Optimization of Poly(l-Amino Acids)-Based Platforms for Sensing and Biosensing: A Cyclic Voltammetry Study
Abstract
1. Introduction
2. Materials and Methods
2.1. Chemicals
- -
- Polymerization buffer: 0.1 M phosphate buffer pH 6.0, containing 0.1 M NaCl (PBS). The buffer was prepared by mixing a 0.1 M Na2HPO4 solution with a 0.1 M NaH2PO4 solution, each one containing 0.1 M NaCl, until the desired pH was reached.
- -
- Detection buffer: 0.1 M diethanolamine buffer pH 9.6, containing 0.1 M KCl and 1 mM MgCl2 (DEA). The buffer was prepared by adding 2 M HCl to a 0.1 M DEA solution, containing 0.1 M KCl and 2 mM MgCl2, until the desired pH was reached.
2.2. Apparatus
2.3. Development of the Nanocomposite Electrochemical Platforms
2.3.1. Electropolymerization of l-Amino Acids
2.3.2. Electrodeposition of Gold Nanoparticles
2.4. Electrochemical Characterization of the Nanocomposite Platforms
2.5. 1-Naphthol Electrochemical Detection
3. Results and Discussion
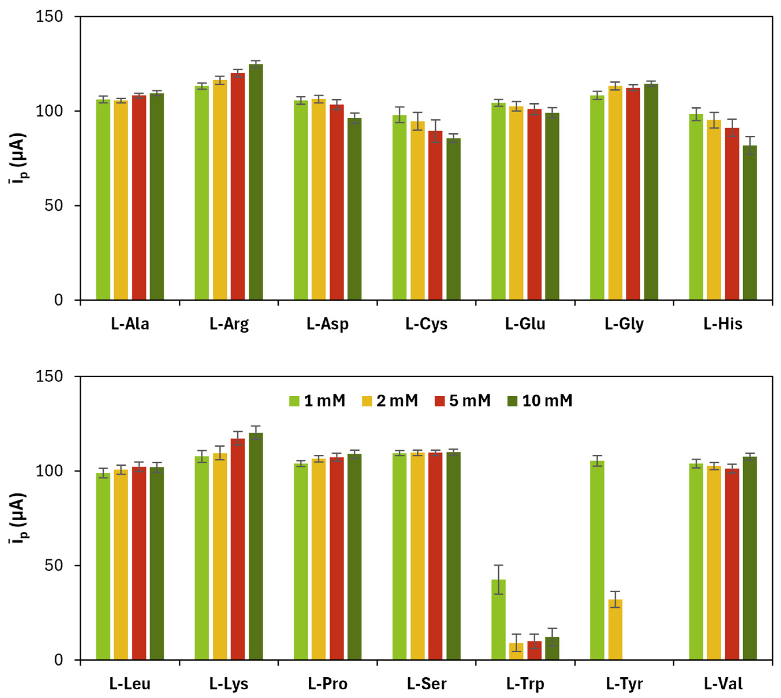
3.1. Optimization of Amino Acids Electropolymerization
3.2. Optimization of Gold Nanoparticles Electrodeposition
3.3. Calculation of the Electroactive Surface Area
3.4. Morphological Characterization
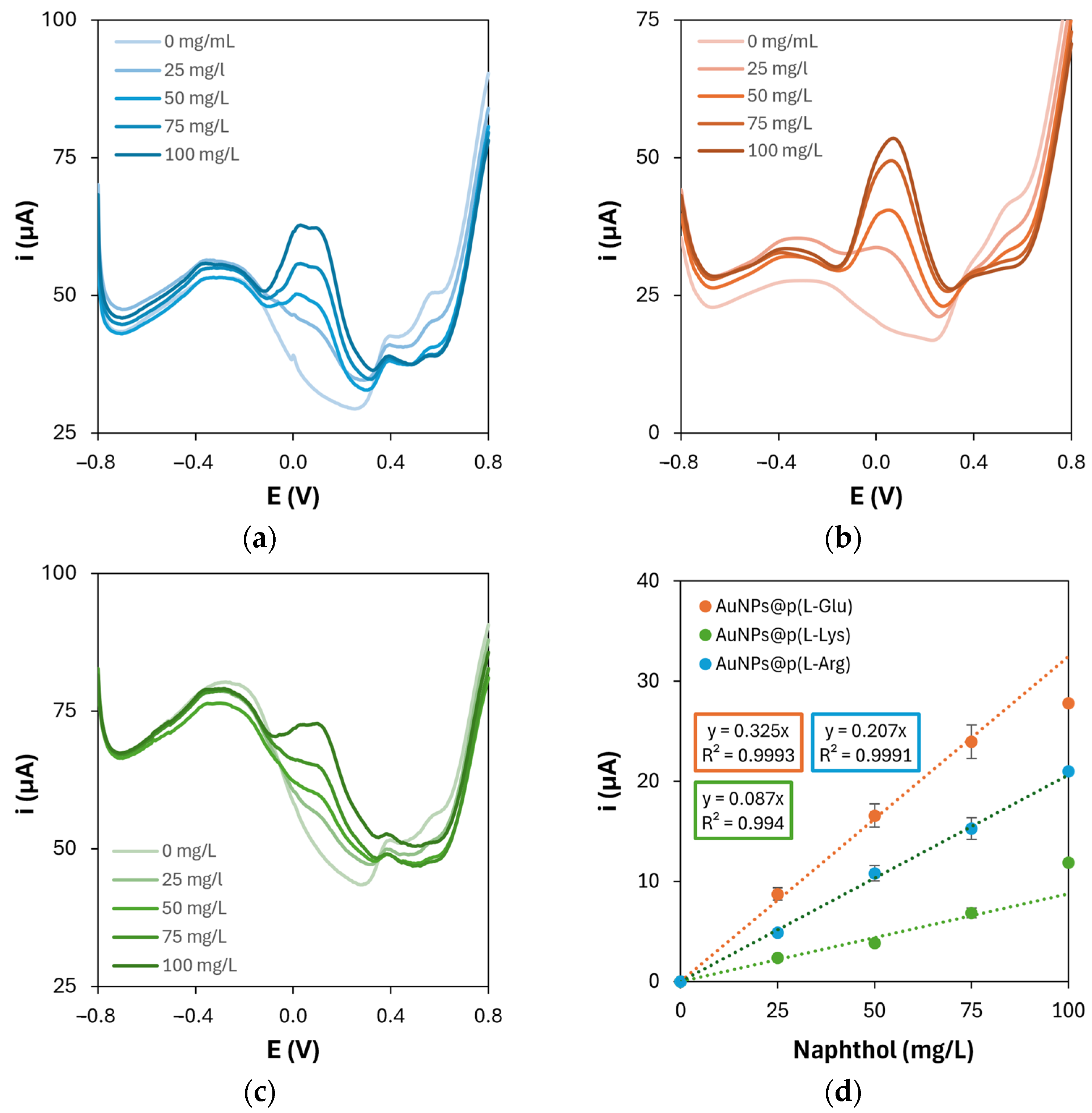
3.5. Electrochemical Performance of the Platforms Towards 1-Naphthol Oxidation
4. Conclusions
Author Contributions
Funding
Institutional Review Board Statement
Informed Consent Statement
Data Availability Statement
Conflicts of Interest
References
- Gohil, S.V.; Suhail, S.; Rose, J.; Vella, T.; Nair, L.S. Polymers and Composites for Orthopedic Applications. In Materials for Bone Disorders; Academic Press: Cambridge, MA, USA, 2017; pp. 349–403. [Google Scholar] [CrossRef]
- Zhang, X.; Peng, X.; Zhang, S.W. Biodegradable medical polymers: Fundamental sciences. In Science and Principles of Biodegradable and Bioresorbable Medical Polymers; Woodhead Publishing: Sawston, UK, 2017; pp. 1–33. [Google Scholar] [CrossRef]
- Gaspar, V.M.; Moreira, A.F.; de Melo-Diogo, D.; Costa, E.C.; Queiroz, J.A.; Sousa, F.; Pichon, C.; Correia, I.J. Multifunctional nanocarriers for codelivery of nucleic acids and chemotherapeutics to cancer cells. In Nanobiomaterials in Medical Imaging; William Andrew: Norwich, NY, USA, 2016; pp. 163–207. [Google Scholar] [CrossRef]
- Ma, Y.; Wei, X.; Xu, J.; Ji, S.; Yang, F.; Zeng, A.; Li, Y.; Cao, J.; Zhang, J.; Luo, Z.; et al. Development of double-layer poly (amino acid) modified electrochemical sensor for sensitive and direct detection of betamethasone in cosmetics. Talanta 2024, 273, 125855. [Google Scholar] [CrossRef]
- Al-Mhyawi, S.R.; Abdel-Hamied Abdel-Tawab, M.; El Nashar, R.M. A novel electrochemical hybrid platform for sensitive determination of the aminoglycoside antibiotic Kasugamycin residues in vegetables. Food Chem. 2023, 411, 135506. [Google Scholar] [CrossRef]
- Bolat, G.; Yaman, Y.T.; Abacı, S.; Seyyar, S. Poly-arginine/graphene oxide functionalized disposable sensor for monitoring fenitrothion pesticide residues in water and cucumber samples. Mater. Today Chem. 2023, 30, 101517. [Google Scholar] [CrossRef]
- Kordasht, H.K.; Hasanzadeh, M.; Seidi, F.; Alizadeh, P.M. Poly (amino acids) towards sensing: Recent progress and challenges. TrAC Trends Anal. Chem. 2021, 140, 116279. [Google Scholar] [CrossRef]
- Yuan, H.; Jiang, M.; Fang, H.; Tian, H. Recent advances in poly(amino acids), polypeptides, and their derivatives in drug delivery. Nanoscale 2025, 17, 3549–3584. [Google Scholar] [CrossRef] [PubMed]
- Campbell, F.W.; Compton, R.G. The use of nanoparticles in electroanalysis: An updated review. Anal. Bioanal. Chem. 2010, 396, 241–259. [Google Scholar] [CrossRef] [PubMed]
- Takahashi, Y.; Tatsuma, T. Electrodeposition of thermally stable gold and silver nanoparticle ensembles through a thin alumina nanomask. Nanoscale 2010, 2, 1494. [Google Scholar] [CrossRef] [PubMed]
- Chen, X.; Yi, Z.; Peng, G.; Yuan, Z.; Wang, R.; Li, Y. In-situ deposition of gold nanoparticles on screen-printed carbon electrode for rapid determination of Hg2+ in water samples. Int. J. Electrochem. Sci. 2024, 19, 100544. [Google Scholar] [CrossRef]
- Hezard, T.; Fajerwerg, K.; Evrard, D.; Collière, V.; Behra, P.; Gros, P. Influence of the gold nanoparticles electrodeposition method on Hg(II) trace electrochemical detection. Electrochim. Acta 2012, 73, 15–22. [Google Scholar] [CrossRef]
- Freestone, I.; Meeks, N.; Sax, M.; Higgitt, C. The Lycurgus Cup—A Roman nanotechnology. Gold Bull. 2007, 40, 270–277. [Google Scholar] [CrossRef]
- Arduini, F.; Micheli, L.; Moscone, D.; Palleschi, G.; Piermarini, S.; Ricci, F.; Volpe, G. Electrochemical biosensors based on nanomodified screen-printed electrodes: Recent applications in clinical analysis. Trends Anal. Chem. 2016, 79, 114–126. [Google Scholar] [CrossRef]
- Sassolas, A.; Prieto-Simón, B.; Marty, J.-L. Biosensors for Pesticide Detection: New Trends. Am. J. Anal. Chem. 2012, 03, 210–232. [Google Scholar] [CrossRef]
- Saberi, R.-S.; Shahrokhian, S.; Marrazza, G. Amplified Electrochemical DNA Sensor Based on Polyaniline Film and Gold Nanoparticles. Electroanalysis 2013, 25, 1373–1380. [Google Scholar] [CrossRef]
- Choi, E.J.; Drago, N.P.; Humphrey, N.J.; Van Houten, J.; Ahn, J.; Lee, J.; Kim, I.D.; Ogata, A.F.; Penner, R.M. Electrodeposition-enabled, electrically-transduced sensors and biosensors. Mater. Today 2023, 62, 129–150. [Google Scholar] [CrossRef]
- Amor-Gutiérrez, O.; Selvolini, G.; Fernández-Abedul, M.T.; de la Escosura-Muñiz, A.; Marrazza, G. Folding-based electrochemical aptasensor for the determination of β-lactoglobulin on poly-l-lysine modified graphite electrodes. Sensors 2020, 20, 2349. [Google Scholar] [CrossRef] [PubMed]
- Elgrishi, N.; Rountree, K.J.; McCarthy, B.D.; Rountree, E.S.; Eisenhart, T.T.; Dempsey, J.L. A Practical Beginner’s Guide to Cyclic Voltammetry. J. Chem. Educ. 2018, 95, 197–206. [Google Scholar] [CrossRef]
- Konopka, S.J.; McDuffie, B. Diffusion coefficients of ferri- and ferrocyanide ions in aqueous media, using twin-electrode thin-layer electrochemistry. Anal. Chem. 1970, 42, 1741–1746. [Google Scholar] [CrossRef]
- Sakaguchi, S. Über eine neue farbenreaktion von protein und arginin. J. Biochem. 1925, 5, 25–31. [Google Scholar] [CrossRef]
- Pérez-Ruiz, R.; Molins-Molina, O.; Lence, E.; González-Bello, C.; Miranda, M.A.; Jiménez, M.C. Photogeneration of Quinone Methides as Latent Electrophiles for Lysine Targeting. J. Org. Chem. 2018, 83, 13019–13029. [Google Scholar] [CrossRef]
- Zhu, G.; Gai, P.; Yang, Y.; Zhang, X.; Chen, J. Electrochemical sensor for naphthols based on gold nanoparticles/hollow nitrogen-doped carbon microsphere hybrids functionalized with SH-β-cyclodextrin. Anal. Chim. Acta 2012, 723, 33–38. [Google Scholar] [CrossRef]
- Huang, X.; Zhao, G.; Liu, M.; Li, F.; Qiao, J.; Zhao, S. Highly sensitive electrochemical determination of 1-naphthol based on high-index facet SnO2 modified electrode. Electrochim. Acta 2012, 83, 478–484. [Google Scholar] [CrossRef]
- Liu, Z.; Wang, Y.; Tan, C. Determination of 1-Naphthol Concentration on Electrode Modified with Electrochemically Polymerized β-Cyclodextrin Film. Sens. Mater. 2020, 32, 3273–3281. [Google Scholar] [CrossRef]
- Seyedi, S.H.; Shahidi, S.A.; Chekin, F.; Ghorbani-HasanSaraei, A.; Limooei, M.B. Simultaneous Determination of 1-Naphthol and 2-Naphthol in Waters by Electrochemical Sensor Based on Magnetite Porous Reduced Graphene Oxide/Carbon Nanotube Hybrid. Russ. J. Electrochem. 2024, 59, 1138–1150. [Google Scholar] [CrossRef]
- Shi, J.; Shen, W.; Wang, X.; Li, M.; Zhang, Y.; Xu, P.; Li, X. Simultaneous Detection of Naphthol Isomers with a 3D-Graphene-Nanostructure-Based Electrochemical Microsensor. Chemosens 2023, 11, 217. [Google Scholar] [CrossRef]








| |ip,a/ip,c| | ΔEp (mV) | |||||||
|---|---|---|---|---|---|---|---|---|
| [l-AA] (mM) | 1 | 2 | 5 | 10 | 1 | 2 | 5 | 10 |
| l-Ala | 0.98 | 0.98 | 0.98 | 0.98 | 260 | 255 | 260 | 250 |
| l-Arg | 0.98 | 0.98 | 0.98 | 0.98 | 235 | 225 | 235 | 225 |
| l-Asp | 0.97 | 0.97 | 0.97 | 0.96 | 225 | 225 | 230 | 240 |
| l-Cys | 0.94 | 0.93 | 0.91 | 0.96 | 195 | 200 | 200 | 220 |
| l-Glu | 0.98 | 0.97 | 0.96 | 0.96 | 230 | 230 | 235 | 255 |
| l-Gly | 0.97 | 0.97 | 0.98 | 0.98 | 220 | 225 | 220 | 215 |
| l-His | 0.95 | 0.94 | 0.93 | 0.92 | 215 | 215 | 210 | 195 |
| l-Leu | 0.96 | 0.97 | 0.97 | 0.96 | 250 | 240 | 245 | 240 |
| l-Lys | 0.96 | 0.95 | 0.96 | 0.96 | 205 | 205 | 200 | 185 |
| l-Pro | 0.98 | 0.98 | 0.97 | 0.97 | 260 | 250 | 240 | 230 |
| l-Ser | 0.98 | 0.98 | 0.98 | 0.98 | 235 | 235 | 230 | 235 |
| l-Trp | 0.77 | 0.47 | 0.58 | 0.56 | 205 | 85 | 70 | 70 |
| l-Tyr * | 0.96 | 1.21 | - | - | 205 | 490 | - | - |
| l-Val | 0.97 | 0.97 | 0.97 | 0.98 | 220 | 230 | 220 | 215 |
| |ip,a/ip,c| | ΔEp (mV) | |||||||
|---|---|---|---|---|---|---|---|---|
| CV Cycles | 5 | 10 | 15 | 20 | 5 | 10 | 15 | 20 |
| l-Ala (10 mM) | 0.98 | 0.98 | 0.98 | 0.96 | 235 | 250 | 265 | 280 |
| l-Arg (10 mM) | 0.97 | 0.98 | 0.98 | 0.98 | 215 | 225 | 245 | 260 |
| l-Asp (2 mM) | 0.99 | 0.97 | 0.96 | 0.93 | 240 | 225 | 250 | 270 |
| l-Cys (1 mM) | 0.96 | 0.94 | 0.97 | 0.96 | 210 | 195 | 210 | 220 |
| l-Glu (1 mM) | 0.98 | 0.98 | 0.92 | 0.91 | 220 | 230 | 250 | 275 |
| l-Gly (10 mM) | 0.98 | 0.98 | 0.97 | 0.94 | 205 | 215 | 230 | 265 |
| l-His (1 mM) | 0.97 | 0.95 | 0.95 | 0.92 | 215 | 215 | 225 | 230 |
| l-Leu (5 mM) | 0.98 | 0.97 | 0.96 | 0.93 | 225 | 245 | 250 | 275 |
| l-Lys (10 mM) | 0.95 | 0.96 | 0.97 | 0.97 | 195 | 185 | 200 | 215 |
| l-Pro (10 mM) | 0.96 | 0.97 | 0.96 | 0.96 | 225 | 230 | 240 | 270 |
| l-Ser (10 mM) | 0.97 | 0.98 | 0.98 | 0.98 | 235 | 235 | 250 | 255 |
| l-Trp (1 mM) | 0.83 | 0.77 | 0.76 | 0.70 | 240 | 205 | 200 | 205 |
| l-Tyr (1 mM) | 0.98 | 0.96 | 0.94 | 0.91 | 205 | 205 | 230 | 265 |
| l-Val (10 mM) | 0.97 | 0.98 | 0.96 | 0.95 | 215 | 215 | 220 | 235 |
| [l-AA] (mM) | CV Cycles | |
|---|---|---|
| l-Ala | 10 | 10 |
| l-Arg | 10 | 10 |
| l-Asp | 2 | 5 |
| l-Cys | 1 | 20 |
| l-Glu | 1 | 5 |
| l-Gly | 10 | 5 |
| l-His | 1 | 5 |
| l-Leu | 5 | 5 |
| l-Lys | 10 | 15 |
| l-Pro | 10 | 5 |
| l-Ser | 10 | 20 |
| l-Trp | 1 | 5 |
| l-Tyr | 1 | 5 |
| l-Val | 10 | 10 |
| |ip,a/ip,c| | ΔEp (mV) | |||||||
|---|---|---|---|---|---|---|---|---|
| [HAuCl4] (mM) | 0.1 | 0.2 | 0.5 | 1 | 0.1 | 0.2 | 0.5 | 1 |
| l-Ala (10 mM) | 0.99 | 0.99 | 1.00 | 1.00 | 235 | 235 | 235 | 235 |
| l-Arg (10 mM) | 0.97 | 0.97 | 0.97 | 0.97 | 220 | 210 | 210 | 210 |
| l-Asp (2 mM) | 0.98 | 0.98 | 0.98 | 1.00 | 210 | 210 | 205 | 215 |
| l-Cys (1 mM) | 0.96 | 0.97 | 0.98 | 0.99 | 225 | 235 | 230 | 225 |
| l-Glu (1 mM) | 0.97 | 0.98 | 0.98 | 0.99 | 210 | 215 | 215 | 220 |
| l-Gly (10 mM) | 0.99 | 0.99 | 0.99 | 1.00 | 215 | 220 | 215 | 220 |
| l-His (1 mM) | 0.98 | 0.99 | 1.00 | 1.01 | 210 | 210 | 220 | 225 |
| l-Leu (5 mM) | 0.97 | 0.98 | 0.99 | 0.99 | 245 | 245 | 230 | 230 |
| l-Lys (10 mM) | 0.96 | 0.96 | 0.95 | 0.96 | 220 | 225 | 220 | 245 |
| l-Pro (10 mM) | 0.97 | 0.99 | 1.00 | 1.00 | 240 | 240 | 225 | 230 |
| l-Ser (10 mM) | 0.96 | 0.97 | 1.00 | 0.98 | 235 | 235 | 230 | 245 |
| l-Trp (1 mM) | 0.91 | 0.96 | 1.03 | 1.09 | 270 | 260 | 290 | 270 |
| l-Tyr (1 mM) | 0.97 | 0.99 | 0.99 | 0.98 | 235 | 235 | 235 | 235 |
| l-Val (10 mM) | 0.99 | 1.00 | 1.00 | 1.01 | 225 | 230 | 235 | 235 |
| |ip,a/ip,c| | ΔEp (mV) | ||||||||
|---|---|---|---|---|---|---|---|---|---|
| CV Cycles | 5 | 10 | 15 | 20 | 5 | 10 | 15 | 20 | |
| l-Ala (10 mM) | HAuCl4 (1 mM) | 1.00 | 1.00 | 1.00 | 1.00 | 235 | 235 | 235 | 230 |
| l-Arg (10 mM) | HAuCl4 (1 mM) | 0.97 | 0.98 | 0.97 | 1.00 | 205 | 210 | 210 | 210 |
| l-Asp (2 mM) | HAuCl4 (0.5 mM) | 0.99 | 0.99 | 0.98 | 1.01 | 215 | 210 | 205 | 210 |
| l-Cys (1 mM) | HAuCl4 (1 mM) | 0.99 | 0.99 | 0.99 | 1.01 | 230 | 230 | 225 | 245 |
| l-Glu (1 mM) | HAuCl4 (1 mM) | 0.99 | 0.99 | 0.99 | 0.99 | 215 | 215 | 220 | 225 |
| l-Gly (10 mM) | HAuCl4 (1 mM) | 1.00 | 1.01 | 1.00 | 1.00 | 215 | 220 | 220 | 210 |
| l-His (1 mM) | HAuCl4 (0.1 mM) | 0.98 | 0.98 | 0.98 | 0.99 | 220 | 225 | 210 | 230 |
| l-Leu (5 mM) | HAuCl4 (1 mM) | 0.99 | 0.99 | 0.99 | 1.01 | 230 | 220 | 230 | 235 |
| l-Lys (10 mM) | HAuCl4 (0.5 mM) | 0.96 | 0.96 | 0.95 | 0.96 | 215 | 220 | 220 | 235 |
| l-Pro (10 mM) | HAuCl4 (1 mM) | 1.00 | 1.00 | 1.00 | 1.00 | 230 | 225 | 230 | 225 |
| l-Ser (10 mM) | HAuCl4 (1 mM) | 0.99 | 1.01 | 0.98 | 1.00 | 240 | 240 | 245 | 255 |
| l-Trp (1 mM) | HAuCl4 (1 mM) | 1.12 | 1.08 | 1.09 | 1.04 | 300 | 270 | 270 | 270 |
| l-Tyr (1 mM) | HAuCl4 (1 mM) | 1.00 | 1.00 | 0.98 | 0.99 | 240 | 220 | 235 | 220 |
| l-Val (10 mM) | HAuCl4 (1 mM) | 1.01 | 1.01 | 1.01 | 1.01 | 230 | 230 | 235 | 225 |
| [HAuCl4] (mM) | CV Cycles | |
|---|---|---|
| l-Ala | 1 | 10 |
| l-Arg | 1 | 20 |
| l-Asp | 0.5 | 10 |
| l-Cys | 1 | 10 |
| l-Glu | 1 | 20 |
| l-Gly | 1 | 15 |
| l-His | 0.1 | 15 |
| l-Leu | 1 | 10 |
| l-Lys | 0.5 | 20 |
| l-Pro | 1 | 15 |
| l-Ser | 1 | 10 |
| l-Trp | 1 | 20 |
| l-Tyr | 1 | 20 |
| l-Val | 1 | 20 |
| Aanodic (mm2) | Acathodic (mm2) | Aaverage (mm2) | SD (mm2) | %RSD (%) | |
|---|---|---|---|---|---|
| l-Ala | 9.1 | 8.5 | 8.8 | 0.4 | 4.7 |
| l-Arg | 9.8 | 10.1 | 10.0 | 0.2 | 2.1 |
| l-Asp | 8.6 | 8.5 | 8.5 | 0.1 | 1.0 |
| l-Cys | 8.9 | 8.6 | 8.8 | 0.2 | 2.2 |
| l-Glu | 9.8 | 9.0 | 9.4 | 0.5 | 5.6 |
| l-Gly | 8.7 | 8.4 | 8.6 | 0.2 | 2.5 |
| l-His | 7.8 | 7.8 | 7.8 | <0.1 | 0.2 |
| l-Leu | 8.6 | 8.4 | 8.5 | 0.2 | 2.1 |
| l-Lys | 9.4 | 9.7 | 9.5 | 0.3 | 2.6 |
| l-Pro | 8.7 | 8.7 | 8.7 | <0.1 | 0.1 |
| l-Ser | 8.1 | 8.1 | 8.1 | <0.1 | 0.1 |
| l-Trp | 4.8 | 3.6 | 4.2 | 0.9 | 20.7 |
| l-Tyr | 9.1 | 8.5 | 8.8 | 0.5 | 5.1 |
| l-Val | 8.8 | 8.3 | 8.5 | 0.3 | 4.0 |
| Sensitivity (mA·L/g) | ||||
|---|---|---|---|---|
| [l-AA] (mM) | 1 | 2 | 5 | 10 |
| l-Arg | 0.180 | 0.193 | 0.199 | 0.207 |
| l-Glu | 0.323 | 0.317 | 0.312 | 0.306 |
| l-Lys | 0.076 | 0.077 | 0.082 | 0.084 |
| CV cycles | 5 | 10 | 15 | 20 |
| l-Arg (10 mM) | 0.185 | 0.207 | 0.192 | 0.184 |
| l-Glu (1 mM) | 0.325 | 0.323 | 0.303 | 0.290 |
| l-Lys (10 mM) | 0.079 | 0.084 | 0.087 | 0.087 |
Disclaimer/Publisher’s Note: The statements, opinions and data contained in all publications are solely those of the individual author(s) and contributor(s) and not of MDPI and/or the editor(s). MDPI and/or the editor(s) disclaim responsibility for any injury to people or property resulting from any ideas, methods, instructions or products referred to in the content. |
© 2025 by the authors. Licensee MDPI, Basel, Switzerland. This article is an open access article distributed under the terms and conditions of the Creative Commons Attribution (CC BY) license (https://creativecommons.org/licenses/by/4.0/).
Share and Cite
Selvolini, G.; Bellabarba, A.; Scopetani, C.; Viti, C.; Martellini, T.; Cincinelli, A.; Marrazza, G. Optimization of Poly(l-Amino Acids)-Based Platforms for Sensing and Biosensing: A Cyclic Voltammetry Study. Sensors 2025, 25, 7230. https://doi.org/10.3390/s25237230
Selvolini G, Bellabarba A, Scopetani C, Viti C, Martellini T, Cincinelli A, Marrazza G. Optimization of Poly(l-Amino Acids)-Based Platforms for Sensing and Biosensing: A Cyclic Voltammetry Study. Sensors. 2025; 25(23):7230. https://doi.org/10.3390/s25237230
Chicago/Turabian StyleSelvolini, Giulia, Agnese Bellabarba, Costanza Scopetani, Carlo Viti, Tania Martellini, Alessandra Cincinelli, and Giovanna Marrazza. 2025. "Optimization of Poly(l-Amino Acids)-Based Platforms for Sensing and Biosensing: A Cyclic Voltammetry Study" Sensors 25, no. 23: 7230. https://doi.org/10.3390/s25237230
APA StyleSelvolini, G., Bellabarba, A., Scopetani, C., Viti, C., Martellini, T., Cincinelli, A., & Marrazza, G. (2025). Optimization of Poly(l-Amino Acids)-Based Platforms for Sensing and Biosensing: A Cyclic Voltammetry Study. Sensors, 25(23), 7230. https://doi.org/10.3390/s25237230

