Keyboard Data Protection Technique Using GAN in Password-Based User Authentication: Based on C/D Bit Vulnerability
Abstract
1. Introduction
- This article points out the limitations of attack techniques based on C/D bit vulnerability. In addition, the article analyzes prior research on two keyboard data attack techniques using machine learning to overcome the above limitations. We also propose a GAN-based keyboard data protection technique using research experiments and datasets used in attack techniques. The proposed technique can protect the user’s authentication information more safely by decreasing the probability of keyboard data attack.
- We explore novelty by analyzing a keyboard data protection technique using CTGAN (Conditional Tabular GAN), which is used to generate two-dimensional data among generative adversarial networks called GAN.
- The maximum success rate of the machine learning-based keyboard data attack techniques in prior research was 96.7%, but as a result of applying the protection technique proposed in this article, the attack success rate was decreased by about 13%. Moreover, when in case of evaluating performance based on maximum performance, all performance indicators are superior, decreasing by more than 50%.
2. Prior Knowledge and Related Works
2.1. Keyboard Data Transfer Process
2.2. Related Works
2.2.1. Direct Polling-Based Attack Technique
2.2.2. Defense Technique Based on Random Scan Code Generation
2.2.3. C/D Bit Vulnerability-Based Attack Technique
2.3. Prior Researches
2.3.1. Research on Keyboard Data Attack Using Machine Learning
2.3.2. Research on Machine Learning-Based Keyboard Data Attack through Feature Expansion
3. Proposal of A Keyboard Data Defense Technique Using GAN
3.1. Proposed Defense Technique Methodology
3.1.1. Basic Idea
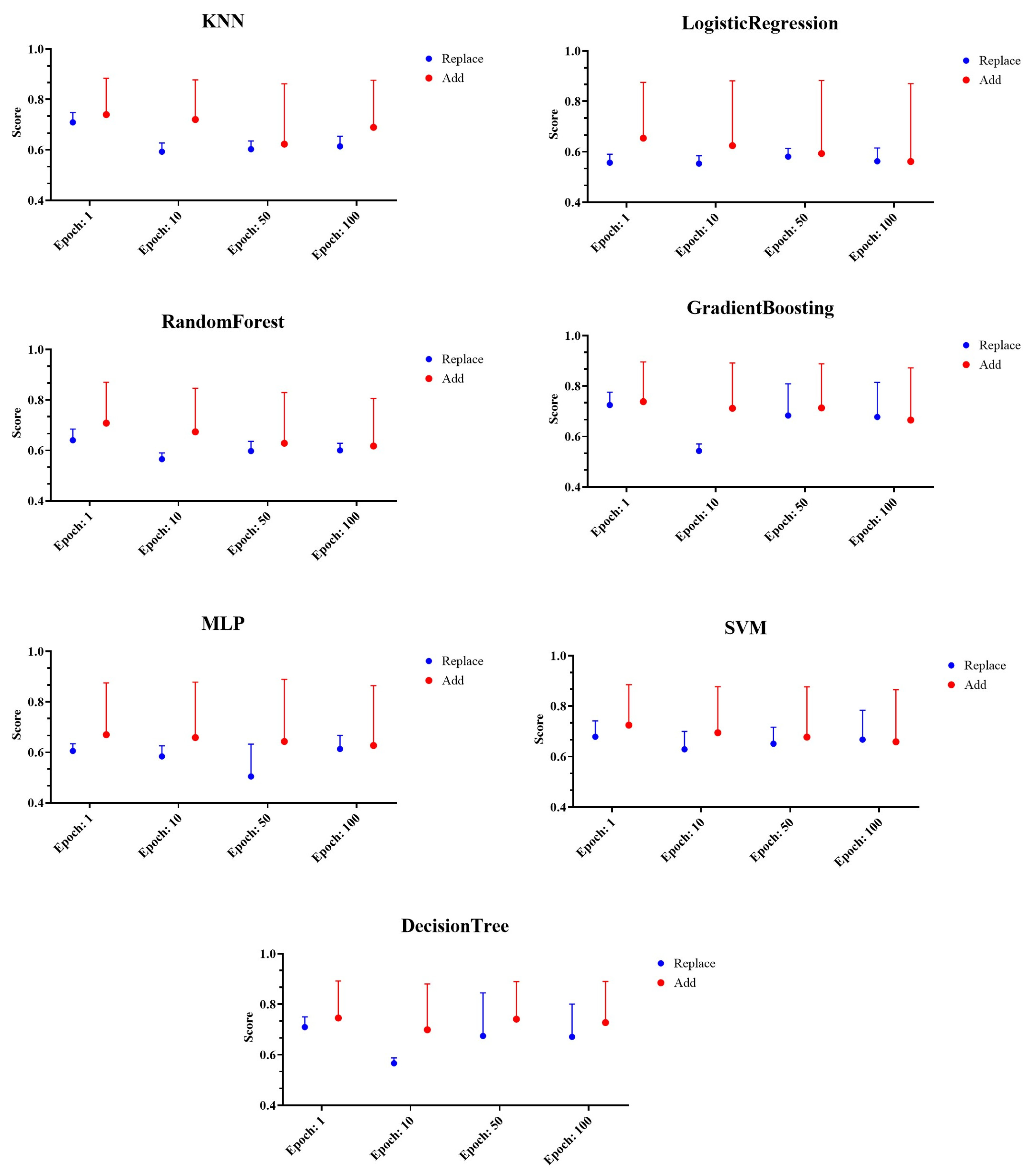
3.1.2. Verification of Keyboard Data Defense Feasibility Based on GAN
3.2. Keyboard Data Defense System Configuration
3.2.1. Data Collection Step
3.2.2. Feature Extraction Step
3.2.3. Random Keyboard Data Generation Step
3.2.4. Data Preprocessing Step
3.2.5. Experiment and Dataset Configuration Step
3.2.6. Machine Learning Step
3.2.7. Classification Step
4. Experimental Results
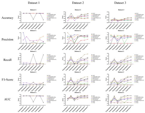
4.1. Performance Evaluation after Applying GAN
4.2. Performance Evaluation with Prior Researches
4.3. Evaluation of Performance Increase or Decrease
5. Conclusions
Author Contributions
Funding
Institutional Review Board Statement
Informed Consent Statement
Data Availability Statement
Conflicts of Interest
Disclosure
References
- Conklin, A.; Dietrich, G.; Walz, D. Password-based authentication: A system perspective. In Proceedings of the IEEE 37th Annual Hawaii International Conference on System Sciences, Big Island, HI, USA, 5–8 January 2004; IEEE: New York, NY, USA, 2004. [Google Scholar]
- Shah, S.W.; Kanhere, S.S. Recent Trends in User Authentication—A Survey. IEEE Access 2019, 8, 112505–112519. [Google Scholar] [CrossRef]
- Ur, B.; Kelley, P.G.; Komanduri, S.; Lee, J.; Maass, M.; Mazurek, M.L.; Passaro, T.; Shay, R.; Vidas, T.; Bauer, L.; et al. How Does Your Password Measure Up? The Effect of Strength Meters on Password Creation. In Proceedings of the 21st USENIX Security Symposium (USENIX Security 12), Bellevue, WA, USA, 8–10 August 2012. [Google Scholar]
- Ferrag, M.A.; Maglaras, L.; Derhab, A. Authentication and Authorization for Mobile IoT Devices Using Biofeatures: Recent Advances and Future Trends. Secur. Commun. Netw. 2019, 2019, 5452870. [Google Scholar] [CrossRef]
- Bonneau, J.; Herley, C.; van Oorschot, P.C.; Stajano, F. Passwords and the Evolution of Imperfect Authentication. Commun. ACM 2015, 58, 78–87. [Google Scholar] [CrossRef]
- Dule, C.S.; Rajasekharaiah, K.M.; Prashanth, B. Analyze The Legislative Framework relating to Surveillance and Right to Privacy: Issues and Challenges. In IOP Conference Series: Materials Science and Engineering; IOP Publishing: Bristol, UK, 2020; Volume 981. [Google Scholar]
- Lee, K.; Bae, K.; Yim, K. Hardware Approach to Solving Password Exposure Problem Through Keyboard Sniff. Interfaces 2009, 1, 2. [Google Scholar]
- Kim, H.; Huh, J.; Anderson, R. On the Security of Internet Banking in South Korea. Available online: https://ora.ox.ac.uk/objects/uuid:e3cf724a-ab9a-4f5a-87d0-b028e58fac7a (accessed on 15 November 2023).
- Lee, S.; Lee, K.; Yim, K. Security Assessment of Keyboard Data Based on Kaspersky Product. In Advances on Broad-Band Wireless Computing, Communication and Applications: Proceedings of the 11th International Conference On Broad-Band Wireless Computing, Communication and Applications (BWCCA–2016), Asan, Republic of Korea; 5–7 November 2016; Springer International Publishing: Berlin/Heidelberg, Germany, 2017. [Google Scholar]
- Yim, K. A New Noise Mingling Approach to Protect the Authentication Password. In Proceedings of the 2010 International Conference on Complex, Intelligent and Software Intensive Systems, Krakow, Poland, 15–18 February 2010. [Google Scholar]
- Creswell, A.; Arulkumaran, K.; Sengupta, B.; Bharath, A.A. Generative Adversarial Networks: An Overview. IEEE Signal Process. Mag. 2018, 35, 53–65. [Google Scholar] [CrossRef]
- Chapweske, A. The PS/2 Keyboard Interface. Available online: https://users.utcluj.ro/~baruch/sie/labor/PS2/PS-2_Keyboard_Interface.htm (accessed on 15 November 2023).
- Lee, K.; Yim, K. Vulnerability Analysis and Security Assessment of Secure Keyboard Software to Prevent PS/2 Interface Keyboard Sniffing. Sensors 2023, 23, 3501. [Google Scholar] [CrossRef] [PubMed]
- Hamblen, J.O.; Furman, M.D. Communications: Interfacing to the PS/2 Keyboard. In Rapid Prototyping of Digital Systems: A Tutorial Approach; Springer: Berlin/Heidelberg, Germany, 2001; pp. 159–170. [Google Scholar]
- Yang, J.; Minturn, D.B.; Hady, F. When Poll is Better Than Interrupt. FAST 2012, 12, 3. [Google Scholar]
- Shanley, T.; Anderson, D. Chapter 22: Keyboard/Mouse Interface. In ISA System Architecture, 3rd ed.; Swindle, J., Ed.; Addison-Wesley Professional: Boston, MA, USA, 1995; pp. 449–457. [Google Scholar]
- Zhang, M.-L.; Zhou, Z.-H. ML-KNN: A Lazy Learning Approach to Multi-label Learning. Pattern Recognit. 2007, 40, 2038–2048. [Google Scholar] [CrossRef]
- Lee, K.; Yim, K. Cybersecurity Threats Based on Machine Learning-Based Offensive Technique for Password Authentication. Appl. Sci. 2020, 10, 1286. [Google Scholar] [CrossRef]
- Lee, K.; Lee, J.; Choi, C.; Yim, K. Offensive Security of Keyboard Data Using Machine Learning for Password Authentication in IoT. IEEE Access 2021, 9, 10925–10939. [Google Scholar] [CrossRef]
- Cheng, W.; Hüllermeier, E. Combining Instance-Based Learning and Logistic Regression for Multilabel Classification. Mach. Learn. 2009, 76, 211–225. [Google Scholar] [CrossRef]
- Sinclair, C.; Pierce, L.; Matzner, S. An Application of Machine Learning to Network Intrusion Detection. Proceedings of 15th Annual Computer Security Applications Conference (ACSAC’99), Phoenix, AZ, USA, 6–10 December 1999. [Google Scholar]
- Yin, C.; Zhu, Y.; He, X.-Z. A Deep Learning Approach for Intrusion Detection Using Recurrent Neural Networks. IEEE Access 2017, 5, 21954–21961. [Google Scholar] [CrossRef]
- Banfield, R.E.; Hall, L.O.; Bowyer, K.W.; Kegelmeyer, W.P. A Comparison of Decision Tree Ensemble Creation Techniques. IEEE Trans. Pattern Anal. Mach. Intell. 2006, 29, 173–180. [Google Scholar] [CrossRef] [PubMed]
- Noble, W.S. What is a Support Vector Machine? Nat. Biotechnol. 2006, 24, 1565–1567. [Google Scholar] [CrossRef] [PubMed]
- Mirza, M.; Osindero, S. Conditional Generative Adversarial Nets. arXiv 2014, arXiv:1411.1784. [Google Scholar]
- Lee, J.S.; Lee, O. Ctgan vs Tgan? Which One is More Suitable for Generating Synthetic EEG Data. J. Theor. Appl. Inf. Technol. 2021, 99, 10. [Google Scholar]
- Shmelkov, K.; Schmid, C.; Alahari, K. How Good is My GAN? In Proceedings of the European Conference on Computer Vision (ECCV), Munich, Germany, 8–14 September 2018.
- Borji, A. Pros and Cons of GAN Evaluation Measures: New Developments. Comput. Vis. Image Underst. 2022, 215, 103329. [Google Scholar] [CrossRef]
- Berger, V.W.; Zhou, Y.Y. Kolmogorov–Smirnov Test: Overview. Wiley StatsRef Stat. Ref. Online 2014. [Google Scholar] [CrossRef]
- Nowozin, S.; Cseke, B.; Tomioka, R. f-GAN: Training Generative Neural Samplers Using Variational Divergence Minimization. In Advances in Neural Information Processing Systems 29 (NIPS); Cornell University: Ithaca, NY, USA, 2016. [Google Scholar]












| Bit | Description |
|---|---|
| Bit 0 | OBF (Output Buffer Full) |
| Bit 1 | IBF (Input Buffer Full) |
| Bit 2 | System flag |
| Bit 3 | C/D (Control/Data) |
| Bit 4 | Inhibit switch |
| Bit 5 | Transmit time-out |
| Bit 6 | Receive time-out |
| Bit 7 | Parity error |
| Code | Feature | Parameter | Response |
|---|---|---|---|
| 0x20 | Read Configuration Register | X | Configuration register value |
| 0x60 | Write Configuration Register | O | X |
| 0xAA | Self-Test | X | 0x55 |
| ⋮ | ⋮ | ||
| 0xC0 | Read Input Port | X | Input port value |
| 0xD0 | Read Output Port | X | Output port value |
| 0xD1 | Write Output Port | O | X |
| 0xD2 | Write Keyboard Output Buffer | O | Sent parameter |
| Experiment | Dataset | Feature |
|---|---|---|
| Exp. 1. | Dataset 1 (3522, 392/3129) | Index, Scan code |
| Exp. 2. | Dataset 2 (10,022, 1422/8599) | Elapsed time, Scan code |
| Exp. 3. | Dataset 3 (15,046, 281/12,764) | Elapsed time, Scan code, Flag |
| Experiment | Dataset | Feature |
|---|---|---|
| Exp. 1. | Dataset 1 (3522, 392/3129) Dataset 2 (10,022, 1422/8599) Dataset 3 (15,046, 281/12,764) |
|
| Exp. 2. | Dataset 1 (3522, 392/3129) Dataset 2 (10,022, 1422/8599) Dataset 3 (15,046, 281/12,764) |
|
| Exp. 3. | Dataset 1 (3522, 392/3129) Dataset 2 (10,022, 1422/8599) Dataset 3 (15,046, 281/12,764) |
|
| Exp. 4. | Dataset 1 (3522, 392/3129) Dataset 2 (10,022, 1422/8599) Dataset 3 (15,046, 281/12,764) |
|
| Exp. 5. | Dataset 1 (3522, 392/3129) Dataset 2 (10,022, 1422/8599) Dataset 3 (15,046, 281/12,764) |
|
| Exp. 6. | Dataset 1 (3522, 392/3129) Dataset 2 (10,022, 1422/8599) Dataset 3 (15,046, 281/12,764) |
|
| Exp. 7. | Dataset 1 (3522, 392/3129) Dataset 2 (10,022, 1422/8599) Dataset 3 (15,046, 281/12,764) |
|
| Exp. 7. | Dataset 1 (3522, 392/3129) Dataset 2 (10,022, 1422/8599) Dataset 3 (15,046, 281/12,764) |
|
| Exp. | Accuracy | Precision | Recall | F1-Score | AUC | |||||
|---|---|---|---|---|---|---|---|---|---|---|
| Model | Best Score | Model | Best Score | Model | Best Score | Model | Best Score | Model | Best Score | |
| 1 [18] | K | 0.957 | L | 0.972 | R | 0.738 | K | 0.798 | G | 0.975 |
| 2 [19] | R | 0.961 | M | 0.986 | R | 0.748 | R | 0.825 | R | 0.967 |
| 3 [19] | R, G | 0.956 | L | 0.972 | R | 0.738 | R | 0.802 | R, G | 0.966 |
| 4 [19] | L, R | 0.958 | M | 1 | R | 0.757 | R | 0.814 | G | 0.97 |
| 5 [19] | R | 0.963 | L | 0.972 | R | 0.729 | R | 0.825 | G | 0.976 |
| 6 [19] | R | 0.966 | M | 1 | R, G | 0.748 | R | 0.842 | G | 0.976 |
| 7 [19] | R | 0.958 | M | 1 | R | 0.748 | R | 0.812 | G | 0.968 |
| Exp. | Accuracy | Precision | Recall | F1-Score | AUC | |||||
|---|---|---|---|---|---|---|---|---|---|---|
| Model | Best Score | Model | Best Score | Model | Best Score | Model | Best Score | Model | Best Score | |
| 1 [18] | G | 0.956 | S | 0.952 | R | 0.791 | G | 0.833 | G | 0.968 |
| 2 [19] | G | 0.957 | M | 0.963 | G | 0.799 | G | 0.844 | G | 0.972 |
| 3 [19] | G | 0.954 | M | 0.952 | R, G | 0.791 | G | 0.832 | G | 0.964 |
| 4 [19] | G | 0.954 | S | 0.95 | G | 0.78 | G | 0.831 | G | 0.963 |
| 5 [19] | G | 0.957 | M | 0.963 | G | 0.796 | G | 0.843 | G | 0.965 |
| 6 [19] | R | 0.959 | M | 0.96 | R | 0.788 | R | 0.847 | G | 0.961 |
| 7 [19] | G | 0.956 | M | 0.957 | G | 0.791 | G | 0.839 | G | 0.964 |
| Exp. | Accuracy | Precision | Recall | F1-Score | AUC | |||||
|---|---|---|---|---|---|---|---|---|---|---|
| Model | Best Score | Model | Best Score | Model | Best Score | Model | Best Score | Model | Best Score | |
| 1 [18] | G | 0.962 | L | 0.969 | G | 0.801 | G | 0.863 | G | 0.982 |
| 2 [19] | G | 0.967 | L | 0.975 | M | 0.833 | G | 0.881 | G | 0.984 |
| 3 [19] | G | 0.963 | D | 0.97 | G | 0.812 | G | 0.868 | G | 0.981 |
| 4 [19] | G | 0.963 | D | 0.97 | G | 0.81 | G | 0.867 | G | 0.982 |
| 5 [19] | G | 0.966 | L | 0.975 | R, G | 0.823 | G | 0.878 | G | 0.983 |
| 6 [19] | G | 0.965 | L | 0.975 | R, G | 0.81 | G | 0.873 | G | 0.984 |
| 7 [19] | R | 0.966 | L | 0.968 | R, G | 0.823 | R | 0.878 | G | 0.983 |
| Index | Input Data (Actual Keyboard Data) | Output Data (Random Keyboard Data) | ||
|---|---|---|---|---|
| Elapsed Time | Scan Code | Elapsed Time | Scan Code | |
| 0 | 0.062523 | 0.5 | 0.048599 | 0.44 |
| 1 | 0.062317 | 0.03 | 0.040192 | 0.51 |
| 2 | 0.062425 | 0.26 | 0.043335 | 0.38 |
| 3 | 0.062063 | 0.39 | 0.027847 | 0.3 |
| 4 | 0.062399 | 0.03 | 0.06369 | 0.39 |
| 5 | 0.062371 | 0.37 | 0.030075 | 0.48 |
| ⋮ | ⋮ | ⋮ | ||
| 2278 | 0.092087 | 0.23 | 0.058807 | 0.06 |
| 2279 | 0.04863 | 0.12 | 0.046799 | 0.36 |
| 2280 | 0.062119 | 0.34 | 0.023514 | 0.5 |
| 2281 | 0.067932 | 0.08 | 0.018188 | 0.31 |
| Index | Random Data | Pre-Processed Data | ||||
|---|---|---|---|---|---|---|
| Elapsed Time | Scan Code | Scan Code Distance | Manhattan Distance | Euclidean Distance (i = 1) | Euclidean Distance (i = 2) | |
| 0 | 0.048599 | 0.44 | 0 | 0 | 0.442675799 | 0 |
| 1 | 0.040192 | 0.51 | 0.07 | 0.078407 | 0.511581271 | 0.611485323 |
| 2 | 0.043335 | 0.38 | 0.13 | 0.133143 | 0.382462968 | 0.577981729 |
| 3 | 0.027847 | 0.3 | 0.08 | 0.095488 | 0.301289654 | 0.432909434 |
| 4 | 0.06369 | 0.39 | 0.09 | 0.125843 | 0.395166314 | 0.424906427 |
| 5 | 0.030075 | 0.48 | 0.09 | 0.123615 | 0.48094127 | 0.555797375 |
| ⋮ | ⋮ | ⋮ | ||||
| 2278 | 0.058807 | 0.06 | 0.15 | 0.159742 | 0.084013471 | 0.141456031 |
| 2279 | 0.046799 | 0.36 | 0.3 | 0.312008 | 0.363029126 | 0.313203272 |
| 2280 | 0.023514 | 0.5 | 0.14 | 0.163285 | 0.500552603 | 0.570205029 |
| 2281 | 0.018188 | 0.31 | 0.19 | 0.195326 | 0.310533095 | 0.558742473 |
| Exp. | Dataset | Feature |
|---|---|---|
| Exp. 1. | Dataset 1 (392/3129) Dataset 2 (1422/8599) Dataset 3 (2281/12,764) |
|
| Exp. 2. | Dataset 1 (392/3129) Dataset 2 (1422/8599) Dataset 3 (2281/12,764) |
|
| Exp. 3. | Dataset 1 (392/3129) Dataset 2 (1422/8599) Dataset 3 (2281/12,764) |
|
| Exp. 4. | Dataset 1 (392/3129) Dataset 2 (1422/8599) Dataset 3 (2281/12,764) |
|
| Exp. 5. | Dataset 1 (392/3129) Dataset 2 (1422/8599) Dataset 3 (2281/12,764) |
|
| Exp. 6. | Dataset 1 (392/3129) Dataset 2 (1422/8599) Dataset 3 (2281/12,764) |
|
| Exp. 7. | Dataset 1 (392/3129) Dataset 2 (1422/8599) Dataset 3 (2281/12,764) |
|
| Exp. | ACC | PRE | REC | F1 | AUC | ||||||||||
|---|---|---|---|---|---|---|---|---|---|---|---|---|---|---|---|
| MD | B | +/− | MD | B | +/− | MD | B | +/− | MD | B | +/− | MD | B | +/− | |
| 1 | R | 0.856 | −0.094 | L | 0 | −0.972 | G | 0 | −0.692 | G | 0 | −0.783 | S | 0.443 | −0.499 |
| 2 | S | 0.875 | −0.083 | M | 0.875 | −0.986 | G, S | 0 | −0.673 | S | 0 | −0.796 | L | 0.515 | −0.431 |
| 3 | R | 0.858 | −0.098 | L | 0 | −0.972 | G | 0 | −0.682 | G | 0 | −0.789 | S | 0.483 | −0.459 |
| 4 | M | 0.306 | −0.647 | L | 0 | −0.986 | G | 0 | −0.748 | G | 0 | −0.804 | L | 0.530 | −0.415 |
| 5 | R | 0.867 | −0.096 | L | 0 | −0.972 | G | 0 | −0.72 | G | 0 | −0.798 | L | 0.508 | −0.437 |
| 6 | R | 0.87 | −0.096 | M | 0 | −1 | R | 0.045 | −0.703 | S | 0 | −0.791 | M | 0.527 | −0.417 |
| 7 | M | 0.255 | −0.697 | L | 0 | −0.972 | R | 0.023 | −0.725 | S | 0 | −0.785 | M | 0.508 | −0.436 |
| Exp. | ACC | PRE | REC | F1 | AUC | ||||||||||
|---|---|---|---|---|---|---|---|---|---|---|---|---|---|---|---|
| MD | B | +/− | MD | B | +/− | MD | B | +/− | MD | B | +/− | MD | B | +/− | |
| 1 | R | 0.807 | −0.147 | L | 0 | −0.969 | M | 0 | −0.771 | L | 0 | −0.832 | M | 0.516 | −0.456 |
| 2 | L | 0.843 | −0.116 | L | 0 | −0.975 | L | 0 | −0.748 | L | 0 | −0.847 | L | 0.543 | −0.430 |
| 3 | R | 0.82 | −0.137 | L | 0 | −0.965 | G | 0.059 | −0.753 | M | 0 | −0.837 | M | 0.519 | −0.453 |
| 4 | L | 0.843 | −0.113 | L | 0 | −0.965 | L | 0 | −0.732 | L | 0 | −0.833 | L | 0.534 | −0.436 |
| 5 | L | 0.843 | −0.116 | L | 0 | −0.975 | L | 0 | −0.748 | L | 0 | −0.847 | L | 0.545 | −0.428 |
| 6 | L | 0.843 | −0.116 | L | 0 | −0.975 | L | 0 | −0.746 | L | 0 | −0.845 | L | 0.555 | −0.418 |
| 7 | L | L | −0.116 | L | 0 | −0.968 | L | 0 | −0.754 | L | 0 | −0.847 | L | 0.553 | −0.420 |
| Exp. | ACC | PRE | REC | F1 | AUC | ||||||||||
|---|---|---|---|---|---|---|---|---|---|---|---|---|---|---|---|
| MD | B | +/− | MD | B | +/− | MD | B | +/− | MD | B | +/− | MD | B | +/− | |
| 1 | R | 0.856 | −0.094 | L | 0 | −0.972 | G | 0 | −0.692 | G | 0 | −0.783 | S | 0.443 | −0.499 |
| 2 | S | 0.875 | −0.083 | M | 0.875 | −0.986 | G, S | 0 | −0.673 | S | 0 | −0.796 | L | 0.515 | −0.431 |
| 3 | R | 0.858 | −0.098 | L | 0 | −0.972 | G | 0 | −0.682 | G | 0 | −0.789 | S | 0.483 | −0.459 |
| 4 | M | 0.306 | −0.647 | L | 0 | −0.986 | G | 0 | −0.748 | G | 0 | −0.804 | L | 0.530 | −0.415 |
| 5 | R | 0.867 | −0.096 | L | 0 | −0.972 | G | 0 | −0.72 | G | 0 | −0.798 | L | 0.508 | −0.437 |
| 6 | R | 0.87 | −0.096 | M | 0 | −1 | R | 0.045 | −0.703 | S | 0 | −0.791 | M | 0.527 | −0.417 |
| 7 | M | 0.255 | −0.697 | L | 0 | −0.972 | R | 0.023 | −0.725 | S | 0 | −0.785 | M | 0.508 | −0.436 |
| Experiment | +/− | Dataset 1 | Dataset 2 | Dataset 3 |
|---|---|---|---|---|
| Exp. 1. | Decrease | 34 | 34 | 35 |
| Increase | 1 | 1 | 0 | |
| Exp. 2. | Decrease | 35 | 35 | 35 |
| Increase | 0 | 0 | 0 | |
| Exp. 3. | Decrease | 35 | 35 | 35 |
| Increase | 0 | 0 | 0 | |
| Exp. 4. | Decrease | 34 | 35 | 35 |
| Increase | 1 | 0 | 0 | |
| Exp. 5. | Decrease | 35 | 35 | 35 |
| Increase | 0 | 0 | 0 | |
| Exp. 6. | Decrease | 35 | 35 | 35 |
| Increase | 0 | 0 | 0 | |
| Exp. 7. | Decrease | 34 | 35 | 35 |
| Increase | 1 | 0 | 0 |
| Experiment | Dataset 1 | Dataset 2 | Dataset 3 | Average |
|---|---|---|---|---|
| Exp. 1. | −0.46828 | −0.4246 | −0.48128 | −0.45806 |
| Exp. 2. | −0.52777 | −0.3078 | −0.3712 | −0.40227 |
| Exp. 3. | −0.54542 | −0.51203 | −0.5071 | −0.52151 |
| Exp. 4. | −0.25270 | −0.38386 | −0.40096 | −0.34583 |
| Exp. 5. | −0.54235 | −0.3190 | −0.40329 | −0.42154 |
| Exp. 6. | −0.51221 | −0.3074 | −0.33929 | −0.3863 |
| Exp. 7. | −0.26260 | −0.28682 | −0.33142 | −0.29361 |
Disclaimer/Publisher’s Note: The statements, opinions and data contained in all publications are solely those of the individual author(s) and contributor(s) and not of MDPI and/or the editor(s). MDPI and/or the editor(s) disclaim responsibility for any injury to people or property resulting from any ideas, methods, instructions or products referred to in the content. |
© 2024 by the authors. Licensee MDPI, Basel, Switzerland. This article is an open access article distributed under the terms and conditions of the Creative Commons Attribution (CC BY) license (https://creativecommons.org/licenses/by/4.0/).
Share and Cite
Lee, J.; Jeong, W.; Lee, K. Keyboard Data Protection Technique Using GAN in Password-Based User Authentication: Based on C/D Bit Vulnerability. Sensors 2024, 24, 1229. https://doi.org/10.3390/s24041229
Lee J, Jeong W, Lee K. Keyboard Data Protection Technique Using GAN in Password-Based User Authentication: Based on C/D Bit Vulnerability. Sensors. 2024; 24(4):1229. https://doi.org/10.3390/s24041229
Chicago/Turabian StyleLee, Jaehyuk, Wonbin Jeong, and Kyungroul Lee. 2024. "Keyboard Data Protection Technique Using GAN in Password-Based User Authentication: Based on C/D Bit Vulnerability" Sensors 24, no. 4: 1229. https://doi.org/10.3390/s24041229
APA StyleLee, J., Jeong, W., & Lee, K. (2024). Keyboard Data Protection Technique Using GAN in Password-Based User Authentication: Based on C/D Bit Vulnerability. Sensors, 24(4), 1229. https://doi.org/10.3390/s24041229

