Model-Based Hybrid Control of Pure Pursuit and Stanley Methods for Vehicle Path Tracking
Abstract
1. Introduction
- A probabilistic hybrid control framework that integrates the Pure Pursuit and Stanley controllers based on real-time model probabilities derived from an IMM filter.
- Adopting a bicycle model that helps to represent the actual dynamic behavior of the vehicle for proper geometric method selection.
2. Related Work
2.1. Pure Pursuit Method
2.2. Stanley Method
2.3. Bicycle Model
3. Method
3.1. IMM Filter Design
3.1.1. Interacting
3.1.2. Filtering
- Process update
- Measurement update
3.1.3. Model Probability Updating
3.1.4. Estimation Fusion
4. Simulation Setup
5. Results and Discussions
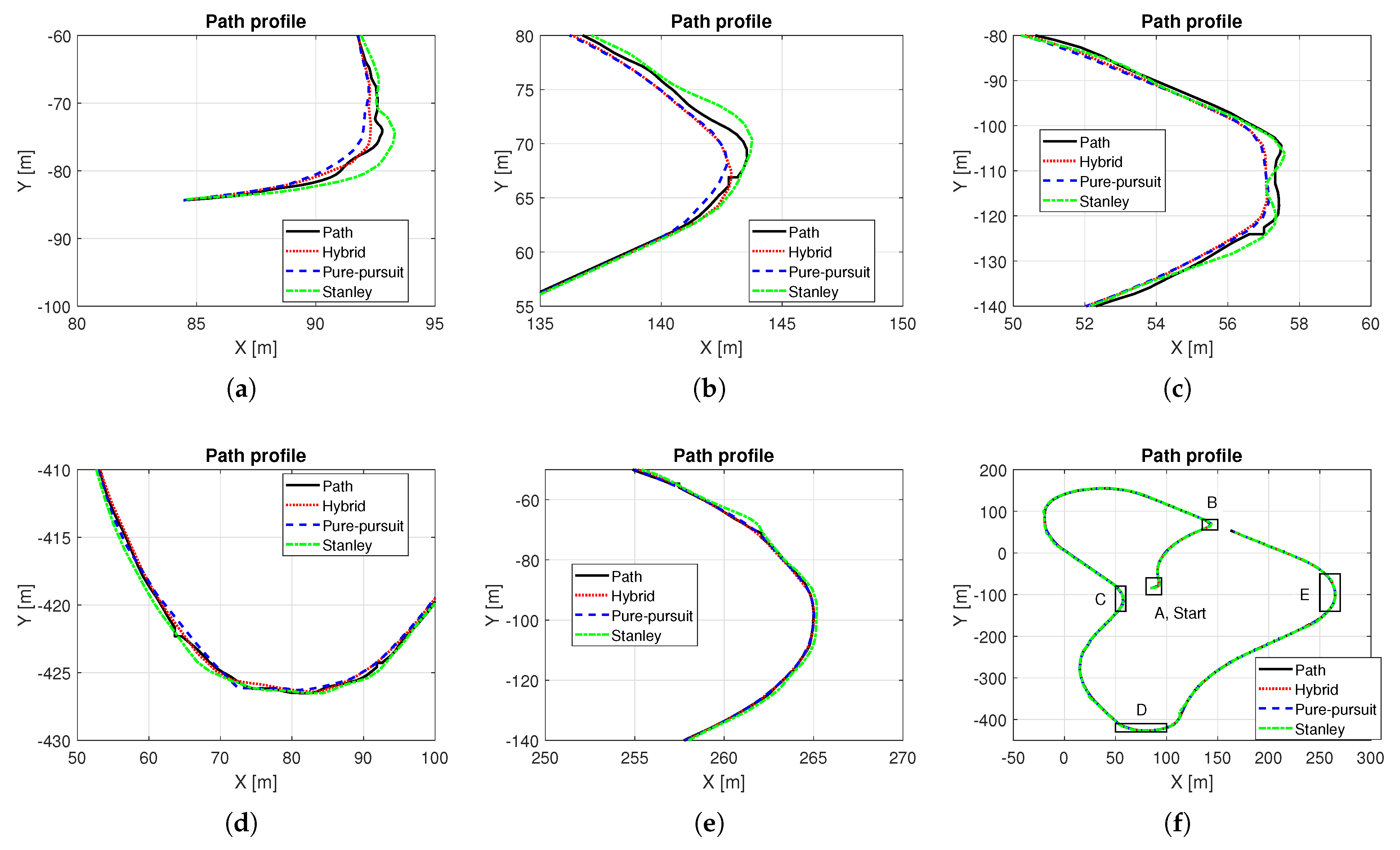
5.1. Path Tracking on a Road with a Quarter-Circle Path
5.2. Path Tracking on Normal Road
6. Conclusions
Funding
Institutional Review Board Statement
Informed Consent Statement
Data Availability Statement
Conflicts of Interest
Abbreviations
| GPS | Global Positioning System |
| IMM | Interactive Multiple Model |
| IMU | Inertial Measurement Unit |
| MPC | Model Predictive Control |
| RMS | Root Mean Square |
| ROS | Robot Operating System |
References
- Wang, R.; Li, Y.; Fan, J.; Wang, T.; Chen, X. A Novel Pure Pursuit Algorithm for Autonomous Vehicles Based on Salp Swarm Algorithm and Velocity Controller. IEEE Access 2020, 8, 166525–166540. [Google Scholar] [CrossRef]
- Skačkauskas, P.; Karpenko, M.; Prentkovskis, O. Design and Implementation of a Hybrid Path Planning Approach for Autonomous Lane Change Manoeuvre. Int. J. Automot. Technol. 2024, 25, 83–95. [Google Scholar] [CrossRef]
- Guerrieri, M.; Khanmohamadi, M. SSF-Roundabout: A Smart and Self-Regulated Roundabout with Right-Turn Bypass Lanes. Appl. Sci. 2025, 15, 8971. [Google Scholar] [CrossRef]
- Coulter, R.C. Implementation of the Pure Pursuit Path Tracking Algorithm; Technical Report CMU-RI-TR-92-01; Carnegie Mellon University: Pittsburgh, PA, USA, 1992. [Google Scholar]
- Thrun, S.; Montemerlo, M.; Dahlkamp, H.; Stavens, D.; Aron, A.; Diebel, J.; Fong, P.; Gale, J.; Halpenny, M.; Hoffmann, G.; et al. Challenge. In The 2005 DARPA Grand Challenge: The Great Robot Race; Buehler, M., Iagnemma, K., Singh, S., Eds.; Springer: Berlin/Heidelberg, Germany, 2007; pp. 1–43. [Google Scholar] [CrossRef]
- Kim, E.; Kim, J.; Sunwoo, M. Model predictive control strategy for smooth path tracking of autonomous vehicles with steering actuator dynamics. Int. J. Automot. Technol. 2014, 15, 1155–1164. [Google Scholar] [CrossRef]
- Raffo, G.V.; Gomes, G.K.; Normey-Rico, J.E.; Kelber, C.R.; Becker, L.B. A Predictive Controller for Autonomous Vehicle Path Tracking. IEEE Trans. Intell. Transp. Syst. 2009, 10, 92–102. [Google Scholar] [CrossRef]
- Peng, H.; Wang, W.; An, Q.; Xiang, C.; Li, L. Path Tracking and Direct Yaw Moment Coordinated Control Based on Robust MPC With the Finite Time Horizon for Autonomous Independent-Drive Vehicles. IEEE Trans. Veh. Technol. 2020, 69, 6053–6066. [Google Scholar] [CrossRef]
- Bu, X.; Hou, Z.; Chi, R. Model Free Adaptive Iterative Learning Control for Farm Vehicle Path Tracking. IFAC Proc. Vol. 2013, 46, 153–158. [Google Scholar] [CrossRef]
- Ahn, J.; Shin, S.; Kim, M.; Park, J. Accurate Path Tracking by Adjusting Look-Ahead Point in Pure Pursuit Method. Int. J. Automot. Technol. 2021, 22, 119–129. [Google Scholar] [CrossRef]
- Shan, Y.; Yang, W.; Chen, C.; Zhou, J.; Zheng, L.; Li, B. CF-Pursuit: A Pursuit Method with a Clothoid Fitting and a Fuzzy Controller for Autonomous Vehicles. Int. J. Adv. Robot. Syst. 2015, 12, 134. [Google Scholar] [CrossRef]
- Ollero, A.; García-Cerezo, A.; Martínez, J. Fuzzy Supervisory Path Tracking of Mobile Robots1. IFAC Proc. Vol. 1993, 26, 277–282. [Google Scholar] [CrossRef]
- Amer, N.H.; Hudha, K.; Zamzuri, H.; Aparow, V.R.; Abidin, A.F.Z.; Kadir, Z.A.; Murrad, M. Adaptive modified Stanley controller with fuzzy supervisory system for trajectory tracking of an autonomous armoured vehicle. Robot. Auton. Syst. 2018, 105, 94–111. [Google Scholar] [CrossRef]
- AbdElmoniem, A.; Osama, A.; Abdelaziz, M.; Maged, S.A. A path-tracking algorithm using predictive Stanley lateral controller. Int. J. Adv. Robot. Syst. 2020, 17, 1–11. [Google Scholar] [CrossRef]
- Cibooglu, M.; Karapinar, U.; Söylemez, M.T. Hybrid controller approach for an autonomous ground vehicle path tracking problem. In Proceedings of the 2017 25th Mediterranean Conference on Control and Automation (MED), Valletta, Malta, 3–6 July 2017; pp. 583–588. [Google Scholar] [CrossRef]
- Cao, Y.; Zhao, J.; Zhu, H.; Yang, Z.; Fan, J. PP-ST: An Indoor Mobile Robot Path Tracking Algorithm. IEEE Access 2023, 11, 116356–116365. [Google Scholar] [CrossRef]
- Zhang, J.; Wang, Y.; Hu, J.; You, H. An Adaptive Fusion Path Tracking Strategy for Autonomous Vehicles Based on Improved ACO Algorithm. IEEE Access 2025, 13, 127252–127262. [Google Scholar] [CrossRef]
- Rajamani, R. Vehicle Dynamics and Control, 2nd ed.; Springer: New York, NY, USA, 2012. [Google Scholar]
- Jalali, K.; Lambert, S.; McPhee, J. Development of a Path-following and a Speed Control Driver Model for an Electric Vehicle. SAE Int. J. Passeng. Cars -Electron. Electr. Syst. 2012, 5, 100–113. [Google Scholar] [CrossRef]
- Cho, W.; Choi, J.; Kim, C.; Choi, S.; Yi, K. Unified Chassis Control for the Improvement of Agility, Maneuverability, and Lateral Stability. IEEE Trans. Veh. Technol. 2012, 61, 1008–1020. [Google Scholar] [CrossRef]
- Nam, K.; Fujimoto, H.; Hori, Y. Lateral Stability Control of In-Wheel-Motor-Driven Electric Vehicles Based on Sideslip Angle Estimation Using Lateral Tire Force Sensors. IEEE Trans. Veh. Technol. 2012, 61, 1972–1985. [Google Scholar] [CrossRef]
- Choi, M.; Oh, J.J.; Choi, S.B. Linearized Recursive Least Squares Methods for Real-Time Identification of Tire Road Friction Coefficient. IEEE Trans. Veh. Technol. 2013, 62, 2906–2918. [Google Scholar] [CrossRef]
- Jung, H.; Choi, S.B. Real-Time Individual Tire Force Estimation for an All-Wheel Drive Vehicle. IEEE Trans. Veh. Technol. 2018, 67, 2934–2944. [Google Scholar] [CrossRef]
- Jo, K.; Chu, K.; Sunwoo, M. Interacting Multiple Model Filter-Based Sensor Fusion of GPS With In-Vehicle Sensors for Real-Time Vehicle Positioning. IEEE Trans. Intell. Transp. Syst. 2012, 13, 329–343. [Google Scholar] [CrossRef]
- Blom, H.A.P.; Bar-Shalom, Y. The interacting multiple model algorithm for systems with Markovian switching coefficients. IEEE Trans. Autom. Control 1988, 33, 780–783. [Google Scholar] [CrossRef]
- Zubača, J.; Stolz, M.; Seeber, R.; Schratter, M.; Watzenig, D. Innovative Interaction Approach in IMM Filtering for Vehicle Motion Models With Unequal States Dimension. IEEE Trans. Veh. Technol. 2022, 71, 3579–3594. [Google Scholar] [CrossRef]
- Simon, D. Optimal State Estimation; Wiley: Hoboken, NJ, USA, 2006. [Google Scholar]
- Dosovitskiy, A.; Ros, G.; Codevilla, F.; Lopez, A.; Koltun, V. CARLA: An Open Urban Driving Simulator. In Proceedings of the 1st Annual Conference on Robot Learning, Mountain View, CA, USA, 13–15 November 2017; pp. 1–16. [Google Scholar]
- SIEMENS. Simcenter Prescan Software. Available online: https://plm.sw.siemens.com/ko-KR/simcenter/autonomous-vehicle-solutions/prescan/ (accessed on 15 October 2025).
- MORAI. MORAI Drive Simulator. Available online: https://www.morai.ai/drive (accessed on 8 August 2025).










| Parameter | Value | Parameter | Value |
|---|---|---|---|
| m | 2000 kg | 60,000 N/rad | |
| 4000 kg·m2 | Cr | 60,000 N/rad | |
| L | 3 m | 1.5 m |
| Parameter (Pure Pursuit) | Value | Parameter (Stanley) | Value |
|---|---|---|---|
| 0.5 s | k | 1/s |
| Tracking Error | Pure Pursuit | Stanley | Hybrid |
|---|---|---|---|
| = 30 kph | 0.125 | 0.302 | 0.114 |
| = 35 kph | 0.138 | 0.387 | 0.126 |
| = 40 kph | 0.301 | 0.769 | 0.283 |
| Pure Pursuit | Stanley | Hybrid | |
|---|---|---|---|
| Tracking error | 0.481 | 0.643 | 0.465 |
Disclaimer/Publisher’s Note: The statements, opinions and data contained in all publications are solely those of the individual author(s) and contributor(s) and not of MDPI and/or the editor(s). MDPI and/or the editor(s) disclaim responsibility for any injury to people or property resulting from any ideas, methods, instructions or products referred to in the content. |
© 2025 by the author. Licensee MDPI, Basel, Switzerland. This article is an open access article distributed under the terms and conditions of the Creative Commons Attribution (CC BY) license (https://creativecommons.org/licenses/by/4.0/).
Share and Cite
Jung, H. Model-Based Hybrid Control of Pure Pursuit and Stanley Methods for Vehicle Path Tracking. Sensors 2025, 25, 6491. https://doi.org/10.3390/s25206491
Jung H. Model-Based Hybrid Control of Pure Pursuit and Stanley Methods for Vehicle Path Tracking. Sensors. 2025; 25(20):6491. https://doi.org/10.3390/s25206491
Chicago/Turabian StyleJung, Hojin. 2025. "Model-Based Hybrid Control of Pure Pursuit and Stanley Methods for Vehicle Path Tracking" Sensors 25, no. 20: 6491. https://doi.org/10.3390/s25206491
APA StyleJung, H. (2025). Model-Based Hybrid Control of Pure Pursuit and Stanley Methods for Vehicle Path Tracking. Sensors, 25(20), 6491. https://doi.org/10.3390/s25206491

