Design and Experiment of an Unoccupied Control System for a Tracked Grain Vehicle
Abstract
1. Introduction
2. Materials and Methods
2.1. Design of the Control System for the Tracked Grain Vehicle
2.1.1. Design of the Electrical Control System
2.1.2. Electrical Control Design of the Chassis Walking Mechanism
2.1.3. Electro-Hydraulic Design of the Grain Unloading Mechanism
2.1.4. Design of the Automatic Operation Control System
2.2. Autonomous Navigation and Grain Unloading Control System Design
2.2.1. Navigation Control System
2.2.2. Path Planning of the Grain Vehicle
2.2.3. Path-Tracking Controller
- (1)
- The vehicle speed has a basic range of {0 m/s, 1.5 m/s}, and the fuzzy levels for the vehicle speed are defined as very low (VL), low (L), moderate (M), high (H), and very high (VH).
- (2)
- The forward-looking distance has a basic range of {1 m, 3 m}, and the fuzzy levels for the forward-looking distance are categorized as very near (VN), near (N), moderate (M), far (F), and very far (VF). The input and output variables are fuzzified using the triangular membership function. Drawing from manual driving experience, Table 1 presents the fuzzy control rules, while Figure 11 illustrates the fuzzy inference curve.
2.2.4. Automatic Grain Unloading Control System
3. Results
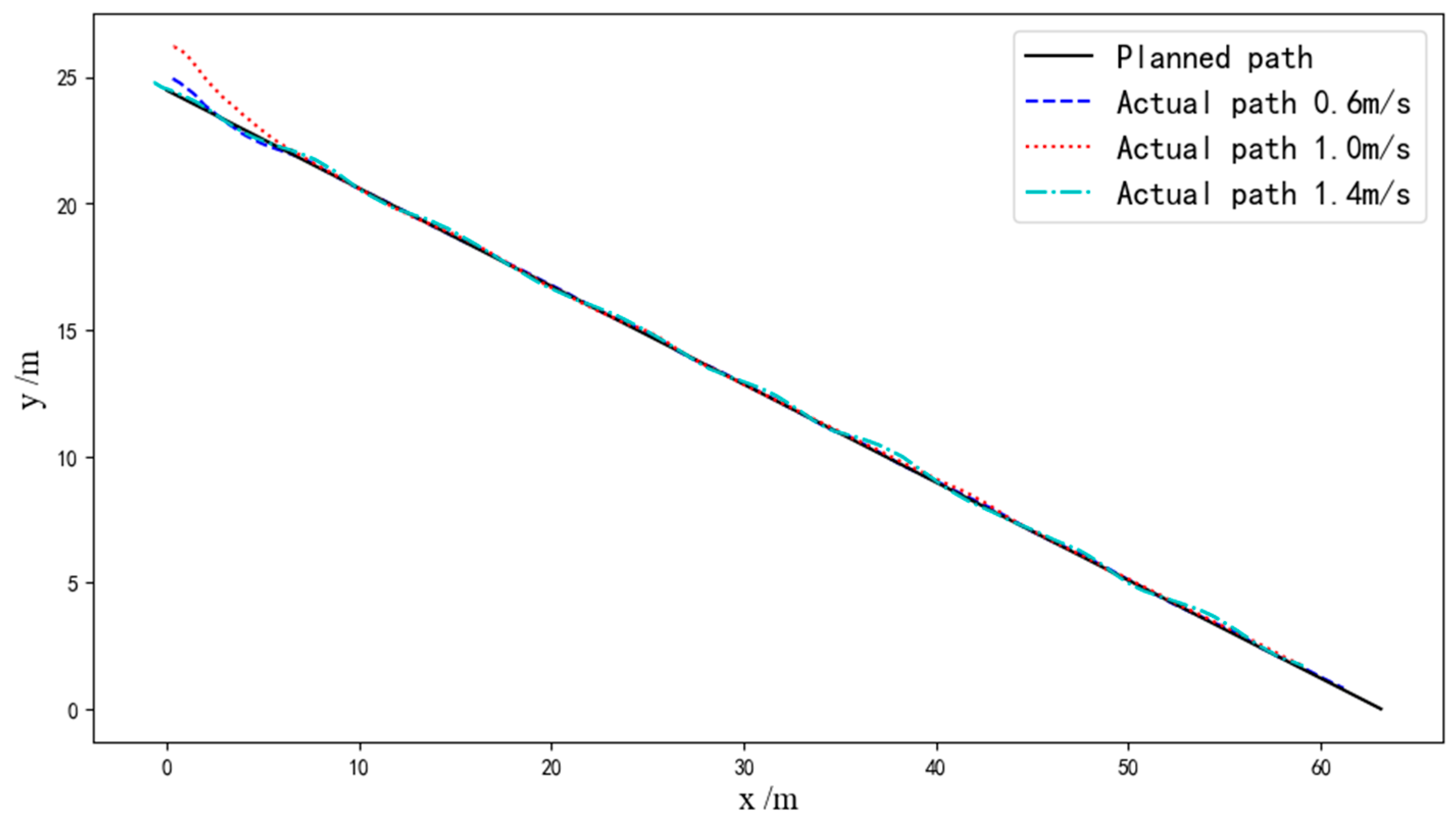
3.1. Straight-Line Path-Tracking Experiment in the Field
3.2. Automatic Grain Unloading Experiment
4. Discussion
5. Conclusions
- (1)
- Based on the exclusive version of the combine harvester chassis of the WORLD Company, we designed and manufactured an unoccupied tracked grain vehicle with a loading capacity of 4.5 m3 with its accompanying unloading hydraulic system. The design of the electronic control system that combined manual and automatic operation for the chassis’ walking and unloading mechanisms was realized on the basis of the BODAS hydraulic controller.
- (2)
- We employed a hybrid A* algorithm to plan the travelling path of the tracked grain vehicle and devised a path-tracking control system by combining the fuzzy control and pure pursuit algorithms. Field experiments were conducted to evaluate the system’s performance at speeds of 0.6 m/s, 1.0 m/s, and 1.4 m/s. The results revealed that at a speed of 0.6 m/s, the average lateral deviation during straight path tracking was 3.14 cm, with a standard deviation of 3.47 cm. At a speed of 1.0 m/s, the average lateral deviation increased to 4.63 cm, with a standard deviation of 3.93 cm. When traveling at 1.4 m/s, the average lateral deviation further increased to 6.46 cm, with a standard deviation of 4.58 cm. These results demonstrate that the grain transport vehicle meets the requirements for unoccupied driving.
- (3)
- Utilizing binocular vision cameras and semantic segmentation technology, we designed an automatic unloading control system with grain tank recognition and unloading regulation capabilities. Field experiments were conducted in harvested rice fields to evaluate the system’s performance. The results indicated that the maximum absolute pixel deviation between the actual unloading point and the desired unloading point was 92 pixel values. This demonstrates that the control accuracy of the automatic unloading control system can meet the use of actual grain unloading operations.
Author Contributions
Funding
Institutional Review Board Statement
Informed Consent Statement
Data Availability Statement
Conflicts of Interest
References
- Shen, Y.; Zhang, Y.; Liu, H.; He, S.; Feng, R.; Wan, Y. A review of research on automatic control technology of agricultural equipment. Trans. CSAM 2023, 54, 1–18. [Google Scholar]
- Luo, X.; Liao, J.; Hu, L.; Zhou, Z.; Zhang, Z.; Zang, Y.; Wang, P.; He, J. Research progress of intelligent agricultural machinery and practice of unmanned farm in China. J. South China Agric. Univ. 2021, 42, 8–17. [Google Scholar]
- Zhang, W.; Zhang, Z.; Zhang, F.; Ding, F.; Hu, L.; Luo, X. Cooperative autonomous operation strategy and experiment of the rice harvester together with a rice-transporting vehicle. Trans. Chin. Soc. Agric. Eng. (Trans. CSAE) 2022, 38, 1–9. [Google Scholar]
- Zheng, X. Master-Slave Cooperative Control Method Harvester-Grain Carrier. Master’s Thesis, Shenyang University of Technology, Shenyang, China, 2021. [Google Scholar]
- Zhang, Z.; Wang, J.; Zhu, J.; Hu, L.; Luo, X. Research Progress on Automatic Driving System of Agricultural Machinery in China. Agric. Eng. Technol. 2018, 38, 23–27. [Google Scholar] [CrossRef]
- Zhou, J.; He, Y. Research Progress on Navigation Path Planning of Agricultural Machinery. Trans. Chin. Soc. Agric. Mach. 2021, 52, 1–14. [Google Scholar]
- Zhang, M.; Ji, Y.; Li, S.; Cao, R.; Xu, H.; Zhang, Z. Research Progress on Navigation Technology of Agricultural Machinery. Trans. Chin. Soc. Agric. Mach. 2020, 51, 1–18. [Google Scholar]
- Kayacan, E. Towards agrobots: Identification of the yaw dynamics and trajectory tracking of an autonomous tractor. Comput. Electron. Agric. 2015, 115, 78–87. [Google Scholar] [CrossRef]
- Han, K.; Zhu, Z.; Mao, E.; Song, Z.; Hu, F.; Xu, L. Cruise control system of tractor based on automated mechanical transmission. Trans. CSAE 2012, 28, 21–26. [Google Scholar]
- Chen, J.; Zheng, S.; Li, Y.; Lv, S. Grey Predictive Fuzzy Control System of Forward Speed for Combine Harvester. Trans. Chin. Soc. Agric. Mach. 2011, 42, 110–115. [Google Scholar]
- Wang, X.; Fu, H.; Wang, S.; Cui, Z.; Cheng, L. Robust optimal design of multi-objective control model of working speed for combine harvester. Trans. Chin. Soc. Agric. Eng. (Trans. CSAE) 2012, 28, 27–33. [Google Scholar]
- Ding, Y.; Yang, L.; Zhang, D.; Cui, T.; He, X.; Zhong, X. Control System of Motor-driving Maize Precision Planter Based on GPS Speed Measurement. Trans. CSAM 2018, 49, 42–49. [Google Scholar]
- Liao, Q.; Wu, C.; Zhang, Q.; Wang, B.; Du, W.; Wang, L. Design and Experiment of Speed-dependent Seeding Control System of Rapeseed Precision Combined Seeding Machine. Trans. CSAM 2022, 53, 49–58. [Google Scholar]
- Huang, X.; Zhang, L.; Wang, S.; Luo, C. Path Planning of Rapeseed Combine Seeder in Field of Convex Boundary. Trans. CSAM 2022, 53, 33–40. [Google Scholar]
- Zhang, Z.; Guo, Q.; He, J.; Li, H.; Wang, Q.; Zeng, C. Design and Experiment of Double-guide Sliding Deflection System for No-till Wheat Seeder. J. Agric. Mach. 2022, 53, 59–69. [Google Scholar]
- Zhang, H.; Wang, G.; Lv, Y.; Qin, C.; Liu, L.; Gong, J. Agricultural Machinery Automatic Navigation Control System Based on Improved Pure Pursuit Model. Trans. CSAM 2020, 51, 18–25. [Google Scholar]
- Liu, D.; Wang, Z.; Bai, X.; Zhao, Y. Grain Truck Loading Status Detection Based on Machine Vision. In Proceedings of the 2019 IEEE 4th International Conference on Image, Xiamen, China, 5–7 July 2019. Vision and Computing; 2019; pp. 40–44. [Google Scholar]
- Wang, X.; Wang, Z.; Bai, X.; Ge, Z.; Zhao, Y. Dynamic Uniform Loading Method of Grain Box of Transport Vehicle Based on Three-dimensional Point Cloud. Trans. CSAM 2022, 53, 129–139. [Google Scholar]
- Yang, Y.; Li, Y.; Wen, X.; Zhang, G.; Ma, Q.; Cheng, S.; Qi, J.; Xu, L.; Chen, L. An optimal goal point determination algorithm for automatic navigation of agricultural machinery: Improving the tracking accuracy of the pure pursuit algorithm. Comput. Electron. Agric. 2022, 194, 106760. [Google Scholar] [CrossRef]
- Jia, Q. Adaptive Control Method for Tractor Auto-guidance System. Ph.D. Thesis, Chinese Academy of Agricultural Mechanization Sciences, Beijing, China, 2019. [Google Scholar]
- Ahn, J.; Shin, S.; Kim, M.; Park, J. Accurate Path Tracking by Adjusting Look-Ahead Point in Pure Pursuit Method. Int. J. Automot. Technol. 2021, 22, 119–129. [Google Scholar] [CrossRef]
- GB/T 37164-2018; China Machinery Industry Federation. Performance Requirements and Evaluation Methods for Self-Propelled Agricultural Machinery Navigation System. Standardization Administration of the People’s Republic of China: Beijing, China, 2018.
























| VL | L | M | H | VH | |
|---|---|---|---|---|---|
| Then | VN | N | M | F | VF |
| Driving Speed | Experiment Number | Average Lateral Deviation (cm) | Average Heading Deviation (rad) |
|---|---|---|---|
| 0.6 m/s | 1 | 3.14 | 0.022 |
| 2 | 3.22 | 0.024 | |
| 3 | 3.06 | 0.018 | |
| on average | 3.14 | 0.021 | |
| 1.0 m/s | 1 | 4.59 | 0.032 |
| 2 | 4.63 | 0.038 | |
| 3 | 4.47 | 0.028 | |
| on average | 4.56 | 0.033 | |
| 1.4 m/s | 1 | 6.52 | 0.063 |
| 2 | 6.46 | 0.052 | |
| 3 | 6.66 | 0.056 | |
| on average | 6.55 | 0.057 |
| Unloading Point | Coordinates of the Expected u-Axis | Coordinates of the Actual u-Axis | Coordinates of the Expected v-Axis | Coordinates of the Actual v-Axis | |
|---|---|---|---|---|---|
| A | 746 | 801 | 203 | 238 | 66 |
| B | 728 | 784 | 254 | 326 | 92 |
| C | 597 | 652 | 281 | 347 | 86 |
Disclaimer/Publisher’s Note: The statements, opinions and data contained in all publications are solely those of the individual author(s) and contributor(s) and not of MDPI and/or the editor(s). MDPI and/or the editor(s) disclaim responsibility for any injury to people or property resulting from any ideas, methods, instructions or products referred to in the content. |
© 2024 by the authors. Licensee MDPI, Basel, Switzerland. This article is an open access article distributed under the terms and conditions of the Creative Commons Attribution (CC BY) license (https://creativecommons.org/licenses/by/4.0/).
Share and Cite
Pan, J.; Xu, L.; Lu, E.; Dai, B.; Chen, T.; Sun, W.; Cui, Z.; Hu, J. Design and Experiment of an Unoccupied Control System for a Tracked Grain Vehicle. Sensors 2024, 24, 2715. https://doi.org/10.3390/s24092715
Pan J, Xu L, Lu E, Dai B, Chen T, Sun W, Cui Z, Hu J. Design and Experiment of an Unoccupied Control System for a Tracked Grain Vehicle. Sensors. 2024; 24(9):2715. https://doi.org/10.3390/s24092715
Chicago/Turabian StylePan, Jiahui, Lizhang Xu, En Lu, Buwang Dai, Tiaotiao Chen, Weiming Sun, Zhihong Cui, and Jinpeng Hu. 2024. "Design and Experiment of an Unoccupied Control System for a Tracked Grain Vehicle" Sensors 24, no. 9: 2715. https://doi.org/10.3390/s24092715
APA StylePan, J., Xu, L., Lu, E., Dai, B., Chen, T., Sun, W., Cui, Z., & Hu, J. (2024). Design and Experiment of an Unoccupied Control System for a Tracked Grain Vehicle. Sensors, 24(9), 2715. https://doi.org/10.3390/s24092715

