Planar Electrically Large Structures of Carbon Nanotube Films with High Absorption and Shielding Performance in X-Band
Abstract
1. Introduction
2. Materials and Methods
2.1. Material Descriptions
2.2. Absorption—Shielding Effectiveness

3. Experimental Setup and Results
3.1. Measurement Setup
3.2. Calibration
3.3. Antenna Modelling and Simulation
3.3.1. Antenna Modelling
3.3.2. Antenna Simulation
3.4. Dielectric Characterization
3.5. Measurement Validation
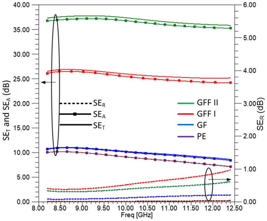
3.6. Shielding Effectiveness
3.7. Planar Periodic Structures
4. Conclusions
Author Contributions
Funding
Institutional Review Board Statement
Informed Consent Statement
Data Availability Statement
Acknowledgments
Conflicts of Interest
References
- Paul, C.R. Introduction to Electromagnetic Compatibility, 2nd ed.; Wiley Series in Microwave and Optical Engineering; Wiley-Interscience: Hoboken, NJ, USA, 2006; ISBN 978-0-471-75500-5. [Google Scholar]
- Dj, B.G.; Wessley, G.J.J. A Study on EMI Shielding in Aircraft: Introduction, Methods and Significance of Using Electrospun Nanocomposites. J. Space Saf. Eng. 2024, 11, 150–160. [Google Scholar] [CrossRef]
- Kim, S.-G.; Lee, E.; Hong, I.-P.; Yook, J.-G. Review of Intentional Electromagnetic Interference on UAV Sensor Modules and Experimental Study. Sensors 2022, 22, 2384. [Google Scholar] [CrossRef] [PubMed]
- Zheng, X.; Zhang, H.; Liu, Z.; Jiang, R.; Zhou, X. Functional Composite Electromagnetic Shielding Materials for Aerospace, Electronics and Wearable Fields. Mater. Today Commun. 2022, 33, 104498. [Google Scholar] [CrossRef]
- Son, D.-S.; Hyun, J.-M.; Chaki, S.; Park, C.H.; Lee, J.-R. Evaluation of Mechanical/Electromagnetic Preformation of Single-Sided Active Frequency Selective Surface for Stealth Radomes. Int. J. Aeronaut. Space Sci. 2021, 22, 1235–1242. [Google Scholar] [CrossRef]
- Zhu, L.; Chen, P.-Y.; Zhang, C. High-Performance, Transparent and Flexible Antenna Based on Conductive Nanocomposites. In Proceedings of the 2020 IEEE International Symposium on Antennas and Propagation and North American Radio Science Meeting, Montreal, QC, Canada, 5–10 July 2020; pp. 1491–1492. [Google Scholar]
- Rathod, V.T.; Kumar, J.S.; Jain, A. Polymer and Ceramic Nanocomposites for Aerospace Applications. Appl. Nanosci. 2017, 7, 519–548. [Google Scholar] [CrossRef]
- Nisha, M.S.; Greety, D.J.B.; Singh, D. Design and Development of Nanocomposite with Enhanced Thermal and Electrical Property for Electromagnetic Interference [EMI] Shielding in Aircraft’s Cockpit Walls. Mater. Today Proc. 2018, 5, 8147–8151. [Google Scholar] [CrossRef]
- Matei, A.; Tucureanu, V.; Ţîncu, B.C.; Mărculescu, C.V.; Burinaru, T.A.; Avram, M. Polymer Nanocomposites Materials for Aerospace Applications. AIP Conf. Proc. 2019, 2071, 030003. [Google Scholar]
- Polymer Nanocomposites for Aerospace Applications. In Advances in Polymer Nanocomposites; Elsevier: Amsterdam, The Netherlands, 2012; pp. 472–539. ISBN 978-1-84569-940-6.
- Lecocq, H.; Garois, N.; Lhost, O.; Girard, P.-F.; Cassagnau, P.; Serghei, A. Polypropylene/Carbon Nanotubes Composite Materials with Enhanced Electromagnetic Interference Shielding Performance: Properties and Modeling. Compos. Part B Eng. 2020, 189, 107866. [Google Scholar] [CrossRef]
- Jia, H.; Kong, Q.-Q.; Liu, Z.; Wei, X.-X.; Li, X.-M.; Chen, J.-P.; Li, F.; Yang, X.; Sun, G.-H.; Chen, C.-M. 3D Graphene/Carbon Nanotubes/Polydimethylsiloxane Composites as High-Performance Electromagnetic Shielding Material in X-Band. Compos. Part Appl. Sci. Manuf. 2020, 129, 105712. [Google Scholar] [CrossRef]
- Ju, J.; Kuang, T.; Ke, X.; Zeng, M.; Chen, Z.; Zhang, S.; Peng, X. Lightweight Multifunctional Polypropylene/Carbon Nanotubes/Carbon Black Nanocomposite Foams with Segregated Structure, Ultralow Percolation Threshold and Enhanced Electromagnetic Interference Shielding Performance. Compos. Sci. Technol. 2020, 193, 108116. [Google Scholar] [CrossRef]
- Feng, D.; Wang, Q.; Xu, D.; Liu, P. Microwave Assisted Sinter Molding of Polyetherimide/Carbon Nanotubes Composites with Segregated Structure for High-Performance EMI Shielding Applications. Compos. Sci. Technol. 2019, 182, 107753. [Google Scholar] [CrossRef]
- Thomassin, J.-M.; Jérôme, C.; Pardoen, T.; Bailly, C.; Huynen, I.; Detrembleur, C. Polymer/Carbon Based Composites as Electromagnetic Interference (EMI) Shielding Materials. Mater. Sci. Eng. R Rep. 2013, 74, 211–232. [Google Scholar] [CrossRef]
- Gupta, S.; Tai, N.-H. Carbon Materials and Their Composites for Electromagnetic Interference Shielding Effectiveness in X-Band. Carbon 2019, 152, 159–187. [Google Scholar] [CrossRef]
- Zhang, H.; Sun, X.; Heng, Z.; Chen, Y.; Zou, H.; Liang, M. Robust and Flexible Cellulose Nanofiber/Multiwalled Carbon Nanotube Film for High-Performance Electromagnetic Interference Shielding. Ind. Eng. Chem. Res. 2018, 57, 17152–17160. [Google Scholar] [CrossRef]
- Cao, W.-T.; Chen, F.-F.; Zhu, Y.-J.; Zhang, Y.-G.; Jiang, Y.-Y.; Ma, M.-G.; Chen, F. Binary Strengthening and Toughening of MXene/Cellulose Nanofiber Composite Paper with Nacre-Inspired Structure and Superior Electromagnetic Interference Shielding Properties. ACS Nano 2018, 12, 4583–4593. [Google Scholar] [CrossRef]
- Cardillo, E.; Carcione, F.L.; Ferro, L.; Piperopoulos, E.; Mastronardo, E.; Scandurra, G.; Ciofi, C. Development of a Simple Setup to Measure Shielding Effectiveness at Microwave Frequencies. Sensors 2024, 24, 3741. [Google Scholar] [CrossRef]
- Kuzhir, P.; Paddubskaya, A.; Bychanok, D.; Nemilentsau, A.; Shuba, M.; Plusch, A.; Maksimenko, S.; Bellucci, S.; Coderoni, L.; Micciulla, F.; et al. Microwave Probing of Nanocarbon Based Epoxy Resin Composite Films: Toward Electromagnetic Shielding. Thin Solid Films 2011, 519, 4114–4118. [Google Scholar] [CrossRef]
- Mazov, I.; Kuznetsov, V.; Moseenkov, S.; Usoltseva, A.; Romanenko, A.; Anikeeva, O.; Buryakov, T.; Kuzhir, P.; Maksimenko, S.; Bychanok, D.; et al. Electromagnetic Shielding Properties of MWCNT/PMMA Composites in Ka-band. Phys. Status Solidi B 2009, 246, 2662–2666. [Google Scholar] [CrossRef]
- Liu, P.; Ng, V.M.H.; Yao, Z.; Zhou, J.; Lei, Y.; Yang, Z.; Lv, H.; Kong, L.B. Facile Synthesis and Hierarchical Assembly of Flowerlike NiO Structures with Enhanced Dielectric and Microwave Absorption Properties. ACS Appl. Mater. Interfaces 2017, 9, 16404–16416. [Google Scholar] [CrossRef]
- Shi, S.; Jiang, Y.; Ren, H.; Deng, S.; Sun, J.; Cheng, F.; Jing, J.; Chen, Y. 3D-Printed Carbon-Based Conformal Electromagnetic Interference Shielding Module for Integrated Electronics. Nano-Micro Lett. 2024, 16, 85. [Google Scholar] [CrossRef]
- Micheli, D.; Apollo, C.; Pastore, R.; Marchetti, M. X-Band Microwave Characterization of Carbon-Based Nanocomposite Material, Absorption Capability Comparison and RAS Design Simulation. Compos. Sci. Technol. 2010, 70, 400–409. [Google Scholar] [CrossRef]
- Micheli, D.; Pastore, R.; Apollo, C.; Marchetti, M.; Gradoni, G.; Mariani Primiani, V.; Moglie, F. Broadband Electromagnetic Absorbers Using Carbon Nanostructure-Based Composites. IEEE Trans. Microw. Theory Tech. 2011, 59, 2633–2646. [Google Scholar] [CrossRef]
- Micheli, D.; Apollo, C.; Pastore, R.; Barbera, D.; Morles, R.B.; Marchetti, M.; Gradoni, G.; Mariani Primiani, V.; Moglie, F. Optimization of Multilayer Shields Made of Composite Nanostructured Materials. IEEE Trans. Electromagn. Compat. 2012, 54, 60–69. [Google Scholar] [CrossRef]
- Micheli, D.; Vricella, A.; Pastore, R.; Marchetti, M. Synthesis and Electromagnetic Characterization of Frequency Selective Radar Absorbing Materials Using Carbon Nanopowders. Carbon 2014, 77, 756–774. [Google Scholar] [CrossRef]
- Zheng, W.; Li, Y.; Xie, Z.; Liu, M.; Zhang, A. X-Band Full Absorbing Multi-Layer Foam with Lightweight and Flexible Performance. Compos. Part B Eng. 2022, 231, 109587. [Google Scholar] [CrossRef]
- Zhang, X.; Tang, J.; Zhong, Y.; Feng, Y.; Wei, X.; Li, M.; Wang, J. Asymmetric Layered Structural Design with Metal Microtube Conductive Network for Absorption-Dominated Electromagnetic Interference Shielding. Colloids Surf. Physicochem. Eng. Asp. 2022, 643, 128781. [Google Scholar] [CrossRef]
- Sotiropoulos, A.I.; Koulouridis, S.; Anastassiu, H.T. Multi-Layer Design of SWCNTs Composite for X-Band. In Proceedings of the 2013 7th European Conference on Antennas and Propagation (EuCAP), Gothenburg, Sweden, 8–12 April 2013; pp. 1328–1330. [Google Scholar]
- Sotiropoulos, A.I.; Anastassiu, H.T.; Koulouridis, S. Carbon Nanotube Based Structure with High Absorption in X-Band. In Proceedings of the 2013 International Symposium on Electromagnetic Compatibility, Brugge, Belgium, 2–6 September 2013; pp. 599–604. [Google Scholar]
- Danlee, Y.; Bailly, C.; Huynen, I.; Piraux, L. Flexible Multilayer Combining Nickel Nanowires and Polymer Films for Broadband Microwave Absorption. IEEE Trans. Electromagn. Compat. 2020, 62, 1661–1668. [Google Scholar] [CrossRef]
- Shu, R.; Wu, Y.; Li, Z.; Zhang, J.; Wan, Z.; Liu, Y.; Zheng, M. Facile Synthesis of Cobalt-Zinc Ferrite Microspheres Decorated Nitrogen-Doped Multi-Walled Carbon Nanotubes Hybrid Composites with Excellent Microwave Absorption in the X-Band. Compos. Sci. Technol. 2019, 184, 107839. [Google Scholar] [CrossRef]
- Li, M.-Y.; Gupta, S.; Chang, C.; Tai, N.-H. Layered Hybrid Composites Using Multi-Walled Carbon Nanotube Film as Reflection Layer and Multi-Walled Carbon Nanotubes/Neodymium Magnet/Epoxy as Absorption Layer Perform Selective Electromagnetic Interference Shielding. Compos. Part B Eng. 2019, 161, 617–626. [Google Scholar] [CrossRef]
- Pang, H.; Duan, Y.; Huang, L.; Song, L.; Liu, J.; Zhang, T.; Yang, X.; Liu, J.; Ma, X.; Di, J.; et al. Research Advances in Composition, Structure and Mechanisms of Microwave Absorbing Materials. Compos. Part B Eng. 2021, 224, 109173. [Google Scholar] [CrossRef]
- Reis, F.C.D.; Gomes, N.A.S.; Baldan, M.R.; Ribeiro, B.; Rezende, M.C. The Influence of Carbonyl Iron and Magnetite Ferrite on the Electromagnetic Behavior of Nanostructured Composites Based on Epoxy Resin/Buckypapers. J. Magn. Magn. Mater. 2022, 563, 170007. [Google Scholar] [CrossRef]
- Ganguly, S.; Ghosh, S.; Das, P.; Das, T.K.; Ghosh, S.K.; Das, N.C. Poly(N-Vinylpyrrolidone)-Stabilized Colloidal Graphene-Reinforced Poly(Ethylene-Co-Methyl Acrylate) to Mitigate Electromagnetic Radiation Pollution. Polym. Bull. 2020, 77, 2923–2943. [Google Scholar] [CrossRef]
- Ponnamma, D.; Sadasivuni, K.K.; Wan, C.; Thomas, S.; Al-Ali AlMa’adeed, M. (Eds.) Flexible and Stretchable Electronic Composites, 1st ed.; Springer Series on Polymer and Composite Materials; Springer: Cham, Switzerland, 2016; ISBN 978-3-319-23662-9. [Google Scholar]
- Park, J.G.; Louis, J.; Cheng, Q.; Bao, J.; Smithyman, J.; Liang, R.; Wang, B.; Zhang, C.; Brooks, J.S.; Kramer, L.; et al. Electromagnetic Interference Shielding Properties of Carbon Nanotube Buckypaper Composites. Nanotechnology 2009, 20, 415702. [Google Scholar] [CrossRef] [PubMed]
- Huang, L.; Liu, B.; Wang, Z.; Yuan, J. Effect of Carbon Nanotube Content on the Microstructure and Mechanical Properties of CNTs/TiAl Alloys. Ceram. Int. 2023, 49, 8196–8203. [Google Scholar] [CrossRef]
- Zeinedini, A.; Akhavan-Safar, A.; Da Silva, L.F.M. The Role of Agglomeration in the Physical Properties of CNTs/Polymer Nanocomposites: A Literature Review. Proc. Inst. Mech. Eng. Part J. Mater. Des. Appl. 2025, 14644207251316470. [Google Scholar] [CrossRef]
- Nicolson, A.M.; Ross, G.F. Measurement of the Intrinsic Properties of Materials by Time-Domain Techniques. IEEE Trans. Instrum. Meas. 1970, 19, 377–382. [Google Scholar] [CrossRef]
- Weir, W.B. Automatic Measurement of Complex Dielectric Constant and Permeability at Microwave Frequencies. Proc. IEEE 1974, 62, 33–36. [Google Scholar] [CrossRef]
- Micheli, D.; Pastore, R.; Delfini, A.; Giusti, A.; Vricella, A.; Santoni, F.; Marchetti, M.; Tolochko, O.; Vasilyeva, E. Electromagnetic Characterization of Advanced Nanostructured Materials and Multilayer Design Optimization for Metrological and Low Radar Observability Applications. Acta Astronaut. 2017, 134, 33–40. [Google Scholar] [CrossRef]
- Das, S.; Sharma, S.; Yokozeki, T.; Dhakate, S. Conductive Layer-Based Multifunctional Structural Composites for Electromagnetic Interference Shielding. Compos. Struct. 2021, 261, 113293. [Google Scholar] [CrossRef]
- Bora, P.J.; Mallik, N.; Ramamurthy, P.C.; Kishore; Madras, G. Poly(Vinyl Butyral)-Polyaniline-Magnetically Functionalized Fly Ash Cenosphere Composite Film for Electromagnetic Interference Shielding. Compos. Part B Eng. 2016, 106, 224–233. [Google Scholar] [CrossRef]
- Kuek, C.Y. Measurement of Dielectric Material Properties; Application Note; Rohde & Schwarz: Munich, Germany, 2012. [Google Scholar]
- Ghodgaonkar, D.K.; Varadan, V.V.; Varadan, V.K. A Free-Space Method for Measurement of Dielectric Constants and Loss Tangents at Microwave Frequencies. IEEE Trans. Instrum. Meas. 1989, 38, 789–793. [Google Scholar] [CrossRef]
- Ghodgaonkar, D.K.; Varadan, V.V.; Varadan, V.K. Free-Space Measurement of Complex Permittivity and Complex Permeability of Magnetic Materials at Microwave Frequencies. IEEE Trans. Instrum. Meas. 1990, 39, 387–394. [Google Scholar] [CrossRef]
- Gonçalves, F.; Pinto, A.; Mesquita, R.; Silva, E.; Brancaccio, A. Free-Space Materials Characterization by Reflection and Transmission Measurements Using Frequency-by-Frequency and Multi-Frequency Algorithms. Electronics 2018, 7, 260. [Google Scholar] [CrossRef]
- Varadan, V.V.; Hollinger, R.D.; Ghodgaonkar, D.K.; Varadan, V.K. Free-Space, Broadband Measurements of High-Temperature, Complex Dielectric Properties at Microwave Frequencies. IEEE Trans. Instrum. Meas. 1991, 40, 842–846. [Google Scholar] [CrossRef]
- Yang, Y.; Li, Y.; Zhou, J.; Song, H.; Tao, S.; Hao, X.; Wen, Y. A Resistance Heating Assisted Free Space Method to Measure Temperature-Dependent Electromagnetic Properties of Carbon Fiber Reinforced Polymer Composites. Polym. Test. 2023, 117, 107850. [Google Scholar] [CrossRef]
- Jose, K.A.; Varadan, V.K.; Varadan, V.V. Wideband and Noncontact Characterization of the Complex Permittivity of Liquids. Microw. Opt. Technol. Lett. 2001, 30, 75–79. [Google Scholar] [CrossRef]
- Brancaccio, A.; D’Alterio, G.; De Stefano, E.; Di Guida, L.; Feo, M.; Luce, S. A Free-Space Method for Microwave Characterization of Materials in Aerospace Application. In Proceedings of the 2014 IEEE Metrology for Aerospace (MetroAeroSpace), Benevento, Italy, 29–30 May 2014; pp. 423–427. [Google Scholar]
- Zaki, F.A.M.; Awang, Z.; Baba, N.H.; Zoolfakar, A.S.; Abu Bakar, R.; Zolkapli, M.; Fadzlina, N. A Free-Space Method for Measurement of Complex Permittivity of Double-Layer Dielectric Materials at Microwave Frequencies. In Proceedings of the 2010 IEEE Student Conference on Research and Development (SCOReD), Kuala Lumpur, Malaysia, 13–14 December 2010; pp. 12–15. [Google Scholar]
- Ozbay, E.; Aydin, K.; Cubukcu, E.; Bayindir, M. Transmission and Reflection Properties of Composite Double Negative Metamaterials in Free Space. IEEE Trans. Antennas Propag. 2003, 51, 2592–2595. [Google Scholar] [CrossRef]
- Seo, I.S.; Chin, W.S.; Lee, D.G. Characterization of Electromagnetic Properties of Polymeric Composite Materials with Free Space Method. Compos. Struct. 2004, 66, 533–542. [Google Scholar] [CrossRef]
- Hock, K.M. Error Correction for Diffraction and Multiple Scattering in Free-Space Microwave Measurement of Materials. IEEE Trans. Microw. Theory Tech. 2006, 54, 648–659. [Google Scholar] [CrossRef]
- Chung, J.Y. Broadband Characterization Techniques for RF Materials and Engineered Composites. Ph.D. Thesis, Ohio State University, Columbus, OH, USA, 2010. [Google Scholar]
- Friedsam, G.L.; Biebl, E.M. A Broadband Free-Space Dielectric Properties Measurement System at Millimeter Wavelengths. IEEE Trans. Instrum. Meas. 1997, 46, 515–518. [Google Scholar] [CrossRef]
- Akhter, Z.; Akhtar, M.J. Free-Space Time Domain Position Insensitive Technique for Simultaneous Measurement of Complex Permittivity and Thickness of Lossy Dielectric Samples. IEEE Trans. Instrum. Meas. 2016, 65, 2394–2405. [Google Scholar] [CrossRef]
- Cho, K.; Jo, S.; Noh, Y.-H.; Lee, N.; Kim, S.; Yook, J.-G. Complex Permittivity Measurements of Steel Fiber-Reinforced Cementitious Composites Using a Free-Space Reflection Method with a Focused Beam Lens Horn Antenna. Sensors 2021, 21, 7789. [Google Scholar] [CrossRef]
- Suzuki, H.; Nishikata, A.; Higashida, Y.; Takahashi, T.; Hashimoto, O. Free Space Method with Parallel Electromagnetic Wave Beam by Using Dielectric Lenses and Horn Antennas for Reflectivity of Electromagnetic Absorbers in Millimeter Waves. In Proceedings of the 2005 IEEE International Workshop on Measurement Systems for Homeland Security, Contraband Detection and Personal Safety Workshop, 2005, (IMS 2005), Orlando, FL, USA, 29–30 March 2005; pp. 63–69. [Google Scholar]
- Wang, C.; Chen, M.; Lei, H.; Yao, K.; Li, H.; Wen, W.; Fang, D. Radar Stealth and Mechanical Properties of a Broadband Radar Absorbing Structure. Compos. Part B Eng. 2017, 123, 19–27. [Google Scholar] [CrossRef]
- Marra, F.; Lecini, J.; Tamburrano, A.; Pisu, L.; Sarto, M.S. Broadband Electromagnetic Absorbing Structures Made of Graphene/Glass-Fiber/Epoxy Composite. IEEE Trans. Microw. Theory Tech. 2020, 68, 590–601. [Google Scholar] [CrossRef]
- Patel, S.M.; Patel, K.; Negi, P.S.; Ojha, V.N. Shielding Effectiveness Measurements and Uncertainty Estimation for Textiles by a VNA-Based Free Space Transmission Method. Int. J. Metrol. Qual. Eng. 2013, 4, 109–115. [Google Scholar] [CrossRef]
- Hassan, A.M.; Obrzut, J.; Garboczi, E.J. A Q-Band Free-Space Characterization of Carbon Nanotube Composites. IEEE Trans. Microw. Theory Tech. 2016, 64, 3807–3819. [Google Scholar] [CrossRef]
- Sotiropoulos, A.; Koulouridis, S.; Masouras, A.; Kostopoulos, V.; Anastassiu, H.T. Carbon Nanotubes Films in Glass Fiber Polymer Matrix Forming Structures with High Absorption and Shielding Performance in X-Band. Compos. Part B Eng. 2021, 217, 108896. [Google Scholar] [CrossRef]
- Ansys High Frequency Structure Simulator (HFSS), Electronics Desktop 19.2; ANSYS Corporation: Canonsburg, PA, USA, 2018.
- Ganguly, S.; Bhawal, P.; Ravindren, R.; Das, N.C. Polymer Nanocomposites for Electromagnetic Interference Shielding: A Review. J. Nanosci. Nanotechnol. 2018, 18, 7641–7669. [Google Scholar] [CrossRef]
- Al-Saleh, M.H.; Sundararaj, U. Electromagnetic Interference Shielding Mechanisms of CNT/Polymer Composites. Carbon 2009, 47, 1738–1746. [Google Scholar] [CrossRef]
- Saini, P.; Choudhary, V.; Singh, B.P.; Mathur, R.B.; Dhawan, S.K. Polyaniline–MWCNT Nanocomposites for Microwave Absorption and EMI Shielding. Mater. Chem. Phys. 2009, 113, 919–926. [Google Scholar] [CrossRef]
- Yue, L.; Pircheraghi, G.; Monemian, S.A.; Manas-Zloczower, I. Epoxy Composites with Carbon Nanotubes and Graphene Nanoplatelets—Dispersion and Synergy Effects. Carbon 2014, 78, 268–278. [Google Scholar] [CrossRef]
- Drakakis, E.; Kymakis, E.; Tzagkarakis, G.; Louloudakis, D.; Katharakis, M.; Kenanakis, G.; Suchea, M.; Tudose, V.; Koudoumas, E. A Study of the Electromagnetic Shielding Mechanisms in the GHz Frequency Range of Graphene Based Composite Layers. Appl. Surf. Sci. 2017, 398, 15–18. [Google Scholar] [CrossRef]
- Sangroniz, L.; Landa, M.; Fernández, M.; Santamaria, A. Matching Rheology, Conductivity and Joule Effect in PU/CNT Nanocomposites. Polymers 2021, 13, 950. [Google Scholar] [CrossRef]
- Qian, Q.; Cai, Y.; Zhan, Y.; Wei, Z.; Hu, X.; Meng, Y.; Pan, N.; Xia, H. Carbon Nanotube/Castor Oil-based Waterborne Polyurethane Films with Gradient Structure for Absorption-dominated Electromagnetic Interference Shielding and J Oule Heating. Polym. Compos. 2024, 45, 2786–2794. [Google Scholar] [CrossRef]
- Shi, L.; Zhou, J.; Kim, P.; Bachtold, A.; Majumdar, A.; McEuen, P.L. Thermal Probing of Energy Dissipation in Current-Carrying Carbon Nanotubes. J. Appl. Phys. 2009, 105, 104306. [Google Scholar] [CrossRef]
- Eravant. Available online: https://www.eravant.com (accessed on 10 May 2025).
- Aaronia AG. Available online: https://www.aaronia.com (accessed on 10 May 2025).
- Lima, D.R.; Junqueira, C.; Canto, M.A.R.; Migliano, A.C. Accuracy of GRL Calibration Considering Time Domain Gating for the Calculation of Permittivity Parameter in Free Space Technique. In Proceedings of the 2015 SBMO/IEEE MTT-S International Microwave and Optoelectronics Conference (IMOC), Porto de Galinhas, Brazil, 3–6 November 2015; pp. 1–5. [Google Scholar]
- Mondal, S.; Ganguly, S.; Das, P.; Bhawal, P.; Das, T.K.; Nayak, L.; Khastgir, D.; Das, N.C. High-Performance Carbon Nanofiber Coated Cellulose Filter Paper for Electromagnetic Interference Shielding. Cellulose 2017, 24, 5117–5131. [Google Scholar] [CrossRef]
- Bi, S.; Zhang, L.; Mu, C.; Lee, H.Y.; Cheah, J.W.; Chua, E.K.; See, K.Y.; Liu, M.; Hu, X. A Comparative Study on Electromagnetic Interference Shielding Behaviors of Chemically Reduced and Thermally Reduced Graphene Aerogels. J. Colloid Interface Sci. 2017, 492, 112–118. [Google Scholar] [CrossRef]
- Al-Saleh, M.H.; Saadeh, W.H.; Sundararaj, U. EMI Shielding Effectiveness of Carbon Based Nanostructured Polymeric Materials: A Comparative Study. Carbon 2013, 60, 146–156. [Google Scholar] [CrossRef]
- Sang, M.; Shin, J.; Kim, K.; Yu, K.J. Electronic and Thermal Properties of Graphene and Recent Advances in Graphene Based Electronics Applications. Nanomaterials 2019, 9, 374. [Google Scholar] [CrossRef]
- Lee, J.-H.; Kim, Y.-S.; Ru, H.-J.; Lee, S.-Y.; Park, S.-J. Highly Flexible Fabrics/Epoxy Composites with Hybrid Carbon Nanofillers for Absorption-Dominated Electromagnetic Interference Shielding. Nano-Micro Lett. 2022, 14, 188. [Google Scholar] [CrossRef]
- Li, H.; Yuan, D.; Li, P.; He, C. High Conductive and Mechanical Robust Carbon Nanotubes/Waterborne Polyurethane Composite Films for Efficient Electromagnetic Interference Shielding. Compos. Part Appl. Sci. Manuf. 2019, 121, 411–417. [Google Scholar] [CrossRef]
- Bhattacharjee, Y.; Chatterjee, D.; Bose, S. Core–Multishell Heterostructure with Excellent Heat Dissipation for Electromagnetic Interference Shielding. ACS Appl. Mater. Interfaces 2018, 10, 30762–30773. [Google Scholar] [CrossRef]
- Anju, V.P.; Manoj, M.; Mohanan, P.; Narayanankutty, S.K. A Comparative Study on Electromagnetic Interference Shielding Effectiveness of Carbon Nanofiber and Nanofibrillated Cellulose Composites. Synth. Met. 2019, 247, 285–297. [Google Scholar] [CrossRef]
- Lu, S.; Bai, Y.; Wang, J.; Chen, D.; Ma, K.; Meng, Q.; Liu, X. Flexible GnPs/EPDM with Excellent Thermal Conductivity and Electromagnetic Interference Shielding Properties. Nano 2019, 14, 1950075. [Google Scholar] [CrossRef]
- Bora, P.J.; Vinoy, K.J.; Ramamurthy, P.C.; Madras, G. Electromagnetic Interference Shielding Efficiency of MnO2Nanorod Doped Polyaniline Film. Mater. Res. Express 2017, 4, 025013. [Google Scholar] [CrossRef]
- Hoang, A.S. Electrical Conductivity and Electromagnetic Interference Shielding Characteristics of Multiwalled Carbon Nanotube Filled Polyurethane Composite Films. Adv. Nat. Sci. Nanosci. Nanotechnol. 2011, 2, 025007. [Google Scholar] [CrossRef]
- Zhao, Y.; Hou, J.; Bai, Z.; Yang, Y.; Guo, X.; Cheng, H.; Zhao, Z.; Zhang, X.; Chen, J.; Shen, C. Facile Preparation of Lightweight PE/PVDF/Fe3O4/CNTs Nanocomposite Foams with High Conductivity for Efficient Electromagnetic Interference Shielding. Compos. Part Appl. Sci. Manuf. 2020, 139, 106095. [Google Scholar] [CrossRef]
- Wen, B.; Wang, X.; Zhang, Y. Ultrathin and Anisotropic Polyvinyl Butyral/Ni-Graphite/Short-Cut Carbon Fibre Film with High Electromagnetic Shielding Performance. Compos. Sci. Technol. 2019, 169, 127–134. [Google Scholar] [CrossRef]
- Saville, P.; Huber, T.; Makeiff, D. Fabrication of Organic Radar Absorbing Materials: A Report on the TIF Project; Techical Report DRDC-Atlantic; Defence R&D: Ottawa, ON, Canada, 2005. [Google Scholar]
- Yellampalli, S. (Ed.) Carbon Nanotubes—Synthesis, Characterization, Applications; InTech: London, UK, 2011; ISBN 978-953-307-497-9. [Google Scholar]
- Liu, L.; He, P.; Zhou, K.; Chen, T. Microwave Absorption Properties of Helical Carbon Nanofibers-Coated Carbon Fibers. AIP Adv. 2013, 3, 082112. [Google Scholar] [CrossRef]





















| Sample | Description | Thickness |
|---|---|---|
| Polyethylene (PE) | Sample of polyethylene | t1 = 1.5 mm |
| Glass Fiber (GF) | Sample with glass fibers | t1 = 1.55 mm |
| Glass Fiber Film (GFF I) | Sample with glass fibers and one film of CNTs | t2 = 1.65 mm |
| Glass Fiber Film (GFF II) | Sample with glass fibers and two films of CNTs | t3 = 1.8 mm |
| Material Samples | Filler Content | Thickness (μm) | Frequency (GHz) | EMI SE (dB) | Ref |
|---|---|---|---|---|---|
| PVB-PANI | 60%-40% | 268 | 8.2–12.4 | 13 | [46] |
| PVB-PANI-FAC | 60%-30%-10% | 265 | 8.2–12.4 | 15 | [46] |
| PVB-PANI-Co-FAC | 60%-30%-10% | 261 | 8.2–12.4 | 19 | [46] |
| PVB-PANI-Ni-FAC | 60%-30%-10% | 259 | 8.2–12.4 | 23 | [46] |
| SDBS: SWCNT/rGO/polyester fabrics/epoxy | 1:99 | 600 | 8.2–12.4 | 40 | [85] |
| SDBS: SWCNT/rGO/polyester fabrics/epoxy | 1:99 | 600 | 8.2–12.4 | 40 | [85] |
| PVDF/heterostructure/ MWCNT | Heterostructure (10 wt%)/MWCNT (3 wt%) | 600 | 12–18 | 22–40 | [86] |
| MWCNT/WPU | 10.6% CNT | 400 | 8.2–12.4 | 24.7 | [87] |
| PANI/CNF/PVA, PANI/NFC/PVA | 10%-40% | 110 | 8.2–12.4 | 33 | [88] |
| 2–4 | 31 | [88] | |||
| GNP/EPDM | 8 wt% | 300 | 8.2–12.4 | 33 | [89] |
| 12.4–18 | 35 | ||||
| PANI-MnO2 nanorods | MnO2 nanorods 4:1 | 169 | 8.2–12.4 | 35 | [90] |
| MWCNT/polyurethane | 25% MWCNT | 100 | 8.2–12.4 | 25 | [91] |
| CNF/CF paper | 12.8 wt% | 167 | 0.5–1.0 | 24.6 | [92] |
| PVB/Ni-Gr/SCF | 70/25/5 | 200 | 8.2–12.4 | 32 | [93] |
| MWCNT/PVP/Glass Fiber (GFF I) | 40 wt% MWCNT/PVP | 71 | 8.2–12.4 | 26 | This work |
| MWCNT/PVP/Glass Fiber (GFF II) | 40 wt% MWCNT/PVP | 142 | 8.2–12.4 | 38 | This work |
Disclaimer/Publisher’s Note: The statements, opinions and data contained in all publications are solely those of the individual author(s) and contributor(s) and not of MDPI and/or the editor(s). MDPI and/or the editor(s) disclaim responsibility for any injury to people or property resulting from any ideas, methods, instructions or products referred to in the content. |
© 2025 by the authors. Licensee MDPI, Basel, Switzerland. This article is an open access article distributed under the terms and conditions of the Creative Commons Attribution (CC BY) license (https://creativecommons.org/licenses/by/4.0/).
Share and Cite
Sotiropoulos, A.; Masouras, A.; Anastassiu, H.T.; Kostopoulos, V.; Koulouridis, S. Planar Electrically Large Structures of Carbon Nanotube Films with High Absorption and Shielding Performance in X-Band. Sensors 2025, 25, 3943. https://doi.org/10.3390/s25133943
Sotiropoulos A, Masouras A, Anastassiu HT, Kostopoulos V, Koulouridis S. Planar Electrically Large Structures of Carbon Nanotube Films with High Absorption and Shielding Performance in X-Band. Sensors. 2025; 25(13):3943. https://doi.org/10.3390/s25133943
Chicago/Turabian StyleSotiropoulos, Apostolos, Athanasios Masouras, Hristos T. Anastassiu, Vassilis Kostopoulos, and Stavros Koulouridis. 2025. "Planar Electrically Large Structures of Carbon Nanotube Films with High Absorption and Shielding Performance in X-Band" Sensors 25, no. 13: 3943. https://doi.org/10.3390/s25133943
APA StyleSotiropoulos, A., Masouras, A., Anastassiu, H. T., Kostopoulos, V., & Koulouridis, S. (2025). Planar Electrically Large Structures of Carbon Nanotube Films with High Absorption and Shielding Performance in X-Band. Sensors, 25(13), 3943. https://doi.org/10.3390/s25133943

