Next Article in Journal
Reducing Risks in Petrochemical Plants Through the Integration of Existing and Emerging Gas Leak Detection Technologies
Previous Article in Journal
Self-Attention-Based Deep Learning for Missing Sensor Data Imputation in Real-Time Probe Card Monitoring
 
 
Font Type:
Arial Georgia Verdana
Font Size:
Aa Aa Aa
Line Spacing:
Column Width:
Background:
Article

Hybrid Deployment Optimization Algorithm for Reconfigurable Intelligent Surface

1
The Key Laboratory of Universal Wireless Communications, Ministry of Education, Beijing University of Posts and Telecommunications, Beijing 100876, China
2
The Future Research Laboratory, China Mobile Research Institute, Beijing 100053, China
*
Author to whom correspondence should be addressed.
Sensors 2025, 25(23), 7195; https://doi.org/10.3390/s25237195
Submission received: 21 October 2025 / Revised: 20 November 2025 / Accepted: 22 November 2025 / Published: 25 November 2025
(This article belongs to the Section Communications)

Abstract

As a key 6G candidate technology, reconfigurable intelligent surface (RIS) integrates into sensor-communication systems, supporting positioning and sensing as environmental sensor nodes or anchors. To address efficient RIS deployment under constraints and mitigate wireless communication blind spots, this paper proposes a hybrid optimization algorithm. It decomposes the NP-hard combinatorial optimization problem into two stages: (1) a greedy strategy ensures coverage completeness by allocating one locally optimal RIS to each independent shadow area; (2) a Branch-and-Bound (BnB) algorithm optimizes global deployment to maximize overall signal gain in shadow areas. This decoupling reduces computational complexity for large-scale problems. Simulation results show the algorithm’s superiority: the greedy phase guarantees fair coverage, and the BnB-based global optimization achieves up to 56.85% higher average Signal-to-Interference-plus-Noise Ratio (SINR) gain in shadow areas than random deployment, improving both shadow-area user communication quality and overall network performance.

1. Introduction

In dense urban environments, severe signal attenuation caused by high-rise buildings leads to extensive coverage blind spots [1], known as “shadow areas”, significantly degrading communication quality for non-line-of-sight (NLoS) users [2]. To address this challenge, RIS technology [3]—as a novel wireless environment control technique—has drawn widespread attention from academia and industry in recent years [4].
To maximize the performance gains offered by RIS, optimizing their deployment locations is crucial. Extensive research has been conducted on RIS deployment optimization. Existing studies broadly fall into three categories: some employ heuristic algorithms, such as Deb and Ghosh’s use of a greedy strategy to overcome static obstacles in millimeter-wave direct communication [5], and Lu et al.’s combination of grid partitioning with heuristic optimization to enhance deployment efficiency [6], while Zhang et al. proposed an adaptive neighborhood search RIS deployment method incorporating particle swarm optimization [7] to find suboptimal solutions within reasonable time frames. However, such methods cannot guarantee optimality. Another category relaxes discrete position variables into continuous ones and applies convex optimization techniques like alternating optimization, such as the joint active-passive beamforming alternating optimization method [8]. In single-base-station, single-user RIS-assisted wireless communication networks [9], coverage analysis is performed by optimizing the direction and horizontal distance of reflectors. Yu et al. explored convex optimization modeling for RIS-assisted MISO scenarios [10]. Recently, Xie et al. further characterized the relationship between RIS coverage and the number of units [11], while Wang et al. investigated deployment optimization in ultra-large-scale RIS systems [12]. These approaches enhance explainability but often fall into local optima, and variable relaxation may cause performance degradation. Recent research has begun exploring deep learning (DL)-based approaches [13,14], where deep learning or neural networks learn the mapping relationship between environmental features and optimal deployment locations. In the more complex STAR-RIS scenario, Gao et al. proposed using deep reinforcement learning to achieve joint optimization of coverage and capacity [15]. While these methods can capture complex environmental features, they generally require significant training overhead and exhibit limited generalization capabilities in dynamic environments.
It is noticed that the aforementioned heuristic, convex optimization, and deep learning iterative optimization methods predominantly treat RIS deployment as a complex numerical optimization problem, yet overlook a fourth critical approach: the closed-form solution deployment approach. Such methods do not rely on iterative suboptimal solutions, instead simplifying the model through channel customisation: deploying RIS along the discrete Fourier transform (DFT) directions of the base station (BS), actively reshaping the wireless channel into a ‘deterministic’ structure characterised by orthogonality and sparsity [16,17]. This strategy significantly simplifies the joint Tx-RIS-Rx design, enabling the customised channel to bypass complex matrix decomposition and directly derive low-complexity precoding and phase shifter closed-form solutions [16]. Furthermore, it substantially reduces CSI overhead, requiring only feedback of RIS directional parameters (e.g., AoD/AoA) rather than the full channel matrix.
However, its limitations also stem from reliance on specific conditions: on one hand, deployment flexibility is constrained, as the RIS must precisely align with the DFT direction, and building obstructions in practical scenarios can compromise positional accuracy [18]. Secondly, it exhibits high sensitivity to channel conditions, as the closed-form solution relies on line-of-sight (LoS) paths being dominant. If NLoS scattering intensifies, the degradation of channel orthogonality leads to performance deterioration, necessitating path pruning to select strong paths and maintain effectiveness [16]. Evidently, such methods sacrifice partial deployment universality in exchange for simplified system design and low complexity.
Despite significant progress in performance optimization, a common limitation is that most studies focus solely on single global metrics like aggregate network rate or spectral efficiency [19], neglecting practical network planning constraints such as quality of service (QoS), particularly coverage fairness. Addressing this, Huang et al. proposed beamforming design based on minimax fairness in STAR-RIS scenarios to enhance edge user experience [20]. However, without coverage constraints, optimization results may lead to excessive signal strength in some areas while failing to effectively improve critical shadow areas. Therefore, solving this NP-hard problem becomes more challenging under the stringent constraint that all shadow areas must be covered.
To address these limitations, this paper proposes an innovative hybrid optimization algorithm framework specifically designed for RIS deployment optimization under coverage constraints. Specifically, this complex combinatorial optimization problem is decomposed into two core subproblems: ensuring coverage completeness for all shadowed areas and, on this basis, improving overall network performance. These subproblems are solved sequentially through a staged strategy. The main contributions of this paper are summarized as follows:
  • A novel hybrid optimization algorithm framework is proposed. This framework integrates a two-stage optimization approach combining a greedy heuristic strategy with a branch-and-bound algorithm. It achieves overall network performance optimization while ensuring effective coverage of all shadow areas, significantly reducing computational complexity.
  • The first stage employs a local optimization method based on a greedy strategy to assign locally optimal RIS positions for each independent shadow area, strictly satisfying coverage completeness constraints with low computational overhead.
  • The second stage introduces an efficient branch-and-bound algorithm for global optimization of remaining RIS resources after basic coverage is achieved. Combining marginal gain evaluation with pruning mechanisms, this algorithm efficiently explores the vast search space to obtain RIS deployment schemes approaching global optimality.
  • Simulation results demonstrate that the proposed method achieves significantly higher average SINR in shadowed areas compared to random deployment strategies, fully validating its effectiveness in enhancing network coverage performance in complex real-world environments.

2. System Model

This paper considers an RIS-assisted multi-cell downlink cellular communication system comprising a central base station and its six adjacent base stations, denoted collectively as B . Randomly distributed user equipment (UE) exists in the system, whose set is denoted as U . To enhance signal coverage performance in specific areas, a set C of predefined RIS candidate deployment locations is established in the environment. Due to obstructions such as urban buildings, some users lack direct LoS links with the base stations, forming NLOS shadow areas.

2.1. Channel Model

Assume the service base station is equipped with M antennas and uses beamforming vector w C M × 1 to transmit symbol s to a single-antenna user. The total signal received by the user is the superposition of the direct path signal and the RIS-assisted cascaded reflected path signal, which can be expressed as [21]:
y = ( h d H + h r u H Φ h b r ) w s + n
h d = l = 0 L 1 α l a BS ( θ l )
h r u = m = 0 M 1 β m a RIS ( ϕ m )
h b r = α LOS a RIS ( ϕ LOS ) a BS H ( θ LOS ) + l = 1 L 1 α l a RIS ( ϕ l ) a BS H ( θ l )
Among these, h d C M × 1 is the direct channel vector from the BS to the UE, h b r C N × M is the channel matrix from the BS to the RIS with N reflectors, h r u C N × 1 is the channel vector from the RIS to the UE. In (2), (3), and (4), L , L , M denote the number of multipaths for the corresponding paths, while α l , β m , α L O S represent the complex gain corresponding to the path respectively. a RIS and a BS denote the array response vectors. All parameters conform to [22]. Φ C N × N is the phase shift response matrix of the RIS, and n CN 0 , σ 2 represents additive white Gaussian noise (AWGN). Therefore, user u receives the signal from base station k as shown in (5), where h H = h d H + h r u H Φ h b r . This enables users to calculate the SINR using (6) to assess the quality of the received signal, where P = E [ | s | 2 ] .
y k , u = h k , u H w k , u s k , u + j = 1 j k K h j , u H w j , u s j , u + p = 1 p u Q h k , u H w k , p s k , p + n k , u
SINR k , u = | h k , u H w k , u | 2 P k , u j = 1 j k K | h j , u H w j , u | 2 P j , u + p = 1 p u Q | h k , u H w k , p | 2 P k , p + σ 2
The core functionality of RIS lies in its ability to modulate incident signals through its phase-shifting matrix Φ [23]. Φ is a diagonal matrix of N × N size, expressed as Equation (7), where θ n [ 0 , 2 π ) is the controllable phase shift introduced by the n-th unit, and β n [ 0 , 1 ] is the corresponding reflection amplitude. Under the assumption of an ideal passive RIS, the signal is perfectly reflected, and the amplitude of all reflection units is β n = 1 , n { 1 , , N } . Therefore, the phase matrix of the ideal RIS can be simplified to the rightmost term of Equation (7).
Φ = diag ( β 1 e j θ 1 , β 2 e j θ 2 , , β N e j θ N ) = diag ( e j θ 1 , e j θ 2 , e j θ N )
By jointly optimizing the deployment locations of RISs and their phase shifts { θ n } , the system can construct high-quality virtual LoS links under NLoS conditions, thereby effectively enhancing signal strength in the target area.

2.2. Shadow Area Modeling

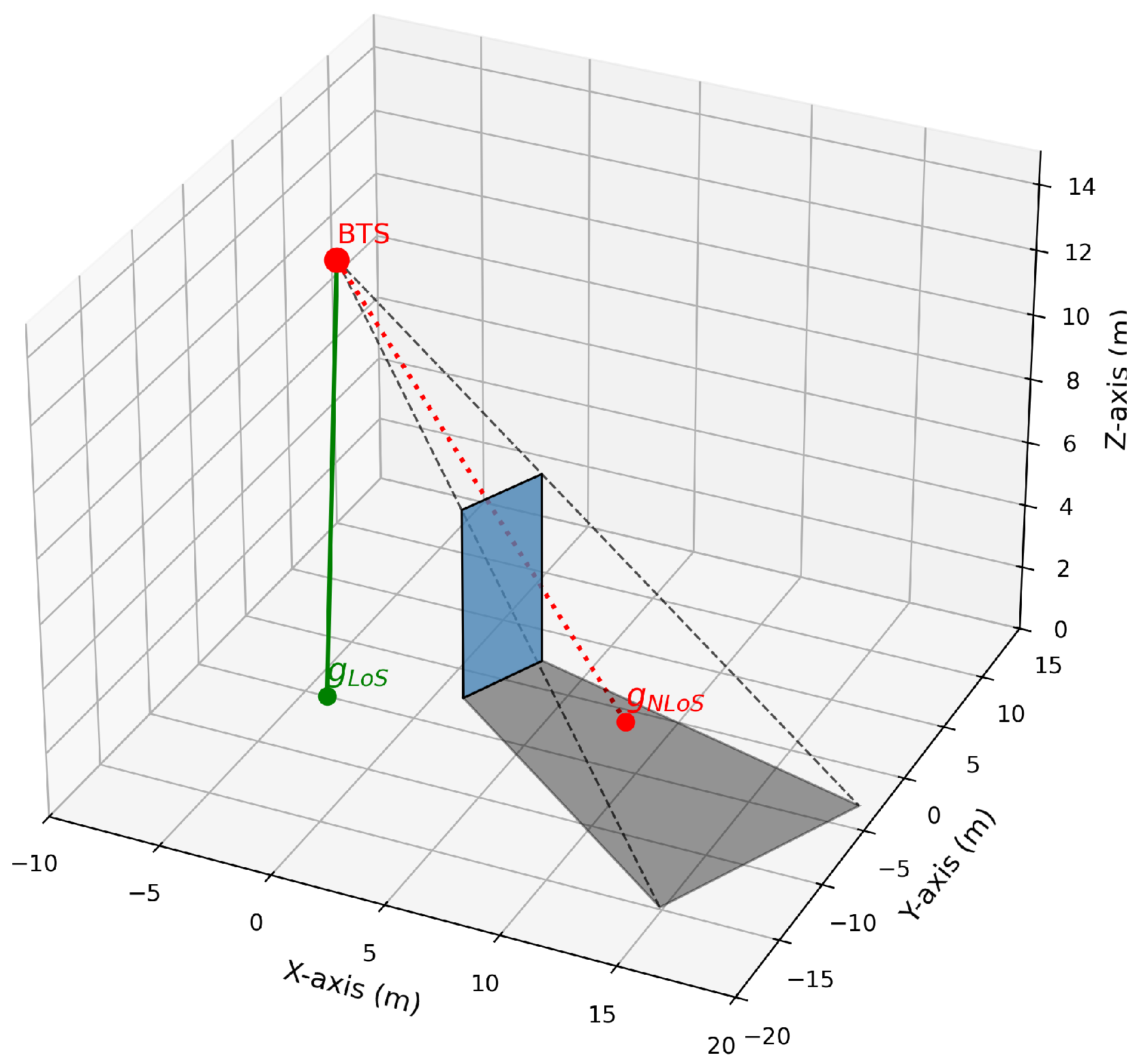
The specific characteristics of the channel vector (such as h d ) depend on the propagation conditions of the link. This paper employs a geometric approach to model shadow areas: obstacles are abstracted as planar entities with specific height and width. Each base station antenna is treated as a point radiation source, with obstacles casting shadow areas onto the ground ( z = 0 plane). As shown in Figure 1, the boundary of the shadow area is defined by the base station location, the geometric vertices of the obstacle, and its projection onto the ground.
Let the union of all shadow areas be denoted as S = s 1 , s 2 , , s K . For any user u U , its location is denoted as p u . If p u is located within a shadow area s k S associated with base station b B , the direct link between BS and UE is classified as an NLoS link; otherwise, it is classified as an LoS link. Channel vectors corresponding to different link states follow distinct path loss and fading distributions. This characteristic directly influences the specific values of channel vectors and serves as the core basis for RIS deployment optimization.

3. Algorithm

Based on the established system model, this section focuses on solving an RIS deployment optimization problem with coverage constraints. The objective is to ensure effective coverage of all shadowed areas under limited RIS resources while maximizing overall system performance. Due to the discrete nature of candidate locations and the complexity of coverage constraints, this problem inherently belongs to the class of NP-hard combinatorial optimization problems, making it difficult to solve via direct enumeration or traditional convex optimization methods. To address this, this paper proposes a phased hybrid optimization algorithm. By decomposing the problem and implementing a two-stage joint solution approach, it achieves efficient near-optimal solutions for the coverage-constrained RIS deployment problem.

3.1. Problem Modeling

Let the set of RIS candidate locations be denoted as C = { c 1 , c 2 , , c N } . Define the binary deployment decision vector x = x 1 , x 2 , , x N T such that x i = 1 indicates deployment of RIS at candidate location c i , while x i = 0 indicates no deploying. For any user u in the shadow area, its received power depends on the deployment scheme x . When no RIS is deployed ( x = 0 ), received power of user u equals its baseline direct-path power P u ( 0 ) . Under deployment scheme x , its total received power P u ( x ) can be calculated based Equation (1). Thus, the signal gain brought by deployment scheme x to user u is Δ P u x = P u x P u 0 .
Therefore, the RIS deployment optimization problem can be formalized as Equation (8):
max x G ( x ) = u U shadow Δ P u ( x ) s . t . i = 1 N x i R max i C j x i 1 , s j S x i { 0 , 1 } , c i C
Among these, G ( x ) represents the total gain for all shadow area users, U shadow denotes the set of all shadow area users, R max indicates the maximum number of RISs permitted for deployment, and C i signifies the subset of candidate RISs considered capable of serving the shadow area s j . Each shadow area is covered by at least one RIS, meaning the coverage constraint is strictly satisfied.

3.2. Hybrid Optimization Algorithm Framework

To address the aforementioned optimization problem, this paper proposes a two-stage hybrid optimization algorithm, whose detailed procedures are outlined in Algorithms 1 and 2. The method first satisfies coverage constraints through a greedy strategy, followed by global optimization using branch-and-bound.
Algorithm 1 Hybrid RIS Deployment Optimization Algorithm—Main Procedure
Require: 
Set of RIS candidate locations C ; Set of shadow areas S ; Maximum number of deployments R max
Ensure: 
The final RIS deployment scheme X final
 1:
procedure HybridDeploy( C , S , R max )
                   ▹Phase 1: Greedy selection to satisfy coverage constraints
 2:
        X initial
 3:
       for each shadow area s j S  do
 4:
         C j FindCandidatesFor ( s j )                   ▹ Find candidate RISs for s j
 5:
         c j * arg max c i C j G ( c i | s j )              ▹ Select the RIS with max local gain
 6:
         X initial X initial { c j * }
 7:
       end for
                  ▹Phase 2: Branch and Bound for global gain maximization
 8:
        R rem R max | X initial |                      ▹ Calculate remaining slots
 9:
        C rem C X initial                       ▹ Get the remaining candidate set
10:
       if  R rem > 0  then
11:
        Sort C rem in descending order by Marginal Gain
12:
         G best
13:
         X best_bnb
14:
        BnB-DFS( C rem , R rem , , 0, G best , X best_bnb )              ▹ Call Algorithm 2
15:
         X final X initial X best_bnb
16:
       else
17:
         X final X initial
18:
       end if
19:
       return  X final
20:
end procedure
Algorithm 2 Auxiliary Procedure for Algorithm 1: Branch and Bound Search (BnB-DFS)
 1:
procedure BnB-DFS( C , k , X curr , idx , ref G best , ref X best )
 2:
      if  | X curr | = k  then                       ▹ A complete solution is found
 3:
         current_gain CalculateTotalGain ( X curr )
 4:
         if current_gain > G best  then
 5:
             G best current_gain
 6:
             X best X curr
 7:
         end if
 8:
         return
 9:
      end if
10:
    if idx | C |  then                    ▹ All candidates have been traversed
11:
        return
12:
    end if
                                    ▹Bounding and Pruning
13:
     k needed k | X curr |
14:
     U B CalculateTotalGain ( X curr ) + i = idx idx + k needed 1 MG ( C i )      ▹ Calculate Upper Bound
15:
    if  U B G best  then
16:
         return               ▹ Prune: this branch cannot produce a better solution
17:
    end if
                                            ▹Branching
18:
   ▹ Branch 1: Do not select the current candidate C idx  BnB-DFS( C , k , X curr , idx + 1 , G best , X best )
19:
               ▹ Branch 2: Select the current candidate C idx (if slots are available)
20:
    if  | X curr | < k  then
21:
        X new X curr { C idx }  BnB-DFS( C , k , X new , idx + 1 , G best , X best )
22:
    end if
23:
end procedure

3.2.1. Phase 1: Coverage Constraint Satisfaction

In the first stage, the objective is to ensure that each shadow area s j S is covered by at least one RIS, thereby satisfying the coverage constraints. The specific approach is as follows: First, each candidate RIS c i C is divided according to the shadow area it primarily serves, constructing a local candidate set. Let c i be included in the candidate set C j for shadow area s j . Subsequently, for each shadow area s j , the local contribution of each RIS in its candidate set C j is evaluated. The local gain g ( c i | s j ) of candidate RIS c i to shadow area s j is defined as Equation (9):
g ( c i | s j ) = u U s j Δ P u x c i
Among these, U s j is the set of users within the shaded area s j , and x c i is a decision vector that deploys RIS only at the i position. Then, through greedy selection, each shaded area s j is assigned its locally optimal RIS c j * :
c j * = arg max c i C j g ( c i | s j )
Aggregate all selected locally optimal RISs to form the initial deployment set X initial = { c 1 * , c 2 * , c K * } . This ensures that coverage constraints are strictly satisfied.

3.2.2. Phase 2: Maximizing Overall Gains

After completing Phase 1, compute the number of remaining RISs to be deployed R r e m = R m a x X i n i t i a l and the remaining candidate set C r e m = C X i n i t i a l . If R r e m > 0 , initiate the Branch-and-Bound algorithm to select the optimal R rem RISs from C rem . To enhance computational efficiency and enable the algorithm to prioritize exploring more promising solution branches, first calculate the Marginal Gain for each candidate RIS c i in C rem . The Marginal Gain MG ( c i ) of c i is defined as Equation (11):
MG ( c i ) = u U shadow Δ P u ( x c i )
The fundamental concept of the BnB algorithm is to construct a decision binary tree and systematically traverse the solution space through depth-first search (DFS). At any node, the total gain of the current solution is denoted as G ( X i n i t i a l X c u r r ) , and its upper bound (UB) can be estimated as Equation (12):
U B ( X curr , C ) = G ( X initial X curr ) + i = 1 k MG ( c i )
Among these, c i denotes the k RISs with the highest marginal gains in C . Let G best represent the gain of the best solution found during the search. At each node, apply the pruning rule:
if U B ( X curr , C ) G best , then prune
If U B G best , then the branch is pruned to avoid futile searches in subtree that does not contain the optimal solution. By recursively performing “branching” (selecting or not selecting the next candidate RIS) and “bounding” (pruning), the algorithm ultimately finds the globally optimal residual deployment scheme X best _ bnb within acceptable time. The final deployment scheme is merged from the results of two phases:
X final = X initial X best _ bnb
The detailed process of this hybrid algorithm is described by the pseudocode of Algorithms 1 and 2.

3.3. Complexity and Convergence Analysis

To assess the computational feasibility of the proposed algorithm, this section conducts a detailed analysis of the computational complexity of the RIS deployment scheme. We grid the simulation scenario and define the system parameters: M denotes the total number of grid cells in the simulation scenario, N represents the total number of candidate RIS site locations, K indicates the target number of deployed RIS, and S signifies the number of shadowed areas. Random deployment serves as the baseline for performance comparison, exhibiting a time complexity of O ( M · K ) . This complexity primarily stems from the evaluation process of computing performance across the K deployed RIS. In contrast, the BnB algorithm, designed to search for a global optimum, requires at worst traversing N K combinations. Furthermore, evaluating each leaf node demands O ( M · N ) time, resulting in a total search time complexity of O ( N K · M · N ) . This proves unacceptable for medium-sized values of N and K. To address this exponential explosion, the proposed hybrid BnB algorithm with shadow constraints leverages environmental prior information. Through an O ( N · M ) greedy pre-selection phase, it locks in S locally optimal RIS solutions. successfully reducing the exponential term in the subsequent BnB search space from N to N S . This significantly lowers the worst-case search time complexity to O ( N S K S · M · ( N S ) ) . Compared to the original problem (8) as a binary combinatorial optimisation problem with covering constraints (computational complexity O ( 2 N ) ), the proposed algorithm exhibits a total complexity significantly lower than the exponential complexity of the original problem. This enables efficient solution in large-scale scenarios, transforming the original problem’s exponentially unsolvable complexity into an engineering-solvable polynomial- level complexity.
Random deployment, as a non-iterative method, lacks a convergence process. The quality of its solutions is entirely dependent on random probability, offering no guarantee of excellence. BnB theoretically guarantees convergence to the global optimum by traversing the entire solution space; however, its convergence speed is constrained by the vast state space N K . In practical large-scale scenarios, it often faces combinatorial explosion, preventing convergence within an effective time. In contrast, constrained hybrid branch-and-bound employs a strategy of initial greedy fixation followed by precise search. Although this sacrifices theoretical global optimality by forcibly fixing partial solutions, it successfully achieves rapid convergence to high-quality suboptimal solutions within an engineering-acceptable time by reducing the search space exponentially to N S K S . This approach reaches an optimal balance between performance and efficiency.

4. Simulation Results

This section validates the hybrid optimization algorithm proposed in Section 3 through simulation experiments to evaluate its performance in RIS-assisted cellular networks. The experiments first describe the simulation environment setup, followed by a comparative analysis of the proposed algorithm, random deployment scheme, and RIS-free baseline scheme across key performance metrics, thereby comprehensively demonstrating the advantages of the proposed method.
To construct a realistic urban macrocell communication scenario, the simulation employs a classic seven-cell hexagonal layout, as shown in Figure 2. User equipment is randomly and uniformly distributed within the cells, accounting for NLoS shadowing effects caused by obstacles. Key system parameters are listed in Table 1. In the comparison schemes, the random deployment strategy involves placing the 21 RISs randomly. For scenarios applying only the branch-bounding method and the proposed hybrid algorithm, the final deployment locations of the RISs are determined through algorithmic search.
First, we evaluate the impact of different deployment strategies on the reference signal receiving power (RSRP) for users. Figure 3 presents the CDF curves of RSRP for four scenarios: no RIS deployment (Baseline), random RIS deployment, RIS deployment locations determined solely by branch bounding, and RIS deployment locations determined using the proposed hybrid algorithm. The left figure displays the RSRP distribution across the entire area, while the right figure focuses on the shaded area. In the right figure, the curves for the three schemes in areas with poor signal quality show a significant rightward shift compared to the Baseline (no RIS deployment), indicating that RIS deployment substantially enhances user reception power. Within the shaded area, the proposed algorithm demonstrates a stronger advantage over the other schemes. The CDF curve for random deployment closely resembles that of the BnB deployment scheme. In contrast, the proposed hybrid optimization algorithm achieves more substantial gains in received signal power, particularly in the low-power range. This markedly improves the user experience in areas with poor signal coverage, demonstrating a powerful enhancement for users in weak coverage zones.
Furthermore, Figure 4 presents the CDF results of SINR under different deployment strategies. Similar to RSRP, the proposed algorithm achieves significant improvements in SINR performance. At the median point, the proposed algorithm elevates the SINR gain from a baseline of 4.88 dB to 7.72 dB, yielding an additional gain of 2.84 dB over the baseline scheme. In contrast, the additional gains achieved by the random deployment and BnB algorithms are only around 2.44 dB and 2.03 dB, respectively. This result demonstrates that the proposed algorithm not only enhances the signal but also effectively suppresses interference, thereby securing a significant advantage in improving actual communication quality.
To more precisely quantify the performance of different deployment schemes in shadowed areas, Table 2 and Figure 5 present the comparison results of average RSRP and SINR. As shown in Table 2, the proposed algorithm demonstrates particularly significant performance advantages in shadowed areas, achieving an average SINR gain of 3.09 dB—approximately 56.85% higher than the 1.97 dB gain of the random deployment scheme. Simultaneously, the average RSRP gain also increases from 2.40 dB in random deployment to 3.56 dB, further validating the algorithm’s enhancement capability in weak coverage areas. As shown in Figure 5, the BnB algorithm consistently underperforms random deployment in both full-coverage and shadowed areas. This stems primarily from BnB’s tendency to concentrate RIS deployments in a small number of cells, resulting in uneven overall coverage distribution. For a 7-cell cellular system, this deployment bias significantly limits the average improvement in global performance, indirectly validating the importance and rationality of the coverage constraints designed in the proposed algorithm.
Similarly, Table 2 illustrates the impact of phase resolution on gain within the same deployment scheme. Lower resolutions introduce coarser phase quantisation granularity, leading to significant quantisation errors that constrain the RIS’s capability for precise alignment and signal enhancement. In our proposed method, the RSRP in the shadow areas is improved by 2.83 dB at 1-bit resolution compared to the baseline, while this gain increases to 3.56 dB at 2-bit resolution. The SINR gain also rises from 2.38 dB to 3.09 dB. This confirms that higher resolution indeed delivers superior system performance.
Compared to random deployment strategies and the BnB algorithm, the proposed hybrid algorithm demonstrates more stable performance gains. Although random deployment yields partial performance benefits in specific scenarios, its results are highly dependent on initial conditions, limiting overall optimisation effectiveness. The BnB algorithm alone fails to meet coverage fairness requirements within a reasonable range of time, resulting in global average performance improvements approaching those of random deployment. Conversely, the proposed hybrid algorithm achieves efficient resource allocation under coverage constraints through a two-stage mechanism: the first stage employs a greedy strategy to ensure global shadow area coverage fairness, while the second stage utilises branch-and-bound optimisation to further enhance overall system performance. Crucially, the first stage reduces the search space for the second stage, thereby lowering computational complexity. Experimental results demonstrate that this algorithm intelligently and efficiently utilises RIS resources, exhibiting significant advantages particularly in improving user experience in areas with weak coverage.

5. Conclusions and Future Work

This paper addresses the optimization problem of deploying reconfigurable intelligent surfaces under coverage constraints by proposing a hybrid optimization algorithm framework that integrates a greedy strategy with branch-and-bound methods to achieve this constrained deployment optimization. By decomposing the original NP-hard problem into two core subproblems, the proposed method balances computational efficiency and optimality in its algorithmic design: The first stage employs a greedy strategy to force-assign locally optimal RIS to each shadow area, strictly guaranteeing coverage completeness. The second stage then performs global optimization of the remaining RIS resources using the BnB algorithm to further enhance the overall system performance.
Simulation results demonstrate that the proposed algorithm delivers significantly superior performance improvements for users within shadowed areas compared to random deployment strategies and the BnB algorithm. For users who are in shadowed zones, this method achieves an average signal-to-interference-plus-noise ratio (SINR) gain of 3.09 dB. This represents an improvement of nearly 56.85% over the 1.97 dB gain achieved by random deployment, fully validating its effectiveness in addressing coverage fairness and enhancing system performance. Moreover, this algorithm transforms the original problem’s exponentially unsolvable complexity into an engineering-solvable polynomial-level complexity. These results further demonstrate the critical synergy of the two-stage design: the greedy stage ensures baseline quality of service, while the branch-bounding stage achieves global performance optimization under constraints. Future work will focus on extending this algorithm to dynamically evolving network environments and exploring the joint optimization of deployment locations and beamforming.

Author Contributions

Conceptualization, Y.L. and Y.W.; methodology, Y.L.; software, Y.L.; validation, Y.L., Z.H., X.L. and Y.W.; formal analysis, Y.L.; investigation, Y.L. and Z.H.; resources, Y.W. and X.L.; data curation, Y.L.; writing—original draft preparation, Y.L.; writing—review and editing, Y.L. and Y.W.; visualization, Y.L.; supervision, Y.W.; project administration, Y.W. and X.L.; funding acquisition, Y.W. and X.L. All authors have read and agreed to the published version of the manuscript.

Funding

This work was funded by the Beijing University of Posts and Telecommunications-China Mobile Research Institute Joint Innovation Center (A2023178).

Institutional Review Board Statement

Not applicable.

Informed Consent Statement

Not applicable.

Data Availability Statement

The original contributions presented in this study are included in the article. Further inquiries can be directed to the corresponding author.

Conflicts of Interest

Author Xinwei Lin was employed by the company China Mobile Research Institute. The remaining authors declare that the research was conducted in the absence of any commercial or financial relationships that could be construed as a potential conflict of interest.

References

  1. Chen, A.; Chen, Y.; Wang, Z. Reconfigurable intelligent surface deployment for blind zone improvement in mmWave wireless networks. IEEE Commun. Lett. 2022, 26, 1423–1427. [Google Scholar] [CrossRef]
  2. Ghatak, G.; Malik, V.; Kalamkar, S.S.; Gupta, A.K. Where to deploy reconfigurable intelligent surfaces in the presence of blockages? In Proceedings of the 2021 IEEE 32nd Annual International Symposium on Personal, Indoor and Mobile Radio Communications (PIMRC), Helsinki, Finland, 13–16 September 2021; pp. 1419–1424. [Google Scholar]
  3. Basar, E.; Alexandropoulos, G.C.; Liu, Y.; Wu, Q.; Jin, S.; Yuen, C.; Dobre, O.A.; Schober, R. Reconfigurable Intelligent Surfaces for 6G: Emerging Hardware Architectures, Applications, and Open Challenges. IEEE Veh. Technol. Mag. 2024, 19, 27–47. [Google Scholar] [CrossRef]
  4. Liaskos, C.; Nie, S.; Tsioliaridou, A.; Pitsillides, A.; Ioannidis, S.; Akyildiz, I. A new wireless communication paradigm through software-controlled metasurfaces. IEEE Commun. Mag. 2018, 56, 162–169. [Google Scholar] [CrossRef]
  5. Deb, S.; Ghosh, S.C. An RIS deployment strategy to overcome static obstacles in millimeter wave D2D communication. In Proceedings of the 2021 IEEE 20th International Symposium on Network Computing and Applications (NCA), Cambridge, MA, USA, 23–26 November 2021; pp. 1–8. [Google Scholar]
  6. Lu, H.; Zhuang, H.; Zhang, L.; Wang, Z. Gridding Based Reconfigurable Intelligent Surface-aided Wireless Network Optimization. In Proceedings of the 2024 IEEE 35th International Symposium on Personal, Indoor and Mobile Radio Communications (PIMRC), Montreal, QC, Canada, 2–5 September 2024; pp. 1–6. [Google Scholar]
  7. Zhang, Y.; Xu, J.; Yuen, C. RIS deployment strategy in 6G networks based on adaptive neighborhood PSO. In Proceedings of the 2025 IEEE VTS Asia Pacific Wireless Communications Symposium (APWCS), Singapore, 27–29 August 2025; pp. 1–5. [Google Scholar]
  8. Wu, Q.; Zhang, R. Intelligent reflecting surface enhanced wireless network via joint active and passive beamforming. IEEE Trans. Wirel. Commun. 2019, 18, 5394–5409. [Google Scholar] [CrossRef]
  9. Zeng, S.; Zhang, H.; Di, B.; Han, Z.; Song, L. Reconfigurable intelligent surface (RIS) assisted wireless coverage extension: RIS orientation and location optimization. IEEE Commun. Lett. 2021, 25, 269–273. [Google Scholar] [CrossRef]
  10. Yu, X.; Xu, D.; Schober, R. MISO wireless communication systems via intelligent reflecting surfaces: (invited paper). In Proceedings of the 2019 IEEE/CIC International Conference on Communications in China (ICCC), Changchun, China, 11–13 August 2019; pp. 735–740. [Google Scholar]
  11. Xie, H.; Li, D.; Yu, K.; Zhang, G. Coverage Characterization and Number Configuration for RIS-Aided Systems with Phase Delivery: How Far Is the Coverage Distance? IEEE Wirel. Commun. Lett. 2024, 13, 3114–3118. [Google Scholar] [CrossRef]
  12. Wang, J.; Han, Y.; Zhang, J.; Jin, S.; Li, X.; Yuen, C. Deployment optimization of extremely large-scale RIS-aided communication system. IEEE Trans. Commun. 2025. [Google Scholar] [CrossRef]
  13. Taha, A.; Alrabeiah, M.; Alkhateeb, A. Enabling large intelligent surfaces with compressive sensing and deep learning. IEEE Access 2021, 9, 44304–44321. [Google Scholar] [CrossRef]
  14. Huang, C.; Mo, R.; Yuen, C. Reconfigurable intelligent surface assisted multiuser MISO systems exploiting deep reinforcement learning. IEEE J. Sel. Areas Commun. 2020, 38, 1839–1850. [Google Scholar] [CrossRef]
  15. Gao, X.; Yi, W.; Liu, Y.; Zhang, J.; Zhang, P. DRL Enabled Coverage and Capacity Optimization in STAR-RIS-Assisted Networks. IEEE Trans. Commun. 2023, 71, 6616–6632. [Google Scholar] [CrossRef]
  16. Chen, W.; Wen, C.-K.; Li, X.; Jin, S. Channel Customization for Joint Tx-RISs-Rx Design in Hybrid mmWave Systems. IEEE Trans. Wireless Commun. 2023, 22, 8304–8319. [Google Scholar] [CrossRef]
  17. Chen, W.; Wen, C.-K.; Li, X.; Matthaiou, M.; Jin, S. Channel Customization for Limited Feedback in RIS-Assisted FDD Systems. IEEE Trans. Wireless Commun. 2023, 22, 4505–4519. [Google Scholar] [CrossRef]
  18. Chen, W.; Wen, C.-K.; Tang, W.; Li, X.; Jin, S. Joint Spatial Division and Multiplexing with Customized Orthogonal Group Channels in Multi-RIS-Assisted Systems. arXiv 2025, arXiv:2507.01641. [Google Scholar] [CrossRef]
  19. Guo, H.; Liang, Y.-C.; Chen, J.; Larsson, E.G. Weighted sum-rate maximization for reconfigurable intelligent surface aided wireless networks. IEEE Trans. Wirel. Commun. 2020, 19, 3064–3076. [Google Scholar] [CrossRef]
  20. Huang, S.; Wang, W.; Ren, S.; Dang, H. Min-max fairness-based beamforming design for coupled phase shift STAR-RIS-assisted MIMO system. IEEE Internet Things J. 2025, 12, 3145–3162. [Google Scholar] [CrossRef]
  21. Wang, P.; Fang, J.; Duan, H.; Li, H. Compressed Channel Estimation and Joint Beamforming for Intelligent Reflecting Surface-Assisted Millimeter Wave Systems. arXiv 2019, arXiv:1911.07202v3. [Google Scholar]
  22. 3GPP. Study on channel model for frequencies from 0.5 to 100 GHz (Release 19) 3GPP TR 38.901 V19.0.0 (2025-06) [S]. Sophia Antipolis, France: 3rd Generation Partnership Project (3GPP), 2025. Available online: https://www.3gpp.org/ftp/Specs/archive/38_series/38.901/38901-i00.zip (accessed on 20 October 2025).
  23. Saikia, P.; Jee, A.; Singh, K.; Pan, C.; Huang, W.-J.; Tsiftsis, T.A. RIS-aided integrated sensing and communication systems: STAR-RIS versus passive RIS? IEEE Open J. Commun. Soc. 2024, 5, 7954–7973. [Google Scholar] [CrossRef]
Figure 1. The Process of Shadow Generation.
Figure 1. The Process of Shadow Generation.
Sensors 25 07195 g001
Figure 2. System Layout Diagram.
Figure 2. System Layout Diagram.
Sensors 25 07195 g002
Figure 3. Comparison of RSRP Cumulative Distribution Functions (CDF). (a) Left figure shows all areas, (b) Right figure shows shaded areas.
Figure 3. Comparison of RSRP Cumulative Distribution Functions (CDF). (a) Left figure shows all areas, (b) Right figure shows shaded areas.
Sensors 25 07195 g003
Figure 4. Comparison of SINR Cumulative Distribution Functions. (a) Left figure shows all areas, (b) Right figure shows shaded areas.
Figure 4. Comparison of SINR Cumulative Distribution Functions. (a) Left figure shows all areas, (b) Right figure shows shaded areas.
Sensors 25 07195 g004
Figure 5. Comparison of RSRP and SINR Gains Across Different Schemes.
Figure 5. Comparison of RSRP and SINR Gains Across Different Schemes.
Sensors 25 07195 g005
Table 1. Simulation parameters.
Table 1. Simulation parameters.
ParameterValue
LayoutSeven-cell hexagonal
Station spacing500 m
UE distributionUniform random
NLoS shadow areas1–3 per cell (random)
Carrier frequency2.6 GHz
Bandwidth100 MHz
Path loss3GPP UMa
BS transmit power46 dBm
BS antenna height25 m
RIS count21
RIS size 40 × 40 elements
RIS height15 m
RIS phase quantisation bits2 bits
Table 2. Performance comparison of different RIS deployment methods (dB).
Table 2. Performance comparison of different RIS deployment methods (dB).
Phase ResolutionIndexAreaBaselineRandomBnBProposed
Without RISWith RISGainWith RISGainWith RISGain
1 bitRSRPAll Area−95.39−94.960.42−94.950.44−94.850.53
Shadow Area−96.11−94.441.67−94.801.32−93.282.83
SINRAll Area5.605.930.335.970.376.030.42
Shadow Area6.017.311.307.061.048.402.38
2 bitsRSRPAll Area−95.39−94.770.62−94.770.61−94.650.73
Shadow Area−96.11−93.722.40−94.311.81−92.553.56
SINRAll Area5.606.090.496.110.506.210.61
Shadow Area6.017.991.977.461.459.103.09
Disclaimer/Publisher’s Note: The statements, opinions and data contained in all publications are solely those of the individual author(s) and contributor(s) and not of MDPI and/or the editor(s). MDPI and/or the editor(s) disclaim responsibility for any injury to people or property resulting from any ideas, methods, instructions or products referred to in the content.

Share and Cite

MDPI and ACS Style

Lin, Y.; Lin, X.; Han, Z.; Wang, Y. Hybrid Deployment Optimization Algorithm for Reconfigurable Intelligent Surface. Sensors 2025, 25, 7195. https://doi.org/10.3390/s25237195

AMA Style

Lin Y, Lin X, Han Z, Wang Y. Hybrid Deployment Optimization Algorithm for Reconfigurable Intelligent Surface. Sensors. 2025; 25(23):7195. https://doi.org/10.3390/s25237195

Chicago/Turabian Style

Lin, Yifan, Xinwei Lin, Zhiyu Han, and Yafeng Wang. 2025. "Hybrid Deployment Optimization Algorithm for Reconfigurable Intelligent Surface" Sensors 25, no. 23: 7195. https://doi.org/10.3390/s25237195

APA Style

Lin, Y., Lin, X., Han, Z., & Wang, Y. (2025). Hybrid Deployment Optimization Algorithm for Reconfigurable Intelligent Surface. Sensors, 25(23), 7195. https://doi.org/10.3390/s25237195

Note that from the first issue of 2016, this journal uses article numbers instead of page numbers. See further details here.

Article Metrics

Back to TopTop