Next Article in Journal
Facial Landmark-Driven Keypoint Feature Extraction for Robust Facial Expression Recognition
Previous Article in Journal
Research on Substation Electrical Proximity Early-Warning Technology Based on the “Electric Field + Distance” Double Criterion
Previous Article in Special Issue
A Tutorial on Mechanical Sensors in the 70th Anniversary of the Piezoresistive Effect
 
 
Font Type:
Arial Georgia Verdana
Font Size:
Aa Aa Aa
Line Spacing:
Column Width:
Background:
Article

A Parallel Plate Variable Capacitor-Based Wind Pressure Sensor: Closed-Form Solution and Numerical Design and Calibration

1
School of Civil Engineering, Chongqing University, Chongqing 400045, China
2
State Key Laboratory of Safety and Resilience of Civil Engineering in Mountain Area, Chongqing 400045, China
3
Key Laboratory of New Technology for Construction of Cities in Mountain Area of Ministry of Education (Chongqing University), Chongqing 400045, China
*
Author to whom correspondence should be addressed.
Sensors 2025, 25(12), 3760; https://doi.org/10.3390/s25123760
Submission received: 30 March 2025 / Revised: 12 June 2025 / Accepted: 13 June 2025 / Published: 16 June 2025

Abstract

In this paper, a parallel plate variable capacitor-based wind pressure sensor is proposed, which uses a wind-driven peripherally fixed circular membrane as its pressure-sensitive element and a spring-reset parallel plate variable capacitor as its sensing element. The circular membrane is first driven by the wind, and then it pushes the spring-reset movable electrode plate of the parallel plate variable capacitor to move, resulting in a change in the capacitance of the capacitor. The wind pressure, i.e., the direct action force per unit area exerted by the wind on the circular membrane, is thus detected by measuring the capacitance change of the capacitor. The elastic contact problem between the circular membrane and the spring-reset movable electrode plate is analytically solved, and its closed-form solution is presented, where the usually adopted small rotation angle assumption of the membrane is given up. The analytical relationship between the input pressure and output capacitance of the capacitive wind pressure sensor proposed here is derived. The validity of the closed-form solution is proved, and how to use the closed-form solution and input/output analytical relationship for the numerical design and calibration of the capacitive wind pressure sensor proposed here is illustrated. Finally, the qualitative and quantitative effects of changing design parameters on the capacitance–pressure analytical relationship of the wind pressure measurement system are investigated comprehensively.

1. Introduction

The “wind” refers to the flow of the mixture of gases that surrounds the Earth on a large scale, that is, the bulk movement of air on the surface of the Earth, caused by differences in atmospheric pressure. If an atmospheric pressure difference between two areas exists, the air will move from the higher-pressure area to the lower-pressure area, resulting in the winds of various strengths. How fast the air is moving is often defined as the strength of the wind, which is called the wind speed [1,2,3,4,5]. But sometimes, it is also defined by the pressure per unit area exerted by the moving air on a stationary surface, which is called the wind pressure [6,7,8,9,10]. As an action force, the direction of wind pressure is always opposite to the direction from which the wind originates, i.e., it is always opposite to the wind direction that is indicated by a pivoting weather vane.
Wind is usually measured for obtaining wind speed and wind direction, although the measurement mechanism is based on both velocity and pressure. Velocity-based measurement devices include cup [11], vane [12], hot-wire [13,14], laser Doppler [15], ultrasonic [16,17], acoustic resonance [18] and ping-pong ball [19] anemometers. The first designs of pressure-based anemometers were divided into plate and tube classes. Plate pressure anemometers are the first modern anemometers that were designed based on mechanical mechanisms [20,21], which usually use a square or circular flat plate normal to the wind to receive the action force exerted by the wind on the surfaces of the plates. The action force of the wind is balanced by a spring behind the plates. The wind pressure per unit area is determined by measuring the compression of the spring, and then the corresponding wind speed can be estimated. Since plate pressure anemometers are not very accurate, they are usually used only to trigger high-wind alarms, for example, on bridges. Tube pressure anemometers are probably the most commonly used pressure-based anemometers [22,23,24,25,26], which use a pitot–static tube with two ports to measure the stagnation pressure and static pressure. They are usually used for determining the airspeed of an aircraft [27,28,29,30] or the water speed of a boat [31]. Pitot tubes are particularly suitable for measuring the flow velocity of liquid, air, or gas in tubing or in ducts in certain industrial applications [32,33,34,35,36], because in these applications, measurements by other types of anemometers would be difficult to carry out, but the pitot tube can be inserted into the ducts through a small hole.
Although pitot-static tubes can be used to measure the stagnation pressure parallel to the wind direction and the static pressure perpendicular to the wind direction to determine the dynamic pressure of the wind being measured, there are still some special measurements of wind that are more concerned with the direct action force per unit area exerted by the wind on a rigid surface [37,38,39,40,41], rather than the stagnation or static pressure or the dynamic pressure. This is somewhat similar to the case of using a plate pressure anemometer, but existing plate pressure anemometers do not meet the needs of these special measurements of wind (not only because of their poor accuracy, but also because they do not have the ability to address remote real-time automatic detection). Here, this direct action force per unit area exerted by the wind on a rigid surface is called the wind pressure, but it is different from the stagnation or static pressure measured by pitot tubes (the stagnation or static pressure is defined in terms of energy, since according to Bernoulli’s equation, their difference is equal to the dynamic pressure, the kinetic energy per unit volume of an incompressible fluid in motion, which is equal to half of the product of the fluid density and square of the fluid velocity).
The measurement of wind pressure considered here is mainly aimed at the measurements of the direct action force per unit area exerted by the wind on some slender structures or structural members, such as ultrahigh-rise buildings [42], long-span bridges [43], tall lifting equipment [44], wind-power towers [45], electric transmission towers [46], and tall light poles or wire poles [47]. These structures or structural members will experience cyclic stress or stress amplitude under the action of wind, so it is necessary to monitor the stress amplitude level and the cycle number of the cyclic stress at high stress levels to avoid wind-induced structural fatigue failure [48,49,50,51,52]. It is well known that the stress to be measured can generally be given only by strain gauges, so it is almost impossible to extensively detect wind-induced structural stress in real time. This is also the reason why the real-time monitoring of wind-induced structural fatigue failure should be implemented, but it is difficult to be implemented at present. On the other hand, the relationship between wind-induced structural stress and wind pressure can be established by analyzing the elastic behavior of structures under wind pressure. Since the action force exerted by wind on whole structures can be determined in real time by the measured values of wind pressure at a finite number of measuring points placed on the structures, based on the established relationship between wind-induced structural stress and wind pressure, the corresponding wind-induced structural stress can also be determined in real time. In other words, the real-time monitoring of wind-induced structural fatigue failure is feasible, as long as the wind pressure (the direct action force per unit area) at a finite number of measuring points can be obtained in real time. This means that the wind pressure measurement to be addressed here has potential application value.
In this study, to achieve the measurement of wind pressure (the direct action force per unit area), a parallel plate variable capacitor-based circular wind pressure sensor is proposed. It uses a wind-driven peripherally fixed circular membrane as a pressure-sensitive element to convert the wind pressure into membrane deflection, and it uses a spring-reset circular parallel plate variable capacitor as a sensing element to convert the membrane deflection into the capacitance of the capacitor. The circular parallel plate variable capacitor is composed of a pair of parallel circular electrode plates, one of which is not allowed to move, so it is called a fixed electrode plate, while the other one is allowed to move, so it is called a movable electrode plate. The movable electrode plate is pushed by the wind-driven peripherally fixed circular membrane to move, and when the driving force disappears, it is reset by a spring behind it (its behavior is somewhat similar to that of a circular plate pressure anemometer, so, from this point of view, the wind pressure sensor proposed here can also be regarded as being derived from an improvement on plate pressure anemometers). The circular membrane can play a role in protecting the capacitor from wind and rain, and it can be any elastic thin film with good resistance to sunlight and rain. In particular, the capacitance of the capacitor can be directly used as an electrical signal output. So, as long as the elastic behavior of the circular membrane under wind pressure can be analytically solved, the sensor proposed here is feasible.
The remainder if this paper is organized as follows. In next section, the structure and operating principle of the capacitive wind pressure sensor proposed here are introduced, and the important wind pressure–capacitance analytical relationship of the wind pressure sensor proposed here is derived, where the capacitance is a function of the maximum deflection of the peripherally fixed circular membrane being in contact elastically with the spring-reset movable electrode plate, while the wind pressure applied onto the circular membrane is included in the deflection function. The large deflection problem of the peripherally fixed circular membrane being in contact elastically with the spring-reset movable electrode plate is solved analytically, which is arranged in Appendix A to maintain the consistency of the article. A closed-form solution for the large deflection problem is presented in Appendix A, in which the deflection solution will be used for determining the important wind pressure–capacitance analytical relationship of the sensor to be designed, while the stress solution will be used for determining the geometric and physical parameters of the circular membrane (these parameters are essential for the selection of the circular membrane). In Section 3, the validity of the closed-form solution presented is proved, how to use the closed-form solution during the numerical design and calibration of the wind pressure sensor proposed here is illustrated, and the effect of changing design parameters on the input–output relationship of the wind pressure measurement system is comprehensively investigated. Concluding remarks are shown in Section 4.
In comparison with the existing capacitive sensors suitable for wind pressure measurement [8,9,10,41], the advantages of the capacitive wind pressure sensor proposed here are mainly reflected in the following aspects. In the sensor proposed in this paper, the movable electrode plate and the pressure-sensitive element are independent of each other, while in the sensors proposed in [8,9,10,41], the movable electrode plate and the pressure-sensitive element are not independent of each other. This results in the advantages that the independent pressure-sensitive element in the sensor proposed in this paper, i.e., the circular membrane, can play a role in protecting the capacitor from wind and rain, and it can be any elastic thin film with good resistance to sunlight and rain. The sensor proposed in this paper adopts a parallel plate variable capacitor with a larger area than the sensors proposed in [8,9], which makes the edge effect of parallel plate capacitors easier to be reduced. The sensors proposed in [10,41] adopt a non-parallel plate variable capacitor (making the precise calculation of the capacitance difficult) and adopt a conductive thin film as the pressure-sensing element and movable electrode plate (which needs a thin film with both good conductivity and good elasticity). However, as Dr. Ferran Reverter noted in his paper marking the 70th anniversary of the piezoresistive effect, “the most appropriate mechanical sensor for a given application is the one that better adapts to the technical requirements of that application” [53].
The wind pressure sensor proposed here is mainly used to measure the direct action of the wind on the exterior facade of structures and then achieve the real-time monitoring of wind-induced structural fatigue failure. Since such real-time monitoring needs to simultaneously use many such sensors to form a computer control system, the read-out electronic circuits of the used sensors are suitable for using the digital capacitance measurement circuits that can directly convert capacitance values into digital signals [54] (but due to the length of this article, it is not covered here).

2. Materials and Methods

The action of fast-moving air (wind) on the surface of an object is different from the action of static gas on the inner wall of its storage container. The direction of the action force of the static gas is always perpendicular to the surface being acted upon and changes with the shape of the surface, and thus the static gas pressure belongs to uniformly distributed normal loads. However, the action direction of the wind is always the direction of the moving air. So, as long as the direction of the fast-moving air does not change, the action direction of the wind does not change, and thus the wind pressure belongs to the uniformly distributed transverse loads. Obviously, transverse load detection is different from normal load detection; even if the same device is used, their detection mechanism or theory is different. The structure and operating principle of the wind pressure sensor proposed here are as follows.
The proposed capacitive wind pressure sensor consists of two key construction units. One of the two is a pressure-sensitive element, which uses a wind-driven peripherally fixed circular membrane to convert the wind pressure into the membrane deflection according to a certain law. The other one is a sensing element, which uses a spring-reset circular parallel plate variable capacitor to convert the membrane deflection into the capacitance of the capacitor according to a certain law.
As shown in Figure 1a, a non-conductive cylindrical polymer tank with an inner radius a is used as a skeleton of the circular capacitive wind pressure sensor proposed here. The circular parallel plate variable capacitor is composed of a pair of parallel electrode plates, one of which is a fixed electrode plate and the other one is a movable electrode plate. The fixed electrode plate, a rigid conductive circular thin plate with a radius a, is first fixed to the bottom of the non-conductive cylindrical polymer tank and then coated by an insulator layer with a thickness t and a relative permittivity εr1. The movable electrode plate is also a rigid conductive circular thin plate with a radius a, which is connected to the insulator layer by a spring with an original length L, where the stiffness coefficient of the spring is assumed to be denoted by k and the self-weight of the movable electrode plate is assumed to be able to compress the spring by Δl (i.e., the self-weight of the movable electrode plate is equal to kΔl). The circular membrane used as the pressure-sensitive element is initially flat (before it is subjected to the action of the wind pressure and its self-weight) and is fixed to the inner wall of the non-conductive cylindrical polymer tank, and thus its radius is the same as the inner radius a of the non-conductive cylindrical polymer tank. In addition, the circular membrane that is initially flat and peripherally fixed also needs to maintain a parallel gap g with the movable electrode plate that has not been moved yet (corresponding to the spring with the original length L), to be able to consider the membrane deflection due to the self-weight of the circular membrane, that is, to ensure that the circular membrane will not touch the movable electrode plate before being subjected to wind pressure.
Under the transverse uniform loading of the wind pressure q, as shown in Figure 1b, the circular membrane will deflect elastically toward the spring-reset movable electrode plate and produce a maximum deflection wm, but it has not yet been in contact with the spring-reset movable electrode plate, i.e., the maximum deflection wm is less than the initial parallel gap g, because at this time the wind pressure q is not yet large enough. The maximum deflection wm has included the deflection due to the self-weight of the circular membrane. This means that the initial parallel gap g should be greater than or equal to the deflection due to the self-weight of the circular membrane.
As the wind pressure q intensifies, this wind-driven circular membrane will be in contact with the spring-reset movable electrode plate, as shown in Figure 1c, where the contact radius between the wind-driven circular membrane and the spring-reset movable electrode plate is denoted by b. The movement of the spring-reset movable electrode plate is attributed to both its self-weight and the driving force from the wind-driven circular membrane, that is, at this time, the total spring compression ΔLL = wmg) has included the initial spring compression Δl due to the self-weight of the movable electrode plate. Therefore, at this time, the parallel gap between the spring-reset movable electrode plate and the insulator layer is equal to L − (wmg), as seen in Figure 1c.
Therefore, after the wind-driven circular membrane is in contact with the spring-reset movable electrode plate, as shown in Figure 1c, the circular parallel plate variable capacitor between the movable and fixed electrode plates may be regarded as consisting of two series parallel plate capacitors with two different dielectric materials. One of the two dielectric materials is the insulator layer with thickness t and relative permittivity εr1 and the other one is the air (the relative permittivity of the air is denoted by εr2, and εr2 = 1.00053) between the spring-reset movable electrode plate and the insulator layer (the air gap is equal to L − (wmg); see Figure 1c). If the vacuum permittivity is denoted by ε0 (ε0 = 8.854 × 10−3 pF/mm), then the capacitance C1 of the insulator layer capacitor may be written as
C 1 = ε 0 ε r 1 π a 2 t .
Also, the capacitance C2 of the air capacitor may be written as
C 2 = ε 0 ε r 2 π a 2 L w m + g .
The relationship between the total capacitance C of the sensor and the capacitances C1 and C2 is given by
1 C = 1 C 1 + 1 C 2 .
From Equations (1)–(3), the total capacitance C of the sensor may finally be written as
C = C 1 C 2 C 1 + C 2 = ε 0 ε r 1 ε r 2 π a 2 ε r 1 ( L w m + g ) + ε r 2 t .
It can be seen from Equation (4) that the capacitance C and the maximum deflection wm are in one-to-one correspondence. Therefore, the value of the maximum deflection wm can be determined from the measured value of the capacitance C through Equation (4). On the other hand, under the working condition in Figure 1c, the value of the maximum deflection wm of the circular membrane depends on the driving force of the wind pressure q and the restoring force of the compressed spring. Obviously, after the spring and the movable electrode plate are given, the spring stiffness coefficient k is constant and the initial spring compression Δl is also constant (the self-weight of the movable electrode plate is fixed); only the wind pressure q is a variable. Therefore, the wind pressure q and the maximum deflection wm are also in one-to-one correspondence. This means that the capacitance C and the wind pressure q are in one-to-one correspondence. Therefore, as long as the relationship of the one-to-one correspondence between the capacitance C and the wind pressure q is known, the value of the wind pressure q can be determined by the measured value of the capacitance C; that is, the proposed wind pressure sensor can be realized.
The one-to-one corresponding relationship between the capacitance C and the wind pressure q, i.e., the analytical relationship between C and q, can only be determined by analytically solving the large deflection problem of the wind-driven peripherally fixed circular membrane being in contact elastically with the spring-reset movable electrode plate (see Figure 1c), which will be detailed in Appendix A.

3. Results and Discussion

In this section, some important issues will be addressed, which are critical to the numerical design and calibration of the sensor proposed here. As mentioned above, the closed-form solution derived in Appendix A plays a very important role in the development of the proposed wind pressure sensor. So, it should be discussed first whether there are derivation mistakes in the analytical solution to the membrane/plate elastic contact problem in Appendix A and whether the obtained closed-form solution is correct and valid, which will be detailed in Section 3.1. And then, how to use the closed-form solution derived in Appendix A for numerically designing and calibrating the proposed sensor is illustrated, which will be detailed in Section 3.2. Finally, the effect of changing design parameters on the input–output relationship of the sensor is comprehensively investigated, which is very important for the numerical design and calibration of the wind pressure sensor proposed here and will be detailed in Section 3.3.

3.1. Validity of Closed-Form Solution

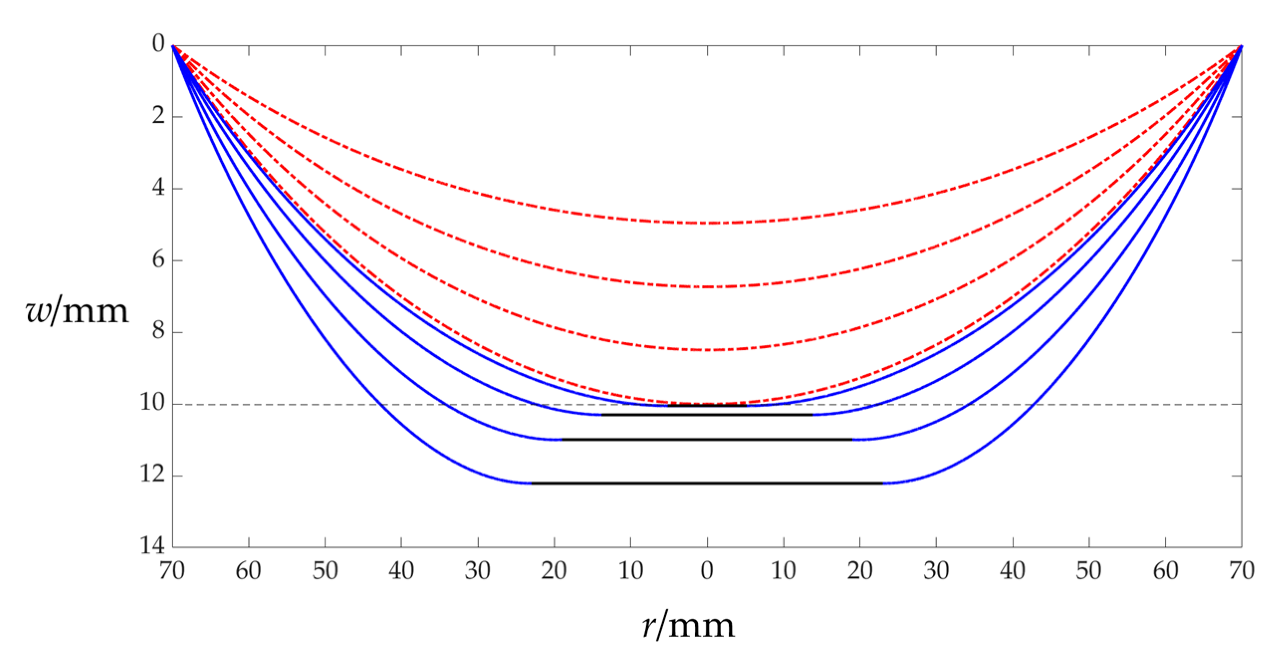
The closed-form solution of the membrane/plate elastic contact problem derived in Appendix A can be shown to be valid in the following way. Obviously, before the membrane/plate contact, as shown in Figure A1a, the deflection of the circular membrane under transverse uniform loads q is not constrained, while after membrane/plate contact, as shown in Figure A1b, the deflection of the circular membrane under transverse uniform loads q is constrained elastically by the spring-reset movable electrode plate, and within the membrane/plate contact region of radius b, the circular membrane is flat. In other words, the membrane/plate contact radius b will gradually decrease to zero as the transverse uniform loads q gradually decrease. Therefore, the deflection curve drawn with the membrane/plate contact closed-form solution (the closed-form solution obtained in Appendix A) should be continuous with the deflection curve drawn with the membrane/plate non-contact closed-form solution (the closed-form solution for the large deflection problem of the circular membrane in Figure A1a), that is, the deflection curve of the circular membrane under transverse uniform loads q should continuously change as the transverse uniform loads q gradually decrease. In other words, as the transverse uniform loads q gradually decrease, the deflection curve in the case of the membrane/plate contact should gradually approach or be close to the deflection curve in the case of membrane/plate non-contact. In this case, if the membrane/plate non-contact closed-form solution is valid, then the membrane/plate contact closed-form solution should also be valid; that is, the closed-form solution derived in Appendix A is valid. Figure 2 shown such a case of a gradual approach, where the four deflection curves in the case of membrane/plate contact (the four solid lines in Figure 2) are calculated using the closed-form solution derived in Appendix A, while the four deflection curves in the case of membrane/plate non-contact (the four dot–dashed lines in Figure 2) are calculated using a well-established closed-form solution for the large deflection problem of transversely uniformly loaded circular membranes presented in [55]. It can be concluded from Figure 2 that the closed-form solution derived in Appendix A should be valid.
The relevant geometric and physical parameters used in the deflection calculations for plotting Figure 2 are, respectively, radius a = 70 mm, thickness h = 0.3 mm, Poisson’s ratio v = 0.45, and Young’s modulus of elasticity E = 3.01 MPa for the used circular membrane, as well as an initial parallel gap g = 5 mm, a spring stiffness coefficient k = 0.5 N/mm, and an initial spring compression Δl = 5 mm, while the transverse uniform loads q, respectively, take 20 Pa, 50 Pa, 100 Pa, 163 Pa, 180 Pa, 250 Pa, 450 Pa, and 650 Pa (in Figure 2, from top to bottom). When the transverse uniform loads q take 20 Pa, 50 Pa, 100 Pa, and 163 Pa, respectively, the undetermined constant c of the membrane/plate non-contact problem is c = 0.334131, c = 0.330840, c = 0.326663, and c = 0.322379, respectively, which is calculated using the closed-form solution presented in [55]. And when the transverse uniform loads q take 180 Pa, 250 Pa, 450 Pa, and 650 Pa, respectively, the undetermined constants β, c0, c1–, and d0 of the membrane/plate contact problem are β = 0.544050, c0 = 0.024999, c1 = −0.004715, and d0 = 0.107564 for q = 180 Pa, β = 0.598700, c0 = 0.029582, c1 = −0.005228, and d0 = 0.109212 for q = 250 Pa; β = 0.649548, c0 = 0.040977, c1 = −0.006322, and d0 = 0.119276 for q = 450 Pa; and β = 0.666143, c0 = 0.051272, c1 = −0.007420, and d0 = 0.129987 for q = 650 Pa, respectively, which are calculated using the closed-form solution derived in Appendix A.
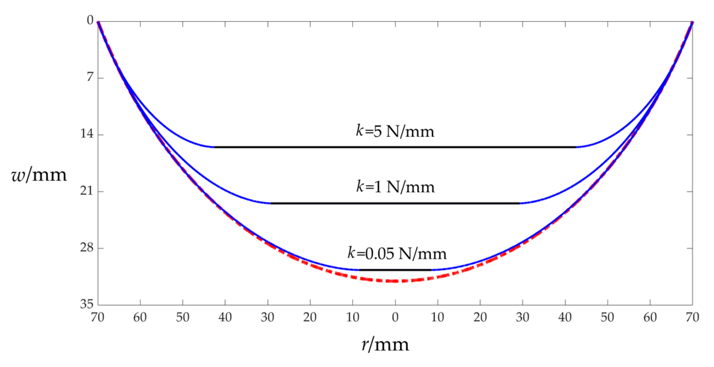
Similarly, the closed-form solution of the membrane/plate elastic contact problem derived in Appendix A can also be shown to be valid in the following way. Under the premise that the transverse uniform loads q remains constant, if the spring stiffness coefficient k is gradually reduced to zero, then the deflection curve in the case of membrane/plate contact will gradually approach the deflection curve in the case of membrane/plate contact (i.e., it is assumed that the same circular membrane will not be constrained elastically by the spring-reset movable electrode plate under the same transverse uniform loads q), as shown in Figure 3, where the three deflection curves in the case of membrane/plate contact (the three solid lines in Figure 3) are calculated using the closed-form solution derived in Appendix A, while the deflection curve of the same membrane under the same transverse uniform loads q (the dot–dashed line in Figure 3) is calculated using the closed-form solution presented in [55]. From Figure 3, it can also be concluded that the closed-form solution derived in Appendix A should be valid.
The relevant geometric and physical parameters used in the deflection calculations for plotting Figure 3 are the same as those for plotting Figure 2, but the spring stiffness coefficient k takes 5 N/mm, 1 N/mm, and 0.05 N/mm, respectively, and the transverse uniform loads q are always kept at 5000 Pa. In addition, the undetermined constants β, c0, c1, and d0 used to determine the three solid lines in Figure 3 are β = 0.799273, c0 = 0.155824, c1 = −0.011412, and d0 = 0.173902 for k = 5 N/mm; β = 0.701074, c0 = 0.212254, c1 = −0.020493, and d0 = 0.249306 for k = 1 N/mm; and β = 0.557908, c0 = 0.263520, c1 = −0.034924, and d0 = 0.341315 for k = 0.05 N/mm, respectively, which are calculated using the closed-form solution derived in Appendix A. Meanwhile, the undetermined constant c used to determine the dot–dashed line in Figure 3 is c = 0.217788, which is calculated using the closed-form solution presented in [55].

3.2. How to Use Closed-Form Solution for Numerical Design and Calibration

In this section, we will show how to use the closed-form solution derived in Appendix A to carry out the numerical design and calibration of the proposed wind pressure sensor.
The design parameters of the sensor to be designed include the following geometric and physical parameters. The geometric parameters include the inner radius a of the non-conductive cylindrical polymer tank (the radius of the circular membrane or movable and fixed electrode plates, see Figure 1), the original length L of the spring, the initial parallel gap g between the initially flat circular membrane and the movable electrode plate, the insulator layer thickness t, the membrane thickness h, and the initial spring compression Δl. The physical parameters include the Young’s modulus of elasticity E and Poisson’s ratio v of the circular membrane, the spring stiffness coefficient k, and the relative permittivity εr1 of the insulator layer. In addition, the vacuum permittivity is ε0 = 8.854 × 10−3 pF/mm and the air relative permittivity is εr2 = 1.00053.
Obviously, the main task of a numerical design and calibration is to determine the specific values of these geometric and physical parameters, in which the radius a, initial parallel gap g, and original length L determine the spatial dimensions of the sensor to be designed and thus are determined by the specific use conditions of the sensor. As an example, it is assumed that a = 70 mm, g = 5 mm, and L = 40 mm, in which the membrane deflection due to its self-weight is assumed to be less than or equal to 5 mm. It should be noted that if the sensor is placed vertically (rather than horizontally as in Figure 1), then the initial parallel gap g should take zero; i.e., the most general case of use is considered here. In addition, the wind pressure q, that is, the transverse uniform loads q used in the derivation in Appendix A, is also determined by the specific use conditions of the sensor to be designed, and the wind pressure q to be measured is assumed here to be less than about 15,000 Pa.
The remaining geometric and physical parameters are parameters that need to be determined by trial and error, that is, first specifying the values of these parameters, then performing extensive numerical calculations with the closed-form solution derived in Appendix A, and then using the results of these numerical calculations to generate a scatter plot whose vertical coordinate is the wind pressure q and horizontal coordinate is the total capacitance C of the sensor. The reason why the wind pressure q is specified as the vertical coordinate variable and the capacitance C is specified as the horizontal coordinate variable is to meet the measurement principle of the wind pressure measurement system addressed here; that is, the wind pressure q applied to the parallel plate variable capacitor-based circular wind pressure sensor can be detected by measuring the capacitance C of the sensor subjected to wind pressure q. Therefore, the wind pressure measurement system requires an input/output analytical relationship that uses the capacitance C as an input variable and the wind pressure q as an output variable (called the capacitance–pressure (Cp) analytical relationship for short), rather than the pressure–capacitance (pC) analytical relationship that uses the wind pressure q as an input variable and the capacitance C as an output variable (see Equation (4)).
Assuming that a circular membrane with a radius a = 70 mm, thickness h = 0.3 mm, Poisson’s ratio v = 0.45, Young’s modulus of elasticity E = 3.01 MPa, and yield strength σy = 2 MPa is tentatively used, and the remaining other geometric and physical parameters are tentatively determined as k = 0.5 N/mm, Δl = 5 mm (i.e., the self-weight of the movable electrode plate is equal to kΔl = 2.5 N ≈ 0.25 kg), t = 0.1 mm, and εr1 = 2.5 (the insulator layer is assumed to use polyethylene). It can be seen from Figure 2 that when the wind pressure q takes 163 Pa, the maximum deflection wm of the circular membrane is close to 10 mm, that is, the circular membrane is very close to the spring-reset movable electrode plate (due to g + Δl = 10 mm). Therefore, based on the closed-form solution derived in Appendix A as well as the pC analytical relationship given by Equation (4), the numerical calculations of the membrane/plate elastic contact problem dealt with in Appendix A may start from q = 164 Pa.
It can be found from Equation (A28) that Q = 0.012713, K = 0.176251, L ¯ = 0.071429, and G = 0.071429, where q = 164 Pa = 1.64 × 10−4 MPa (N/mm2), a = 70 mm, E = 3.01 MPa, h = 0.3 mm, k = 0.5 N/mm, Δl = 5 mm, and g = 5 mm. Therefore, by simultaneously solving Equations (A51), (A52), and (A55), it can be found that the undetermined constants c0, c1, and β (β = (1 + α)/2 and α = b/a) are c0 = 0.023938, c1 = −0.004382, and β = 0.508089 (α = 0.016178 and b = 1.13246 mm), where Q = 0.012713, K = 0.176251, L ¯ = 0.071429, G = 0.071429, and v = 0.45. Further, with c0 = 0.023938, c1 = −0.004382, and β = 0.508089, it can be found from Equation (A49) that the dependent undetermined constant d0 is d0 = 0.109411. In addition, it can be found from Equation (A59) that the maximum membrane stress σm is σm = 0.075231 MPa, it can be found from Equation (A58) that the maximum membrane deflection wm is wm = 10.00132 mm, and finally it can be found from Equation (4) that the total capacitance C of the sensor is C = 3.8923, where L = 40 mm, g = 5 mm, t = 0.1 mm, wm = 10.00132 mm, εr1 = 2.5, εr2 = 1.00053, and ε0 = 8.854 × 10−3 pF/mm.
After finishing the calculations of the first step for q = 164 Pa, the value of the wind pressure q needs to be increased by an as-small-as-possible increment Δq to continue the numerical calculations for q + Δq. If the maximum membrane deflection wm calculated in this step is less than L (40 mm) and the maximum membrane stress σm calculated in this step is less than σy (2 MPa), then the value of the wind pressure q needs to be further increased by another increment Δq to continue the numerical calculations for q + 2Δq, and so on, until the maximum membrane deflection wm calculated is close to L (40 mm), or the maximum membrane stress σm calculated is close to σy (2 MPa). At this time, if the value of the wind pressure q is not yet close to 15,000 Pa, then the value of the membrane thickness h needs to be increased by an as-small-as-possible increment Δh to repeat the above process of numerical calculations with h + Δh. The condition that such a repeat can be stopped is that the maximum calculated membrane deflection wm is close to L (40 mm) and the value of the wind pressure q is close to 15,000 Pa but the maximum membrane stress σm calculated is not yet close to σy (2 MPa). The numerical calculations can be stopped, if this stop condition is met. The results of numerical calculations for this numerical example are listed in Table A1 in Appendix D.
A scatter plot whose vertical coordinate is the wind pressure q and horizontal coordinate is the total capacitance C is shown in Figure 4, where the solid points represent the data pairs of pressure q and capacitance C in Table A1. “Function 1” and “Function 2”, i.e., the dashed curve and dot–dashed line in Figure 4, are the nonlinear and linear capacitance–pressure (Cp) analytical relationships, which are obtained based on least-square fitting for the numerical calculation values of the pressure q and capacitance C in Table A1. The fitted nonlinear and linear analytical expressions for “Function 1” and “Function 2” are listed in Table 1. Obviously, the wind pressure measurement system to be designed can adopt either a nonlinear or linear analytical expression as its Cq analytical relationship, where the linear one is simple and is therefore suitable for either analog or digital techniques, while the complex nonlinear analytical expression is only suitable for digital techniques.
It can be seen from Table A1 that the variation range of the input capacitance C is about 3.8923 pF~28.9153 pF, and the variation range of the output wind pressure q is about 164 Pa~15000 Pa. Therefore, a capacitance of 1fF can identify a wind pressure of about 0.593 Pa, that is, this wind pressure measurement system can use 1fF capacitance to recognize 0.593 Pa wind pressure.
However, if this calibration result of 0.593 Pa/fF does not meet the use requirements or technical needs, then the capacitance–pressure (Cp) analytical relationship of the measurement system needs to be regenerated by adjusting one or some of the design parameters, including the spring stiffness coefficient k, radius a, thickness h and t, Poisson’s ratio v, Young’s modulus of elasticity E, initial parallel gap g, and the initial spring compression Δl, until the use requirements or technical needs are met. So, from this point of view, it is necessary to know in advance how changes in the design parameters will qualitatively and quantitatively affect the Cq analytical relationships, which will be addressed in the next section.

3.3. Effects of Changing Design Parameters on C–q Analytical Relationships

In this section, the values of the design parameters used in Section 3.2, i.e., k = 0.5 N/mm, a = 70 mm, h = 0.3 mm, t = 0.1 mm, E = 3.01 MPa, ν = 0.45, g = 5 mm, and Δl = 5 mm, will be used as a benchmark for parameter adjustments here. The remaining parameters, which will be kept unchanged, are L = 40 mm, εr1 = 2.5, εr2 = 1.00053, and ε0 = 8.854×10−3 pF/mm. On the basis of this benchmark, the spring stiffness coefficient k, radius a, thickness h and t, Young’s modulus of elasticity E, Poisson’s ratio v, initial parallel gap g, and initial spring compression Δl will be changed one by one to qualitatively and quantitatively investigate their effects on the capacitance–pressure (Cp) analytical relationships.

3.3.1. Effect of Changing Spring Stiffness Coefficient k on Cq Relationships

In this section, the spring stiffness coefficient k will, respectively, take 0.1 N/mm, 0.5 N/mm, and 1 N/mm, and the other parameters remain unchanged, while the wind pressure q takes different values. The numerical calculation results are listed in Table A1 for k = 0.5 N/mm, in Table A2 for k = 0.1 N/mm, and in Table A3 for k = 1 N/mm. The Cp analytical relationships generated by the data in Table A1, Table A2 and Table A3 are shown in Figure 5.
From Figure 5, the qualitative effect of changing the spring stiffness coefficient k on the Cp analytical relationships can be concluded as follows: with the increase in k, the variation range of q increases, but the variation range of C decreases. The quantitative effect of changing k on Cp analytical relationships are analyzed as follows. The relative increase in k is (1 N/mm − 0.1 N/mm)/0.1 N/mm = 900%. It can be found from Table A2 and Table A3 that the relative increase in the variation range of q is [(18200 Pa − 164 Pa) − (11200 Pa − 164 Pa)]/(11200 Pa − 164 Pa) = 63.43%, and the relative increase in C is [(27.2152 pF − 3.8922 pF) − (29.3503 pF − 3.8927 pF)]/(29.3503 pF − 3.8927 pF) = −8.38%. Therefore, the degree of influence of increasing k on the variation range of q is 63.43%/900% = 7.05%, and the degree of influence of increasing k on the variation range of C is −8.38%/900% = −0.93%. Therefore, it can be concluded that a 1% increase in the spring stiffness coefficient k will result in a 7.05% increase in the variation range of the output wind pressure q and a 0.93% decrease in the variation range of the input capacitance C.

3.3.2. Effect of Changing Outer Radius a on Cq Relationships

In this section, the radius a will, respectively, take 70 mm, 80 mm, and 90 mm, and the other parameters remain unchanged, while the wind pressure q takes different values. The numerical calculation results are listed in Table A1 for a = 70 mm, in Table A4 for a = 80 mm, and in Table A5 for a = 90 mm. The Cp analytical relationships generated by the data in Table A1, Table A4 and Table A5 are shown in Figure 6.
From Figure 6, the qualitative effect of changing a on Cp analytical relationships can be concluded as follows: with the increase in a, the variation range of q decreases, but the variation range of C increases. The quantitative effect of changing a on Cp analytical relationships is analyzed as follows. The relative increase in a is (90 mm − 70 mm)/70 mm = 28.57%. It can be found from Table A1 and Table A5 that the relative increase in the variation range of q is [(6750 Pa − 60 Pa) − (15000 Pa − 164 Pa)]/(15000 Pa − 164 Pa) = −54.91%, and the relative increase in C is [(48.9625 pF − 6.4340 pF) − (28.9153 pF − 3.8923 pF)]/(28.9153 pF − 3.8923 pF) = 69.96%. Therefore, the influence degree of increasing a on the variation range of q is −54.91%/28.57% = −192.19%, and the influence degree of increasing a on the variation range of C is 69.96%/28.57% = 244.87%. Therefore, it can be concluded that a 1% increase in the radius a will result in a 192.19% decrease in the variation range of the output wind pressure q and a 244.87% increase in the variation range of the input capacitance C.

3.3.3. Effect of Changing Membrane Thickness h on Cq Relationships

In this section, the membrane thickness h will, respectively, take 0.1 mm, 0.3 mm, and 0.5 mm, and the other parameters remain unchanged, while the wind pressure q takes different values. The numerical calculation results are listed in Table A1 for h = 0.3 mm, in Table A6 for h = 0.1 mm, and in Table A7 for h = 0.5 mm. The Cp analytical relationships generated by the data in Table A1, Table A6 and Table A7 are shown in Figure 7.
From Figure 7, the qualitative effect of changing h on Cp analytical relationships can be concluded as follows: with the increase in h, the variation range of q increases and the variation range of C slightly increases. The quantitative effect of changing h on Cp analytical relationships are analyzed as follows. The relative increase in h is (0.5 mm − 0.1 mm)/0.1 mm = 400%. It can be found from Table A6 and Table A7 that the relative increase in the variation range of q is [(22400 Pa − 272 Pa) − (7000 Pa − 54.5 Pa)]/(7000 Pa − 54.5 Pa) = 218.59%, and the relative increase in C is [(30.0945 pF − 3.8921 pF) − (26.7918 pF − 3.8922 pF)]/(26.7918 pF − 3.8922 pF) = 14.42%. Therefore, the influence degree of increasing h on the variation range of q is 218.59%/400% = 54.65%, and the influence degree of increasing h on the variation range of C is 14.42%/400% = 3.61%. Therefore, it can be concluded that a 1% increase in the membrane thickness h will result in a 54.65% increase in the variation range of the output wind pressure q and a 3.61% increase in the variation range of the input capacitance C.

3.3.4. Effect of Changing Insulator Layer Thickness t on Cp Relationships

In this section, the insulator layer thickness t will, respectively, take 0.1 mm, 2.5 mm, and 5 mm, and the other parameters remain unchanged, while the wind pressure q takes different values. The numerical calculation results are listed in Table A1 for t = 0.1 mm, in Table A8 for t = 2.5 mm, and in Table A9 for t = 5 mm. The Cp analytical relationships generated by the data in Table A1, Table A8, and Table A9 are shown in Figure 8.
From Figure 8, the qualitative effect of changing t on Cp analytical relationships can be concluded as follows: with the increase in t, the variation range of q does not change but the variation range of C decreases. The quantitative effect of changing t on Cp analytical relationships are analyzed as follows. The relative increase in t is (5 mm − 0.1 mm)/0.1 mm = 4900%. It can be found from Table A1 and Table A9 that the relative increase in the variation range of q is [(15000 Pa − 164 Pa) − (15000 Pa − 164 Pa)]/(15000 Pa − 164 Pa) = 0, and the relative increase in C is [(20.8773 pF − 3.7005 pF) − (28.9153 pF − 3.8923 pF)]/(28.9153 pF − 3.8923 pF) = −31.36%. Therefore, the influence degree of increasing t on the variation range of q is equal to zero, and the influence degree of increasing t on the variation range of C is −31.36%/4900% = −0.64%. Therefore, it can be concluded that a 1% increase in the insulator layer thickness t will result only in a 0.64% decrease in the variation range of the input capacitance C.

3.3.5. Effect of Changing Young’s Modulus of Elasticity E on Cq Relationships

In this section, the spring stiffness coefficient k will, respectively, take 3.01 MPa, 5 MPa, and 7.84 MPa, and the other parameters remain unchanged, while the wind pressure q takes different values. The numerical calculation results are listed in Table A1 for E = 3.01 MPa, in Table A10 for E = 5 MPa, and in Table A11 for E = 7.84 MPa. The Cp analytical relationships generated by the data in Table A1, Table A10, and Table A11 are shown in Figure 9.
From Figure 9, the qualitative effect of changing E on Cp analytical relationships can be concluded as follows: with the increase in E, the variation range of q increases, but the variation range of C decreases. The quantitative effect of changing E on Cp analytical relationships are analyzed as follows. The relative increase in E is (7.84 MPa − 3.01 MPa)/3.01 MPa = 160.47%. It can be found from Table A1 and Table A11 that the relative increase in the variation range of q is [(30800 Pa − 425.5 Pa) − (15000 Pa − 164 Pa)]/(15000 Pa − 164 Pa) = 104.74%, and the relative increase in C is [(26.0298 pF − 3.8922 pF) − (28.9153 pF − 3.8923 pF)]/(28.9153 pF − 3.8923 pF) = −11.53%. Therefore, the influence degree of increasing E on the variation range of q is 104.74%/160.47% = 65.27%, and the influence degree of increasing E on the variation range of C is −8.38%/160.47% = −7.19%. Therefore, it can be concluded that a 1% increase in the Young’s modulus of elasticity E will result in a 65.27% increase in the variation range of the output wind pressure q and a 7.19% decrease in the variation range of the input capacitance C.

3.3.6. Effect of Changing Poisson’s Ratio v on Cq Relationships

In this section, the Poisson’s ratio v will, respectively, take 0.15, 0.3, and 0.45, and the other parameters remain unchanged, while the wind pressure q takes different values. The numerical calculation results are listed in Table A1 for v = 0.45, in Table A12 for v = 0.15, and in Table A13 for v = 0.3. The Cp analytical relationships generated by the data in Table A1, Table A12, and Table A13 are shown in Figure 10.
From Figure 10, the qualitative effect of changing v on Cp analytical relationships can be concluded as follows: with the increase in v, the variation range of q increases, but the variation range of C hardly changes. The quantitative effect of changing v on Cp analytical relationships are analyzed as follows. The relative increase in v is (0.45 − 0.15)/0.15 = 200%. It can be found from Table A1 and Table A12 that the relative increase in the variation range of q is [(15000 Pa − 164 Pa) − (11200 Pa − 114 Pa)]/(11200 Pa − 164 Pa) = 33.83%, and the relative increase in C is [(28.9153 pF − 3.8923 pF) − (28.5514 pF − 3.8921 pF)]/(28.5514 pF − 3.8921 pF) = 1.47%. Therefore, the influence degree of increasing v on the variation range of q is 33.83%/200% = 16.91%, and the influence degree of increasing v on the variation range of C is 1.47%/200% = 0.74%. Therefore, it can be concluded that a 1% increase in the Poisson’s ratio v will result in a 16.91% increase in the variation range of the output wind pressure q and a 0.74% decrease in the variation range of the input capacitance C.

3.3.7. Effect of Changing Initially Parallel Gap g on Cq Relationships

In this section, the initially parallel gap g will, respectively, take 1 mm, 3 mm, and 5 mm, and the other parameters remain unchanged, while the wind pressure q takes different values. The numerical calculation results are listed in Table A1 for g = 5 mm, in Table A14 for g = 1 mm, and in Table A15 for g = 3 mm. The Cp analytical relationships generated by the data in Table A1, Table A14, and Table A15 are shown in Figure 11.
From Figure 11, the qualitative effect of changing g on Cp analytical relationships can be concluded as follows: with the increase in g, the variation ranges of both q and C slightly increase. The quantitative effect of changing g on Cp analytical relationships are analyzed as follows. The relative increase in g is (5 mm − 1 mm)/1 mm = 400%. It can be found from Table A1 and Table A14 that the relative increase in the variation range of q is [(15000 Pa − 164 Pa) − (11900 Pa − 35.6 Pa)]/(11900 Pa − 35.6 Pa) = 25.05%, and the relative increase in C is [(28.9153 pF − 3.8923 pF) − (26.13 pF − 3.8922 pF)]/(26.13 pF − 3.8922 pF) = 12.52%. Therefore, the influence degree of increasing g on the variation range of q is 25.05%/400% = 6.26%, and the influence degree of increasing g on the variation range of C is 12.52%/400% = 3.13%. Therefore, it can be concluded that a 1% increase in the initially parallel gap g will result in a 6.26% increase in the variation range of the output wind pressure q and a 3.13% increase in the variation range of the input capacitance C.

3.3.8. Effect of Changing Initial Spring Compression Δl on Cq Relationships

In this section, the initial spring compression Δl will, respectively, take 1 mm, 3 mm, and 5 mm, and the other parameters remain unchanged, while the wind pressure q takes different values. The numerical calculation results are listed in Table A1 for Δl = 5 mm, in Table A16 for Δl = 1 mm, and in Table A17 for Δl = 3 mm. The Cp analytical relationships generated by the data in Table A1, Table A16, and Table A17 are shown in Figure 12.
From Figure 12, the qualitative effect of changing Δl on Cp analytical relationships can be concluded as follows: with the increase in Δl, the variation range of q hardly changes, while the variation range of C slightly increases. The quantitative effect of changing Δl on Cp analytical relationships are analyzed as follows. The relative increase in Δl is (5 mm − 1 mm)/1 mm = 400%. It can be found from Table A1 and Table A16 that the relative increase in the variation range of q is [(15000 Pa − 164 Pa) − (15300 Pa − 35.5 Pa)]/(15300 Pa − 35.5 Pa) = −2.81%, and the relative increase in C is [(28.9153 pF − 3.8923 pF) − (27.484 pF − 3.4933 pF)]/(27.484 pF − 3.4933 pF) = 4.30%. Therefore, the influence degree of increasing Δl on the variation range of q is −2.81%/400% = −0.70%, and the influence degree of increasing Δl on the variation range of C is −4.30%/400% = 1.08%. Therefore, it can be concluded that a 1% increase in the initial spring compression Δl will result in a 0.70% decrease in the variation range of the output wind pressure q and a 1.08% increase in the variation range of the input capacitance C.

4. Concluding Remarks

In this paper, a theoretical study on a parallel plate variable capacitor-based circular wind pressure sensor is presented, where the key theories (the closed-form solution and input/output analytical relationship) necessary to design such wind pressure sensors are given, the validity of the closed-form solution is proved, and a numerical example is given to demonstrate how to use the closed-form solution and input/output analytical relationship for numerical design and calibration. In addition, the qualitative and quantitative effects of changing design parameters on capacitance–pressure (Cq) analytical relationships are comprehensively investigated. To facilitate the design and development of such wind pressure sensors, the quantitative effects of changing design parameters on Cq analytical relationships are summarized as follows.
A 1% increase in the spring stiffness coefficient k will give rise to a 7.05% increase in the variation range of the output wind pressure q and a 0.93% decrease in the variation range of the input capacitance C.
A 1% increase in the radius a will give rise to a 192.19% decrease in the variation range of the output wind pressure q and a 244.87% increase in the variation range of the input capacitance C.
A 1% increase in the membrane thickness h will give rise to a 54.65% increase in the variation range of the output wind pressure q and a 3.61% increase in the variation range of the input capacitance C.
A 1% increase in the insulator layer thickness t will give rise to only a 0.64% decrease in the variation range of the input capacitance C.
A 1% increase in the Young’s modulus of elasticity E will give rise to a 65.27% increase in the variation range of the output wind pressure q and a 7.19% decrease in the variation range of the input capacitance C.
A 1% increase in the Poisson’s ratio v will give rise to a 16.91% increase in the variation range of the output wind pressure q and a 0.74% decrease in the variation range of the input capacitance C.
A 1% increase in the initially parallel gap g will give rise to a 6.26% increase in the variation range of the output wind pressure q and a 3.13% increase in the variation range of the input capacitance C.
A 1% increase in the initial spring compression Δl will give rise to a 0.70% decrease in the variation range of the output wind pressure q and a 1.08% increase in the variation range of the input capacitance C.
According to the above quantitative effects of changing design parameters on capacitance–pressure (Cq) analytical relationships, if the Cq analytical relationship to be calibrated does not meet the use or technical requirements, the design parameter that has a greater effect on Cq analytical relationships should be first adjusted to increase or decrease the variation range of the output wind pressure q or the input capacitance C.
The work presented here is mainly devoted to providing the basic or general theory needed for the numerical design and calibration of such wind pressure sensors. So, further research is still needed, especially experimental studies combined with the development of well-defined sensors. The experimental tests of the wind pressure sensor to be developed should be carried out in a wind tunnel whose cross-section is at least three times larger than the area of the sensor, such that the sensor is similar to operating in a natural wind environment.

Author Contributions

Conceptualization, X.-T.H., J.-Y.S. and Y.G.; methodology, J.-S.R., X.-T.H. and Y.G.; validation, J.-Y.S.; writing—original draft preparation, J.-S.R. and J.-M.Y.; writing—review and editing, J.-S.R., J.-M.Y. and X.-T.H.; visualization, J.-S.R. and J.-M.Y.; funding acquisition, J.-Y.S. All authors have read and agreed to the published version of the manuscript.

Funding

This research was funded by the National Natural Science Foundation of China (Grant No. 11772072).

Institutional Review Board Statement

Not applicable.

Informed Consent Statement

Not applicable.

Data Availability Statement

The original contributions presented in this study are included in the article. Further inquiries can be directed to the corresponding author(s).

Conflicts of Interest

The authors declare no conflicts of interest.

Appendix A. Closed-Form Solution of Membrane/Plate Elastic Contact Problem

Suppose that the Young’s modulus of elasticity, Poisson’s ratio, thickness, and radius of the initially flat and peripherally fixed circular membrane used in Figure 1 are denoted by E, v, h, and a, respectively, and the initial parallel gap g between the initially flat and peripherally fixed circular membrane and the spring-reset movable electrode plate is greater than or equal to the deflection due to the self-weight of the circular membrane.
The wind-driven circular membrane freely and elastically behaves before it touches the spring-reset movable electrode plate, as shown in Figure A1a, where o, r, φ, and w denote the coordinate origin, radial, circumferential, and transverse coordinates of the introduced cylindrical coordinate system (r, φ, w), respectively; the coordinate origin o is at the centroid of the geometric middle plane (the dash–dotted line) of the circular membrane that is initially flat and peripherally fixed, the polar plane (r, φ) is located in the plane in which the geometric middle plane is located; and wm denotes the maximum deflection of the circular membrane under the transverse uniform loading of the wind pressure q. In addition, w also denotes the membrane deflection or transverse displacement of the circular membrane under the transverse uniform loading of the wind pressure q, and the circumferential coordinate φ cannot be shown due to the profile. The large deflection elastic behavior of the circular membrane with free deflection under the transverse uniform loading of the wind pressure q (see Figure A1a) has been well formulated mathematically, and its closed-form solution can be found in [55].
As the wind pressure q intensifies, the wind-driven large deflection circular membrane will be in contact elastically with the spring-reset movable electrode plate (its deflection is elastically constrained by the spring-reset movable electrode plate), as shown in Figure A1b, where the contact radius between the spring-reset movable electrode plate and the wind-driven large deflection circular membrane is denoted by b. When the interaction between the wind-driven large deflection circular membrane and the spring-reset movable electrode plate reaches static equilibrium, the spring is compressed by ΔLL = wmg, see Figure A1b) from its original length L. Such a membrane/plate interaction can be analyzed by introducing a membrane/plate interaction force q’ that is uniformly distributed over the contact area πb2, as shown in Figure A1c, where the upward force perpendicular to the polar plane (r, φ) acting on the movable electrode plate is only the restoring force F (F = kΔL = k(wmg)) of the compressed spring, and the downward forces are the external force πb2 q’ and the self-weight kΔl of the movable electrode plate. So, the static equilibrium condition of the movable electrode plate under the joint actions of πb2 q’, kΔl and F is πb2 q’ + kΔl = F = kΔL = k(wmg), as seen in Figure A1c. This equilibrium condition will be used for analytically solving the large deflection problem of membrane/plate elastic contact in Figure A1b or Figure A1c.
Figure A1. Sketch of the elastic behavior from non-contact to contact between the wind-driven circular membrane and the spring-reset movable electrode plate: (a) the membrane/plate non-contact state; (b) the membrane/plate contact state; (c) a decomposed view of the membrane/plate interaction force.
Figure A1. Sketch of the elastic behavior from non-contact to contact between the wind-driven circular membrane and the spring-reset movable electrode plate: (a) the membrane/plate non-contact state; (b) the membrane/plate contact state; (c) a decomposed view of the membrane/plate interaction force.
Sensors 25 03760 g0a1
A free body with a radius r (bra) is taken from the central portion of the wind-driven large deflection circular membrane that is being in contact with the spring-reset movable electrode plate, as shown in Figure A2, where σr represents the radial stress at r, σrh is the membrane force that is acting on the boundary of the radius r, and θ denotes the meridional rotation angle of the deflected circular membrane at r. In the vertical direction perpendicular to the polar plane (r, φ), the static equilibrium condition of this free body under the transverse uniform loading of the wind pressure q is
2 π r σ r h sin θ π r 2 q + π b 2 q = 0 ,
where 2πrσrhsinθ is the vertical component of the radial force acting on the boundary of r. From the physical phenomenon of the contact problem in Figure A1, it can be found that θ = 0 at r = b, that is, sinθ = 0 at r = b. Therefore, after applying the condition of sinθ = 0 at r = b to Equation (A1), it can be easily found that q’ = q. So, Equation (A1) can be reduced to
2 π r σ r h sin θ π ( r 2 b 2 ) q = 0 ,
where
sin θ = 1 / 1 + 1 / tan 2 θ = 1 / 1 + 1 / ( d w / d r ) 2 .
From Equations (A2) and (A3), the so-called out-of-plane equilibrium equation can be finally written as
2 r σ r h ( r 2 b 2 ) q 1 + 1 / ( d w / d r ) 2 = 0
Figure A2. Sketch of the free body with radius r (bra).
Figure A2. Sketch of the free body with radius r (bra).
Sensors 25 03760 g0a2
In the horizontal direction parallel to the polar plane (r, φ), there are only the circumferential stress σt and the horizontal component of the radial stress σr. The relationship between radial and circumferential stresses at any point on the circular membrane within the range of bra, i.e., the in-plane equilibrium equation, is given by [55]
d d r ( r σ r ) σ t = 0 .
For large deflection membranes, the so-called geometric equations, that is, the relationships between the radial and circumferential strains, er and et, and the radial and transverse displacements, u and w, may be written as [55]
e r = d u d r + 1 2 ( d w d r ) 2 ,
e t = u r .
Moreover, for the circular membrane of Hooke-type materials, the physical equations, i.e., the stress and strain relationships, follow Hooke’s law [55]:
σ r = E 1 ν 2 ( e r + ν e t ) ,
σ t = E 1 ν 2 ( e t + ν e r ) .
From Equations (A6)–(A9), it is found that
σ r = E 1 ν 2 [ d u d r + 1 2 ( d w d r ) 2 + ν u r ] ,
σ t = E 1 ν 2 [ u r + ν d u d r + ν 2 ( d w d r ) 2 ] .
By means of Equations (A10), (A11), and (A5), one has
u r = 1 E ( σ t ν σ r ) = 1 E [ d d r ( r σ r ) ν σ r ] .
After substituting the u of Equation (A12) into Equation (A10), it is found that
r d d r [ 1 r d d r ( r 2 σ r ) ] + E 2 ( d w d r ) 2 = 0 .
Equations (A4) and (A13) are two equations for solving the radial stress σr and transverse displacement w of the membrane/plate non-contact region of bra. With the known solutions of σr and w, the other solutions of σt, er, et, and u can then be easily obtained from Equations (A5), (A6), (A7), and (A12). Therefore, the problem of the membrane/plate non-contact region of bra can be solved analytically.
On the other hand, in the membrane/plate contact region of 0 ≤ rb, since dw/dr = 0, Equations (A6) and (A7) can be reduced to
e r = d u d r ,
e t = u r .
After substituting dw/dr = 0 into Equations (A10) and (A11), it is found that
σ r = E 1 ν 2 ( d u d r + ν u r ) ,
σ t = E 1 ν 2 ( u r + ν d u d r ) .
Substituting Equations (A16) and (A17) into Equation (A5) yields
r d 2 u d r 2 + d u d r u r = 0 .
Since Equation (A18) satisfies the form of the Euler equation, its general solution may be written as
u ( r ) = C 1 r + C 2 1 r ,
where C1 and C2 are two undetermined constants. Obviously, the radial displacement at r = 0 is equal to zero, i.e., u(0) = 0. Since Equation (A19) must satisfy the condition of u(0) = 0, then C2 must be identically equal to zero, i.e., C2 ≡ 0. If the radial displacement at r = b is denoted by u(b), then it can be obtained from Equation (A19) that C1 = u(b)/b, due to C2 ≡ 0. This results in
u ( r ) = u ( b ) b r .
If substituting Equation (A20) into Equations (A14)–(A17), then
e r = e t = u ( b ) b ,
σ r = σ t = E 1 ν u ( b ) b .
It can be seen from Equations (A21) and (A22) that in the membrane/plate contact region of 0 ≤ rb, the strain is uniformly distributed and the radial strain is always equal to the circumferential strain. Also, the stress is uniformly distributed and the radial stress is always equal to the circumferential stress. Note, however, that the contact radius b and radial displacement u(b), like the radial stress σr and transverse displacement w of the membrane/plate non-contact region of bra, are still quantities to be determined at this point.
Obviously, the changes in stress, strain, and displacement in the membrane/plate contact region of 0 ≤ rb are continuous with those in the membrane/plate non-contact region of bra. The boundary conditions and continuous conditions, which are used for determining the stress, strain, and displacement of the membrane/plate non-contact region of bra and the contact radius b and radial displacement u(b) of the membrane/plate contact region of 0 ≤ rb, are as follows:
w = 0   at   r = a ,
e t = u r = 1 E [ d d r ( r σ r ) ν σ r ] = 0   at   r = a ,
( e t ) A = ( e t ) B = u ( b ) b   at   r = b ,
( σ r ) A = ( σ r ) B = E 1 ν u ( b ) b   at   r = b ,
where the subscripts A and B denote the membrane/plate non-contact and contact regions on the two sides of the inter-connecting circle of r = b. In addition, the equilibrium condition of the movable electrode plate under the joint actions of πb2 q’, kΔl, and F, that is, πb2 q’ + kΔl = k(wmg) (see Figure A1c), must also be used. This equilibrium condition can be reduced to, from the derivation result q’ = q (see the derivation between Equations (A1) and (A2)),
π b 2 q = k ( w m g Δ l ) ,
where the maximum membrane deflection wm is equal to the membrane deflection w at r = b, i.e., wm = w(b).
Now, let us introduce the following nondimensionalization:
Q = q a E h , W = w a , S r = σ r E , S t = σ t E , x = r a , α = b a , K = k π E h , L ¯ = Δ l a , G = g a ,
where bra, i.e., αx ≤ 1. Further, use Equation (A28) to transform Equations (A4) and (A13) and Equations (A23)–(A27) into
4 x 2 S r 2 ( d W d x ) 2 ( x 2 α 2 ) 2 Q 2 [ 1 + ( d W d x ) 2 ] = 0 ,
x 2 d 2 S r d x 2 + 3 x d S r d x + 1 2 ( d W d x ) 2 = 0 ,
W = 0   at   x = 1 ,
S r ν S r + x d S r d x = 0   at   x = 1 ,
S r ν S r + x d S r d x = u ( b ) b   at   x = α ,
S r = 1 1 ν u ( b ) b   at   x = α ,
α 2 Q = K ( W m G L ¯ ) ,
where Wm = W(α). Eliminating dW/dx from Equations (A29) and (A30) gives
[ 8 x 4 S r 2 2 x 2 ( x 2 α 2 ) 2 Q 2 ] d 2 S r d x 2 + [ 24 x 3 S r 2 6 x ( x 2 α 2 ) 2 Q 2 ] d S r d x + ( x 2 α 2 ) 2 Q 2 = 0 .
In order to use the power series method for differential equations, Sr and W have to be expanded into the power series of x-β, where β = (1 + α)/2, i.e.,
S r = i = 0 c i ( x β ) i ,
W = i = 0 d i ( x β ) i ,
For convenience, we further introduce X = xβ and reduce Equations (A37) and (A38) to
S r = i = 0 c i X i ,
W = i = 0 d i X i .
Also, Equations (A29)–(A36) should be transformed into
4 ( X + β ) 2 S r 2 ( d W d X ) 2 [ ( X + β ) 2 ( 2 β 1 ) 2 ] 2 Q 2 [ 1 + ( d W d X ) 2 ] = 0 ,
X + β 2 d 2 S r d X 2 + 3 X + β d S r d X + 1 2 ( d W d X ) 2 = 0 ,
W = 0   at   X = 1 β ,
S r ν S r + ( X + β ) d S r d X = 0   at   X = 1 β ,
S r ν S r + β d S r d X + X d S r d X = u ( b ) b   at   X = β 1 ,
S r = 1 1 ν u ( b ) b   at   X = β 1 ,
2 β 1 2 Q = K [ W ( β 1 ) G L ¯ ] ,
{ 8 ( X + β ) 4 S r 2 2 ( X + β ) 2 [ ( X + β ) 2 ( 2 β 1 ) 2 ] 2 Q 2 } d 2 S r d X 2 + { 24 ( X + β ) 3 S r 2 6 ( X + β ) [ ( X + β ) 2 ( 2 β 1 ) 2 ] 2 Q 2 } d S r d X + [ ( X + β ) 2 ( 2 β 1 ) 2 ] 2 Q 2 = 0 .
After substituting Equation (A39) into Equation (A48), the power series coefficients ci (i = 2, 3, 4, …) can be expressed as polynomials with regard to c0, c1, and β (β = (1 + α)/2 and α = b/a), which can be seen in Appendix B, where c0, c1, and β are three undetermined constants. And after substituting Equations (A39) and (A40) into Equation (A42), the power series coefficients di (i = 1, 2, 3, …) can also be expressed as polynomials with regard to c0, c1, and β, which can be seen in Appendix C, where the remaining coefficient d0 is a dependent undetermined constant (it depends on the undetermined constants c0, c1, and α).
The values of the undetermined coefficients c0, c1, β, and d0 can be determined by using the above boundary conditions Equations (A43) and (A44), continuous conditions Equations (A45) and (A46), and the equilibrium condition Equation (A47) of the movable electrode plate. Equations (A40), (A43), and (A47) give
i = 0 d i ( 1 β ) i = 0 ,
i = 0 d i ( β 1 ) i = 2 β 1 2 Q K + L ¯ + G .
Equation (A50) minus Equation (A49) yields
i = 1 d i [ ( β 1 ) i ( 1 β ) i ] = 2 β 1 2 Q K + L ¯ + G .
Equations (A39) and (A44)–(A46) give
( 1 ν ) i = 0 c i ( 1 β ) i + i = 1 i c i ( 1 β ) i 1 = 0 ,
( 1 ν ) i = 0 c i ( β 1 ) i + 2 β 1 i = 1 i c i ( β 1 ) i 1 = u ( b ) b ,
i = 0 c i ( β 1 ) i = 1 1 ν u ( b ) b .
After eliminating u(b)/b from Equations (A53) and (A54), it is found that
i = 1 i c i ( β 1 ) i 1 = 0 .
Therefore, for a concrete problem in which the values of a, h, E, v, and q are known beforehand, the undetermined constants c0, c1, and β can be determined by simultaneously solving Equations (A51), (A52), and (A55). Further, with known values for c0, c1, and β, the remaining dependent undetermined constant d0 can be determined by Equation (A49), and the radial displacement u(b) can be determined by Equation (A54). The problem dealt with here is thus solved analytically.
With the known undetermined constants c0, c1, β, and d0, all the power series coefficients ci (i = 2, 3, 4, …,) and di (i = 1, 2, 3, …,) can be determined, thus determining all the expressions of Sr, St, and W. Finally, from Equations (A28), (A37), and (A38), the dimensional analytical expressions of σr and w can be written as
σ r = E i = 0 c i ( r a a + b 2 a ) i ,
w ( r ) = a i = 0 d i ( r a a + b 2 a ) i .
The maximum membrane deflection wm is at r = b, and thus it is given by the following, from Equation (A57):
w m = a i = 0 d i ( b a 2 a ) i .
In addition, the maximum membrane stress σm should be in the membrane/plate contact region of 0 ≤ rb. It can be seen from Equations (A21) and (A22) that in the membrane/plate contact region of 0 ≤ rb, the stresses and strains are both uniformly distributed, and the radial stress/strain is always equal to the circumferential stress/strain. Therefore, the maximum membrane stress σm can be determined by Equation (A22) with the known contact radius b and radial displacement u(b), or given by, from Equation (A56),
σ m = E i = 0 c i ( b a 2 a ) i
The accuracies of the maximum membrane deflection wm and maximum membrane stress σm play a very important role in the numerical design and calibration of the parallel plate variable capacitor-based circular wind pressure sensor proposed here.

Appendix B

The following are the recursive formulas for the power series coefficients ci.
c 2 = 1 4 β 2 ( 9 Q 2 β 4 24 Q 2 β 3 + 22 Q 2 β 2 4 β 2 c 0 2 8 Q 2 β + Q 2 ) ( 54 Q 2 β 5 c 1 144 Q 2 β 4 c 1 9 Q 2 β 4 + 132 Q 2 β 3 c 1 24 β 3 c 0 2 c 1 + 24 Q 2 β 3 48 Q 2 β 2 c 1 22 Q 2 β 2 + 6 Q 2 β c 1 + 8 Q 2 β Q 2 )
c 3 = 1 6 β 2 ( 9 Q 2 β 4 24 Q 2 β 3 + 22 Q 2 β 2 4 β 2 c 0 2 8 Q 2 β + Q 2 ) ( 66 Q 2 β 5 c 2 9 Q 2 β 4 c 1 208 Q 2 β 4 c 2 16 β 4 c 0 c 1 c 2 24 Q 2 β 3 c 1 + 212 Q 2 β 3 c 2 56 β 3 c 0 2 c 2 24 β 3 c 0 c 1 2 + 6 Q 2 β 3 + 54 Q 2 β 2 c 1 80 Q 2 β 2 c 2 36 β 2 c 0 2 c 1 8 Q 2 β 2 24 Q 2 β c 1 + 10 Q 2 β c 2 + 2 Q 2 β + 3 Q 2 c 1 )
c 4 = 1 12 β 2 ( 9 Q 2 β 4 24 Q 2 β 3 + 22 Q 2 β 2 4 β 2 c 0 2 8 Q 2 β + Q 2 ) ( 117 Q 2 β 5 c 3 52 Q 2 β 4 c 2 408 Q 2 β 4 c 3 48 β 4 c 0 c 1 c 3 16 β 4 c 0 c 2 2 8 β 4 c 1 2 c 2 42 Q 2 β 3 c 1 16 Q 2 β 3 c 2 + 438 Q 2 β 3 c 3 132 β 3 c 0 2 c 3 136 β 3 c 0 c 1 c 2 12 β 3 c 1 3 + 72 Q 2 β 2 c 1 + 132 Q 2 β 2 c 2 168 Q 2 β 2 c 3 120 β 2 c 0 2 c 2 72 β 2 c 0 c 1 2 + Q 2 β 2 18 Q 2 β c 1 64 Q 2 β c 2 + 21 Q 2 β c 3 36 β c 0 2 c 1 4 Q 2 β + 8 Q 2 c 2 + Q 2 )
c 5 = 1 20 β 2 ( 9 Q 2 β 4 24 Q 2 β 3 + 22 Q 2 β 2 4 β 2 c 0 2 8 Q 2 β + Q 2 ) ( 180 Q 2 β 5 c 4 129 Q 2 β 4 c 3 672 Q 2 β 4 c 4 96 β 4 c 0 c 1 c 4 64 β 4 c 0 c 2 c 3 24 β 4 c 1 2 c 3 16 β 4 c 1 c 2 2 108 Q 2 β 3 c 2 + 24 Q 2 β 3 c 3 + 744 Q 2 β 3 c 4 240 β 3 c 0 2 c 4 288 β 3 c 0 c 1 c 3 112 β 3 c 0 c 2 2 80 β 3 c 1 2 c 2 + 6 Q 2 β 2 c 1 + 208 Q 2 β 2 c 2 + 234 Q 2 β 2 c 3 288 Q 2 β 2 c 4 252 β 2 c 0 2 c 3 312 β 2 c 0 c 1 c 2 36 β 2 c 1 3 + 24 Q 2 β c 1 52 Q 2 β c 2 120 Q 2 β c 3 + 36 Q 2 β c 4 104 β c 0 2 c 2 72 β c 0 c 1 2 2 Q 2 β 6 Q 2 c 1 + 15 Q 2 c 3 12 c 0 2 c 1 )
c 6 = 1 60 β 2 ( 9 Q 2 β 4 24 Q 2 β 3 + 22 Q 2 β 2 4 β 2 c 0 2 8 Q 2 β + Q 2 ) ( 510 Q 2 β 5 c 5 480 Q 2 β 4 c 4 2000 Q 2 β 4 c 5 320 β 4 c 0 c 1 c 5 224 β 4 c 0 c 2 c 4 96 β 4 c 0 c 3 2 96 β 4 c 1 2 c 4 128 β 4 c 1 c 2 c 3 16 β 4 c 2 3 396 Q 2 β 3 c 3 + 192 Q 2 β 3 c 4 + 2260 Q 2 β 3 c 5 760 β 3 c 0 2 c 5 1008 β 3 c 0 c 1 c 4 752 β 3 c 0 c 2 c 3 312 β 3 c 1 2 c 3 248 β 3 c 1 c 2 2 + 52 Q 2 β 2 c 2 + 816 Q 2 β 2 c 3 + 720 Q 2 β 2 c 4 880 Q 2 β 2 c 5 864 β 2 c 0 2 c 4 1152 β 2 c 0 c 1 c 3 480 β 2 c 0 c 2 2 384 β 2 c 1 2 c 2 + 30 Q 2 β c 1 + 128 Q 2 β c 2 204 Q 2 β c 3 384 Q 2 β c 4 + 110 Q 2 β c 5 408 β c 0 2 c 3 560 β c 0 c 1 c 2 72 β c 1 3 32 Q 2 c 2 + 48 Q 2 c 4 64 c 0 2 c 2 48 c 0 c 1 2 Q 2 )
c 7 = 1 42 β 2 ( 9 Q 2 β 4 24 Q 2 β 3 + 22 Q 2 β 2 4 β 2 c 0 2 8 Q 2 β + Q 2 ) ( 342 Q 2 β 5 c 6 385 Q 2 β 4 c 5 1392 Q 2 β 4 c 6 240 β 4 c 0 c 1 c 6 176 β 4 c 0 c 2 c 5 144 β 4 c 0 c 3 c 4 80 β 4 c 1 2 c 5 112 β 4 c 1 c 2 c 4 48 β 4 c 1 c 3 2 40 β 4 c 2 2 c 3 312 Q 2 β 3 c 4 + 200 Q 2 β 3 c 5 + 1596 Q 2 β 3 c 6 552 β 3 c 0 2 c 6 784 β 3 c 0 c 1 c 5 592 β 3 c 0 c 2 c 4 264 β 3 c 0 c 3 2 264 β 3 c 1 2 c 4 400 β 3 c 1 c 2 c 3 56 β 3 c 2 3 + 60 Q 2 β 2 c 3 + 672 Q 2 β 2 c 4 + 510 Q 2 β 2 c 5 624 Q 2 β 2 c 6 660 β 2 c 0 2 c 5 936 β 2 c 0 c 1 c 4 744 β 2 c 0 c 2 c 3 324 β 2 c 1 2 c 3 276 β 2 c 1 c 2 2 + 42 Q 2 β c 2 + 120 Q 2 β c 3 168 Q 2 β c 4 280 Q 2 β c 5 + 78 Q 2 β c 6 336 β c 0 2 c 4 480 β c 0 c 1 c 3 208 β c 0 c 2 2 176 β c 1 2 c 2 + 3 Q 2 c 1 30 Q 2 c 3 + 35 Q 2 c 5 60 c 0 2 c 3 88 c 0 c 1 c 2 12 c 1 3 )
c 8 = 1 56 β 2 ( 9 Q 2 β 4 24 Q 2 β 3 + 22 Q 2 β 2 4 β 2 c 0 2 8 Q 2 β + Q 2 ) ( 441 Q 2 β 5 c 7 564 Q 2 β 4 c 6 1848 Q 2 β 4 c 7 336 β 4 c 0 c 1 c 7 256 β 4 c 0 c 2 c 6 208 β 4 c 0 c 3 c 5 96 β 4 c 0 c 4 2 120 β 4 c 1 2 c 6 176 β 4 c 1 c 2 c 5 144 β 4 c 1 c 3 c 4 64 β 4 c 2 2 c 4 56 β 4 c 2 c 3 2 450 Q 2 β 3 c 5 + 336 Q 2 β 3 c 6 + 2142 Q 2 β 3 c 7 756 β 3 c 0 2 c 7 1128 β 3 c 0 c 1 c 6 872 β 3 c 0 c 2 c 5 744 β 3 c 0 c 3 c 4 404 β 3 c 1 2 c 5 616 β 3 c 1 c 2 c 4 276 β 3 c 1 c 3 2 244 β 3 c 2 2 c 3 + 108 Q 2 β 2 c 4 + 1000 Q 2 β 2 c 5 + 684 Q 2 β 2 c 6 840 Q 2 β 2 c 7 936 β 2 c 0 2 c 6 1392 β 2 c 0 c 1 c 5 1104 β 2 c 0 c 2 c 4 504 β 2 c 0 c 3 2 504 β 2 c 1 2 c 4 816 β 2 c 1 c 2 c 3 120 β 2 c 2 3 + 81 Q 2 β c 3 + 192 Q 2 β c 4 250 Q 2 β c 5 384 Q 2 β c 6 + 105 Q 2 β c 7 500 β c 0 2 c 5 744 β c 0 c 1 c 4 616 β c 0 c 2 c 3 276 β c 1 2 c 3 244 β c 1 c 2 2 + 8 Q 2 c 2 48 Q 2 c 4 + 48 Q 2 c 6 96 c 0 2 c 4 144 c 0 c 1 c 3 64 c 0 c 2 2 56 c 1 2 c 2 )

Appendix C

The following are the recursive formulas for the power series coefficients di.
d 1 = ( β 1 ) ( 3 β 1 ) Q 9 Q 2 β 4 + 24 Q 2 β 3 22 Q 2 β 2 + 4 β 2 c 0 2 + 8 Q 2 β Q 2
d 2 = 1 d 1 ( 9 Q 2 β 4 24 Q 2 β 3 + 22 Q 2 β 2 4 β 2 c 0 2 8 Q 2 β + Q 2 ) ( 3 Q 2 β 3 d 1 2 4 Q 2 β 2 d 1 2 + 2 β 2 c 0 c 1 d 1 2 + 3 Q 2 β 3 + Q 2 β d 1 2 + 2 β c 0 2 d 1 2 4 Q 2 β 2 + Q 2 β )
d 3 = 1 3 d 1 ( 9 Q 2 β 4 24 Q 2 β 3 + 22 Q 2 β 2 4 β 2 c 0 2 8 Q 2 β + Q 2 ) ( 18 Q 2 β 4 d 2 2 24 Q 2 β 3 d 1 d 2 48 Q 2 β 3 d 2 2 Q 2 β 2 d 1 2 + 32 Q 2 β 2 d 1 d 2 + 44 Q 2 β 2 d 2 2 8 β 2 c 0 2 d 2 2 16 β 2 c 0 c 1 d 1 d 2 4 β 2 c 0 c 2 d 1 2 2 β 2 c 1 2 d 1 2 + 4 Q 2 β d 1 2 8 Q 2 β d 1 d 2 16 Q 2 β d 2 2 16 β c 0 2 d 1 d 2 8 β c 0 c 1 d 1 2 Q 2 β 2 Q 2 d 1 2 + 2 Q 2 d 2 2 2 c 0 2 d 1 2 + 4 Q 2 β Q 2 )
d 4 = 1 2 d 1 ( 9 Q 2 β 4 24 Q 2 β 3 + 22 Q 2 β 2 4 β 2 c 0 2 8 Q 2 β + Q 2 ) ( 27 Q 2 β 4 d 2 d 3 18 Q 2 β 3 d 1 d 3 12 Q 2 β 3 d 2 2 72 Q 2 β 3 d 2 d 3 2 Q 2 β 2 d 1 d 2 + 24 Q 2 β 2 d 1 d 3 + 16 Q 2 β 2 d 2 2 + 66 Q 2 β 2 d 2 d 3 12 β 2 c 0 2 d 2 d 3 12 β 2 c 0 c 1 d 1 d 3 8 β 2 c 0 c 1 d 2 2 8 β 2 c 0 c 2 d 1 d 2 2 β 2 c 0 c 3 d 1 2 4 β 2 c 1 2 d 1 d 2 2 β 2 c 1 c 2 d 1 2 + Q 2 β d 1 2 + 8 Q 2 β d 1 d 2 6 Q 2 β d 1 d 3 4 Q 2 β d 2 2 24 Q 2 β d 2 d 3 12 β c 0 2 d 1 d 3 8 β c 0 2 d 2 2 16 β c 0 c 1 d 1 d 2 4 β c 0 c 2 d 1 2 2 β c 1 2 d 1 2 2 Q 2 d 1 d 2 + 3 Q 2 d 2 d 3 4 c 0 2 d 1 d 2 2 c 0 c 1 d 1 2 + Q 2 β )
d 5 = 1 10 d 1 ( 9 Q 2 β 4 24 Q 2 β 3 + 22 Q 2 β 2 4 β 2 c 0 2 8 Q 2 β + Q 2 ) ( 144 Q 2 β 4 d 2 d 4 + 81 Q 2 β 4 d 3 2 96 Q 2 β 3 d 1 d 4 144 Q 2 β 3 d 2 d 3 384 Q 2 β 3 d 2 d 4 216 Q 2 β 3 d 3 2 12 Q 2 β 2 d 1 d 3 + 128 Q 2 β 2 d 1 d 4 8 Q 2 β 2 d 2 2 + 192 Q 2 β 2 d 2 d 3 + 352 Q 2 β 2 d 2 d 4 + 198 Q 2 β 2 d 3 2 64 β 2 c 0 2 d 2 d 4 36 β 2 c 0 2 d 3 2 64 β 2 c 0 c 1 d 1 d 4 96 β 2 c 0 c 1 d 2 d 3 48 β 2 c 0 c 2 d 1 d 3 32 β 2 c 0 c 2 d 2 2 32 β 2 c 0 c 3 d 1 d 2 8 β 2 c 0 c 4 d 1 2 24 β 2 c 1 2 d 1 d 3 16 β 2 c 1 2 d 2 2 32 β 2 c 1 c 2 d 1 d 2 8 β 2 c 1 c 3 d 1 2 4 β 2 c 2 2 d 1 2 + 16 Q 2 β d 1 d 2 + 48 Q 2 β d 1 d 3 32 Q 2 β d 1 d 4 + 32 Q 2 β d 2 2 48 Q 2 β d 2 d 3 128 Q 2 β d 2 d 4 72 Q 2 β d 3 2 64 β c 0 2 d 1 d 4 96 β c 0 2 d 2 d 3 96 β c 0 c 1 d 1 d 3 64 β c 0 c 1 d 2 2 64 β c 0 c 2 d 1 d 2 16 β c 0 c 3 d 1 2 32 β c 1 2 d 1 d 2 16 β c 1 c 2 d 1 2 + Q 2 d 1 2 + Q 2 12 Q 2 d 1 d 3 8 Q 2 d 2 2 + 16 Q 2 d 2 d 4 + 9 Q 2 d 3 2 24 c 0 2 d 1 d 3 16 c 0 2 d 2 2 32 c 0 c 1 d 1 d 2 8 c 0 c 2 d 1 2 4 c 1 2 d 1 2 )
d 6 = 1 3 d 1 ( 9 Q 2 β 4 24 Q 2 β 3 + 22 Q 2 β 2 4 β 2 c 0 2 8 Q 2 β + Q 2 ) ( 45 Q 2 β 4 d 2 d 5 + 54 Q 2 β 4 d 3 d 4 30 Q 2 β 3 d 1 d 5 48 Q 2 β 3 d 2 d 4 120 Q 2 β 3 d 2 d 5 27 Q 2 β 3 d 3 2 144 Q 2 β 3 d 3 d 4 4 Q 2 β 2 d 1 d 4 + 40 Q 2 β 2 d 1 d 5 6 Q 2 β 2 d 2 d 3 + 64 Q 2 β 2 d 2 d 4 + 110 Q 2 β 2 d 2 d 5 + 36 Q 2 β 2 d 3 2 + 132 Q 2 β 2 d 3 d 4 20 β 2 c 0 2 d 2 d 5 24 β 2 c 0 2 d 3 d 4 20 β 2 c 0 c 1 d 1 d 5 32 β 2 c 0 c 1 d 2 d 4 18 β 2 c 0 c 1 d 3 2 16 β 2 c 0 c 2 d 1 d 4 24 β 2 c 0 c 2 d 2 d 3 12 β 2 c 0 c 3 d 1 d 3 8 β 2 c 0 c 3 d 2 2 8 β 2 c 0 c 4 d 1 d 2 2 β 2 c 0 c 5 d 1 2 8 β 2 c 1 2 d 1 d 4 12 β 2 c 1 2 d 2 d 3 12 β 2 c 1 c 2 d 1 d 3 8 β 2 c 1 c 2 d 2 2 8 β 2 c 1 c 3 d 1 d 2 2 β 2 c 1 c 4 d 1 2 4 β 2 c 2 2 d 1 d 2 2 β 2 c 2 c 3 d 1 2 + 6 Q 2 β d 1 d 3 + 16 Q 2 β d 1 d 4 10 Q 2 β d 1 d 5 + 4 Q 2 β d 2 2 + 24 Q 2 β d 2 d 3 16 Q 2 β d 2 d 4 40 Q 2 β d 2 d 5 9 Q 2 β d 3 2 48 Q 2 β d 3 d 4 20 β c 0 2 d 1 d 5 32 β c 0 2 d 2 d 4 18 β c 0 2 d 3 2 32 β c 0 c 1 d 1 d 4 48 β c 0 c 1 d 2 d 3 24 β c 0 c 2 d 1 d 3 16 β c 0 c 2 d 2 2 16 β c 0 c 3 d 1 d 2 4 β c 0 c 4 d 1 2 12 β c 1 2 d 1 d 3 8 β c 1 2 d 2 2 16 β c 1 c 2 d 1 d 2 4 β c 1 c 3 d 1 2 2 β c 2 2 d 1 2 + Q 2 d 1 d 2 4 Q 2 d 1 d 4 6 Q 2 d 2 d 3 + 5 Q 2 d 2 d 5 + 6 Q 2 d 3 d 4 8 c 0 2 d 1 d 4 12 c 0 2 d 2 d 3 12 c 0 c 1 d 1 d 3 8 c 0 c 1 d 2 2 8 c 0 c 2 d 1 d 2 2 c 0 c 3 d 1 2 4 c 1 2 d 1 d 2 2 c 1 c 2 d 1 2 )
d 7 = 1 7 d 1 ( 9 Q 2 β 4 24 Q 2 β 3 + 22 Q 2 β 2 4 β 2 c 0 2 8 Q 2 β + Q 2 ) ( 108 Q 2 β 4 d 2 d 6 + 135 Q 2 β 4 d 3 d 5 + 72 Q 2 β 4 d 4 2 72 Q 2 β 3 d 1 d 6 120 Q 2 β 3 d 2 d 5 288 Q 2 β 3 d 2 d 6 144 Q 2 β 3 d 3 d 4 360 Q 2 β 3 d 3 d 5 192 Q 2 β 3 d 4 2 10 Q 2 β 2 d 1 d 5 + 96 Q 2 β 2 d 1 d 6 16 Q 2 β 2 d 2 d 4 + 160 Q 2 β 2 d 2 d 5 + 264 Q 2 β 2 d 2 d 6 9 Q 2 β 2 d 3 2 + 192 Q 2 β 2 d 3 d 4 + 330 Q 2 β 2 d 3 d 5 + 176 Q 2 β 2 d 4 2 48 β 2 c 0 2 d 2 d 6 60 β 2 c 0 2 d 3 d 5 32 β 2 c 0 2 d 4 2 48 β 2 c 0 c 1 d 1 d 6 80 β 2 c 0 c 1 d 2 d 5 96 β 2 c 0 c 1 d 3 d 4 40 β 2 c 0 c 2 d 1 d 5 64 β 2 c 0 c 2 d 2 d 4 36 β 2 c 0 c 2 d 3 2 32 β 2 c 0 c 3 d 1 d 4 48 β 2 c 0 c 3 d 2 d 3 24 β 2 c 0 c 4 d 1 d 3 16 β 2 c 0 c 4 d 2 2 16 β 2 c 0 c 5 d 1 d 2 4 β 2 c 0 c 6 d 1 2 20 β 2 c 1 2 d 1 d 5 32 β 2 c 1 2 d 2 d 4 18 β 2 c 1 2 d 3 2 32 β 2 c 1 c 2 d 1 d 4 48 β 2 c 1 c 2 d 2 d 3 24 β 2 c 1 c 3 d 1 d 3 16 β 2 c 1 c 3 d 2 2 16 β 2 c 1 c 4 d 1 d 2 4 β 2 c 1 c 5 d 1 2 12 β 2 c 2 2 d 1 d 3 8 β 2 c 2 2 d 2 2 16 β 2 c 2 c 3 d 1 d 2 4 β 2 c 2 c 4 d 1 2 2 β 2 c 3 2 d 1 2 + 16 Q 2 β d 1 d 4 + 40 Q 2 β d 1 d 5 24 Q 2 β d 1 d 6 + 24 Q 2 β d 2 d 3 + 64 Q 2 β d 2 d 4 40 Q 2 β d 2 d 5 96 Q 2 β d 2 d 6 + 36 Q 2 β d 3 2 48 Q 2 β d 3 d 4 120 Q 2 β d 3 d 5 64 Q 2 β d 4 2 48 β c 0 2 d 1 d 6 80 β c 0 2 d 2 d 5 96 β c 0 2 d 3 d 4 80 β c 0 c 1 d 1 d 5 128 β c 0 c 1 d 2 d 4 72 β c 0 c 1 d 3 2 64 β c 0 c 2 d 1 d 4 96 β c 0 c 2 d 2 d 3 48 β c 0 c 3 d 1 d 3 32 β c 0 c 3 d 2 2 32 β c 0 c 4 d 1 d 2 8 β c 0 c 5 d 1 2 32 β c 1 2 d 1 d 4 48 β c 1 2 d 2 d 3 48 β c 1 c 2 d 1 d 3 32 β c 1 c 2 d 2 2 32 β c 1 c 3 d 1 d 2 8 β c 1 c 4 d 1 2 16 β c 2 2 d 1 d 2 8 β c 2 c 3 d 1 2 + 3 Q 2 d 1 d 3 10 Q 2 d 1 d 5 + 2 Q 2 d 2 2 16 Q 2 d 2 d 4 + 12 Q 2 d 2 d 6 9 Q 2 d 3 2 + 15 Q 2 d 3 d 5 + 8 Q 2 d 4 2 20 c 0 2 d 1 d 5 32 c 0 2 d 2 d 4 18 c 0 2 d 3 2 32 c 0 c 1 d 1 d 4 48 c 0 c 1 d 2 d 3 24 c 0 c 2 d 1 d 3 16 c 0 c 2 d 2 2 16 c 0 c 3 d 1 d 2 4 c 0 c 4 d 1 2 12 c 1 2 d 1 d 3 8 c 1 2 d 2 2 16 c 1 c 2 d 1 d 2 4 c 1 c 3 d 1 2 2 c 2 2 d 1 2 )
d 8 = 1 4 d 1 ( 9 Q 2 β 4 24 Q 2 β 3 + 22 Q 2 β 2 4 β 2 c 0 2 8 Q 2 β + Q 2 ) ( 63 Q 2 β 4 d 2 d 7 + 81 Q 2 β 4 d 3 d 6 + 90 Q 2 β 4 d 4 d 5 42 Q 2 β 3 d 1 d 7 72 Q 2 β 3 d 2 d 6 168 Q 2 β 3 d 2 d 7 90 Q 2 β 3 d 3 d 5 216 Q 2 β 3 d 3 d 6 48 Q 2 β 3 d 4 2 240 Q 2 β 3 d 4 d 5 6 Q 2 β 2 d 1 d 6 + 56 Q 2 β 2 d 1 d 7 10 Q 2 β 2 d 2 d 5 + 96 Q 2 β 2 d 2 d 6 + 154 Q 2 β 2 d 2 d 7 12 Q 2 β 2 d 3 d 4 + 120 Q 2 β 2 d 3 d 5 + 198 Q 2 β 2 d 3 d 6 + 64 Q 2 β 2 d 4 2 + 220 Q 2 β 2 d 4 d 5 28 β 2 c 0 2 d 2 d 7 36 β 2 c 0 2 d 3 d 6 40 β 2 c 0 2 d 4 d 5 28 β 2 c 0 c 1 d 1 d 7 48 β 2 c 0 c 1 d 2 d 6 60 β 2 c 0 c 1 d 3 d 5 32 β 2 c 0 c 1 d 4 2 24 β 2 c 0 c 2 d 1 d 6 40 β 2 c 0 c 2 d 2 d 5 48 β 2 c 0 c 2 d 3 d 4 20 β 2 c 0 c 3 d 1 d 5 32 β 2 c 0 c 3 d 2 d 4 18 β 2 c 0 c 3 d 3 2 16 β 2 c 0 c 4 d 1 d 4 24 β 2 c 0 c 4 d 2 d 3 12 β 2 c 0 c 5 d 1 d 3 8 β 2 c 0 c 5 d 2 2 8 β 2 c 0 c 6 d 1 d 2 2 β 2 c 0 c 7 d 1 2 12 β 2 c 1 2 d 1 d 6 20 β 2 c 1 2 d 2 d 5 24 β 2 c 1 2 d 3 d 4 20 β 2 c 1 c 2 d 1 d 5 32 β 2 c 1 c 2 d 2 d 4 18 β 2 c 1 c 2 d 3 2 16 β 2 c 1 c 3 d 1 d 4 24 β 2 c 1 c 3 d 2 d 3 12 β 2 c 1 c 4 d 1 d 3 8 β 2 c 1 c 4 d 2 2 8 β 2 c 1 c 5 d 1 d 2 2 β 2 c 1 c 6 d 1 2 8 β 2 c 2 2 d 1 d 4 12 β 2 c 2 2 d 2 d 3 12 β 2 c 2 c 3 d 1 d 3 8 β 2 c 2 c 3 d 2 2 8 β 2 c 2 c 4 d 1 d 2 2 β 2 c 2 c 5 d 1 2 4 β 2 c 3 2 d 1 d 2 2 β 2 c 3 c 4 d 1 2 + 10 Q 2 β d 1 d 5 + 24 Q 2 β d 1 d 6 14 Q 2 β d 1 d 7 + 16 Q 2 β d 2 d 4 + 40 Q 2 β d 2 d 5 24 Q 2 β d 2 d 6 56 Q 2 β d 2 d 7 + 9 Q 2 β d 3 2 + 48 Q 2 β d 3 d 4 30 Q 2 β d 3 d 5 72 Q 2 β d 3 d 6 16 Q 2 β d 4 2 80 Q 2 β d 4 d 5 28 β c 0 2 d 1 d 7 48 β c 0 2 d 2 d 6 60 β c 0 2 d 3 d 5 32 β c 0 2 d 4 2 48 β c 0 c 1 d 1 d 6 80 β c 0 c 1 d 2 d 5 96 β c 0 c 1 d 3 d 4 40 β c 0 c 2 d 1 d 5 64 β c 0 c 2 d 2 d 4 36 β c 0 c 2 d 3 2 32 β c 0 c 3 d 1 d 4 48 β c 0 c 3 d 2 d 3 24 β c 0 c 4 d 1 d 3 16 β c 0 c 4 d 2 2 16 β c 0 c 5 d 1 d 2 4 β c 0 c 6 d 1 2 20 β c 1 2 d 1 d 5 32 β c 1 2 d 2 d 4 18 β c 1 2 d 3 2 32 β c 1 c 2 d 1 d 4 48 β c 1 c 2 d 2 d 3 24 β c 1 c 3 d 1 d 3 16 β c 1 c 3 d 2 2 16 β c 1 c 4 d 1 d 2 4 β c 1 c 5 d 1 2 12 β c 2 2 d 1 d 3 8 β c 2 2 d 2 2 16 β c 2 c 3 d 1 d 2 4 β c 2 c 4 d 1 2 2 β c 3 2 d 1 2 + 2 Q 2 d 1 d 4 6 Q 2 d 1 d 6 + 3 Q 2 d 2 d 3 10 Q 2 d 2 d 5 + 7 Q 2 d 2 d 7 12 Q 2 d 3 d 4 + 9 Q 2 d 3 d 6 + 10 Q 2 d 4 d 5 12 c 0 2 d 1 d 6 20 c 0 2 d 2 d 5 24 c 0 2 d 3 d 4 20 c 0 c 1 d 1 d 5 32 c 0 c 1 d 2 d 4 18 c 0 c 1 d 3 2 16 c 0 c 2 d 1 d 4 24 c 0 c 2 d 2 d 3 12 c 0 c 3 d 1 d 3 8 c 0 c 3 d 2 2 8 c 0 c 4 d 1 d 2 2 c 0 c 5 d 1 2 8 c 1 2 d 1 d 4 12 c 1 2 d 2 d 3 12 c 1 c 2 d 1 d 3 8 c 1 c 2 d 2 2 8 c 1 c 3 d 1 d 2 2 c 1 c 4 d 1 2 4 c 2 2 d 1 d 2 2 c 2 c 3 d 1 2 )

Appendix D

The following are the results of the numerical calculations in Section 3.2 and Section 3.3.
Table A1. The numerical calculation results of the undetermined constants β, c0, c1, and d0 as well as maximum stress σm and maximum deflection wm when k = 0.5 N/mm, a = 70 mm, h = 0.3 mm, t = 0.1 mm, E = 3.01 MPa, ν = 0.45, g = 5 mm, Δl = 5 mm, L = 40 mm, and the wind pressure q takes different values.
Table A1. The numerical calculation results of the undetermined constants β, c0, c1, and d0 as well as maximum stress σm and maximum deflection wm when k = 0.5 N/mm, a = 70 mm, h = 0.3 mm, t = 0.1 mm, E = 3.01 MPa, ν = 0.45, g = 5 mm, Δl = 5 mm, L = 40 mm, and the wind pressure q takes different values.
q/Paβc0c1d0σm/MPawm/mmC/pF
1640.5080890.023938−0.0043820.1094110.07523110.001323.8923
1800.544050 0.024999 −0.004715 0.107564 0.078310 10.0430 3.8969
2500.598700 0.029582 −0.005228 0.109212 0.091588 10.2999 3.9257
4500.649548 0.040977 −0.006322 0.119276 0.125661 11.2394 4.0349
6500.666143 0.051272 −0.007420 0.129987 0.156822 12.2096 4.1541
1000 0.6755060.068129−0.0092890.1475940.208037 13.79334.3647
20000.6749100.112451−0.0141010.1897650.342976 17.53524.9585
3000 0.6687570.153851−0.0182680.2240770.469091 20.52165.5626
4000 0.6627730.193468−0.0219530.2536390.590176 23.05146.2026
5000 0.6574930.232254−0.0252640.2799910.707882 25.27326.8999
6000 0.653780 0.269163−0.0282090.3046930.82529327.32767.7003
7000 0.6498410.307092−0.0310390.3261360.93942229.09128.5520
8000 0.6459800.344476−0.0336450.3473781.05186030.81869.5910
9000 0.6423380.381389−0.0360510.3673141.15671032.421510.8096
10000 0.6391880.416372−0.0381910.3853751.26814233.858212.1988
11000 0.6363850.452081−0.0402490.4031051.37539035.255213.9410
12000 0.6339410.488016−0.0422160.4203581.48344036.603116.1690
13000 0.6319070.521772−0.0439890.4361531.59091037.828618.9179
14000 0.6299480.557385−0.0458070.4525251.69798039.092822.9413
150000.6281170.592392−0.0475680.4684701.80320040.320928.9153
Table A2. The numerical calculation results of the undetermined constants β, c0, c1, and d0 as well as maximum stress σm and maximum deflection wm when k = 0.1 N/mm, a = 70 mm, h = 0.3 mm, t = 0.1 mm, E = 3.01 MPa, ν = 0.45, g = 5 mm, Δl = 5 mm, L = 40 mm, and the wind pressure q takes different values.
Table A2. The numerical calculation results of the undetermined constants β, c0, c1, and d0 as well as maximum stress σm and maximum deflection wm when k = 0.1 N/mm, a = 70 mm, h = 0.3 mm, t = 0.1 mm, E = 3.01 MPa, ν = 0.45, g = 5 mm, Δl = 5 mm, L = 40 mm, and the wind pressure q takes different values.
q/Paβc0c1d0σm/MPawm/mmC/pF
164 0.506914 0.023946 −0.004374 0.109573 0.075252 10.00483 3.8927
8000.602296 0.065844 −0.010839 0.162026 0.203325 15.1548 4.5635
1600 0.597546 0.108481 −0.016790 0.209132 0.334643 19.3744 5.3139
2400 0.591984 0.146778 −0.021637 0.244847 0.452539 22.5038 6.0519
3200 0.587431 0.182701 −0.025776 0.274563 0.563003 25.0620 6.8270
4000 0.583712 0.217076 −0.029406 0.300480 0.668585 27.2600 7.6711
4800 0.580613 0.250345 −0.032648 0.323739 0.770656 29.2067 8.6144
56000.5779640.282437−0.0355520.3448090.86901730.94949.6800
64000.575697 0.314539 −0.038259 0.364750 0.967315 32.5811 10.9481
72000.5737150.345632−0.0407150.3831631.06245034.072812.4376
80000.571922 0.376531 −0.043012 0.400710 1.156913 35.4815 14.2712
88000.5703200.406999−0.0451520.4173831.25000036.808816.5733
96000.568894 0.436963 −0.047137 0.433192 1.341495 38.0567 19.5361
104000.5675970.466929−0.0490060.4484501.43293039.250823.5677
112000.5664060.496490−0.0507680.4631131.52310040.390829.3503
Table A3. The numerical calculation results of the undetermined constants β, c0, c1, and d0 as well as maximum stress σm and maximum deflection wm when k = 1 N/mm, a = 70 mm, h = 0.3 mm, t = 0.1 mm, E = 3.01 MPa, ν = 0.45, g = 5 mm, Δl = 5 mm, L = 40 mm, and the wind pressure q takes different values.
Table A3. The numerical calculation results of the undetermined constants β, c0, c1, and d0 as well as maximum stress σm and maximum deflection wm when k = 1 N/mm, a = 70 mm, h = 0.3 mm, t = 0.1 mm, E = 3.01 MPa, ν = 0.45, g = 5 mm, Δl = 5 mm, L = 40 mm, and the wind pressure q takes different values.
q/Paβc0c1d0σm/MPawm/mmC/pF
164 0.508286 0.023936 −0.004383 0.109384 0.075227 10.00069 3.8922
1300 0.711565 0.075547 −0.009120 0.146106 0.229843 13.5829 4.3355
2600 0.712401 0.125259 −0.013597 0.187818 0.380656 17.2226 4.9028
3900 0.706387 0.172868 −0.017515 0.222950 0.525154 20.2291 5.4970
5200 0.700146 0.219350 −0.021007 0.253841 0.666239 22.8264 6.1398
6500 0.694480 0.265086 −0.024166 0.281772 0.805056 25.1381 6.8531
7800 0.689450 0.310275 −0.027056 0.307505 0.942204 27.2381 7.6616
91000.6849090.355158−0.0297320.3316081.07842029.17998.5998
104000.680995 0.399444 −0.032206 0.354198 1.212813 30.9785 9.7001
117000.6773610.444432−0.0345720.3761531.34933032.707411.0602
130000.674166 0.487414 −0.036712 0.396342 1.479763 34.2815 12.6789
143000.6712520.530229−0.0387410.4157991.60968035.785014.7393
156000.668504 0.574475 −0.040732 0.435253 1.743941 37.2741 17.5666
169000.6660550.617610−0.0425730.4538841.87475238.687521.4770
182000.6637500.661042−0.0443550.4716872.00661040.026327.2152
Table A4. The numerical calculation results of the undetermined constants β, c0, c1, and d0 as well as maximum stress σm and maximum deflection wm when k = 0.5 N/mm, a = 80 mm, h = 0.3 mm, t = 0.1 mm, E = 3.01 MPa, ν = 0.45, g = 5 mm, Δl = 5 mm, L = 40 mm, and the wind pressure q takes different values.
Table A4. The numerical calculation results of the undetermined constants β, c0, c1, and d0 as well as maximum stress σm and maximum deflection wm when k = 0.5 N/mm, a = 80 mm, h = 0.3 mm, t = 0.1 mm, E = 3.01 MPa, ν = 0.45, g = 5 mm, Δl = 5 mm, L = 40 mm, and the wind pressure q takes different values.
q/Paβc0c1d0σm/MPawm/mmC/pF
96 0.503799 0.018254 −0.003345 0.096033 0.05737910.00022 5.0836
700 0.689550 0.056414 −0.007571 0.131199 0.172069 14.0454 5.7472
1400 0.687513 0.092996 −0.011650 0.169036 0.283418 17.9179 6.5679
2100 0.680619 0.127106 −0.015243 0.199852 0.387316 21.0196 7.4160
2800 0.674104 0.159795 −0.018466 0.226400 0.486893 23.6520 8.3289
3500 0.668405 0.191525 −0.021395 0.250050 0.583536 25.9660 9.3395
4200 0.663445 0.222550 −0.024083 0.271581 0.678017 28.0474 10.4837
49000.6590010.253292−0.0265920.2916590.77161529.966811.8189
5600 0.655252 0.283073 −0.028888 0.310091 0.86227031.7111 13.3660
63000.6517540.313475−0.0311070.3280480.95479533.394315.2983
7000 0.648721 0.342126 −0.033096 0.344292 1.04197634.9036 17.5769
77000.6459410.372417−0.0349960.3599741.12919036.349320.5018
8400 0.643347 0.400114 −0.036845 0.375443 1.21837337.7635 24.4880
91000.6410270.428760−0.0385600.3900281.30549039.085529.9274
98000.6388530.457456−0.0402130.4042641.39274040.367638.1446
10500 0.636795 0.485605 −0.041803 0.418045 1.47832841.604451.8883
Table A5. The numerical calculation results of the undetermined constants β, c0, c1, and d0 as well as maximum stress σm and maximum deflection wm when k = 0.5 N/mm, a = 90 mm, h = 0.3 mm, t = 0.1 mm, E = 3.01 MPa, ν = 0.45, g = 5 mm, Δl = 5 mm, L = 40 mm, and the wind pressure q takes different values.
Table A5. The numerical calculation results of the undetermined constants β, c0, c1, and d0 as well as maximum stress σm and maximum deflection wm when k = 0.5 N/mm, a = 90 mm, h = 0.3 mm, t = 0.1 mm, E = 3.01 MPa, ν = 0.45, g = 5 mm, Δl = 5 mm, L = 40 mm, and the wind pressure q takes different values.
q/Paβc0c1d0σm/MPawm/mmC/pF
60 0.5031560.014394−0.0026510.0853570.04525910.000126.4340
450 0.700743 0.043775 −0.005850 0.113347 0.133421 13.6916 7.1917
900 0.700456 0.071449 −0.008998 0.144918 0.217609 17.3622 8.1455
1350 0.694031 0.097213 −0.011839 0.170923 0.296059 20.3467 9.1301
1800 0.687614 0.121856 −0.014435 0.193427 0.371114 22.8982 10.1824
2250 0.681868 0.145726 −0.016831 0.213512 0.443824 25.1503 11.3355
2700 0.676800 0.169024 −0.019061 0.231809 0.514784 27.1811 12.6247
31500.6722230.192024−0.0211620.2488360.58483429.053214.1034
3600 0.668317 0.214361 −0.023111 0.264520 0.65285330.7627 15.7924
40500.6646660.237050−0.0250050.2797290.72193432.406817.8481
4500 0.661475 0.258481 −0.026722 0.293520 0.78718033.886120.2159
49500.6585470.279835−0.0283680.3075130.85217435.298223.1471
5400 0.655796 0.301717−0.029986 0.319869 0.91877636.682826.9834
58500.6533340.323022−0.0314930.3321620.98359637.972931.9113
63000.6510170.344377−0.0329550.3441591.04857039.224738.7840
6750 0.648819 0.365337 −0.034365 0.355774 1.11234840.433048.9625
Table A6. The numerical calculation results of the undetermined constants β, c0, c1, and d0 as well as maximum stress σm and maximum deflection wm when k = 0.5 N/mm, a = 70 mm, h = 0.1 mm, t = 0.1 mm, E = 3.01 MPa, ν = 0.45, g = 5 mm, Δl = 5 mm, L = 40 mm, and the wind pressure q takes different values.
Table A6. The numerical calculation results of the undetermined constants β, c0, c1, and d0 as well as maximum stress σm and maximum deflection wm when k = 0.5 N/mm, a = 70 mm, h = 0.1 mm, t = 0.1 mm, E = 3.01 MPa, ν = 0.45, g = 5 mm, Δl = 5 mm, L = 40 mm, and the wind pressure q takes different values.
q/Paβc0c1d0σm/MPawm/mmC/pF
54.50.5046830.023909−0.0043480.1097700.07512910.000153.8922
5000.7323680.079161−0.0088830.1438550.240433 13.32474.3002
10000.7350160.131186−0.0130150.1841990.397997 16.80194.8298
15000.7296750.181754−0.0166570.2190000.55175719.74445.3916
2000 0.7236790.231645−0.0199270.2500470.70241722.32306.0037
2500 0.7169900.279793−0.0228310.2774210.84875424.56346.6607
3000 0.7130100.330253−0.0256530.3047471.00129926.76327.4625
3500 0.7087460.378837−0.0281910.3294211.14849028.72498.3600
4000 0.7043760.427835−0.0305970.3529751.29711630.57579.4299
4500 0.7005610.476959−0.0328770.3756511.44609032.432410.8189
5000 0.6973140.524673−0.0349820.3969201.59072333.972912.3253
5500 0.6943420.571729−0.0369660.4172421.73340035.521314.3309
6000 0.6914760.620256−0.0389230.4375811.88055037.057217.0892
6500 0.6888190.668647−0.0407920.4572982.02731038.532920.9664
7000 0.6863850.716643−0.0425710.4763582.17288139.947126.7918
Table A7. The numerical calculation results of the undetermined constants β, c0, c1, and d0 as well as maximum stress σm and maximum deflection wm when k = 0.5 N/mm, a = 70 mm, h = 0.5 mm, t = 0.1 mm, E = 3.01 MPa, ν = 0.45, g = 5 mm, Δl = 5 mm, L = 40 mm, and the wind pressure q takes different values.
Table A7. The numerical calculation results of the undetermined constants β, c0, c1, and d0 as well as maximum stress σm and maximum deflection wm when k = 0.5 N/mm, a = 70 mm, h = 0.5 mm, t = 0.1 mm, E = 3.01 MPa, ν = 0.45, g = 5 mm, Δl = 5 mm, L = 40 mm, and the wind pressure q takes different values.
q/Paβc0c1d0σm/MPawm/mmC/pF
2720.5008730.023896−0.0043110.1102350.07506410.000033.8921
16000.6509590.069444−0.0101070.1549290.212687 14.49034.4643
32000.6472720.115047−0.0155740.1985400.352011 18.46555.1321
48000.6405920.157020−0.0201960.2364040.480293 21.68435.8395
6400 0.6347000.196961−0.0242220.2669220.602320 24.30056.5763
80000.6297110.235558−0.0278490.2938770.720184 26.57607.3868
9600 0.6258300.274003−0.0310960.3192110.83768228.68038.3372
11200 0.6223720.311102−0.0340470.3418720.95077830.54409.4093
128000.6189500.345548−0.0366030.3616101.06194032.150810.5825
144000.6158500.381522−0.0391060.3812031.17151033.729412.0599
16000 0.6131480.417107−0.0414420.3999011.27385035.221113.8926
17600 0.6108230.452363−0.0436310.4178911.38116036.643116.2461
19200 0.6087810.487299−0.0456800.4351561.48746037.995319.3658
20800 0.6069300.521925−0.0475960.4516831.59285039.278223.6799
22400 0.6051950.556306−0.0494070.4676111.69753040.505730.0945
Table A8. The numerical calculation results of the undetermined constants β, c0, c1, and d0 as well as maximum stress σm and maximum deflection wm when k = 0.5 N/mm, a = 70 mm, h = 0.3 mm, t = 2.5 mm, E = 3.01 MPa, ν = 0.45, g = 5 mm, Δl = 5 mm, L = 40 mm, and the wind pressure q takes different values.
Table A8. The numerical calculation results of the undetermined constants β, c0, c1, and d0 as well as maximum stress σm and maximum deflection wm when k = 0.5 N/mm, a = 70 mm, h = 0.3 mm, t = 2.5 mm, E = 3.01 MPa, ν = 0.45, g = 5 mm, Δl = 5 mm, L = 40 mm, and the wind pressure q takes different values.
q/Paβc0c1d0σm/MPawm/mmC/pF
1640.5080890.023938−0.0043820.1094110.07523110.001323.7959
1800.544050 0.024999 −0.004715 0.107564 0.078310 10.0430 3.8003
2500.598700 0.029582 −0.005228 0.109212 0.091588 10.2999 3.8277
4500.649548 0.040977 −0.006322 0.119276 0.125661 11.2394 3.9314
6500.666143 0.051272 −0.007420 0.129987 0.156822 12.2096 4.0445
1000 0.6755060.068129−0.0092890.1475940.208037 13.79334.2439
20000.6749100.112451−0.0141010.1897650.342976 17.53524.8032
3000 0.6687570.153851−0.0182680.2240770.469091 20.52165.3678
4000 0.6627730.193468−0.0219530.2536390.590176 23.05145.9615
5000 0.6574930.232254−0.0252640.2799910.707882 25.27326.6028
6000 0.6537800.269163−0.0282090.3046930.82529327.32767.3321
7000 0.6498410.307092−0.0310390.3261360.93942229.09128.1002
8000 0.6459800.344476−0.0336450.3473781.05186030.81869.0264
9000 0.6423380.381389−0.0360510.3673141.15671032.421510.0977
10000 0.6391880.416372−0.0381910.3853751.26814233.858211.2998
11000 0.6363850.452081−0.0402490.4031051.37539035.255212.7791
12000 0.6339410.488016−0.0422160.4203581.48344036.603114.6267
13000 0.6319070.521772−0.0439890.4361531.59091037.828616.8402
14000 0.6299480.557385−0.0458070.4525251.69798039.092819.9556
150000.6281170.592392−0.0475680.4684701.80320040.320924.3276
Table A9. The numerical calculation results of the undetermined constants β, c0, c1, and d0 as well as maximum stress σm and maximum deflection wm when k = 0.5 N/mm, a = 70 mm, h = 0.3 mm, t = 5 mm, E = 3.01 MPa, ν = 0.45, g = 5 mm, Δl = 5 mm, L = 40 mm, and the wind pressure q takes different values.
Table A9. The numerical calculation results of the undetermined constants β, c0, c1, and d0 as well as maximum stress σm and maximum deflection wm when k = 0.5 N/mm, a = 70 mm, h = 0.3 mm, t = 5 mm, E = 3.01 MPa, ν = 0.45, g = 5 mm, Δl = 5 mm, L = 40 mm, and the wind pressure q takes different values.
q/Paβc0c1d0σm/MPawm/mmC/pF
1640.5080890.023938−0.0043820.1094110.07523110.001323.7005
1800.544050 0.024999 −0.004715 0.107564 0.078310 10.0430 3.7047
2500.598700 0.029582 −0.005228 0.109212 0.091588 10.2999 3.7307
4500.649548 0.040977 −0.006322 0.119276 0.125661 11.2394 3.8291
6500.666143 0.051272 −0.007420 0.129987 0.156822 12.2096 3.9364
1000 0.6755060.068129−0.0092890.1475940.208037 13.79334.1250
20000.6749100.112451−0.0141010.1897650.342976 17.53524.6514
3000 0.6687570.153851−0.0182680.2240770.469091 20.52165.1790
4000 0.6627730.193468−0.0219530.2536390.590176 23.05145.7294
5000 0.6574930.232254−0.0252640.2799910.707882 25.27326.3193
6000 0.6537800.269163−0.0282090.3046930.82529327.32766.9842
7000 0.6498410.307092−0.0310390.3261360.93942229.09127.6777
8000 0.6459800.344476−0.0336450.3473781.05186030.81868.5049
9000 0.6423380.381389−0.0360510.3673141.15671032.42159.4495
10000 0.6391880.416372−0.0381910.3853751.26814233.858210.4943
11000 0.6363850.452081−0.0402490.4031051.37539035.255211.7583
12000 0.6339410.488016−0.0422160.4203581.48344036.603113.3046
13000 0.6319070.521772−0.0439890.4361531.59091037.828615.1114
14000 0.6299480.557385−0.0458070.4525251.69798039.092817.5732
150000.6281170.592392−0.0475680.4684701.80320040.320920.8773
Table A10. The numerical calculation results of the undetermined constants β, c0, c1, and d0 as well as maximum stress σm and maximum deflection wm when k = 0.5 N/mm, a = 70 mm, h = 0.3 mm, t = 0.1 mm, E = 5 MPa, ν = 0.45, g = 5 mm, Δl = 5 mm, L = 40 mm, and the wind pressure q takes different values.
Table A10. The numerical calculation results of the undetermined constants β, c0, c1, and d0 as well as maximum stress σm and maximum deflection wm when k = 0.5 N/mm, a = 70 mm, h = 0.3 mm, t = 0.1 mm, E = 5 MPa, ν = 0.45, g = 5 mm, Δl = 5 mm, L = 40 mm, and the wind pressure q takes different values.
q/Paβc0c1d0σm/MPawm/mmC/pF
2720.5062780.023924−0.0043650.1096030.12488910.001323.8923
16000.6511320.069586−0.0101200.1550460.354013 14.50064.4658
32000.6474040.115300−0.0155960.2006330.586010 18.56265.1510
48000.6407090.157381−0.0202240.2366330.799644 21.70365.8444
64000.6348060.197428−0.0242550.2671951.002880 24.32316.5834
80000.6290200.236678−0.0278840.2942501.20207026.60967.4003
9600 0.6255530.273860−0.0310620.3191141.39048228.63658.3149
11200 0.6219880.311804−0.0340750.3405971.58281030.54109.4073
128000.6186610.347240−0.0367000.3621501.76224132.195410.6193
144000.6156160.382484−0.0391520.3825981.94073033.754812.0870
16000 0.6132360.418187−0.0416150.4014292.12140035.340814.0641
17600 0.6109750.453787−0.0436760.4185582.30146636.693316.3438
19200 0.6089040.488583−0.0458420.4357122.47747038.037119.4814
20800 0.6069780.523341−0.0476620.4522952.65319039.325523.8760
22400 0.6052320.557826−0.0494760.4682522.82748040.554830.4242
Table A11. The numerical calculation results of the undetermined constants β, c0, c1, and d0 as well as maximum stress σm and maximum deflection wm when k = 0.5 N/mm, a = 70 mm, h = 0.3 mm, t = 0.1 mm, E = 7.84 MPa, ν = 0.45, g = 5 mm, Δl = 5 mm, L = 40 mm, and the wind pressure q takes different values.
Table A11. The numerical calculation results of the undetermined constants β, c0, c1, and d0 as well as maximum stress σm and maximum deflection wm when k = 0.5 N/mm, a = 70 mm, h = 0.3 mm, t = 0.1 mm, E = 7.84 MPa, ν = 0.45, g = 5 mm, Δl = 5 mm, L = 40 mm, and the wind pressure q takes different values.
q/Paβc0c1d0σm/MPawm/mmC/pF
425.50.5030270.023904−0.0043320.1099690.19561510.000483.8922
22000.6299020.065748−0.0101720.1556560.526224 14.57194.4762
44000.6261620.108487−0.0157200.2008830.867405 18.62485.1631
66000.6200130.147354−0.0203570.2360291.177759 21.70675.8451
88000.6167750.185102−0.0244870.2676151.46299024.41646.6132
110000.6102300.219360−0.0279270.2915631.75222126.45987.3406
132000.6064520.253633−0.0311220.3149712.02536028.42128.2072
154000.6034210.286574−0.0339820.3362102.28770030.27409.2372
176000.6003720.320005−0.0366920.3564342.55377531.836210.3303
198000.5978140.352086−0.0391320.3749882.80896033.340911.6593
220000.5956010.384164−0.0414300.3928313.06397034.774413.2879
242000.5936350.415905−0.0435790.4098483.31618336.129515.3094
264000.5918160.447284−0.0455950.4261023.56541037.413717.8883
286000.5901530.478166−0.0474730.4415683.81057838.625921.2706
308000.5886240.509222−0.0492620.4566464.05702039.798126.0298
Table A12. The numerical calculation results of the undetermined constants β, c0, c1, and d0 as well as maximum stress σm and maximum deflection wm when k = 0.5 N/mm, a = 70 mm, h = 0.3 mm, t = 0.1 mm, E = 3.01 MPa, ν = 0.15, g = 5 mm, Δl = 5 mm, L = 40 mm, and the wind pressure q takes different values.
Table A12. The numerical calculation results of the undetermined constants β, c0, c1, and d0 as well as maximum stress σm and maximum deflection wm when k = 0.5 N/mm, a = 70 mm, h = 0.3 mm, t = 0.1 mm, E = 3.01 MPa, ν = 0.15, g = 5 mm, Δl = 5 mm, L = 40 mm, and the wind pressure q takes different values.
q/Paβc0c1d0σm/MPawm/mmC/pF
1140.5021180.017071−0.0040910.1110540.05433510.000063.8921
8000.6960360.050333−0.0090000.1488830.154106 13.78614.3637
16000.6956940.083397−0.0135760.1919100.254962 17.54594.9605
24000.6893630.114742−0.0175490.2275680.350638 20.59835.5800
32000.6830990.145103−0.0210770.2586460.443319 23.21176.2482
40000.6760660.174679−0.0242480.2862020.53359825.49566.9784
48000.6726400.203992−0.0271670.3122310.62305027.61817.8288
56000.6685160.233131−0.0298780.3364520.71196129.56988.8166
64000.6645150.261286−0.0323360.3585620.79785931.33189.9501
72000.6609510.290251−0.0347210.3803940.88621933.052611.3788
80000.6580130.317497−0.0368470.4002050.96931834.598813.0643
88000.6551110.344901−0.0388840.4194811.05289036.090115.2419
96000.6526550.372902−0.0408610.4385311.13827737.550518.2152
104000.6503280.400352−0.0427000.4566241.22197038.924722.3104
112000.6481630.427854−0.0444720.4743421.30582040.260828.5514
Table A13. The numerical calculation results of the undetermined constants β, c0, c1, and d0 as well as maximum stress σm and maximum deflection wm when k = 0.5 N/mm, a = 70 mm, h = 0.3 mm, t = 0.1 mm, E = 3.01 MPa, ν = 0.3, g = 5 mm, Δl = 5 mm, L = 40 mm, and the wind pressure q takes different values.
Table A13. The numerical calculation results of the undetermined constants β, c0, c1, and d0 as well as maximum stress σm and maximum deflection wm when k = 0.5 N/mm, a = 70 mm, h = 0.3 mm, t = 0.1 mm, E = 3.01 MPa, ν = 0.3, g = 5 mm, Δl = 5 mm, L = 40 mm, and the wind pressure q takes different values.
q/Paβc0c1d0σm/MPawm/mmC/pF
133.50.5027620.019770−0.0042060.1105150.06255410.000133.8922
9000.6870980.058331−0.0092400.1492940.178366 13.87994.3768
18000.6861500.096640−0.0140010.1925140.295120 17.68134.9850
27000.6797090.132723−0.0181200.2279820.405157 20.73845.6122
36000.6734710.167542−0.0217660.2587150.511337 23.34126.2855
45000.6671320.201523−0.0250470.2859570.61494625.61577.0216
54000.6631700.234853−0.0280310.3114020.71653527.70577.8683
63000.6591290.268199−0.0308160.3351950.81815729.63728.8552
72000.655226 0.300167 −0.033318 0.356708 0.91556231.3648 9.9741
81000.6516900.33323−0.0357540.3780281.01628033.058611.3845
90000.6488770.365298−0.0379840.3979421.10854034.624613.0967
99000.646172 0.395755 −0.039996 0.416227 1.20669736.0496 15.1733
108000.6437100.426985−0.0419640.4344041.30178037.454917.9855
117000.641407 0.458348 −0.043843 0.452102 1.39726138.8114 21.9044
126000.6393040.489624−0.0456250.4692501.49246040.114627.7034
Table A14. The numerical calculation results of the undetermined constants β, c0, c1, and d0 as well as maximum stress σm and maximum deflection wm when k = 0.5 N/mm, a = 70 mm, h = 0.3 mm, t = 0.1 mm, E = 3.01 MPa, ν = 0.45, g = 1 mm, Δl = 5 mm, L = 40 mm, and the wind pressure q takes different values.
Table A14. The numerical calculation results of the undetermined constants β, c0, c1, and d0 as well as maximum stress σm and maximum deflection wm when k = 0.5 N/mm, a = 70 mm, h = 0.3 mm, t = 0.1 mm, E = 3.01 MPa, ν = 0.45, g = 1 mm, Δl = 5 mm, L = 40 mm, and the wind pressure q takes different values.
q/Paβc0c1d0σm/MPawm/mmC/pF
35.6 0.507215 0.008550 −0.001603 0.065493 0.0269046.00023 3.8922
8500.724312 0.053934 −0.006581 0.120561 0.164006 11.2669 4.5807
17000.708062 0.092562 −0.010893 0.162745 0.281578 15.0630 5.2502
25500.695527 0.128630 −0.014666 0.196068 0.391411 18.0058 5.9210
34000.685891 0.163203 −0.018040 0.224411 0.496698 20.4687 6.6300
42500.678180 0.196765 −0.021100 0.249483 0.598896 22.6166 7.4031
51000.671805 0.229586 −0.023904 0.272209 0.698823 24.5386 8.2656
59500.666403 0.261833 −0.026494 0.293152 0.796988 26.2896 9.2469
68000.661735 0.293621 −0.028903 0.312689 0.893734 27.9056 10.3849
76500.657642 0.325028 −0.031156 0.331081 0.989303 29.4120 11.7306
85000.654006 0.356114 −0.033271 0.348522 1.083876 30.8274 13.3569
93500.650745 0.386922 −0.035266 0.365158 1.177589 32.1659 15.3722
102000.647795 0.417487 −0.037154 0.381102 1.270550 33.4384 17.9465
110500.645107 0.447839 −0.038947 0.396444 1.362843 34.6534 21.3622
119000.642643 0.477998 −0.040653 0.411257 1.454539 35.8182 26.1300
Table A15. The numerical calculation results of the undetermined constants β, c0, c1, and d0 as well as maximum stress σm and maximum deflection wm when k = 0.5 N/mm, a = 70 mm, h = 0.3 mm, t = 0.1 mm, E = 3.01 MPa, ν = 0.45, g = 3 mm, Δl = 5 mm, L = 40 mm, and the wind pressure q takes different values.
Table A15. The numerical calculation results of the undetermined constants β, c0, c1, and d0 as well as maximum stress σm and maximum deflection wm when k = 0.5 N/mm, a = 70 mm, h = 0.3 mm, t = 0.1 mm, E = 3.01 MPa, ν = 0.45, g = 3 mm, Δl = 5 mm, L = 40 mm, and the wind pressure q takes different values.
q/Paβc0c1d0σm/MPawm/mmC/pF
84.3 0.508782 0.015260 −0.002837 0.087317 0.047992 8.00080 3.8922
900 0.699680 0.059863 −0.007746 0.132820 0.182392 12.4192 4.4539
1800 0.691609 0.100386 −0.012240 0.174406 0.305766 16.1385 5.0698
2700 0.682432 0.138220 −0.016151 0.207762 0.421005 19.0663 5.6890
3600 0.674713 0.174507 −0.019633 0.236324 0.531534 21.5328 6.3415
4500 0.668274 0.209756 −0.022779 0.261691 0.638880 23.6921 7.0493
5400 0.662819 0.244244 −0.025653 0.284747 0.743890 25.6294 7.8339
6300 0.658120 0.278145 −0.028301 0.306040 0.847089 27.3977 8.7196
7200 0.654013 0.311575 −0.030758 0.325936 0.948830 29.0322 9.7373
8100 0.650379 0.344616 −0.033051 0.344693 1.049364 30.5579 10.9277
9000 0.647131 0.377326 −0.035202 0.362502 1.148873 31.9930 12.3477
9900 0.644200 0.409752 −0.037227 0.379507 1.247498 33.3514 14.0795
10800 0.641537 0.441929 −0.039140 0.395820 1.345349 34.6440 16.2478
11700 0.639101 0.473886 −0.040955 0.411532 1.442513 35.8793 19.0519
12600 0.636860 0.505646 −0.042681 0.426714 1.539062 37.0644 22.8322
13500 0.634789 0.537227 −0.044326 0.441426 1.635056 38.2048 28.2206
Table A16. The numerical calculation results of the undetermined constants β, c0, c1, and d0 as well as maximum stress σm and maximum deflection wm when k = 0.5 N/mm, a = 70 mm, h = 0.3 mm, t = 0.1 mm, E = 3.01 MPa, ν = 0.45, g = 5 mm, Δl = 1 mm, L = 40 mm, and the wind pressure q takes different values.
Table A16. The numerical calculation results of the undetermined constants β, c0, c1, and d0 as well as maximum stress σm and maximum deflection wm when k = 0.5 N/mm, a = 70 mm, h = 0.3 mm, t = 0.1 mm, E = 3.01 MPa, ν = 0.45, g = 5 mm, Δl = 1 mm, L = 40 mm, and the wind pressure q takes different values.
q/Paβc0c1d0σm/MPawm/mmC/pF
35.5 0.503347 0.008542 −0.001590 0.065756 0.026872 6.00005 3.4933
1020 0.720888 0.061962 −0.007496 0.130066 0.188433 12.1288 4.1439
2040 0.702618 0.107215 −0.012458 0.176841 0.326198 16.3139 4.7477
3060 0.689470 0.149516 −0.016732 0.213537 0.455015 19.5282 5.3459
4080 0.679600 0.190118 −0.020510 0.244680 0.578659 22.2073 5.9733
5100 0.671805 0.229586 −0.023904 0.272209 0.698823 24.5386 6.6526
6120 0.665416 0.268225 −0.026990 0.297162 0.816442 26.6227 7.4056
7140 0.660036 0.306226 −0.029822 0.320171 0.932091 28.5202 8.2564
8160 0.655411 0.343715 −0.032440 0.341650 1.046157 30.2712 9.2354
9180 0.651371 0.380781 −0.034876 0.361890 1.158910 31.9038 10.3835
10200 0.647795 0.417487 −0.037154 0.381102 1.270550 33.4384 11.7573
11220 0.644598 0.453885 −0.039294 0.399446 1.381228 34.8902 13.4395
12240 0.641712 0.490012 −0.041313 0.417047 1.491063 36.2713 15.5570
13260 0.639089 0.525898 −0.043223 0.434003 1.600150 37.5910 18.3143
14280 0.636688 0.561570 −0.045036 0.450393 1.708566 38.8569 22.0656
15300 0.634479 0.597047 −0.046763 0.466282 1.816376 40.0753 27.4840
Table A17. The numerical calculation results of the undetermined constants β, c0, c1, and d0 as well as maximum stress σm and maximum deflection wm when k = 0.5 N/mm, a = 70 mm, h = 0.3 mm, t = 0.1 mm, E = 3.01 MPa, ν = 0.45, g = 5 mm, Δl = 3 mm, L = 40 mm, and the wind pressure q takes different values.
Table A17. The numerical calculation results of the undetermined constants β, c0, c1, and d0 as well as maximum stress σm and maximum deflection wm when k = 0.5 N/mm, a = 70 mm, h = 0.3 mm, t = 0.1 mm, E = 3.01 MPa, ν = 0.45, g = 5 mm, Δl = 3 mm, L = 40 mm, and the wind pressure q takes different values.
q/Paβc0c1d0σm/MPawm/mmC/pF
84 0.504741 0.015240 −0.002812 0.087662 0.047920 8.00023 3.6820
1000 0.699278 0.064572 −0.008281 0.138046 0.196719 12.8905 4.2421
2000 0.689464 0.108968 −0.013153 0.182361 0.331905 16.8413 4.8365
3000 0.679697 0.150455 −0.017354 0.217714 0.458275 19.9300 5.4315
4000 0.671712 0.190282 −0.021068 0.247929 0.579576 22.5243 6.0574
5000 0.665138 0.228997 −0.024406 0.274744 0.697468 24.7919 6.7359
6000 0.659613 0.266902 −0.027441 0.299113 0.812866 26.8246 7.4877
7000 0.654881 0.304183 −0.030227 0.321621 0.926333 28.6791 8.3366
8000 0.650763 0.340962 −0.032804 0.342659 1.038247 30.3931 9.3123
9000 0.647131 0.377326 −0.035202 0.362502 1.148873 31.9930 10.4545
10000 0.643892 0.413339 −0.037444 0.381352 1.258407 33.4981 11.8181
11000 0.640977 0.449049 −0.039552 0.399361 1.366998 34.9232 13.4834
12000 0.638334 0.484494 −0.041540 0.416648 1.474761 36.2796 15.5718
13000 0.635920 0.519703 −0.043421 0.433307 1.581792 37.5764 18.2784
14000 0.633703 0.554702 −0.045208 0.449416 1.688164 38.8209 21.9378
14500 0.632660 0.572128 −0.046068 0.457283 1.741123 39.4254 24.3011

References

  1. Li, X.; Huang, G.; Yu, W.; Yin, R.; Zheng, H. Distribution inference of wind speed at adjacent spaces using generative conditional distribution sampler. Comput. Electr. Eng. 2025, 123, 110123. [Google Scholar] [CrossRef]
  2. Shaukat, U.; Giljarhus, K.E.T.; Jakobsen, J.B.; Wang, W.; Ikegaya, N. Identifying the most influential statistics on low-occurring wind speed at pedestrian height for a semi-idealized urban building environment. Build. Environ. 2025, 274, 112769. [Google Scholar] [CrossRef]
  3. Houndekindo, F.; Ouarda, T.B. Machine learning and statistical approaches for wind speed estimation at partially sampled and unsampled locations; review and open questions. Energy Convers. Manag. 2025, 327, 119555. [Google Scholar] [CrossRef]
  4. Gohari, A.; Akpınar, A. Projected changes in wind speed and wind energy resources over the Persian Gulf based on bias corrected CMIP6 models. Dyn. Atmos. Ocean. 2025, 110, 101539. [Google Scholar] [CrossRef]
  5. Li, X.H.; Chen, Y.H.; Li, K.N.; Gao, S.J.; Cui, Y. The optimal wind speed product selection for wind energy assessment under multi-factor constraints. Clean. Eng. Technol. 2025, 24, 100883. [Google Scholar] [CrossRef]
  6. Jiang, Y.; Hui, Y.; Li, M.; Zhu, H.; Liu, M. Study on wind pressure of side-attached canopies atop buildings with setback. J. Wind Eng. Ind. Aerodyn. 2025, 261, 106081. [Google Scholar] [CrossRef]
  7. Wei, J.Y.; Shen, T.H.; Wang, K.; Liu, J.L.; Wang, S.Q.; Hu, W.C. Transfer learning framework for the wind pressure prediction of high-rise building surfaces using wind tunnel experiments and machine learning. J. Wind Eng. Ind. Aerodyn. 2025, 271, 112620. [Google Scholar] [CrossRef]
  8. Lian, Y.-S.; Sun, J.-Y.; Ge, X.-M.; Yang, Z.-X.; He, X.-T.; Zheng, Z.-L. A theoretical study of an improved capacitive pressure sensor: Closed-form solution of uniformly loaded annular membranes. Measurement 2017, 111, 84–92. [Google Scholar] [CrossRef]
  9. Guo, Y.; Li, B.; Zhang, Q.; He, X.-T.; Sun, J.Y. A Further Theoretical Study of Capacitive Pressure Sensors Based on Thin Film Elastic Deflection and Parallel Plate Capacitor: Refined Closed-Form Solution and Numerical Calibration. Sensors 2022, 22, 2848. [Google Scholar] [CrossRef]
  10. Sun, J.-Y.; Yan, Z.-Q.; Feng, H.-H.; He, X.-T. An Annular Conductive Membrane-Based Hollow Capacitive Wind Pressure Sensor: Analytical Solution and Numerical Design and Calibration. Materials 2025, 18, 965. [Google Scholar] [CrossRef]
  11. Pindado, S.; Cubas, J.; Sanz-Andrés, A.; Missirlis, D.; Pascazio, G. Aerodynamic Analysis of Cup Anemometers Performance: The Stationary Harmonic Response. Sci. World J. 2013, 2013, 197325. [Google Scholar] [CrossRef] [PubMed]
  12. Bobovnik, G.; Sambol, P.; Geršl, J.; Kutin, J. Experimental study of the blockage effect of a vane anemometer in a small wind tunnel. Meas. Sens. 2024, 38, 101561. [Google Scholar] [CrossRef]
  13. Zhang, C.Q.; Gao, Z.Y.; Chen, Y.Y.; Dai, Y.J.; Wang, J.W.; Zhang, P.W. Experimental determination of the dominant noise mechanism of rotating rotors using hot-wire anemometer. Appl. Acoust. 2021, 173, 107703. [Google Scholar] [CrossRef]
  14. Alshammari, M.; Alalou, A.; Alhameedi, H.A.; Al-Dahhan, M.H. Experimental investigation of the variation of the local gas velocities in a cold flow pebble bed reactor (PBR) using a hot wire anemometry technique. Nucl. Eng. Des. 2023, 414, 112524. [Google Scholar] [CrossRef]
  15. Lopes, P.V.; Spicer, T.; Smith, C.T. Laser Doppler velocimetry and particle image velocimetry measurements in a wind tunnel model of the jack rabbit II special sonic anemometer study. Atmos. Environ. 2024, 333, 120657. [Google Scholar] [CrossRef]
  16. Deng, E.; Liu, X.Y.; Ouyang, D.H.; Yue, H.; Ni, Y.Q. 3D ultrasonic anemometer array reveals jet flow structures at the entrance of high-speed railway tunnel. J. Wind Eng. Ind. Aerodyn. 2025, 257, 106004. [Google Scholar] [CrossRef]
  17. Streichenberger, B.; Chakir, R.; Jouy, B.; Waeytens, J. Simulation and Validation of CFD turbulent airflow at pedestrian level using 3D ultrasonic anemometer in the controlled urban area “Sense-City”. J. Wind Eng. Ind. Aerodyn. 2021, 219, 104801. [Google Scholar] [CrossRef]
  18. Vellekoop, M.J. Acoustic wave sensors and their technology. Ultrasonics 1998, 36, 7–14. [Google Scholar] [CrossRef]
  19. Dessureault, J.-G.; Knox, D.F. Design of a tri-axial thrust anemometer for measurement of atmospheric turbulence over water. Ocean Eng. 1980, 7, 521–537. [Google Scholar] [CrossRef]
  20. Yi, Z.X.; Zhao, T.; Qin, M.; Huang, Q.A. Differential piezoresistive wind speed sensor on flexible substrate. Electron. Lett. 2020, 56, 201–203. [Google Scholar] [CrossRef]
  21. Oliver, J. An early self-recording Pressure-Plate anemometer. Weather 1957, 12, 16–21. [Google Scholar] [CrossRef]
  22. Ainsworth, J.; Fox, D.F.; Lagow, H.E. Upper-atmosphere structure measurement made with pitot-static tube. J. Geophys. Res. 1961, 66, 3191–3212. [Google Scholar] [CrossRef]
  23. Moum, J.N. Ocean Speed and Turbulence Measurements Using Pitot-Static Tubes on Moorings. J. Atmos. Ocean. Technol. 2015, 32, 1400–1413. [Google Scholar] [CrossRef]
  24. Kishimoto, T.; Saito, R.; Tanaka, H.; Takahashi, H. Pitot-Static-Tube-Based Waterflow Sensor for Marine Biologging via Inside Sealing of an Incompressible Liquid. IEEE Sens. J. 2021, 21, 19806–19814. [Google Scholar] [CrossRef]
  25. Leland, B.J.; Hall, J.L.; Joensen, A.W.; Carroll, J.M. Correction of S-Type Pitot-Static Tube Coefficients When Used for Isokinetic Sampling from Stationary Sources. Environ. Sci. Technol. 1977, 11, 694–700. [Google Scholar] [CrossRef]
  26. Choi, Y.M.; Terao, Y.; Kurihara, N.; Iwai, A.; Funaki, T.; Kang, W.; Nguyen, D.T. Revisit the Pitot static tubes in the standards. Flow Meas. Instrum. 2021, 82, 102074. [Google Scholar] [CrossRef]
  27. Jäckel, R.; Gutiérrez-Urueta, G.; Tapia, F. A review on Pitot tube icing in aeronautics: Research- design and characterization–future trends. Flow Meas. Instrum. 2021, 81, 102033. [Google Scholar] [CrossRef]
  28. Hong, B.; Venkataraman, V.; Mihaescu, M.; Cronhjort, A. Crank angle-resolved mass flow characterization of engine exhaust pulsations using a Pitot tube and thin-wire thermocouples. Appl. Therm. Eng. 2024, 236, 121725. [Google Scholar] [CrossRef]
  29. De Oliveira, T.L.; Van Goor, P.; Hamel, T.; Mahony, R.; Samson, C. Pitot tube measure-aided air velocity and attitude estimation in GNSS denied environment. Eur. J. Control 2024, 80, 101070. [Google Scholar] [CrossRef]
  30. Rasmussen, K.R.; Iversen, J.J.; Merrison, J. The enhanced sensitivity of pitot tubes at low Reynolds number. Flow Meas. Instrum. 2025, 101, 102750. [Google Scholar] [CrossRef]
  31. Seo, J.; Seol, D.M.; Han, B.; Rhee, S.H. Turbulent wake field reconstruction of VLCC models using two-dimensional towed underwater PIV measurements. Ocean Eng. 2016, 118, 28–40. [Google Scholar] [CrossRef]
  32. Lynn, R.J.; Haljasmaa, I.V.; Shaffer, F.; Warzinski, R.P.; Levine, J.S. A Pitot tube system for obtaining water velocity profiles with millimeter resolution in devices with limited optical access. Flow Meas. Instrum. 2014, 40, 50–57. [Google Scholar] [CrossRef]
  33. Pinto, C.; André, J.; Viegas, D.X. Double S-type Pitot Tube for velocity field study of fire whirls. Flow Meas. Instrum. 2020, 76, 101806. [Google Scholar] [CrossRef]
  34. Ferchow, J.; Vogt, S.; Schibli, M.; Meboldt, M. Dust-resistant microthermal mass-flow pitot-tube for fixed-wing drones (UAV). Procedia CIRP 2021, 100, 409–414. [Google Scholar] [CrossRef]
  35. Conti, C.C.; Fusetti, A.; Spinelli, A.; Guardone, A. Shock losses and Pitot tube measurements in non-ideal supersonic and subsonic flows of Organic Vapors. Energy 2023, 265, 126087. [Google Scholar] [CrossRef]
  36. Nguyen, D.T.; Choi, Y.M.; Lee, S.H.; Kang, W. The impact of geometric parameters of a S-type Pitot tube on the flow velocity measurements for greenhouse gas emission monitoring. Flow Meas. Instrum. 2019, 67, 10–22. [Google Scholar] [CrossRef]
  37. Bao, T.G.; Li, Z.N.; Pu, O.; Wu, H.H. Field measurement and analysis of near-ground wind field characteristics and wind pressure on tracking photovoltaic panels. Energy 2025, 321, 135400. [Google Scholar] [CrossRef]
  38. Zhou, Q.; Ma, B.; Zhu, Q.; Zhang, H.J. Investigation on wind loads on angle-steel cross-arms of lattice transmission towers via direct force measurement. J. Wind Eng. Ind. Aerodyn. 2019, 191, 117–126. [Google Scholar] [CrossRef]
  39. Zhao, L.; Li, Y.X. The influence of multi/high-rise building on the surface wind load of low-rise building. Alex. Eng. J. 2022, 61, 11979–11991. [Google Scholar] [CrossRef]
  40. Sakuma, Y.; Nakano, T.; Inoue, T.; Kakizaki, Y. Wind loads on flat plates and porous screens installed on the track surface during the passage of high-speed trains. J. Wind Eng. Ind. Aerodyn. 2025, 256, 105951. [Google Scholar] [CrossRef]
  41. He, X.-T.; Wang, X.; Li, F.-Y.; Sun, J.-Y. An Improved Theory for Designing and Numerically Calibrating Circular Touch Mode Capacitive Pressure Sensors. Sensors 2024, 24, 907. [Google Scholar] [CrossRef] [PubMed]
  42. Tan, J.J.; Tan, P.; Wu, J.R.; Feng, D. Evaluation of wind-induced fragility and cumulative fatigue damage on seismically isolated high-rise building. J. Wind Eng. Ind. Aerodyn. 2024, 254, 105915. [Google Scholar] [CrossRef]
  43. Ding, Y.; Ye, X.Y.; Su, Y.H. Wind-induced fatigue life prediction of bridge hangers considering the effect of wind direction. Eng. Struct. 2025, 327, 119523. [Google Scholar] [CrossRef]
  44. Klinger, C. Failures of cranes due to wind induced vibrations. Eng. Fail. Anal. 2014, 43, 198–220. [Google Scholar] [CrossRef]
  45. Zhou, C.Y.; Chen, L.; Zhang, J.N. Numerical simulation of fatigue damage in offshore wind turbines under wind-ice coupling effects in brash ice regions. Results Eng. 2025, 25, 104519. [Google Scholar] [CrossRef]
  46. Huo, T.; Tong, L.W. An approach to wind-induced fatigue analysis of wind turbine tubular towers. J. Constr. Steel Res. 2020, 166, 105917. [Google Scholar] [CrossRef]
  47. Alexander, L.A.; Wood, J. A study of the low-cycle fatigue failure of a galvanised steel lighting column. Eng. Fail. Anal. 2009, 16, 2153–2162. [Google Scholar] [CrossRef]
  48. Repetto, M.P.; Solari, G. Wind-induced fatigue collapse of real slender structures. Eng. Struct. 2010, 32, 3888–3898. [Google Scholar] [CrossRef]
  49. Tan, Z.X.; Xu, Y.L.; Zhu, L.D.; Zhu, Q. Effect of Distributed Loading and Refined Modeling on Wind-Induced Stress Analysis of Long-Span Bridges. Int. J. Struct. Stab. Dyn. 2024, 24, 2450109. [Google Scholar] [CrossRef]
  50. Wieghaus, K.T.; Mander, J.B.; Hurlebaus, S. Fragility analysis of wind-excited traffic signal structures. Eng. Struct. 2015, 101, 652–661. [Google Scholar] [CrossRef]
  51. Sherman, R.J.; Connor, R.J. Development of a Fatigue Design Load for High-Mast Lighting Towers. J. Struct. Eng. 2019, 145, 04018228. [Google Scholar] [CrossRef]
  52. Zhang, M.; Liu, B.; Gao, C.Q.; Hossain, M.N.; Zhao, G.F. Wind-Induced Response Analysis and Fatigue Reliability Study of a Steel-Concrete Composite Wind Turbine Tower. Buildings 2024, 14, 1740. [Google Scholar] [CrossRef]
  53. Reverter, F. A Tutorial on Mechanical Sensors in the 70th Anniversary of the Piezoresistive Effect. Sensors 2024, 24, 3690. [Google Scholar] [CrossRef] [PubMed]
  54. Kanoun, O.; Kallel, A.Y.; Fendri, A. Measurement Methods for Capacitances in the Range of 1 pF–1 nF: A review. Measurement 2022, 195, 111067. [Google Scholar] [CrossRef]
  55. Lian, Y.-S.; Sun, J.-Y.; Yang, Z.-X.; He, X.-T.; Zheng, Z.-L. Closed-form solution of well-known Hencky problem without small-rotation-angle assumption. Z. Angew. Math. Mech 2016, 96, 1434–1441. [Google Scholar] [CrossRef]
Figure 1. Sketch of the proposed wind pressure sensor: (a) the initial state without loading; (b) the situation before the circular membrane is in contact with the spring-reset movable electrode plate under the transverse uniform loading of the wind pressure q; (c) the situation after the circular membrane is in contact with the spring-reset movable electrode plate under the transverse uniform loading of the wind pressure q.
Figure 1. Sketch of the proposed wind pressure sensor: (a) the initial state without loading; (b) the situation before the circular membrane is in contact with the spring-reset movable electrode plate under the transverse uniform loading of the wind pressure q; (c) the situation after the circular membrane is in contact with the spring-reset movable electrode plate under the transverse uniform loading of the wind pressure q.
Sensors 25 03760 g001aSensors 25 03760 g001b
Figure 2. Sketch of the deflection curve in the case of membrane/plate contact (solid lines) gradually approaching the deflection curve in the case of membrane/plate non-contact (dot–dashed lines) with the decrease in the transverse uniform loads q acting upon the membrane, where the deflection curves (in bottom-up order) correspond to q = 650 Pa, q = 450 Pa, q = 250 Pa, q = 180 Pa, q = 163 Pa, q = 100 Pa, q = 50 Pa, and q = 20 Pa, respectively.
Figure 2. Sketch of the deflection curve in the case of membrane/plate contact (solid lines) gradually approaching the deflection curve in the case of membrane/plate non-contact (dot–dashed lines) with the decrease in the transverse uniform loads q acting upon the membrane, where the deflection curves (in bottom-up order) correspond to q = 650 Pa, q = 450 Pa, q = 250 Pa, q = 180 Pa, q = 163 Pa, q = 100 Pa, q = 50 Pa, and q = 20 Pa, respectively.
Sensors 25 03760 g002
Figure 3. Sketch of the deflection curve with membrane/plate contact (solid lines) gradually approaching the deflection curve without membrane/plate contact (dot–dashed line) with the decrease in the spring stiffness coefficient k (reduced from 5 N/mm to 1 N/mm and then to 0.05 N/mm), where the transverse uniform loads q acting upon the same circular membrane are always kept to be q = 5000 Pa.
Figure 3. Sketch of the deflection curve with membrane/plate contact (solid lines) gradually approaching the deflection curve without membrane/plate contact (dot–dashed line) with the decrease in the spring stiffness coefficient k (reduced from 5 N/mm to 1 N/mm and then to 0.05 N/mm), where the transverse uniform loads q acting upon the same circular membrane are always kept to be q = 5000 Pa.
Sensors 25 03760 g003
Figure 4. The variation in the applied pressure q with the total capacitances C when a = 70 mm, h = 0.3 mm, t = 0.1 mm, E = 3.01 MPa, ν = 0.45, g = 5 mm, Δl = 5 mm, and L = 40 mm.
Figure 4. The variation in the applied pressure q with the total capacitances C when a = 70 mm, h = 0.3 mm, t = 0.1 mm, E = 3.01 MPa, ν = 0.45, g = 5 mm, Δl = 5 mm, and L = 40 mm.
Sensors 25 03760 g004
Figure 5. The effect of changing the spring stiffness coefficient k on the Cq relationships when a = 70 mm, h = 0.3 mm, t = 0.1 mm, E = 3.01 MPa, ν = 0.45, Δl = 5 mm, L = 40 mm, and k takes 0.1 N/mm, 0.5 N/mm, and 1 N/mm, respectively.
Figure 5. The effect of changing the spring stiffness coefficient k on the Cq relationships when a = 70 mm, h = 0.3 mm, t = 0.1 mm, E = 3.01 MPa, ν = 0.45, Δl = 5 mm, L = 40 mm, and k takes 0.1 N/mm, 0.5 N/mm, and 1 N/mm, respectively.
Sensors 25 03760 g005
Figure 6. The effect of changing the circular membrane radius a on Cq relationships when k = 0.5 N/mm, h = 0.3 mm, t = 0.1 mm, E = 3.01 MPa, ν = 0.45, Δl = 5 mm, L = 40 mm, and a takes 70 mm, 80 mm, and 90 mm, respectively.
Figure 6. The effect of changing the circular membrane radius a on Cq relationships when k = 0.5 N/mm, h = 0.3 mm, t = 0.1 mm, E = 3.01 MPa, ν = 0.45, Δl = 5 mm, L = 40 mm, and a takes 70 mm, 80 mm, and 90 mm, respectively.
Sensors 25 03760 g006
Figure 7. The effect of changing the circular membrane thickness h on the Cq relationships when k = 0.5 N/mm, a = 70 mm, t = 0.1 mm, E = 3.01 MPa, ν = 0.45, Δl = 5 mm, L = 40 mm, and h takes 0.1 mm, 0.3 mm, and 0.5 mm, respectively.
Figure 7. The effect of changing the circular membrane thickness h on the Cq relationships when k = 0.5 N/mm, a = 70 mm, t = 0.1 mm, E = 3.01 MPa, ν = 0.45, Δl = 5 mm, L = 40 mm, and h takes 0.1 mm, 0.3 mm, and 0.5 mm, respectively.
Sensors 25 03760 g007
Figure 8. The effect of changing the insulator layer thickness t on the Cq relationships when k = 0.5 N/mm, a = 70 mm, h = 0.3 mm, E = 3.01 MPa, ν = 0.45, g = 5 mm, Δl = 5 mm, L = 40 mm, and t takes 0.1 mm, 2.5 mm, and 5 mm, respectively.
Figure 8. The effect of changing the insulator layer thickness t on the Cq relationships when k = 0.5 N/mm, a = 70 mm, h = 0.3 mm, E = 3.01 MPa, ν = 0.45, g = 5 mm, Δl = 5 mm, L = 40 mm, and t takes 0.1 mm, 2.5 mm, and 5 mm, respectively.
Sensors 25 03760 g008
Figure 9. The effect of changing Young’s modulus of elasticity E on the Cq relationships when k = 0.5 N/mm, a = 70 mm, h = 0.3 mm, t = 0.1 mm, ν = 0.45, Δl = 5 mm, L = 40 mm, and E takes 3.01 MPa, 5 MPa, and 7.84 MPa, respectively.
Figure 9. The effect of changing Young’s modulus of elasticity E on the Cq relationships when k = 0.5 N/mm, a = 70 mm, h = 0.3 mm, t = 0.1 mm, ν = 0.45, Δl = 5 mm, L = 40 mm, and E takes 3.01 MPa, 5 MPa, and 7.84 MPa, respectively.
Sensors 25 03760 g009
Figure 10. The effect of changing Poisson’s ratio ν on the Cq relationships when k = 0.5 N/mm, a = 70 mm, h = 0.3 mm, t = 0.1 mm, E = 3.01 MPa, Δl = 5 mm, L = 40 mm, and ν takes 0.15, 0.3, and 0.45, respectively.
Figure 10. The effect of changing Poisson’s ratio ν on the Cq relationships when k = 0.5 N/mm, a = 70 mm, h = 0.3 mm, t = 0.1 mm, E = 3.01 MPa, Δl = 5 mm, L = 40 mm, and ν takes 0.15, 0.3, and 0.45, respectively.
Sensors 25 03760 g010
Figure 11. The effect of changing the initially parallel gap g on the Cq relationships when k = 0.5 N/mm, a = 70 mm, h = 0.3 mm, t = 0.1 mm, E = 3.01 MPa, ν = 0.45, Δl = 5 mm, L = 40 mm, and g takes 1 mm, 3 mm, and 5 mm, respectively.
Figure 11. The effect of changing the initially parallel gap g on the Cq relationships when k = 0.5 N/mm, a = 70 mm, h = 0.3 mm, t = 0.1 mm, E = 3.01 MPa, ν = 0.45, Δl = 5 mm, L = 40 mm, and g takes 1 mm, 3 mm, and 5 mm, respectively.
Sensors 25 03760 g011
Figure 12. The effect of changing the initial compressed length Δl of the spring on the Cq relationships when k = 0.5 N/mm, a = 70 mm, h = 0.3 mm, t = 0.1 mm, E = 3.01 MPa, ν = 0.45, g = 5 mm, L = 40 mm, and Δl takes 1 mm, 3 mm, and 5 mm, respectively.
Figure 12. The effect of changing the initial compressed length Δl of the spring on the Cq relationships when k = 0.5 N/mm, a = 70 mm, h = 0.3 mm, t = 0.1 mm, E = 3.01 MPa, ν = 0.45, g = 5 mm, L = 40 mm, and Δl takes 1 mm, 3 mm, and 5 mm, respectively.
Sensors 25 03760 g012
Table 1. The analytical expressions of “Function 1” and “Function 2” in Figure 4 and the variation ranges of the output pressure q and input capacitance C.
Table 1. The analytical expressions of “Function 1” and “Function 2” in Figure 4 and the variation ranges of the output pressure q and input capacitance C.
FunctionsC/pFq/PaAnalytical Expressions
Function 13.8923~28.9153164~15000q = −0.0004652C5 − 0.01513 C4 + 3.677 C3 − 156.7 C2 + 2991C − 9363
Function 23.8923~28.9153164~15000q = 611.5C + 569.2
Disclaimer/Publisher’s Note: The statements, opinions and data contained in all publications are solely those of the individual author(s) and contributor(s) and not of MDPI and/or the editor(s). MDPI and/or the editor(s) disclaim responsibility for any injury to people or property resulting from any ideas, methods, instructions or products referred to in the content.

Share and Cite

MDPI and ACS Style

He, X.-T.; Ran, J.-S.; Yin, J.-M.; Sun, J.-Y.; Guo, Y. A Parallel Plate Variable Capacitor-Based Wind Pressure Sensor: Closed-Form Solution and Numerical Design and Calibration. Sensors 2025, 25, 3760. https://doi.org/10.3390/s25123760

AMA Style

He X-T, Ran J-S, Yin J-M, Sun J-Y, Guo Y. A Parallel Plate Variable Capacitor-Based Wind Pressure Sensor: Closed-Form Solution and Numerical Design and Calibration. Sensors. 2025; 25(12):3760. https://doi.org/10.3390/s25123760

Chicago/Turabian Style

He, Xiao-Ting, Jun-Song Ran, Jing-Miao Yin, Jun-Yi Sun, and Ying Guo. 2025. "A Parallel Plate Variable Capacitor-Based Wind Pressure Sensor: Closed-Form Solution and Numerical Design and Calibration" Sensors 25, no. 12: 3760. https://doi.org/10.3390/s25123760

APA Style

He, X.-T., Ran, J.-S., Yin, J.-M., Sun, J.-Y., & Guo, Y. (2025). A Parallel Plate Variable Capacitor-Based Wind Pressure Sensor: Closed-Form Solution and Numerical Design and Calibration. Sensors, 25(12), 3760. https://doi.org/10.3390/s25123760

Note that from the first issue of 2016, this journal uses article numbers instead of page numbers. See further details here.

Article Metrics

Back to TopTop