Optimization Scheme for Modulation of Data Transmission Module in Endoscopic Capsule
Abstract
1. Introduction
2. Principle of the MIP-MDCSK Scheme
2.1. Channel Model
2.2. IP-MDCSK and General MIP-MDCSK Sharing One Reference Signal over In-Body Channel
2.2.1. IP-MDCSK
2.2.2. A General MIP-MDCSK with Shared Reference Signal
3. Performance Analysis
3.1. Energy Efficiency (EE), and Spectral Efficiency (SE)
3.2. Complexity Analysis Comparison with MDCSK
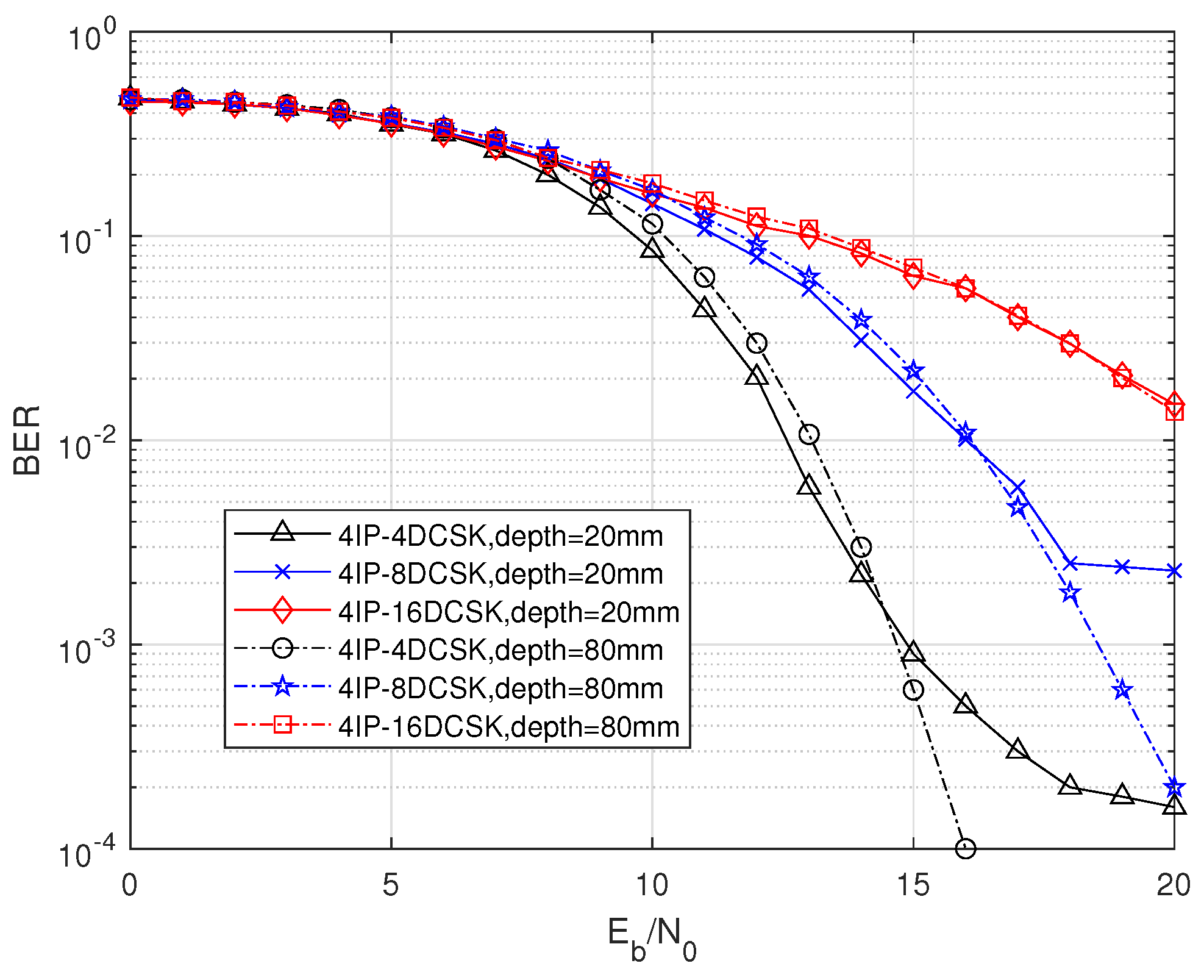
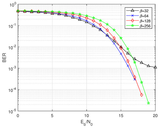
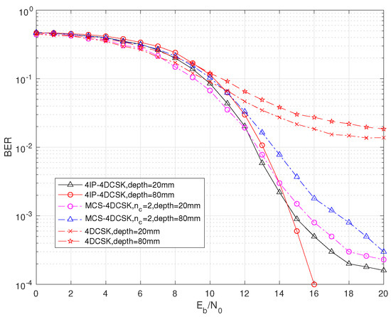
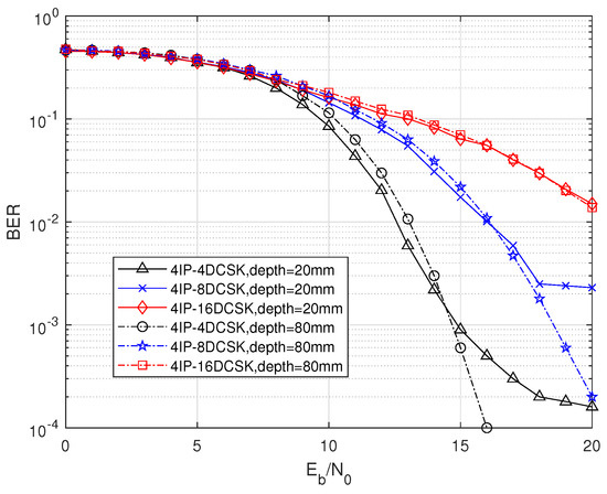
4. Numerical Result
5. Conclusions
Author Contributions
Funding
Institutional Review Board Statement
Informed Consent Statement
Data Availability Statement
Conflicts of Interest
References
- Liu, H.; Shi, J.; Song, L.; Liu, L.; Wang, Y.; Cheng, T.; Wang, J. Novel Multiband Antenna Design and Performance Evaluation for Wireless Electronic Capsule Systems. IEEE J. Electromagn. RF Microw. Med. Biol. 2024, 8, 332–343. [Google Scholar] [CrossRef]
- Alshammari, A.; Iqbal, A.; Basir, A.; Simorangkir, R.B.V.B.; Mabrouk, I.B. Ultra-Miniaturized Dual-Band Implantable Antenna for Wireless Capsule Endoscopy. IEEE Sens. J. 2024, 24, 15210–15218. [Google Scholar] [CrossRef]
- Song, M.; Liu, H.; Guo, Q. Deep-Learning-Based Channel Prediction for Wireless Capsule Endoscopy in PLC-Class-A Noise. IEEE J. Biomed. Health Inform. 2025, 29, 456–467. [Google Scholar]
- Hu, Z.; Han, C.; Deng, Y.; Wang, X. Multi-Task Deep Reinforcement Learning for Terahertz NOMA Resource Allocation with Hybrid Discrete and Continuous Actions. IEEE Trans. Veh. Technol. 2024, 73, 11647–11663. [Google Scholar] [CrossRef]
- Särestöniemi, M.; Pomalaza-Ráez, C.; Kissi, C.; Berg, M.; Hämäläinen, M.; Iinatti, J. WBAN Channel Characteristics Between Capsule Endoscope and Receiving Directive UWB On-Body Antennas. IEEE Access 2020, 8, 55953–55968. [Google Scholar] [CrossRef]
- Luo, C.; Tang, A.; Gao, F.; Liu, J.; Wang, X. Channel Modeling Framework for Both Communications and Bistatic Sensing Under 3GPP Standard. IEEE J. Sel. Areas Sens. 2024, 1, 166–176. [Google Scholar] [CrossRef]
- Dhali, A.; Kipkorir, V.; Maity, R. AI-Assisted Capsule Endoscopy vs. Conventional Capsule Endoscopy for Small Bowel Lesions. J. Gastroenterol. Hepatol. 2025, 40, 1105–1118. [Google Scholar] [CrossRef] [PubMed]
- Song, D.; Ren, J.; Wang, L.; Li, Y.; Zhang, X. Designing a Common DP-LDPC Code Pair for Variable On-Body Channels. IEEE Trans. Wireless Commun. 2022, 21, 9596–9609. [Google Scholar] [CrossRef]
- Mehedi, I.M.; Rao, K.P.; Alotaibi, F.M.; Alkanfery, H.M. Intelligent Wireless Capsule Endoscopy for the Diagnosis of Gastrointestinal Diseases. Diagnostics 2023, 13, 1445. [Google Scholar] [CrossRef]
- Siddik, A.; Hasi, M.A.A.; Nitu, J.A.; Sarker, S.; Sultana, N.; Ali, E. Modified IEEE 802.15.6 MAC scheme for e-health applications. J. E-Health Res. 2022, 12, 123–130. [Google Scholar]
- Siddik, A.; Hasi, M.A.A.; Islam, M.R.; Nitu, J.A. Effects of MAC and PHY layer parameters on IEEE 802.15.6 CSMA/CA performance. IEEE Trans. Wirel. Commun. 2024, 33, 2155–2163. [Google Scholar] [CrossRef]
- Yu, Y.; Zhang, L.; Xu, W. Integration of WBANs with advanced modulation schemes for healthcare applications. IEEE Trans. Wirel. Commun. 2019, 28, 200–210. [Google Scholar]
- Gupta, R.; Kumar, S.; Sharma, A. Energy-efficient communication protocols for WBANs in healthcare systems. IEEE Commun. Mag. 2018, 56, 42–49. [Google Scholar]
- Ding, W.; Zhang, Z.; Liu, F. Energy-efficient DCSK for body networks under power constraints. IEEE Trans. Ind. Inform. 2017, 14, 3445–3455. [Google Scholar]
- Chen, P.; Chen, H.; Shi, L.; Lin, Z.; Li, Y. Initial Chaotic Value-based Index Modulation for Wireless Communications. IEEE Trans. Commun. 2024, 72, 6014–6028. [Google Scholar] [CrossRef]
- Qian, M.; Cai, G.; Fang, Y.; Chen, P.; Han, G. Design of link-selection strategies for buffer-aided DCSK-SWIPT relay system. IEEE Trans. Commun. 2020, 68, 6023–6038. [Google Scholar] [CrossRef]
- Miao, M.; Wang, L.; Chen, G.; Xu, W. Design and analysis of replica piecewise M-ary DCSK scheme for power line communications with asynchronous impulsive noise. IEEE Trans. Circuits Syst. I Reg. Papers 2020, 67, 5443–5453. [Google Scholar] [CrossRef]
- Xie, K.; Cai, G.; Kaddoum, G. Design and Performance Analysis of RIS-Aided DCSK-WPC System With Energy Buffer. IEEE Trans. Commun. 2023, 71, 1726–1739. [Google Scholar] [CrossRef]
- Cai, G.; Fang, Y.; Wen, J.; Mumtaz, S.; Song, Y.; Frascolla, V. Multi-carrier M-ary DCSK system with code index modulation: An efficient solution for chaotic communications. IEEE J. Sel. Top. Signal Process. 2019, 13, 1375–1386. [Google Scholar] [CrossRef]
- Xu, W.; Wang, L.; Kaddoum, G. A novel differential chaos shift keying modulation. Int. J. Bifurc. Chaos 2011, 21, 799–814. [Google Scholar] [CrossRef]
- Xu, W.; Wang, L.; Kaddoum, G. A new data rate adaption communications scheme for code-shift differential chaos shift keying modulation. Int. J. Bifurc. Chaos 2012, 22, 1250201. [Google Scholar] [CrossRef]
- Kaddoum, G.; Gagnon, F. Design of a High-Data-Rate Differential Chaos-Shift Keying System. IEEE Trans. Circuits Syst. II 2012, 59, 448–452. [Google Scholar] [CrossRef]
- Xu, W.; Huang, T.; Wang, L. Code-Shifted Differential Chaos Shift Keying With Code Index Modulation for High Data Rate Transmission. IEEE Trans. Wireless Commun. 2017, 65, 4285–4294. [Google Scholar] [CrossRef]
- Wang, S.; Wang, X. M-DCSK-based chaotic communications in MIMO multipath channels with no channel state information. IEEE Trans. Circuits Syst. II Express Briefs 2010, 57, 1001–1005. [Google Scholar] [CrossRef]
- Cai, G.; Fang, Y.; Han, G.; Lau, F.C.M.; Wang, L. A square-constellation-based M-ary DCSK communication system. IEEE Access 2016, 9, 6295–6303. [Google Scholar] [CrossRef]
- Cai, G.; Song, Y. Closed-form BER expressions of M-ary DCSK systems over multipath Rayleigh fading channels. IEEE Commun. Lett. 2020, 24, 1192–1196. [Google Scholar] [CrossRef]
- Wang, L.; Cai, G.; Chen, G. Design and performance analysis of a new multiresolution M-ary differential chaos shift keying communication system. IEEE Trans. Wireless Commun. 2015, 14, 5197–5208. [Google Scholar] [CrossRef]
- Galias, Z.; Maggio, G.M. Quadrature chaos-shift keying: Theory and performance analysis. IEEE Trans. Circuits Syst. I Reg. Papers 2001, 48, 1510–1519. [Google Scholar] [CrossRef]
- Zhao, X.; Wang, X. Chaotic secure communication system for wireless body area networks using differential chaos shift keying. IEEE Trans. Ind. Inform. 2018, 14, 3962–3971. [Google Scholar]
- Li, X.; Zhang, L. Differential chaos shift keying for wireless body area networks: A performance analysis. IEEE Trans. Wirel. Commun. 2017, 16, 3025–3036. [Google Scholar]
- Fang, Z.; Yang, X. A secure communication framework based on differential chaos shift keying modulation for WBAN. IEEE Access 2020, 8, 182642–182650. [Google Scholar]
- Wang, Y.; Wu, S. Design and performance analysis of differential chaos shift keying in wireless body area networks. IEEE Trans. Commun. 2016, 64, 3245–3255. [Google Scholar]
- Zhao, Z.; Yang, X. DCSK for Body Area Networks: Mitigating fading and interference in in-body communication environments. IEEE Trans. Commun. 2019, 67, 1234–1245. [Google Scholar]
- He, L.; Zhang, Y.; Wang, X. DCSK-based solution for highly dynamic channels in body area networks. IEEE Access 2020, 8, 192344–192355. [Google Scholar]
- Molisch, A.F. An ultra-wideband body area propagation channel model from statics to implementation. IEEE Trans. Microw. Theory Tech. 2006, 54, 1820–1826. [Google Scholar]
- Molisch, A.F. Ultra-wideband propagation channels. Proc. IEEE 2009, 97, 353–371. [Google Scholar] [CrossRef]
- Khaleghi, A.; Balasingham, I. On-body communication systems: Channel modeling and analysis. IEEE Trans. Antennas Propag. 2013, 61, 1053–1063. [Google Scholar]
- Miao, M.; Wang, L.; Katz, M.; Xu, W. Hybrid Modulation Scheme Combining PPM with Differential Chaos Shift Keying Modulation. IEEE Wireless Commun. Lett. 2018, 8, 340–343. [Google Scholar] [CrossRef]
- Liu, W. Performance Analysis of Differential Chaotic Shift Keying Ultra-Wideband Systems in In-Body Channels. Master’s Thesis, Xiamen University, Xiamen, China, 2022. [Google Scholar]






| EE | ||||
|---|---|---|---|---|
| Modulation | MIP-MDCSK | IP-MDCSK | MCS-DCSK | MDCSK |
| expression | ||||
| numerical value | ||||
| set | 8 | 4 | 1.5 | 1 |
| set | 12 | 3 | 2 | 1.5 |
| SE | ||||
|---|---|---|---|---|
| Modulation | MIP-MDCSK | IP-MDCSK | MCS-DCSK | MDCSK |
| expression | ||||
| numerical value | ||||
| 0.89 | 0.8 | 0.4 | 1 | |
| 0.71 | 0.67 | 0.33 | 1.5 | |
| Modulation | Adder | Multipliers | Delay Units | Modulator | Selection |
|---|---|---|---|---|---|
| MIP-MDCSK | 0 | M | M | comparator, Hilbert filter | position |
| MDCSK | 0 | 0 | 1 | Hilbert filter | none |
| MCS-DCSK | 0 | code shift detector, Hilbert filter | Walsh code |
| Modulation | Multipliers | Detector | Selection |
|---|---|---|---|
| MIP-MDCSK | 2 | maximum energy comparator, Hilbert filter | position |
| MDCSK | 2 | Hilbert filter | none |
| MCS-DCSK | code shift detector, Hilbert filter | Walsh code |
| Depth (mm) | (, ) |
|---|---|
| 120 | (2.7, 4.9) |
| 80 | (8.2, 6.6) |
| 40 | (5.3, 8.1) |
| 20 | (3.5, 6.2) |
Disclaimer/Publisher’s Note: The statements, opinions and data contained in all publications are solely those of the individual author(s) and contributor(s) and not of MDPI and/or the editor(s). MDPI and/or the editor(s) disclaim responsibility for any injury to people or property resulting from any ideas, methods, instructions or products referred to in the content. |
© 2025 by the authors. Licensee MDPI, Basel, Switzerland. This article is an open access article distributed under the terms and conditions of the Creative Commons Attribution (CC BY) license (https://creativecommons.org/licenses/by/4.0/).
Share and Cite
Miao, M.; Ye, C.; Xu, Z.; Zhao, L.; Yao, J. Optimization Scheme for Modulation of Data Transmission Module in Endoscopic Capsule. Sensors 2025, 25, 4738. https://doi.org/10.3390/s25154738
Miao M, Ye C, Xu Z, Zhao L, Yao J. Optimization Scheme for Modulation of Data Transmission Module in Endoscopic Capsule. Sensors. 2025; 25(15):4738. https://doi.org/10.3390/s25154738
Chicago/Turabian StyleMiao, Meiyuan, Chen Ye, Zhiping Xu, Laiding Zhao, and Jiafeng Yao. 2025. "Optimization Scheme for Modulation of Data Transmission Module in Endoscopic Capsule" Sensors 25, no. 15: 4738. https://doi.org/10.3390/s25154738
APA StyleMiao, M., Ye, C., Xu, Z., Zhao, L., & Yao, J. (2025). Optimization Scheme for Modulation of Data Transmission Module in Endoscopic Capsule. Sensors, 25(15), 4738. https://doi.org/10.3390/s25154738

