 2024; pp. 1–4. [Google Scholar]
- Podobnik, J.; Kraljić, D.; Zadravec, M.; Munih, M. Centre of pressure estimation during walking using only inertial-measurement units and end-to-end statistical modelling. Sensors 2020, 20, 6136. [Google Scholar] [CrossRef]
- Feng, R.; Ugbolue, U.C.; Yang, C.; Liu, H. Estimation of Three-Dimensional Ground Reaction Force and Center of Pressure During Walking Using a Machine-Learning-Based Markerless Motion Capture System. Bioengineering 2025, 12, 588. [Google Scholar] [CrossRef]
- Lugaresi, C.; Tang, J.; Nash, H.; McClanahan, C.; Uboweja, E.; Hays, M.; Zhang, F.; Chang, C.-L.; Yong, M.G.; Lee, J. Mediapipe: A framework for building perception pipelines. arXiv 2019, arXiv:1906.08172. [Google Scholar] [CrossRef]
- Luo, Y.; Li, Y.; Foshey, M.; Shou, W.; Sharma, P.; Palacios, T.; Torralba, A.; Matusik, W. Intelligent carpet: Inferring 3d human pose from tactile signals. In Proceedings of the IEEE/CVF Conference on Computer Vision and Pattern Recognition, Nashville, TN, USA, 20–25 June 2021; pp. 11255–11265. [Google Scholar]
- Paredes-Madrid, L.; Fonseca, J.; Matute, A.; Gutiérrez Velásquez, E.I.; Palacio, C.A. Self-compensated driving circuit for reducing drift and hysteresis in force sensing resistors. Electronics 2018, 7, 146. [Google Scholar] [CrossRef]
- Dill, S.; Ahmadi, A.; Grimmer, M.; Haufe, D.; Rohr, M.; Zhao, Y.; Sharbafi, M.; Antink, C.H. Accuracy Evaluation of 3D Pose Reconstruction Algorithms Through Stereo Camera Information Fusion for Physical Exercises with MediaPipe Pose. Sensors 2024, 24, 7772. [Google Scholar] [CrossRef]
- Park, S.; Baik, J.; Choi, Y.; Kim, K.-J.; Lee, H. Development of Gait Analysis System Based on the Tactile Sensor and the RGB Camera. In Proceedings of the 2024 24th International Conference on Control, Automation and Systems (ICCAS), Jeju, Republic of Korea, 29 October–1 November 2024; pp. 1182–1185. [Google Scholar]
- Lee, H.; Eizad, A.; Park, J.; Kim, Y.; Hwang, S.; Oh, M.-K.; Yoon, J. Development of a novel 2-dimensional neck haptic device for gait balance training. IEEE Robot. Autom. Lett. 2022, 7, 2511–2518. [Google Scholar] [CrossRef]
- Lepot, M.; Aubin, J.-B.; Clemens, F.H. Interpolation in time series: An introductive overview of existing methods, their performance criteria and uncertainty assessment. Water 2017, 9, 796. [Google Scholar] [CrossRef]
- Alonso, A.C.; Luna, N.M.S.; Mochizuki, L.; Barbieri, F.; Santos, S.; Greve, J.M.D.A. The influence of anthropometric factors on postural balance: The relationship between body composition and posturographic measurements in young adults. Clinics 2012, 67, 1433–1441. [Google Scholar] [CrossRef]
- Lilhore, U.K.; Sharma, Y.K.; Shukla, B.K.; Vadlamudi, M.N.; Simaiya, S.; Alroobaea, R.; Alsafyani, M.; Baqasah, A.M. Hybrid convolutional neural network and bi-LSTM model with EfficientNet-B0 for high-accuracy breast cancer detection and classification. Sci. Rep. 2025, 15, 12082. [Google Scholar] [CrossRef]
- Amini, A.; Kalantari, R. Gold price prediction by a CNN-Bi-LSTM model along with automatic parameter tuning. PLoS ONE 2024, 19, e0298426. [Google Scholar] [CrossRef]
- Gao, G.; Wang, C.; Wang, J.; Lv, Y.; Li, Q.; Ma, Y.; Zhang, X.; Li, Z.; Chen, G. CNN-Bi-LSTM: A complex environment-oriented cattle behavior classification network based on the fusion of CNN and Bi-LSTM. Sensors 2023, 23, 7714. [Google Scholar] [CrossRef]
- He, K.; Zhang, X.; Ren, S.; Sun, J. Deep residual learning for image recognition. In Proceedings of the IEEE Conference on Computer Vision and Pattern Recognition, Las Vegas, NV, USA, 27–30 June 2016; pp. 770–778. [Google Scholar]
- Li, Y.; Wang, L. Human activity recognition based on residual network and BiLSTM. Sensors 2022, 22, 635. [Google Scholar] [CrossRef]
- Hamayel, M.J.; Owda, A.Y. A novel cryptocurrency price prediction model using GRU, LSTM and bi-LSTM machine learning algorithms. AI 2021, 2, 477–496. [Google Scholar] [CrossRef]
- Moon, J.; Lee, D.; Jung, H.; Choi, A.; Mun, J.H. Machine learning strategies for low-cost insole-based prediction of center of gravity during gait in healthy males. Sensors 2022, 22, 3499. [Google Scholar] [CrossRef]
- Mahardika, T.N.Q.; Fuadah, Y.N.; Jeong, D.U.; Lim, K.M. PPG signals-based blood-pressure estimation using grid search in hyperparameter optimization of CNN–LSTM. Diagnostics 2023, 13, 2566. [Google Scholar] [CrossRef]
- Priyadarshini, I.; Cotton, C. A novel LSTM–CNN–grid search-based deep neural network for sentiment analysis. J. Supercomput. 2021, 77, 13911–13932. [Google Scholar] [CrossRef]
- Mevlevioğlu, D.; Tabirca, S.; Murphy, D. Real-time classification of anxiety in virtual reality therapy using biosensors and a convolutional neural network. Biosensors 2024, 14, 131. [Google Scholar] [CrossRef]
- Joo, B.; Marquez, J.L.; Osmotherly, P.G. Ten-second tandem stance test: A potential tool to assist walking aid prescription and falls risk in balance impaired individuals. Arch. Rehabil. Res. Clin. Transl. 2022, 4, 100173. [Google Scholar] [CrossRef]
- Labanca, L.; Ghislieri, M.; Knaflitz, M.; Barone, G.; Bragonzoni, L.; Agostini, V.; Benedetti, M.G. Muscle synergies for the control of single-limb stance with and without visual information in young individuals. BMC Sports Sci. Med. Rehabil. 2021, 13, 163. [Google Scholar] [CrossRef]
- Yu, W.-H.; Chen, K.-L.; Huang, S.-L.; Lu, W.-S.; Lee, S.-C.; Hsieh, C.-L. Intrarater and interrater reliability of the hierarchical balance short forms in patients with stroke. Arch. Phys. Med. Rehabil. 2016, 97, 2137–2145.e2. [Google Scholar] [CrossRef]
- Mengarelli, A.; Verdini, F.; Cardarelli, S.; Di Nardo, F.; Burattini, L.; Fioretti, S. Balance assessment during squatting exercise: A comparison between laboratory grade force plate and a commercial, low-cost device. J. Biomech. 2018, 71, 264–270. [Google Scholar] [CrossRef]
- Goetschius, J.; Feger, M.A.; Hertel, J.; Hart, J.M. Validating center-of-pressure balance measurements using the MatScan® pressure mat. J. Sport Rehabil. 2018, 27. [Google Scholar] [CrossRef] [PubMed]
- Schröder, J.; Hallemans, A.; Saeys, W.; Yperzeele, L.; Kwakkel, G.; Truijen, S. Is a portable pressure plate an alternative to force plates for measuring postural stability and interlimb coordination of quiet standing balance control? J. Rehabil. Assist. Technol. Eng. 2024, 11, 20556683241234858. [Google Scholar] [CrossRef] [PubMed]
- Lim, D.; Pei, W.; Lee, J.W.; Musselman, K.E.; Masani, K. Feasibility of using a depth camera or pressure mat for visual feedback balance training with functional electrical stimulation. Biomed. Eng. Online 2024, 23, 19. [Google Scholar] [CrossRef]
- Lee, M.; Park, S. Estimation of three-dimensional lower limb kinetics data during walking using machine learning from a single IMU attached to the sacrum. Sensors 2020, 20, 6277. [Google Scholar] [CrossRef] [PubMed]
- Frostig, R.; Johnson, M.J.; Leary, C. Compiling machine learning programs via high-level tracing. In Proceedings of the SysML Conference 2018, Stanford, CA, USA, 15–16 February 2018. [Google Scholar]
- Luo, Y.; Liu, C.; Lee, Y.J.; DelPreto, J.; Wu, K.; Foshey, M.; Rus, D.; Palacios, T.; Li, Y.; Torralba, A.; et al. Adaptive tactile interaction transfer via digitally embroidered smart gloves. Nat. Commun. 2024, 15, 868. [Google Scholar] [CrossRef]
- Luo, Y.; Li, Y.; Sharma, P.; Shou, W.; Wu, K.; Foshey, M.; Li, B.; Palacios, T.; Torralba, A.; Matusik, W. Learning human–environment interactions using conformal tactile textiles. Nat. Electron. 2021, 4, 193–201. [Google Scholar] [CrossRef]
- Choi, Y.; Hwang, S.; Moon, J.; Lee, H.; Yeo, D.; Seong, M.; Luo, Y.; Kim, S.; Matusik, W.; Rus, D.; et al. Adaptive Walker: User Intention and Terrain Aware Intelligent Walker with High-Resolution Tactile and IMU Sensor. In Proceedings of the 2025 IEEE International Conference on Robotics and Automation (ICRA), Atlanta, GA, USA, 19–23 May 2025; pp. 734–740. [Google Scholar]

| Subjects’ Characteristics | Tactile Sensor | RGB Camera-Based 3D Pose | Experimental Settings 7 | ||
|---|---|---|---|---|---|
| PI 1 | BIA 2 | MA 3 | |||
| Gender | Weight | Height | Tactile data | Hip joint angular data (A 4/AV 5/AA 6) | Protocol ID |
| Age | Skeletal muscle mass | Upper-body length | Tactile WMA CoP | Knee joint angular data (A 4/AV 5/AA 6) | Tactile sensor width |
| Muscle mass | Lower-body length | Ankle joint angular data (A 4/AV 5/AA 6) | Tactile sensor length | ||
| Lean mass | Upper-limb length | ||||
| Body fat mass | Lower-limb length | ||||
| Waist circumference | |||||
| Hip circumference | |||||
| Waist-hip ratio | |||||
| Study | Form Factor | Model | RMSE (mm) | Advantages | Limitations | |
|---|---|---|---|---|---|---|
| ML | AP | |||||
| Lee et al. [50] | IMU | ANN | 19.5 | 8.2 | A single sensor and a simple structure | Differences between ML and AP |
| Podobnik et al. [23] | IMU | LSTM | 9.0 | 14.9 | Use only statistical models | Model-specific optimal sensor placement |
| Choi et al. [19] | Insole | LSTM | 12.4 | 37.2 | CoP trajectory estimation in an integrated coordinate system | Differences between ML and AP |
| Duong et al. [18] | FSR Insole + IMU | Bi-LSTM | 5.1 | 14.4 | High performance based on multi-sensor | Requires size-matched insoles Differences between ML and AP |
Disclaimer/Publisher’s Note: The statements, opinions and data contained in all publications are solely those of the individual author(s) and contributor(s) and not of MDPI and/or the editor(s). MDPI and/or the editor(s) disclaim responsibility for any injury to people or property resulting from any ideas, methods, instructions or products referred to in the content. |
© 2026 by the authors. Licensee MDPI, Basel, Switzerland. This article is an open access article distributed under the terms and conditions of the Creative Commons Attribution (CC BY) license.
Share and Cite
Baik, J.; Choi, Y.; Kim, K.-J.; Park, Y.J.; Lee, H. Tactile Sensor-Based Body Center of Pressure Estimation System Using Supervised Deep Learning Models. Sensors 2026, 26, 286. https://doi.org/10.3390/s26010286
Baik J, Choi Y, Kim K-J, Park YJ, Lee H. Tactile Sensor-Based Body Center of Pressure Estimation System Using Supervised Deep Learning Models. Sensors. 2026; 26(1):286. https://doi.org/10.3390/s26010286
Chicago/Turabian StyleBaik, Jaehyeon, Yunho Choi, Kyung-Joong Kim, Young Jin Park, and Hosu Lee. 2026. "Tactile Sensor-Based Body Center of Pressure Estimation System Using Supervised Deep Learning Models" Sensors 26, no. 1: 286. https://doi.org/10.3390/s26010286
APA StyleBaik, J., Choi, Y., Kim, K.-J., Park, Y. J., & Lee, H. (2026). Tactile Sensor-Based Body Center of Pressure Estimation System Using Supervised Deep Learning Models. Sensors, 26(1), 286. https://doi.org/10.3390/s26010286

