Spectral Data Processing for Field-Scale Soil Organic Carbon Monitoring
Abstract
1. Introduction
2. Methods
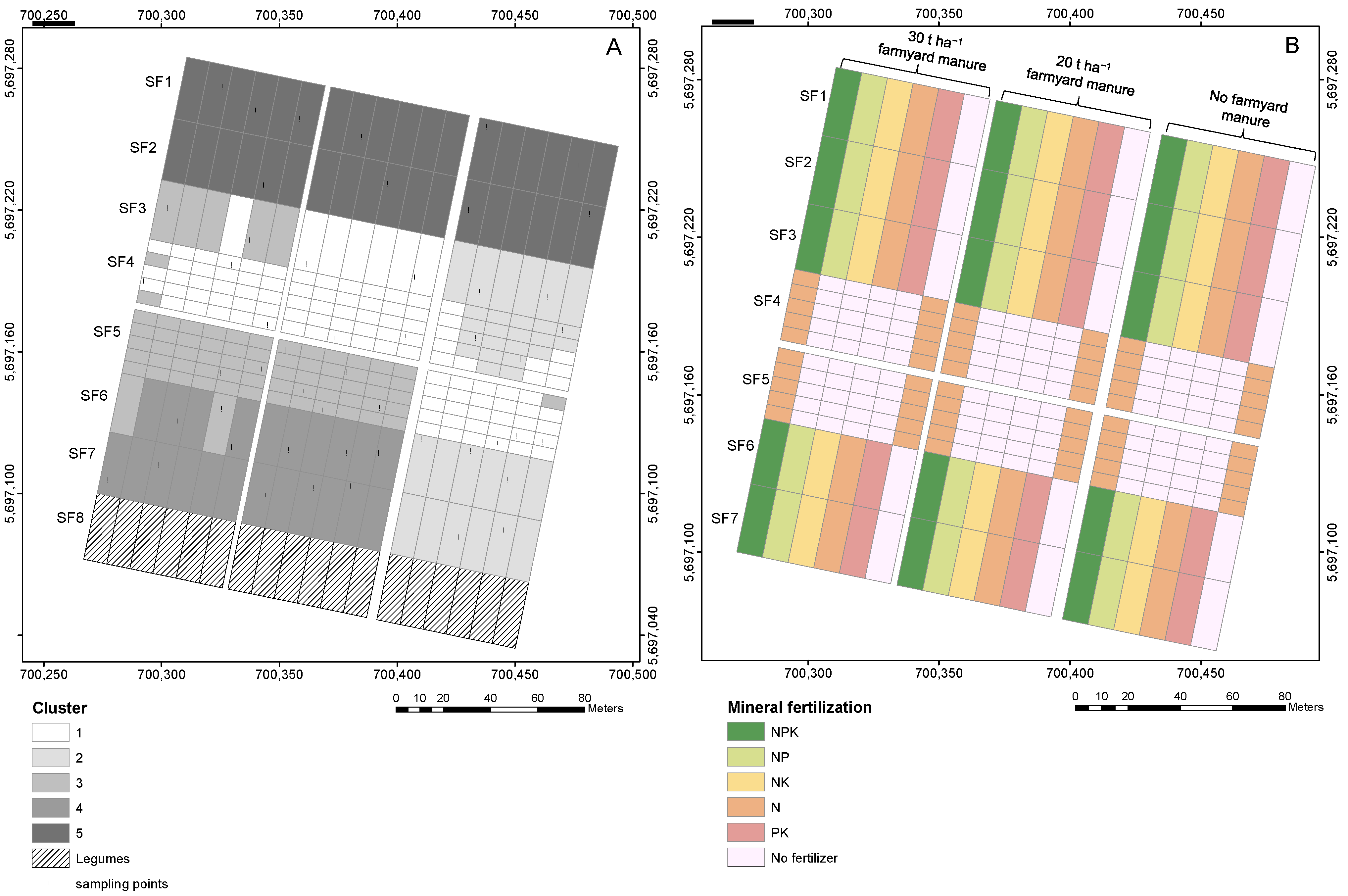
2.1. Study Area
2.2. Soil Organic Carbon Data
2.3. Spectral Measurements
2.4. Data Preparation for Model Building
2.5. Model Building and Evaluation
2.6. Field Data Correction
2.7. Wavelength Importance
3. Results
3.1. Performance Metrics
3.2. Corrected Field Data
3.3. Wavelength Importance
4. Discussion
4.1. Model Performance
4.2. Wavelength Importance
4.3. Field Measurements and Data Correction for SOC Monitoring
5. Conclusions
Author Contributions
Funding
Institutional Review Board Statement
Informed Consent Statement
Data Availability Statement
Conflicts of Interest
Appendix A


References
- Lal, R. Soil Carbon Sequestration Impacts on Global Climate Change and Food Security. Science 2004, 304, 1623–1627. [Google Scholar] [CrossRef]
- West, T.O.; Marland, G. A Synthesis of Carbon Sequestration, Carbon Emissions, and Net Carbon Flux in Agriculture: Comparing Tillage Practices in the United States. Agric. Ecosyst. Environ. 2002, 91, 217–232. [Google Scholar] [CrossRef]
- United Nations/Framework Convention on Climate Change. Adoption of the Paris Agreement, 21st Conference of the Parties, Paris: United Nations. An Official Publication . 2015; Available online: https://unfccc.int/resource/docs/2015/cop21/eng/l09r01.pdf (accessed on 7 December 2023).
- Lal, R. Soil Health and Carbon Management. Food Energy Secur. 2016, 5, 212–222. [Google Scholar] [CrossRef]
- Minasny, B.; McBratney, A.B.; Bellon-Maurel, V.; Roger, J.M.; Gobrecht, A.; Ferrand, L.; Joalland, S. Removing the Effect of Soil Moisture from NIR Diffuse Reflectance Spectra for the Prediction of Soil Organic Carbon. Geoderma 2011, 167–168, 118–124. [Google Scholar] [CrossRef]
- Poulton, P.; Johnston, J.; Macdonald, A.; White, R.; Powlson, D. Major Limitations to Achieving “4 per 1000” Increases in Soil Organic Carbon Stock in Temperate Regions: Evidence from Long-term Experiments at Rothamsted Research, United Kingdom. Glob. Chang. Biol. 2018, 24, 2563–2584. [Google Scholar] [CrossRef] [PubMed]
- Körschens, M. The Importance of Long-Term Field Experiments for Soil Science and Environmental Research—A Review. Plant Soil Environ. 2006, 52, 1–8. [Google Scholar]
- Grosse, M.; Hierold, W. Long-Term Field Experiments in Germany, (Version 1.0); BonaResData Centre, Leibniz Centre for Agricultural Landscape Research (ZALF): Müncheberg, Germany, 2019. [CrossRef]
- Grosse, M.; Hierold, W.; Ahlborn, M.C.; Piepho, H.P.; Helming, K. Long-Term Field Experiments in Germany: Classification and Spatial Representation. Soil 2020, 6, 579–596. [Google Scholar] [CrossRef]
- Soriano-Disla, J.M.; Janik, L.J.; Viscarra Rossel, R.A.; MacDonald, L.M.; McLaughlin, M.J. The Performance of Visible, near-, and Mid-Infrared Reflectance Spectroscopy for Prediction of Soil Physical, Chemical, and Biological Properties. Appl. Spectrosc. Rev. 2014, 49, 139–186. [Google Scholar] [CrossRef]
- Angelopoulou, T.; Balafoutis, A.; Zalidis, G.; Bochtis, D. From Laboratory to Proximal Sensing Spectroscopy for Soil Organic Carbon Estimation-A Review. Sustainability 2020, 12, 443. [Google Scholar] [CrossRef]
- Ahmadi, A.; Emami, M.; Daccache, A.; He, L. Soil Properties Prediction for Precision Agriculture Using Visible and Near-Infrared Spectroscopy: A Systematic Review and Meta-Analysis. Agronomy 2021, 11, 433. [Google Scholar] [CrossRef]
- Shen, Q.; Zhang, S.; Xia, K. Spectral Heterogeneity Analysis and Soil Organic Matter Inversion across Differences in Soil Types and Organic Matter Content in Dryland Farmland in China. Sustainability 2023, 15, 16310. [Google Scholar] [CrossRef]
- Viscarra Rossel, R.A.; Walvoort, D.J.J.; McBratney, A.B.; Janik, L.J.; Skjemstad, J.O. Visible, near Infrared, Mid Infrared or Combined Diffuse Reflectance Spectroscopy for Simultaneous Assessment of Various Soil Properties. Geoderma 2006, 131, 59–75. [Google Scholar] [CrossRef]
- Stenberg, B.; Viscarra Rossel, R.A.; Mouazen, A.M.; Wetterlind, J. Visible and Near Infrared Spectroscopy in Soil Science. Adv. Agron. 2010, 107, 163–215. [Google Scholar] [CrossRef]
- Sarathjith, M.C.; Das, B.S.; Wani, S.P.; Sahrawat, K.L. Variable Indicators for Optimum Wavelength Selection in Diffuse Reflectance Spectroscopy of Soils. Geoderma 2016, 267, 1–9. [Google Scholar] [CrossRef]
- Ladoni, M.; Bahrami, H.A.; Alavipanah, S.K.; Norouzi, A.A. Estimating Soil Organic Carbon from Soil Reflectance: A Review. Precis. Agric. 2010, 11, 82–99. [Google Scholar] [CrossRef]
- Reeves, J.B. Near- versus Mid-Infrared Diffuse Reflectance Spectroscopy for Soil Analysis Emphasizing Carbon and Laboratory versus on-Site Analysis: Where Are We and What Needs to Be Done? Geoderma 2010, 158, 3–14. [Google Scholar] [CrossRef]
- Knox, N.M.; Grunwald, S.; McDowell, M.L.; Bruland, G.L.; Myers, D.B.; Harris, W.G. Modelling Soil Carbon Fractions with Visible Near-Infrared (VNIR) and Mid-Infrared (MIR) Spectroscopy. Geoderma 2015, 239–240, 229–239. [Google Scholar] [CrossRef]
- Brown, D.J.; Shepherd, K.D.; Walsh, M.G.; Dewayne Mays, M.; Reinsch, T.G. Global Soil Characterization with VNIR Diffuse Reflectance Spectroscopy. Geoderma 2006, 132, 273–290. [Google Scholar] [CrossRef]
- Daniel, K.W.; Tripathi, N.K.; Honda, K.; Apisit, E. Analysis of VNIR (400–1100 Nm) Spectral Signatures for Estimation of Soil Organic Matter in Tropical Soils of Thailand. Int. J. Remote Sens. 2004, 25, 643–652. [Google Scholar] [CrossRef]
- Dalal, R.C.; Henry, R.J. Simultaneous Determination of Moisture, Organic Carbon, and Total Nitrogen by Near Infrared Reflectance Spectrophotometry. Soil Sci. Soc. Am. J. 1986, 50, 120–123. [Google Scholar] [CrossRef]
- Sudduth, K.; W. Hummel, J. Soil Organic Matter, CEC, and Moisture Sensing with a Portable NIR Spectrophotometer. Trans. ASAE 1993, 36, 1571–1582. [Google Scholar] [CrossRef]
- Shepherd, K.D.; Walsh, M.G. Development of Reflectance Spectral Libraries for Characterization of Soil Properties. Soil Sci. Soc. Am. J. 2002, 66, 988–998. [Google Scholar] [CrossRef]
- Lee, K.S.; Lee, D.H.; Sudduth, K.A.; Chung, S.O.; Kitchen, N.R.; Drummond, S.T. Wavelength Identification and Diffuse Reflectance Estimation for Surface and Profile Soil Properties. Trans. ASABE 2009, 52, 683–695. [Google Scholar] [CrossRef]
- Pimstein, A.; Notesco, G.; Ben-Dor, E. Performance of Three Identical Spectrometers in Retrieving Soil Reflectance under Laboratory Conditions. Soil Sci. Soc. Am. J. 2011, 75, 746–759. [Google Scholar] [CrossRef]
- Gholizadeh, A.; Žižala, D.; Saberioon, M.; Borůvka, L. Soil Organic Carbon and Texture Retrieving and Mapping Using Proximal, Airborne and Sentinel-2 Spectral Imaging. Remote Sens. Environ. 2018, 218, 89–103. [Google Scholar] [CrossRef]
- Ge, Y.; Morgan, C.L.S.; Grunwald, S.; Brown, D.J.; Sarkhot, D.V. Comparison of Soil Reflectance Spectra and Calibration Models Obtained Using Multiple Spectrometers. Geoderma 2011, 161, 202–211. [Google Scholar] [CrossRef]
- Ellinger, M.; Merbach, I.; Werban, U.; Ließ, M. Error Propagation in Spectrometric Functions of Soil Organic Carbon. Soil 2019, 5, 275–288. [Google Scholar] [CrossRef]
- Bogrekci, I.; Lee, W.S. Effects of soil moisture content on absorbance spectra of sandy soils in sensing phosphorus concentrations using uv-vis-nir spectroscopy. Trans. ASABE 2006, 49, 1175–1180. [Google Scholar] [CrossRef]
- Bricklemyer, R.S.; Brown, D.J. On-the-Go VisNIR: Potential and Limitations for Mapping Soil Clay and Organic Carbon. Comput. Electron. Agric. 2010, 70, 209–216. [Google Scholar] [CrossRef]
- Biney, J.K.M.; Saberioon, M.; Borůvka, L.; Houška, J.; Vašát, R.; Agyeman, P.C.; Coblinski, J.A.; Klement, A. Exploring the Suitability of Uas-Based Multispectral Images for Estimating Soil Organic Carbon: Comparison with Proximal Soil Sensing and Spaceborne Imagery. Remote Sens. 2021, 13, 308. [Google Scholar] [CrossRef]
- Wu, C.-Y.; Jacobson, A.R.; Laba, M.; Baveye, P.C. Accounting for Surface Roughness Effects in the Near-Infrared Reflectance Sensing of Soils. Geoderma 2009, 152, 171–180. [Google Scholar] [CrossRef]
- Bellon-Maurel, V.; McBratney, A. Near-Infrared (NIR) and Mid-Infrared (MIR) Spectroscopic Techniques for Assessing the Amount of Carbon Stock in Soils—Critical Review and Research Perspectives. Soil Biol. Biochem. 2011, 43, 1398–1410. [Google Scholar] [CrossRef]
- Shen, J.; Qiao, W.; Chen, H.; Zhou, J.; Liu, F. Application of Visible/near Infrared Spectrometers to Quickly Detect the Nitrogen, Phosphorus, and Potassium Content of Chemical Fertilizers. Appl. Sci. 2021, 11, 5103. [Google Scholar] [CrossRef]
- Nawar, S.; Munnaf, M.A.; Mouazen, A.M. Machine Learning Based On-Line Prediction of Soil Organic Carbon after Removal of Soil Moisture Effect. Remote Sens. 2020, 12, 1308. [Google Scholar] [CrossRef]
- Altermann, M.; Rinklebe, J.; Merbach, I.; Körschens, M.; Langer, U.; Hofmann, B. Chernozem—Soil of the Year 2005. J. Plant Nutr. Soil Sci. 2005, 168, 725–740. [Google Scholar] [CrossRef]
- Ad-hoc-AG Boden. Bodenkundliche Kartieranleitung, 5th ed.; Schweizerbart: Hannover, Germany, 2005. [Google Scholar]
- Merbach, I.; Schulz, E. Long-Term Fertilization Effects on Crop Yields, Soil Fertility and Sustainability in the Static Fertilization Experiment Bad Lauchstädt under Climatic Conditions 2001–2010. Arch. Agron. Soil Sci. 2013, 59, 1041–1057. [Google Scholar] [CrossRef]
- Körschens, M.; Pfefferkorn, A. Bad Lauchstädt—The Static Fertilization Experiment and Other Long-Term Field Experiments; UFZ—Umweltforschungszentrum Leipzig-Halle GmbH: Leipzig, Germany, 1998. [Google Scholar]
- Christy, C.D. Real-Time Measurement of Soil Attributes Using on-the-Go near Infrared Reflectance Spectroscopy. Comput. Electron. Agric. 2008, 61, 10–19. [Google Scholar] [CrossRef]
- Roudier, P. Spectacles: Storing and Manipulating Spectroscopy Data in R; Version 0.5-3. 2021. Available online: https://cran.r-project.org/web/packages/spectacles/index.html (accessed on 1 December 2023).
- Beal, D.; Eamon, M. Dynamic, Parabolic Linear Transformations of “Stepped” Radiometric Data; Analytical Spectral Devices Inc.: Boulder, CO, USA, 1996. [Google Scholar]
- Filzmoser, P.; Gschwandtner, M. mvoutlier: Multivariate Outlier Detection Based on Robust Methods; Version 2.1.1.2021. Available online: https://CRAN.R-project.org/package=mvoutlier (accessed on 1 December 2023).
- Savitzky, A.; Golay, M.J.E. Smoothing and Differentiation of Data by Simplified Least Squares Procedures. Anal. Chem. 1964, 36, 1627–1639. [Google Scholar] [CrossRef]
- Clark, R.N.; Roush, T.L. Reflectance Spectroscopy: Quantitative Analysis Techniques for Remote Sensing Applications. J. Geophys. Res. Solid Earth 1984, 89, 6329–6340. [Google Scholar] [CrossRef]
- Hopkins, D.W. Shoot-out 2002: Transfer of Calibration for Content of Active in a Pharmaceutical Tablet. NIR News 2003, 14, 10–13. [Google Scholar] [CrossRef]
- Martens, H.; Jensen, S.A.; Geladi, P. Multivariate Linearity Transformations for near Infrared Reflectance Spectroscopy. In Proceedings of the Nordic Symposium on Applied Statistics; Christie, O.H.J., Ed.; Stokkland Forlag: Stavanger, Norway, 1983; pp. 205–234. [Google Scholar]
- Stevens, A.; Ramirez-Lopez, L.; Hans, G. Package ‘ Prospectr ’—Miscellaneous Functions for Processing and Sample Selection of Spectroscopic Data; Version 0.2.6. 2022. Available online: https://github.com/l-ramirez-lopez/prospectr (accessed on 1 December 2023).
- Liland, K.; Mevik, B.-H. pls: Partial Least Squares and Principal Component Regression; Version 2.8-0.; 2021. Available online: https://CRAN.R-project.org/package=pls (accessed on 1 December 2023).
- Wold, S.; Trygg, J. The PLS Method—Partial Least Squares Projections to Latent Structures—and Its Applications in Industrial RDP (Research, Development, and Production). PLS Ind. RPD Prague 2004, 1, 1–44. [Google Scholar]
- Lin, L.I. A Concordance Correlation Coefficient to Evaluate Reproducibility. Biomatrics 1989, 45, 255–268. [Google Scholar] [CrossRef]
- Wang, Y.; Veltkamp, D.J.; Kowalski, B.R. Multivariate Instrument Standardization. Anal. Chem. 1991, 63, 2750–2756. [Google Scholar] [CrossRef]
- Roger, J.-M.; Chauchard, F.; Bellon-Maurel, V. EPO–PLS External Parameter Orthogonalisation of PLS Application to Temperature-Independent Measurement of Sugar Content of Intact Fruits. Chemom. Intell. Lab. Syst. 2003, 66, 191–204. [Google Scholar] [CrossRef]
- Mehmood, T.; Liland, K.H.; Snipen, L.; Sæbø, S. A Review of Variable Selection Methods in Partial Least Squares Regression. Chemom. Intell. Lab. Syst. 2012, 118, 62–69. [Google Scholar] [CrossRef]
- Farrés, M.; Platikanov, S.; Tsakovski, S.; Tauler, R. Comparison of the Variable Importance in Projection (VIP) and of the Selectivity Ratio (SR) Methods for Variable Selection and Interpretation. J. Chemom. 2015, 29, 528–536. [Google Scholar] [CrossRef]
- Wickham, H. Ggplot2: Elegant Graphics for Data Analysis; Springer: New York, NY, USA, 2016; ISBN 978-3-319-24277-4. [Google Scholar]
- Jiang, Q.; Chen, Y.; Guo, L.; Fei, T.; Qi, K. Estimating Soil Organic Carbon of Cropland Soil at Different Levels of Soil Moisture Using VIS-NIR Spectroscopy. Remote Sens. 2016, 8, 755. [Google Scholar] [CrossRef]
- Liu, Y.; Shi, Z.; Zhang, G.; Chen, Y.; Li, S.; Hong, Y.; Shi, T.; Wang, J.; Liu, Y. Application of Spectrally Derived Soil Type as Ancillary Data to Improve the Estimation of Soil Organic Carbon by Using the Chinese Soil Vis-NIR Spectral Library. Remote Sens (Basel) 2018, 10, 1747. [Google Scholar] [CrossRef]
- Nocita, M.; Stevens, A.; Noon, C.; Van Wesemael, B. Prediction of Soil Organic Carbon for Different Levels of Soil Moisture Using Vis-NIR Spectroscopy. Geoderma 2013, 199, 37–42. [Google Scholar] [CrossRef]
- Denis, A.; Stevens, A.; van Wesemael, B.; Udelhoven, T.; Tychon, B. Soil Organic Carbon Assessment by Field and Airborne Spectrometry in Bare Croplands: Accounting for Soil Surface Roughness. Geoderma 2014, 226–227, 94–102. [Google Scholar] [CrossRef]
- Viscarra Rossel, R.A.; Lark, R.M. Improved Analysis and Modelling of Soil Diffuse Reflectance Spectra Using Wavelets. Eur. J. Soil Sci. 2009, 60, 453–464. [Google Scholar] [CrossRef]
- Rienzi, E.A.; Mijatovic, B.; Mueller, T.G.; Matocha, C.J.; Sikora, F.J.; Castrignanò, A. Prediction of Soil Organic Carbon under Varying Moisture Levels Using Reflectance Spectroscopy. Soil Sci. Soc. Am. J. 2014, 78, 958–967. [Google Scholar] [CrossRef]
- Croft, H.; Kuhn, N.J.; Anderson, K. On the Use of Remote Sensing Techniques for Monitoring Spatio-Temporal Soil Organic Carbon Dynamics in Agricultural Systems. Catena 2012, 94, 64–74. [Google Scholar] [CrossRef]
- Rinnan, Å.; van den Berg, F.; Engelsen, S.B. Review of the Most Common Pre-Processing Techniques for near-Infrared Spectra. TrAC—Trends Anal. Chem. 2009, 28, 1201–1222. [Google Scholar] [CrossRef]
- Chen, H.; Song, Q.; Tang, G.; Feng, Q.; Lin, L. The Combined Optimization of Savitzky-Golay Smoothing and Multiplicative Scatter Correction for FT-NIR PLS Models. ISRN Spectrosc. 2013, 2013, 642190. [Google Scholar] [CrossRef]
- Dotto, A.C.; Dalmolin, R.S.D.; ten Caten, A.; Grunwald, S. A Systematic Study on the Application of Scatter-Corrective and Spectral-Derivative Preprocessing for Multivariate Prediction of Soil Organic Carbon by Vis-NIR Spectra. Geoderma 2018, 314, 262–274. [Google Scholar] [CrossRef]
- Conforti, M.; Matteucci, G.; Buttafuoco, G. Using Laboratory Vis-NIR Spectroscopy for Monitoring Some Forest Soil Properties. J. Soils Sediments 2018, 18, 1009–1019. [Google Scholar] [CrossRef]
- Kawamura, K.; Tsujimoto, Y.; Rabenarivo, M.; Asai, H.; Andriamananjara, A.; Rakotoson, T. Vis-NIR Spectroscopy and PLS Regression with Waveband Selection for Estimating the Total C and N of Paddy Soils in Madagascar. Remote Sens. 2017, 9, 1081. [Google Scholar] [CrossRef]
- Wang, C.; Pan, X. Estimation of Clay and Soil Organic Carbon Using Visible and Near-Infrared Spectroscopy and Unground Samples. Soil Science Society of America Journal 2016, 80, 1393–1402. [Google Scholar] [CrossRef]
- Nawar, S.; Mouazen, A.M. Optimal Sample Selection for Measurement of Soil Organic Carbon Using On-Line Vis-NIR Spectroscopy. Comput Electron Agric 2018, 151, 469–477. [Google Scholar] [CrossRef]
- Gao, P.; Wang, B.; Geng, G.; Zhang, G. Spatial Distribution of Soil Organic Carbon and Total Nitrogen Based on GIS and Geostatistics in a Small Watershed in a Hilly Area of Northern China. PLoS ONE 2013, 8, e83592. [Google Scholar] [CrossRef]
- Vasques, G.M.; Grunwald, S.; Sickman, J.O. Modeling of Soil Organic Carbon Fractions Using Visible–Near-Infrared Spectroscopy. Soil Science Society of America Journal 2009, 73, 176–184. [Google Scholar] [CrossRef]
- Yang, H.; Kuang, B.; Mouazen, A.M. Quantitative Analysis of Soil Nitrogen and Carbon at a Farm Scale Using Visible and near Infrared Spectroscopy Coupled with Wavelength Reduction. Eur J Soil Sci 2012, 63, 410–420. [Google Scholar] [CrossRef]
- Colombo, C.; Palumbo, G.; Di Iorio, E.; Sellitto, V.M.; Comolli, R.; Stellacci, A.M.; Castrignanò, A. Soil Organic Carbon Variation in Alpine Landscape (Northern Italy) as Evaluated by Diffuse Reflectance Spectroscopy. Soil Science Society of America Journal 2014, 78, 794–804. [Google Scholar] [CrossRef]
- Viscarra Rossel, R.A.; Fouad, Y.; Walter, C. Using a Digital Camera to Measure Soil Organic Carbon and Iron Contents. Biosyst. Eng. 2008, 100, 149–159. [Google Scholar] [CrossRef]
- Peng, X.; Shi, T.; Song, A.; Chen, Y.; Gao, W. Estimating Soil Organic Carbon Using VIS/NIR Spectroscopy with SVMR and SPA Methods. Remote Sens. 2014, 6, 2699–2717. [Google Scholar] [CrossRef]
- Kooistra, L.; Leuven, R.S.E.W.; Wehrens, R.; Nienhuis, P.H.; Buydens, L.M.C. A Comparison of Methods to Relate Grass Reflectance to Soil Metal Contamination. Int. J. Remote Sens. 2003, 24, 4995–5010. [Google Scholar] [CrossRef]
- Sudduth, K.A.; Hummel, J.W. Evaluation of reflectance methods for soil organic matter sensing. Trans. ASAE 1991, 34, 1900–1909. [Google Scholar] [CrossRef]
- Stevens, A.; van Wesemael, B.; Bartholomeus, H.; Rosillon, D.; Tychon, B.; Ben-Dor, E. Laboratory, Field and Airborne Spectroscopy for Monitoring Organic Carbon Content in Agricultural Soils. Geoderma 2008, 144, 395–404. [Google Scholar] [CrossRef]
- Crucil, G.; Castaldi, F.; Aldana-Jague, E.; van Wesemael, B.; Macdonald, A.; Oost, K. Assessing the Performance of UAS-Compatible Multispectral and Hyperspectral Sensors for Soil Organic Carbon Prediction. Sustainability 2019, 11, 1889. [Google Scholar] [CrossRef]
- Ji, W.; Viscarra Rossel, R.A.; Shi, Z. Improved Estimates of Organic Carbon Using Proximally Sensed Vis–NIR Spectra Corrected by Piecewise Direct Standardization. Eur. J. Soil Sci. 2015, 66, 670–678. [Google Scholar] [CrossRef]
- Ji, W.; Viscarra Rossel, R.A.; Shi, Z. Accounting for the Effects of Water and the Environment on Proximally Sensed Vis-NIR Soil Spectra and Their Calibrations. Eur. J. Soil Sci. 2015, 66, 555–565. [Google Scholar] [CrossRef]
- Wijewardane, N.K.; Hetrick, S.; Ackerson, J.; Morgan, C.L.S.; Ge, Y. VisNIR Integrated Multi-Sensing Penetrometer for in Situ High-Resolution Vertical Soil Sensing. Soil Tillage Res. 2020, 199, 104604. [Google Scholar] [CrossRef]
- Roudier, P.; Hedley, C.B.; Lobsey, C.R.; Viscarra Rossel, R.A.; Leroux, C. Evaluation of Two Methods to Eliminate the Effect of Water from Soil Vis–NIR Spectra for Predictions of Organic Carbon. Geoderma 2017, 296, 98–107. [Google Scholar] [CrossRef]
- Seidel, M.; Hutengs, C.; Ludwig, B.; Thiele-Bruhn, S.; Vohland, M. Strategies for the Efficient Estimation of Soil Organic Carbon at the Field Scale with Vis-NIR Spectroscopy: Spectral Libraries and Spiking vs. Local Calibrations. Geoderma 2019, 354, 113856. [Google Scholar] [CrossRef]









| Preprocessing Method | ASD Wavelength Range | Veris Wavelength Range | Abbreviation |
|---|---|---|---|
| Savitzky–Golay | 405–2195 | 432–2201 | SG |
| Savitzky–Golay w = 11 and continuum removal | 405–2195 | 432–2201 | SGCR |
| Gap segment algorithm (w = 11, s = 10) | 415–2185 | 408–2186 | gapDer |
| Multiplicative scatter correction | 400–2200 | 403–2201 | MSC |
| Veris | ASD | |||||
|---|---|---|---|---|---|---|
| PDS | EPO | PDS | EPO | |||
| ncomp | w | ncomp | ncomp | w | ncomp | |
| SG | 1 | 2 | 7 | 4 | 5 | 9 |
| SGCR | 2 | 4 | 5 | 5 | 8 | 8 |
| gapDer | 1 | 2 | 5 | 3 | 3 | 8 |
| MSC | 1 | 2 | 6 | 2 | 9 | 9 |
| ASD Lab MSC Wavelength | Veris Lab | Veris Field | ASD Lab | ASD Field | |||||||||||
|---|---|---|---|---|---|---|---|---|---|---|---|---|---|---|---|
| SG | SGCR | gapDer | MSC | SG | SGCR | gapDer | MSC | SG | SGCR | gapDer | SG | SGCR | gapDer | MSC | |
| 557 | x | x | x | x | x | x | x | ||||||||
| 909 | x | x | x | x | |||||||||||
| 1045 | x | x | x | ||||||||||||
| 1111 | x | x | x | x | |||||||||||
| 1196 | x | x | x | x | x | x | x | x | |||||||
| 1272 | x | x | x | x | |||||||||||
| 1330 | x | x | x | x | x | x | x | ||||||||
| 1412 | x | x | x | x | x | x | x | x | x | x | x | x | x | ||
| 1488 | x | x | x | x | x | x | x | ||||||||
| 1621 | x | x | x | x | x | x | x | x | x | ||||||
| 1729 | x | x | x | x | x | x | x | x | x | ||||||
| 1784 | x | x | x | x | x | ||||||||||
| 1907 | x | x | x | x | x | x | x | x | x | x | x | x | |||
| 2008 | x | x | x | x | x | ||||||||||
| 2142 | x | x | x | x | x | ||||||||||
| Total matches | 6 | 6 | 3 | 9 | 6 | 7 | 3 | 7 | 11 | 6 | 7 | 11 | 6 | 4 | 10 |
Disclaimer/Publisher’s Note: The statements, opinions and data contained in all publications are solely those of the individual author(s) and contributor(s) and not of MDPI and/or the editor(s). MDPI and/or the editor(s) disclaim responsibility for any injury to people or property resulting from any ideas, methods, instructions or products referred to in the content. |
© 2024 by the authors. Licensee MDPI, Basel, Switzerland. This article is an open access article distributed under the terms and conditions of the Creative Commons Attribution (CC BY) license (https://creativecommons.org/licenses/by/4.0/).
Share and Cite
Reyes, J.; Ließ, M. Spectral Data Processing for Field-Scale Soil Organic Carbon Monitoring. Sensors 2024, 24, 849. https://doi.org/10.3390/s24030849
Reyes J, Ließ M. Spectral Data Processing for Field-Scale Soil Organic Carbon Monitoring. Sensors. 2024; 24(3):849. https://doi.org/10.3390/s24030849
Chicago/Turabian StyleReyes, Javier, and Mareike Ließ. 2024. "Spectral Data Processing for Field-Scale Soil Organic Carbon Monitoring" Sensors 24, no. 3: 849. https://doi.org/10.3390/s24030849
APA StyleReyes, J., & Ließ, M. (2024). Spectral Data Processing for Field-Scale Soil Organic Carbon Monitoring. Sensors, 24(3), 849. https://doi.org/10.3390/s24030849

