Seamless Transition to Post-Quantum TLS 1.3: A Hybrid Approach Using Identity-Based Encryption
Abstract
1. Introduction
- Diffie-Hellman Key Agreement Protocol:
- Our Proposal
1.1. Addressing IBE Challenges in TLS
- Revocation Problem
- Key Escrow Problem
1.2. Overview of Our Contribution
1.3. Paper Content
- Section 2 introduces the notation used throughout the paper and describes the cryptographic algorithms central to our proposal and the KEMTLS protocol. It provides a detailed breakdown of KEMs, IBE, and their integration within the TLS protocol.
- Section 3 presents our novel integration of post-quantum identity-based encryption algorithms with classical public key algorithms. We develop a security model for the resulting hybrid cryptographic primitive and discuss its practical and theoretical security implications.
- Section 4 compares the performance of our hybrid KEMTLS protocol with the current TLS 1.3 implementation and other hybrid approaches. Performance metrics are evaluated in both simulated network environments and real-world Internet configurations.
- Section 5 concludes by summarizing our findings and discussing potential directions for future research in post-quantum cryptography in network security protocols. This section reflects on the broader implications for cybersecurity and the transition to quantum-resistant cryptographic systems.
- Appendix A contains the full security proof supporting our claims about the hybrid KEMTLS’s resilience against classical and quantum cryptographic attacks as outlined in Theorem 1.
- Appendix B provides the complete security proof of Theorem 2, substantiating our claim that the same elliptic curve keys can be used interchangeably for both our proposed KEM algorithm and ECDSA signatures without compromising security.
2. Preliminaries
2.1. Notation
2.2. Key Encapsulation Mechanisms (KEMs)
- Key Generation: : Given the security parameter , this probabilistic polynomially bounded algorithm generates a secret key and a public key .
- Encapsulation: : Given a public key , this probabilistic polynomially bounded algorithm generates a secret and a ciphertext , where K is the key space and C the ciphertext space.
- Decapsulation: : Given a secret key and a ciphertext , this deterministic polynomially bounded algorithm recovers the corresponding secret .
| Algorithm 1 KEM Attack Game 0 |
|
| Algorithm 2 KEM Attack Game 1 |
|
- Attack Games
Diffie–Hellman KEM
| Algorithm 3 DHKEM.Encaps(y) |
|
| Algorithm 4 DHKEM.Decaps(x, c) |
|
2.3. Identity Based KEMs
- Key Generation: : Given the security parameter , this probabilistic polynomially bounded algorithm generates a master public key and a master secret key ;
- Key Extraction: : Given the master secret key and a string , this probabilistic polynomially bounded algorithm generates a secret key associated with identity ;
- Encapsulation: : Given the master public key and an identity string , this probabilistic polynomially bounded algorithm produces a secret k, and a ciphertext c;
- Decapsulation: : Given a secret key associated with identity and a ciphertext c, this deterministic polynomially bounded algorithm recovers the secret k.
| Algorithm 5 IDKEM Attack Game 0 |
|
| Algorithm 6 IDKEM Attack Game 1 |
|
| Algorithm 7 Decapsulation Query for Attack Games |
|
2.4. Message Authentication Codes (MACs)
- Key Generation: : Given the security parameter , this algorithm generates .
- Signing: : Given inputs and , this algorithm generates .
- Verifying signature: : Given a key , a message , and a tag , this algorithm outputs a value b, indicating either accept or reject.
| Algorithm 8 MAC Attack Game |
|
| Algorithm 9 Verification Query for MAC Attack Game |
|
2.5. Signature Schemes
- Key Generation: : A probabilistic algorithm that, given a security parameter , generates a cryptographic key pair , where is the public key and is the secret key;
- Signing: : A probabilistic algorithm that, given a secret key and a message , produces a signature ;
- Signature Verification: : A deterministic algorithm that, given a public key , a message , and a signature , returns a binary value b. If , the signature is valid (accept); otherwise, it is invalid (reject).
| Algorithm 10 Signature Attack Game |
|
| Algorithm 11 Signing Query for Sigature Attack Game |
|
ECDSA Signature Scheme
| Algorithm 12 |
|
| Algorithm 13 |
|
2.6. Combiners and Hybrid Constructions
- XOR-then-MAC Combiner: In this approach, XOR, the outputs of the combined KEMs are utilized to generate an initial shared secret. The shared secret is then authenticated using a MAC to protect against mix-and-match attacks, where an adversary could combine parts of different ciphertexts to forge valid combinations, thus compromising more naive combiners;
- Dual-PRF Combiner: In this method, both KEMs are executed to produce a pair of secrets and a pair of ciphertexts . The secrets are then combined using a pseudo-random function (PRF) to generate a key k, which is used to instantiate another PRF. The final secret is produced by running .
2.7. The KEMTLS Protocol
- “ClientHello”The Client sends a “ClientHello” message containing a newly generated ephemeral public key , created by running .
- “ServerHello”The server responds with a “ServerHello” message that includes:
- An encapsulated secret () generated using the encapsulation function with the client’s public key ();
- A certificate chain that includes the server’s public key ().
- “ClientKeyExchange”The client replies with a “ClientKeyExchange” message containing , which encapsulates a secret computed by running .The final shared secret is derived by combining and . With both secrets known, the client can begin sending encrypted application data alongside the “ClientKeyExchange” message, even before the handshake is fully completed.
- “Finished”The server sends a “Finished” message to confirm the successful exchange of secrets. At this point, both parties establish the shared secret. Optionally, the server can send encrypted application data along with the “Finished” message.
3. Our Hybrid KEMTLS Proposal
3.1. The Proposed Hybrid KEM Scheme (HKEM)
- : This algorithm generates the master public key and master secret key , similar to ;
- : Each user runs this algorithm locally to generate a public–private key pair , identical to ;
- : Given the master secret key and an identity , this algorithm generates a secret key corresponding to the identity, similar to ;
- : This probabilistic polynomial-time algorithm, given the master public key , a public key , and an identity string , produces a secret k and a ciphertext c that encapsulates the secret securely;
- : This deterministic polynomial-time algorithm, given the secret key associated with identity , another secret key , and a ciphertext c, recovers the secret k encapsulated in the ciphertext.
| Algorithm 14 |
|
| Algorithm 15 |
|
- No post-quantum key required in the leaf certificate: We do not need to add a post-quantum key to the leaf certificate. In fact, we can continue using the same certificates in use today, provided they are compatible with DHKEM and we assume that classical signatures remain secure. Compared to a typical hybrid KEMTLS, the data sent during the “ServerHello” message will be smaller due to the reduced size of the certificate chain. Based on the public key sizes of the finalists in NIST’s Round 3 post-quantum standardization process, this would save approximately 672 to 800 bytes (NIST Security Level 1) or 930 to 1134 bytes (NIST Security Level 3).
- Ciphertext size in the “ClientKeyExchange” message: According to theoretical predictions from [22], the “ClientKeyExchange” message needs to send bits as ciphertext produced by the post-quantum part of . In this case, N is the number of dimensions of the underlying lattice, which must be at least 1024 to ensure 128 bits of security. The variable l is the compression parameter, which increases the probability of decryption failure only negligibly. According to [17], l should satisfy , where q is the modulus in the Ring-LWE setting. Suggested values for q range from 23 bits [22] to 28 bits [23]. The variable is the size of the internal message encrypted by DLP-IBE, and is the digest size for the hash used in the Fujisaki–Okamoto transform to achieve IND-CCA security. Both and are typically 1280 (for 128-bit security) or 1408 (for 192-bit security).Thus, the ciphertext in our proposal is expected to be between 3488 and 4144 bytes, depending on the parameters suggested in the literature. By comparison, the ciphertext sizes for the NIST finalists range from 699 to 768 bytes (NIST Security Level 1) or 930 to 1088 bytes (NIST Security Level 3). This indicates that, unfortunately, using known realistic parameters, our proposal would produce larger ciphertexts compared to other KEMs being standardized by NIST. The increase in the size of the “ClientKeyExchange” message would outweigh the savings in the “ServerHello” message.
- Providing the PKG information: If the client does not already know which Private Key Generator (PKG) the server uses or its master public key, this information must be provided by the server. The server could send this information either within the leaf certificate or, if the existing certificate chains cannot be modified, as an additional signed message after the certificate chain. The size of the is bits, which would add between 2944 and 3584 bytes to the handshake based on current proposals for N and q. If the is sent outside the leaf certificate, an additional ECDSA signature would be required for verification using the key in the leaf certificate.
3.2. Security Modelling for the Hybrid Construction
| Algorithm 16 HKEM Attack Game b (where b is either 0 or 1) |
|
| Algorithm 17 Decapsulation Query for HKEM Attack Game |
|
| Algorithm 18 Compromise Query for HKEM Attack Game |
|
| Algorithm 19 Public Key Query for HKEM Attack Game |
|
3.3. The Full Proposal and General Security Discussion
| Algorithm 20 SIG-KEM Attack Game 0 |
|
| Algorithm 21 SIG-KEM Attack Game 1 |
|
3.4. Migrating to Post-Quantum TLS
- IoT devices: A manufacturer has devices in the market that use TLS to communicate with a server. Through software and firmware updates, the manufacturer can update all involved components, centralizing the PKG responsibility. Devices can receive the PKG’s public key via updates, while the server receives its new secret key for the IBE. Since existing certificates need not be changed, the migration can proceed even if certificates are stored in ROM and cannot be updated;
- Centralized service: An operating system manufacturer, or a group of manufacturers, offers our protocol as a service that provides automatic post-quantum protection to servers. Server administrators need only subscribe to the service; no new keys need to be generated. Multiple PKGs may exist, but limited in number. The PKG’s public key can be identified by an associated number, which is signed with the server’s classical key and included in the “ServerHello” message;
- Decentralized PKGs: If the migration is not centrally managed, multiple independent PKGs may emerge. Clients and servers can migrate via operating system updates or by installing specific applications. Two trust models are possible: (1) the client can trust the server’s identification of the PKG via a signed message, allowing the server to certify the PKG for the client; or (2) the PKG must be certified by an authority trusted by both the client and the server. In this latter case, the certificate needs to be extended to include both the server’s and the PKG’s identification, which negates the advantage of using existing certificates.
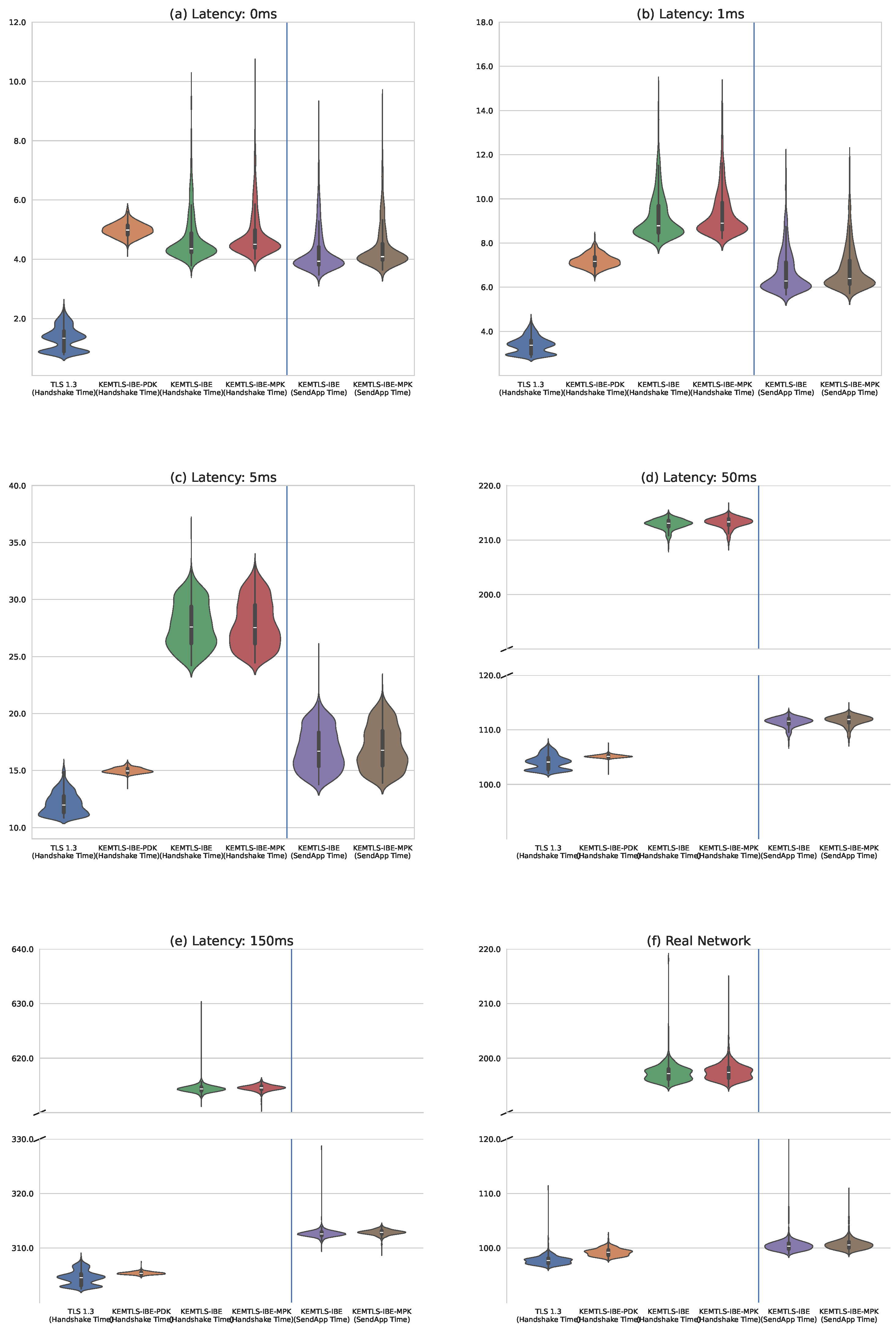
4. Experiments
- KEMTLS-IBE-PDK: In environments where the client already possesses the necessary server keys, we use KEMTLS with pre-distributed keys (PDKs) as described in [37]. This scenario applies when the client and server have previously established a connection, or in IoT cases where a device always connects to the same server. This configuration enables a single-round handshake without requiring certificate chains or the IBE master public key ().
- KEMTLS-IBE: When the IBE is disseminated via out-of-band channels, we use the standard KEMTLS protocol.
- KEMTLS-IBE-MPK: For cases where the IBE must be communicated during the handshake, we introduce an additional signed message following the certificate chain. This message is signed using the P256 key embedded in the leaf certificate via ECDSA.
5. Conclusions
- Summary of Contributions
- Hybrid KEMTLS Protocol: We introduce a novel hybrid KEMTLS protocol that integrates traditional public-key cryptography with post-quantum identity-based encryption. This approach enhances security by providing resilience against both classical and quantum adversaries;
- Practical Implementation: Our implementation demonstrates the feasibility of achieving post-quantum security without requiring immediate modifications to existing TLS infrastructure. By leveraging identity-based encryption, we streamline key management and reduce dependency on certificate authorities;
- Rigorous Security Analysis: We perform a comprehensive security analysis, demonstrating the hybrid KEMTLS protocol’s resistance to various attacks, including chosen-ciphertext attacks. The use of combiners ensures security even in the presence of vulnerabilities in individual components;
- Performance Evaluation: Through extensive experimentation, we show that our hybrid KEMTLS protocol delivers comparable performance to existing post-quantum solutions while minimizing disruptions to the current TLS ecosystem.
- Implications for TLS Infrastructure
- Minimal Infrastructure Impact: Our hybrid approach requires minimal changes to existing TLS infrastructure. By deriving keys from server identities, we eliminate the need for post-quantum key embedding in certificates, ensuring a smoother transition to post-quantum security;
- Scalability and Compatibility: The protocol integrates seamlessly with existing PKI systems, enabling organizations to adopt post-quantum security incrementally without overhauling their cryptographic infrastructure;
- Enhanced Security Posture: By combining classical and post-quantum cryptography, we strengthen the overall security posture, ensuring resilience even if vulnerabilities are found in individual cryptographic components.
- Future Work
- IBE Scheme Optimization: Investigate techniques to optimize IBE schemes, focusing on reducing computational overhead and ciphertext sizes, and exploring novel constructions to improve protocol performance;
- Integration of Emerging Post-Quantum Algorithms: Expand the hybrid KEMTLS protocol to support emerging post-quantum algorithms, such as lattice-based and code-based schemes, to create more versatile and resilient solutions;
- Client Authentication: Extend the protocol to support client authentication using identity-based signatures or other post-quantum signature mechanisms, enabling comprehensive post-quantum security for both parties;
- Scalability and Deployment Analysis: Conduct in-depth studies to evaluate the protocol’s performance and scalability in large-scale environments, including cloud and distributed systems, identifying potential bottlenecks and optimization opportunities;
- Advanced Security Measures: Explore the integration of multi-factor authentication and hardware-based security components to further enhance the protocol’s security;
- Application Impact Assessment: Evaluate the impact of the protocol on existing TLS-dependent applications and services and develop best practices for smooth adoption;
- Interoperability with Classical TLS: Design mechanisms to ensure seamless interoperability between the hybrid KEMTLS protocol and traditional TLS systems, facilitating gradual adoption and providing fallback options.
Author Contributions
Funding
Institutional Review Board Statement
Informed Consent Statement
Data Availability Statement
Acknowledgments
Conflicts of Interest
Appendix A
| Algorithm A1 Hybrid Attack Game 2 and 3 |
|
| Algorithm A2 Decapsulation Query for Hybrid Attack Games 2 and 3 |
|
- Initialization: Adversary sets up the environment, initializing counters and variables, and selects one of the identities for the key encapsulation process (Algorithm A3).
Algorithm A3 Initialization for Adversary - 1:
- procedure ()
- 2:
- 3:
- 4:
- 5:
- 6:
- ▹ initializes adversary by providing the .
- 7:
- end procedure
- Decapsulation Query: Whenever asks to decapsulate a ciphertext for a specific identity, either performs the decapsulation using the KEM or checks for the secret key to perform decapsulation for IDKEM:
- -
- If no key is found for the queried identity, a new key is generated and stored;
- -
- If the current query matches the chosen identity k, performs the decapsulation using its own decapsulation challenge from the KEM.
Details are shown in Algorithm A4.Algorithm A4 How Adversary responds to decapsulation queries. - 1:
- procedure ()
- 2:
- 3:
- if no key was found in then
- 4:
- 5:
- if then
- 6:
- 7:
- ▹ runs its own decapsulation query.
- 8:
- else
- 9:
- 10:
- 11:
- end if
- 12:
- end if
- 13:
- Use either or the decapsulation of to compute the decapsulation.
- 14:
- Provide a valid response to .
- 15:
- end procedure
- Compromise Query: If asks to compromise an identity, reveals the corresponding secret key unless the query matches the target identity k, in which case halts. If the compromised identity is the chosen target, halts because it cannot proceed with the game. Details are shown in Algorithm A5.
Algorithm A5 How Adversary responds to compromise queries. - 1:
- procedure ()
- 2:
- if no key was found in then
- 3:
- 4:
- if then
- 5:
- cannot succeed and halts.
- 6:
- else
- 7:
- 8:
- 9:
- end if
- 10:
- end if
- 11:
- if then
- 12:
- cannot succeed and halts.
- 13:
- end if
- 14:
- 15:
- return
- 16:
- end procedure
- Public Key Query: If requests the public key of an identity, checks the dictionary and returns the corresponding public key or creates a new one. If the queried identity is the target k, returns the challenge’s public key . Details are shown in Algorithm A6.
Algorithm A6 How Adversary responds to public key queries. - 1:
- procedure ()
- 2:
- 3:
- if no key was found in then
- 4:
- 5:
- if then
- 6:
- 7:
- return
- 8:
- else
- 9:
- 10:
- 11:
- end if
- 12:
- end if
- 13:
- return
- 14:
- end procedure
- Challenge: When selects the target identity for its attack, obtains the identity public key from the dictionary. Then, it submits the challenge ciphertext and encapsulated key to , which can be produced if the recovered public key is the same than the one that received during initialization. Details are shown in Algorithm A7.
Algorithm A7 How Adversary responds when chooses which identity it will attack. - 1:
- procedure ()
- 2:
- 3:
- if then
- 4:
- cannot succeed and halts.
- 5:
- end if
- 6:
- gets the challenge from its challenger
- 7:
- return
- 8:
- end procedure
- Finalization: When adversary finalizes returning some bit b, adversary also finalizes sending this same value b to its own challenger.
- Initialization: Adversary aims to break the MAC security by controlling the rightmost bits of the key, which are generated by IDKEM. These bits cannot be treated as independent, random, and uniform in this game, so it is crucial to control them in the MAC key. The steps are as follows:
- We use the KEM, IDKEM, and MAC algorithms to initialize adversary with key , providing valid responses for all queries made by . interacts with in the same way as a legitimate challenger would, until issues its challenge by selecting as the target identity. We let be the corresponding public key associated with this identity;
- We use the IDKEM and KEM algorithms to generate an encapsulation for the identity while also obtaining the secret produced by IDKEM and the encapsulation ;
- Return
- Finalization: continues interacting with to attempt to produce a forgery. It follows the steps below:
- Sends as challenge to . Here, is the encapsulation previously generated for , is the tag returned by the challenger, and is a random and uniformly chosen value;
- Continues using the KEM, IDKEM, and MAC algorithms to generate valid and consistent responses for all the queries made by , provided that no decapsulation query involving is sent;
- If a decapsulation query involving and a given tag is received, it uses the procedure to check the validity of the tag. If the tag is rejected, ⊥ is returned as response. Otherwise, halts and submits the tag as a successful forgery.
Appendix B
- Initialization: Adversary is initialized with the security parameter and a computational Diffie–Hellman instance , where its objective is to compute .To simulate the bijective random oracle , initializes several lists:
- -
- : stores tuples with and for forward queries;
- -
- : stores tuples for backward queries;
- -
- : stores values for consistent decapsulation responses;
- -
- : stores oracle query responses;
- -
- : stores ECDSA signatures.
Additionally, samples Q distinct values from set B (expected number of queries to the random oracle) and initializes a counter to track queries.Finally, initializes adversary , providing it with randomness , the security parameter , and the public key . - Bijective Random Oracle Query: When adversary queries , first checks if or if . If such a tuple exists, it returns . Otherwise, it increments the counter t, stores in , and responds with ;
- Backward Bijective Random Oracle Query: When adversary queries , checks if exists in either or . If not, it selects a random , ensuring is not already in or . If lies within the range of , samples a random and sets . It then stores in and responds with .
- KEM Random Oracle Query: When adversary sends a query requesting the KEM random oracle output for message , we proceed as follows:
- If , is returned as a response;
- is attempted to parse as three elliptic curve points from the group G. If parsing fails, a random value is sampled uniformly from the oracle range, store in OracleList and is returned as the response;
- are allowed to be the three elliptic curve points parsed from . If or if is not a valid Diffie–Hellman tuple, a random value is sampled uniformly from the oracle range, is stored in OracleList, and is returned as the response;
- If is a valid Diffie–Hellman tuple and , it is determined whether . If this holds, then , and a solutionis found to the computational Diffie–Hellman problem. If , it is checked whether there is a tuple in DecapsList. If such a tuple exists, is returned as the response. If no response is produced, a random value is sampled uniformly from the oracle range, is stored in OracleList, and also is stored in DecapsList to remember that is the correct decapsulation value for when using the public key . Finally, is returned as the response.
- Signing Query: When adversary sends a signing query with message , adversary can simulate a valid signature, even without knowledge of the secret key, as follows. First, it selects a value uniformly at random from the bijective random oracle range B. If (which occurs with negligible probability), is unable to produce a consistent signature and halts. Otherwise, samples a random value and computesNext, it computes and checks whether either or already appears in some tuple in . If either does, fails to simulate a consistent bijective random oracle and halts. Otherwise, it stores in and returns the signature in response to the query.If an invalid value is generated when creating the signature (e.g., or ), can attempt the process again, as in standard signature generation. All messages and signatures generated through this query are stored in the list ;
- Challenge: To generate the challenge, adversary constructs the KEM challenge by selecting as the ciphertext c. The correct secret should be the output of the random oracle for the input . However, since does not know the value of , it instead selects a value k uniformly at random from the oracle range and sends as the challenge.Since the secret k is chosen randomly and independently of the ciphertext, this behavior is indistinguishable from that of Game 1, where the secret is also chosen at random.
- Decapsulation Query: When adversary queries the decapsulation of some ciphertext , adversary checks if a corresponding tuple exists in the . If such a tuple is found, it returns the value as the response. Otherwise, selects a value k uniformly at random from the range of the random oracle, stores in the , and returns as the response.
- Finalization: After all queries are processed, we assume that adversary produces a bit as output, attempting to distinguish whether it was in Game 0 or Game 1, as well as a potential forgery for the ECDSA signature.
- Adversary produces a forgery by finding a collision in the hash function;
- In the final equation, an adversary could produce values such that .
References
- Rescorla, E. The Transport Layer Security (TLS) Protocol Version 1.3; RFC 8446; RFC Editor. 2018. Available online: https://www.rfc-editor.org/rfc/rfc8446.txt (accessed on 11 July 2024).
- Shor, P.W. Algorithms for quantum computation: Discrete logarithms and factoring. In Proceedings of the 35th Annual Symposium on Foundations of Computer Science, Santa Fe, NM, USA, 20–22 November 1994; pp. 124–134. [Google Scholar] [CrossRef]
- Alagic, G.; Alperin-Sheriff, J.; Apon, D.; Cooper, D.; Dang, Q.; Kelsey, J.; Liu, Y.K.; Miller, C.; Moody, D.; Peralta, R.; et al. Status report on the second round of the NIST post-quantum cryptography standardization process. US Dep. Commer. NIST 2020, 2, 69. [Google Scholar]
- Paquin, C.; Stebila, D.; Tamvada, G. Benchmarking post-quantum cryptography in TLS. In Proceedings of the Post-Quantum Cryptography: 11th International Conference, PQCrypto 2020, Paris, France, 15–17 April 2020; Proceedings 11. Springer: Berlin/Heidelberg, Germany, 2020; pp. 72–91. [Google Scholar] [CrossRef]
- Sikeridis, D.; Kampanakis, P.; Devetsikiotis, M. Assessing the overhead of post-quantum cryptography in TLS 1.3 and SSH. In Proceedings of the 16th International Conference on Emerging Networking Experiments and Technologies, Barcelona, Spain, 1–4 December 2020; pp. 149–156. [Google Scholar] [CrossRef]
- Schwabe, P.; Stebila, D.; Wiggers, T. Post-quantum TLS without handshake signatures. In Proceedings of the 2020 ACM SIGSAC Conference on Computer and Communications Security, New York, NY, USA, 9–13 November 2020; pp. 1461–1480. [Google Scholar] [CrossRef]
- Gonzalez, R.; Wiggers, T. KEMTLS vs. post-quantum TLS: Performance on embedded systems. In Proceedings of the International Conference on Security, Privacy, and Applied Cryptography Engineering, Jaipur, India, 9–12 December 2022; Springer: Berlin/Heidelberg, Germany, 2022; pp. 99–117. [Google Scholar] [CrossRef]
- Giron, A.A.; do Nascimento, J.P.A.; Custódio, R.; Perin, L.P.; Mateu, V. Post-quantum hybrid KEMTLS performance in simulated and real network environments. In Proceedings of the International Conference on Cryptology and Information Security in Latin America, Quito, Ecuador, 3–6 October 2023; Springer: Berlin/Heidelberg, Germany, 2023; pp. 293–312. [Google Scholar] [CrossRef]
- Castryck, W.; Decru, T. An efficient key recovery attack on SIDH. In Proceedings of the Advances in Cryptology—EUROCRYPT 2023, Lyon, France, 23–27 April 2023; Springer: Berlin/Heidelberg, Germany, 2023; pp. 423–447. [Google Scholar] [CrossRef]
- Jao, D.; Azarderakhsh, R.; Campagnam, M.; Costello, C.; De Feo, L.; Hess, B.; Hutchinson, A.; Jalali, A.; Karabina, K.; Koziel, B.; et al. SIKE-Supersingular Isogeny Key Encapsulation. 2021. Available online: https://sike.org/ (accessed on 19 June 2024).
- Open Quantunm Safe Project. Repository with Liboqs Library. 2024. Available online: https://github.com/open-quantum-safe/liboqs (accessed on 1 August 2024).
- Barker, E.; Chen, L.; Davis, R. Recommendation for key-derivation methods in key-establishment schemes. NIST Spec. Publ. 2018, 800, 56C. [Google Scholar]
- Stebila, D.; Fluhrer, S.; Gueron, S. Hybrid Key Exchange in TLS 1.3. IETF Draft 2020. Available online: https://www.ietf.org/proceedings/105/slides/slides-105-tls-sessa-hybrid-key-exchange-in-tls-13-00.pdf (accessed on 1 August 2024).
- Paul, S.; Kuzovkova, Y.; Lahr, N.; Niederhagen, R. Mixed certificate chains for the transition to post-quantum authentication in TLS 1.3. In Proceedings of the 2022 ACM on Asia Conference on Computer and Communications Security, Nagasaki, Japan, 30 May–3 June 2022; pp. 727–740. [Google Scholar] [CrossRef]
- Alnahawi, N.; Müller, J.; Oupickỳ, J.; Wiesmaier, A. A Comprehensive Survey on Post-Quantum TLS. IACR Commun. Cryptol. 2024, 1. [Google Scholar] [CrossRef]
- Scott, M. On TLS for the Internet of Things, in a Post Quantum World. Cryptology ePrint Archive, Paper 2023/095. 2023. Available online: https://eprint.iacr.org/2023/095 (accessed on 1 August 2024).
- Ducas, L.; Lyubashevsky, V.; Prest, T. Efficient identity-based encryption over NTRU lattices. In Proceedings of the International Conference on the Theory and Application of Cryptology and Information Security, Kaoshiung, Taiwan, 7–11 December 2014; Springer: Berlin/Heidelberg, Germany, 2014; pp. 22–41. [Google Scholar] [CrossRef]
- Barnes, R.; Bhargavan, K.; Lipp, B.; Wood, C.A. Hybrid Public Key Encryption; RFC 9180; RFC Editor. 2022. Available online: https://www.rfc-editor.org/rfc/rfc9180.txt (accessed on 1 July 2024).
- Goldwasser, S.; Micali, S.; Rivest, R.L. A digital signature scheme secure against adaptive chosen-message attacks. SIAM J. Comput. 1988, 17, 281–308. [Google Scholar] [CrossRef]
- Bindel, N.; Brendel, J.; Fischlin, M.; Goncalves, B.; Stebila, D. Hybrid key encapsulation mechanisms and authenticated key exchange. In Proceedings of the Post-Quantum Cryptography: 10th International Conference (PQCrypto 2019), Chongqing, China, 8–10 May 2019; Revised Selected Papers 10. Springer: Berlin/Heidelberg, Germany, 2019; pp. 206–226. [Google Scholar] [CrossRef]
- Giacon, F.; Heuer, F.; Poettering, B. KEM combiners. In Proceedings of the Public-Key Cryptography—PKC 2018: 21st IACR International Conference on Practice and Theory of Public-Key Cryptography, Rio de Janeiro, Brazil, 25–29 March 2018; Proceedings, Part I 21. Springer: Berlin/Heidelberg, Germany, 2018; pp. 190–218. [Google Scholar] [CrossRef]
- Banerjee, U.; Chandrakasan, A.P. Efficient Post-Quantum TLS Handshakes using Identity-Based Key Exchange from Lattices. In Proceedings of the ICC 2020—2020 IEEE International Conference on Communications (ICC), Virtual Event, 7–11 June 2020; pp. 1–6. [Google Scholar] [CrossRef]
- Güneysu, T.; Oder, T. Towards lightweight identity-based encryption for the post-quantum-secure Internet of Things. In Proceedings of the 2017 18th International Symposium on Quality Electronic Design (ISQED), Santa Clara, CA, USA, 14–15 March 2017; pp. 319–324. [Google Scholar] [CrossRef]
- Bellare, M.; Boldyreva, A.; Micali, S. Public-key encryption in a multi-user setting: Security proofs and improvements. In Proceedings of the Advances in Cryptology—EUROCRYPT 2000: International Conference on the Theory and Application of Cryptographic Techniques, Bruges, Belgium, 14–18 May 2000; Proceedings 19. Springer: Berlin/Heidelberg, Germany, 2000; pp. 259–274. [Google Scholar] [CrossRef]
- Hartmann, D.; Kiltz, E. Limits in the provable security of ECDSA signatures. In Proceedings of the Theory of Cryptography Conference, Taipei, Taiwan, 29 November–2 December 2023; Springer: Berlin/Heidelberg, Germany, 2023; pp. 279–309. [Google Scholar] [CrossRef]
- Fersch, M.; Kiltz, E.; Poettering, B. On the provable security of (EC) DSA signatures. In Proceedings of the 2016 ACM SIGSAC Conference on Computer and Communications Security, Vienna, Austria, 24–28 October 2016; pp. 1651–1662. [Google Scholar] [CrossRef]
- Brown, D.R. Generic groups, collision resistance, and ECDSA. Des. Codes Cryptogr. 2005, 35, 119–152. [Google Scholar] [CrossRef]
- Groth, J.; Shoup, V. On the security of ECDSA with additive key derivation and presignatures. In Proceedings of the Annual International Conference on the Theory and Applications of Cryptographic Techniques, Trondheim, Norway, 30 May–3 June 2022; Springer: Berlin/Heidelberg, Germany, 2022; pp. 365–396. [Google Scholar] [CrossRef]
- Fersch, M.; Kiltz, E.; Poettering, B. On the one-per-message unforgeability of (EC) DSA and its variants. In Proceedings of the Theory of Cryptography: 15th International Conference, TCC 2017, Baltimore, MD, USA, 12–15 November 2017; Proceedings, Part II 15. Springer: Berlin/Heidelberg, Germany, 2017; pp. 519–534. [Google Scholar] [CrossRef]
- Chen, Z.; Liu, B.; Zheng, Y. The SM2 Cryptographic Algorithm. In Technical Report GM/T 0003-2012; Chinese State Cryptography Administration: Beijing, China, 2013. [Google Scholar]
- Dolmatov, V. (Ed.) GOST 28147-89: Encryption, Decryption, and Message Authentication Code (MAC) Algorithms; RFC 5830; RFC Editor. 2010. Available online: https://www.rfc-editor.org/errata/eid2094 (accessed on 11 July 2024).
- Güneysu, T.; Hodges, P.; Land, G.; Ounsworth, M.; Stebila, D.; Zaverucha, G. Proof-of-possession for KEM certificates using verifiable generation. In Proceedings of the 2022 ACM SIGSAC Conference on Computer and Communications Security, Los Angeles, CA, USA, 7–11 November 2022; pp. 1337–1351. [Google Scholar] [CrossRef]
- Celi, S.; Faz-Hernández, A.; Sullivan, N.; Tamvada, G.; Valenta, L.; Wiggers, T.; Westerbaan, B.; Wood, C.A. Implementing and measuring KEMTLS. In Proceedings of the Progress in Cryptology—LATINCRYPT 2021: 7th International Conference on Cryptology and Information Security in Latin America, Bogotá, Colombia, 6–8 October 2021; Proceedings. Springer: Berlin/Heidelberg, Germany, 2021; pp. 88–107. [Google Scholar] [CrossRef]
- Cloudflare. CIRCL: Cloudflare Interoperable Reusable Cryptographic Library. 2024. Available online: https://github.com/cloudflare/circl (accessed on 1 October 2024).
- Avanzi, R.; Bos, J.; Ducas, L.; Kiltz, E.; Lepoint, T.; Lyubashevsky, V.; Schanck, J.M.; Schwabe, P.; Seiler, G.; Stehlé, D. CRYSTALS-Kyber algorithm specifications and supporting documentation. NIST PQC Round 2019, 2, 1–43. [Google Scholar]
- The Go Authors. The Go Programming Language. 2024. Available online: https://go.dev/ (accessed on 1 July 2024).
- Schwabe, P.; Stebila, D.; Wiggers, T. More efficient post-quantum KEMTLS with pre-distributed public keys. In Proceedings of the Computer Security—ESORICS 2021: 26th European Symposium on Research in Computer Security, Darmstadt, Germany, 4–8 October 2021; Proceedings, Part I 26. Springer: Berlin/Heidelberg, Germany, 2021; pp. 3–22. [Google Scholar] [CrossRef]
- Hemminger, S. Network emulation with NetEm. In Proceedings of the Linux conf au, Canberra, Australia, 18–23 April 2005; Volume 5, p. 8. [Google Scholar]
- Ducas, L.; Kiltz, E.; Lepoint, T.; Lyubashevsky, V.; Schwabe, P.; Seiler, G.; Stehlé, D. Crystals-dilithium: A lattice-based digital signature scheme. IACR Trans. Cryptogr. Hardw. Embed. Syst. 2018, 2018, 238–268. [Google Scholar] [CrossRef]
- Astrizi, T.L. Repository with the Tests and Source Code. 2024. Available online: https://github.com/thiagoharry/go-kemtls (accessed on 19 August 2024).









| Protocol | ClientHello | ServerHello | ClientKeyExchange | Total |
|---|---|---|---|---|
| TLS 1.3 | 385 | 2325 | - | 2746 |
| KEMTLS-IBE-PDK | 5291 | 974 | - | 6301 |
| KEMTLS-IBE | 1179 | 2979 | 4109 | 8303 |
| KEMTLS-IBE-MPK | 1179 | 6639 | 4109 | 11,963 |
| Delay | TLS 1.3 | KEMTLS-IBE-PDK | KEMTLS-IBE | KEMTLS-IBE-MPK | ||||||||
|---|---|---|---|---|---|---|---|---|---|---|---|---|
| Handshake Time | Handshake Time | Handshake Time | SendApp Time | Handshake Time | SendApp Time | |||||||
| Mean | St.Dev. | Mean | St.Dev. | Mean | St.Dev. | Mean | St.Dev. | Mean | St.Dev. | Mean | St.Dev. | |
| 0 | 1.32 | 0.39 | 0.23 | 0.80 | 4.25 | 0.74 | 4.84 | 0.81 | 4.40 | 0.75 | ||
| 1 | 3.36 | 0.37 | 7.19 | 0.29 | 9.21 | 1.05 | 6.68 | 0.96 | 9.35 | 1.08 | 6.83 | 0.99 |
| 5 | 12.10 | 0.98 | 15.00 | 0.24 | 27.77 | 2.00 | 16.87 | 1.83 | 27.85 | 2.07 | 17.00 | 1.89 |
| 50 | 104.08 | 1.29 | 105.16 | 0.28 | 212.92 | 0.97 | 111.47 | 0.90 | 213.20 | 1.01 | 111.74 | 0.94 |
| 150 | 304.53 | 1.32 | 305.38 | 0.26 | 614.37 | 0.75 | 312.63 | 0.73 | 614.53 | 0.57 | 312.85 | 0.55 |
| Real | 97.74 | 0.84 | 99.23 | 0.70 | 197.28 | 1.69 | 100.49 | 1.30 | 197.51 | 1.66 | 100.70 | 1.05 |
| Hybrid Algorithms | ClientHello | ServerHello | ClientKeyExchange | Total |
|---|---|---|---|---|
| DHKEM + Saber | 1379 | 11,798 | 1225 | 14,438 |
| DHKEM + Kyber | 1571 | 11,994 | 1225 | 14,826 |
| DHKEM + NTRU HPS | 1317 | 11,581 | 1067 | 14,001 |
| DHKEM + NTRU-HRSS | 1525 | 11,996 | 1239 | 14,832 |
| KEMTLS-IBE | 1595 | 10,781 | 4109 | 16,596 |
| KEMTLS-IBE-MPK | 1595 | 14,384 | 4109 | 20,124 |
| Latency | DHKEM + Saber | DHKEM + Kyber | DHKEM + NTRU-HPS | DHKEM + NTRU-HRSS | KEMTLS-IBE | KEMTLS-IBE-MPK | ||||||
|---|---|---|---|---|---|---|---|---|---|---|---|---|
| Mean | St.Dev. | Mean | St.Dev. | Mean | St.Dev. | Mean | St.Dev. | Mean | St.Dev. | Mean | St.Dev. | |
| 0 | 24.43 | 3.60 | 24.39 | 3.47 | 24.60 | 3.65 | 24.55 | 3.65 | 15.47 | 2.48 | 15.18 | 2.45 |
| 1 | 29.76 | 3.47 | 29.68 | 3.06 | 29.73 | 3.47 | 29.68 | 2.81 | 21.46 | 3.68 | 21.56 | 3.50 |
| 5 | 46.17 | 3.14 | 45.72 | 2.82 | 46.14 | 2.96 | 45.94 | 2.89 | 47.70 | 4.38 | 47.67 | 4.25 |
| 50 | 227.24 | 2.76 | 227.24 | 3.06 | 228.06 | 4.39 | 227.39 | 2.88 | 234.61 | 3.53 | 235.06 | 3.39 |
| 150 | 627.14 | 2.38 | 626.96 | 2.43 | 627.41 | 2.65 | 627.22 | 2.48 | 628.82 | 5.32 | 627.38 | 4.34 |
| Real | 217.99 | 2.85 | 217.96 | 3.11 | 219.00 | 2.81 | 218.38 | 3.10 | 214.32 | 2.58 | 309.44 | 3.18 |
| Hybrid Algorithms | ClientHello | ServerHello | Total |
|---|---|---|---|
| DHKEM + Saber (PDK) | 2601 | 1331 | 3963 |
| DHKEM + Kyber (PDK) | 2793 | 1326 | 4185 |
| DHKEM + NTRU HPS (PDK) | 2381 | 1168 | 3585 |
| DHKEM + NTRU-HRSS (PDK) | 2797 | 1376 | 4209 |
| KEMTLS-IBE-PDK | 5707 | 1331 | 7033 |
| Latency | Saber (PDK) | Kyber (PDK) | NTRU-HPS (PDK) | NTRU-HRSS (PDK) | KEMTLS-IBE-PDK | |||||
|---|---|---|---|---|---|---|---|---|---|---|
| Mean | St.Dev. | Mean | St.Dev. | Mean | St.Dev. | Mean | St.Dev. | Mean | St.Dev. | |
| 0 | 22.55 | 3.18 | 22.13 | 2.91 | 22.38 | 3.08 | 22.60 | 3.20 | 15.26 | 2.47 |
| 1 | 25.26 | 3.13 | 25.67 | 3.14 | 25.48 | 3.09 | 25.72 | 3.25 | 22.66 | 4.88 |
| 5 | 34.82 | 2.92 | 35.19 | 2.87 | 35.20 | 2.95 | 35.44 | 2.94 | 40.26 | 4.66 |
| 50 | 128.64 | 4.03 | 128.55 | 4.21 | 128.87 | 4.25 | 129.37 | 4.23 | 127.19 | 4.79 |
| 150 | 326.82 | 2.63 | 326.40 | 2.26 | 326.95 | 2.35 | 327.06 | 2.56 | 323.71 | 1.79 |
| Real | 121.29 | 3.15 | 121.14 | 2.96 | 120.93 | 2.86 | 121.10 | 2.94 | 118.27 | 2.84 |
Disclaimer/Publisher’s Note: The statements, opinions and data contained in all publications are solely those of the individual author(s) and contributor(s) and not of MDPI and/or the editor(s). MDPI and/or the editor(s) disclaim responsibility for any injury to people or property resulting from any ideas, methods, instructions or products referred to in the content. |
© 2024 by the authors. Licensee MDPI, Basel, Switzerland. This article is an open access article distributed under the terms and conditions of the Creative Commons Attribution (CC BY) license (https://creativecommons.org/licenses/by/4.0/).
Share and Cite
Astrizi , T.L.; Custódio , R. Seamless Transition to Post-Quantum TLS 1.3: A Hybrid Approach Using Identity-Based Encryption. Sensors 2024, 24, 7300. https://doi.org/10.3390/s24227300
Astrizi TL, Custódio R. Seamless Transition to Post-Quantum TLS 1.3: A Hybrid Approach Using Identity-Based Encryption. Sensors. 2024; 24(22):7300. https://doi.org/10.3390/s24227300
Chicago/Turabian StyleAstrizi , Thiago Leucz, and Ricardo Custódio . 2024. "Seamless Transition to Post-Quantum TLS 1.3: A Hybrid Approach Using Identity-Based Encryption" Sensors 24, no. 22: 7300. https://doi.org/10.3390/s24227300
APA StyleAstrizi , T. L., & Custódio , R. (2024). Seamless Transition to Post-Quantum TLS 1.3: A Hybrid Approach Using Identity-Based Encryption. Sensors, 24(22), 7300. https://doi.org/10.3390/s24227300

