Next Article in Journal
Method for Extracting Optical Element Information Using Optical Coherence Tomography
Previous Article in Journal
Speed of Light in Hollow-Core Photonic Bandgap Fiber Approaching That in Vacuum
 
 
Font Type:
Arial Georgia Verdana
Font Size:
Aa Aa Aa
Line Spacing:
Column Width:
Background:
Article

MS-YOLO: A Lightweight and High-Precision YOLO Model for Drowning Detection

1
School of Automation, Shenyang Aerospace University, Shenyang 110136, China
2
State Key Laboratory of Robotics, Shenyang Institute of Automation, Chinese Academy of Sciences, Beijing 100045, China
*
Author to whom correspondence should be addressed.
These authors contributed equally to this work.
Sensors 2024, 24(21), 6955; https://doi.org/10.3390/s24216955
Submission received: 27 September 2024 / Revised: 23 October 2024 / Accepted: 25 October 2024 / Published: 30 October 2024

Abstract

A novel detection model, MS-YOLO, is developed in this paper to improve the efficiency of drowning rescue operations. The model is lightweight, high in precision, and applicable for intelligent hardware platforms. Firstly, the MD-C2F structure is built to capture the subtle movements and posture changes in various aquatic environments, with a light weight achieved by introducing dynamic convolution (DcConv). To make the model perform better in small object detection, the EMA mechanism is incorporated into the MD-C2F. Secondly, the MSI-SPPF module is constructed to improve the performance in identifying the features of different scales and the understanding of complex backgrounds. Finally, the ConCat single-channel fusion is replaced by BiFPN weighted channel fusion to retain more feature information and remove the irrelevant information in drowning features. Relative to the Faster R-CNN, SSD, YOLOv6, YOLOv9, and YOLOv10, the MS-YOLO achieves an average accuracy of 86.4% in detection on a self-built dataset at an ultra-low computational cost of 7.3 GFLOPs.

1. Introduction

As a major global public health issue, drowning leads to approximately 236,000 deaths annually, ranking as the third leading cause of unintentional injury-related deaths worldwide [1]. In order to reduce the number of deaths, it is essential to detect drowning incidents in a rapid and accurate way. In the past, the practice of drowning detection was completely reliant on manual observation due to technical reasons. However, there are limitations faced by manual observation, such as the restricted field of view, fatigue, and reduced attention over time. Consequently, there is a heightened possibility of missed or false alarms, by which the safety of swimmers and potential drowning victims is compromised [2,3,4].
As technology advances, video surveillance and wearable multi-sensor technology have been playing a critical role in the practice of drowning detection and rescue. Salehi et al. devised a method in which drowning is detected through HSV color space analysis [5]. However, the method shows sensitivity to lighting changes, which results in false or missed detection. Jalalifar et al. proposed a wearable self-rescue alarm system for children, which can be used to detect drowning early by monitoring heart rate, water depth, and immersion time [6]. Despite its advantages, there remain challenges in the use of acoustic signals in wearable devices, such as underwater multipath propagation, the reduced effectiveness of transmission, and the delay to detection [7]. Therefore, it is imperative to develop a more efficient and reliable system for autonomous drowning detection.
Nowadays, the rapid development of deep learning technology has contributed a novel and effective solution for automatic drowning detection which addresses the downsides of manual observation, wearable multi-sensor systems, and video surveillance technologies. Deep learning and video analysis technologies can be applied to develop an efficient drowning rescue solution. The model extracts features from the real-time video data captured by cameras to identify any potential abnormal behavior through time-series analysis. Once an anomaly is detected, the video analysis features are compared with the predefined drowning behavior characteristics, to issue alerts or trigger rescue operations in real time. This enables automatic monitoring and early warning, for more comprehensive and time-efficient drowning detection. Developed by Liu et al., the embedded AI device incorporates a camera and a waterproof casing to capture and analyze underwater video streams for detection of drowning incidents. Despite the effectiveness in reducing the impact of complex surface environments, it remains susceptible to interference from water quality, light obstructions, and open-water environments [8]. Kharrat et al. proposed neural networks with the ability to distinguish between drowning and standard swimming patterns [9]. However, the neural networks fall short of the expectations for performance in various complex environments, such as crowded pools, which necessitates improvement. Claesson et al. adopted online machine-learning algorithms to identify drowning victims [10]. Despite its effectiveness in open water, this approach compromises the speed of detection, which is deemed crucial for real-time monitoring. Alotaibi et al. proposed to detect and classify drowning by integrating the Internet of Things with transfer learning techniques [11]. Nevertheless, in practice, there may be considerable diversity in drowning situations and environments, and the possibility that transfer learning models are insufficient in generalization ability.
For high-accuracy and real-time performance in real-world rescue operations, it is necessary to ensure the light weight, accuracy, and generalization ability of drowning detection algorithms. Despite the high accuracy achieved by such two-stage algorithms as the R-CNN [12,13,14], SPP-Net [15], Fast R-CNN [16,17], and Faster R-CNN [18,19,20], real-time performance is requisite. To solve this issue, the one-stage algorithms represented by the SSD [21,22,23] and YOLO [24,25,26,27] can be applied. However, the SSD fails in balancing accuracy with speed. The YOLO series can achieve balance between efficient detection and high accuracy as it relies on iteration to enhance performance. Jensen et al. adopted YOLOv2 to detect drowning in pools [28]. In subsequent studies, improved systems were developed on the basis of YOLOv4 and YOLOv5 [29,30]. However, these models lag behind the latest technology and there is a decline in their research value.
In the present study, a novel algorithm named MS-YOLO is presented on the basis of the latest YOLOv8. By testing this algorithm on a custom dataset, results are obtained that indicate a significant improvement achieved by the MS-YOLO in detection accuracy and weight. The accuracy of the model reaches 86.4% at the model size of 7.3 GFLOPs. The main contributions of this paper are outlined as follows:
  • To capture the subtle movements and posture changes in various aquatic environments while enhancing the identification of drowning behavior, a self-designed dual-residual MD-C2F module is put forward. Through the combination with dynamic convolution (DcConv), model complexity is lowered. By integrating multi-scale attention (EMA), the MDE-C2F module improves the outcome of small object detection in complex environments.
  • A novel spatial pyramid structure (MSI-SPPF) based on SPPF is developed to enable the model to better understand the relationship between various aquatic backgrounds and drowning targets while reducing the false and missed detection caused by environmental factors.
  • To remove the irrelevant drowning features while emphasizing the critical characteristics, the feature fusion algorithm is improved using a bi-directional feature pyramid network (BiFPN).

2. Datasets

Allowing for the lack of publicly available datasets focusing on drowning incidents, a custom dataset was developed in this study by simulating drowning scenarios to evaluate how the MS-YOLO algorithm performs. In 2020, Carballo-Fazanes et al. published a study on drowning behaviors, with three primary manifestations of drowning identified: Instinctive Drowning Response (IDR), Climbing Ladder Motion, and Backward Stroke. Referred to as the involuntary actions of individuals, the Instinctive Drowning Response is characterized by the individual extending their arms laterally and pressing down on the water’s surface to breathe. The Climbing Ladder Motion is used to describe the efforts made by a drowning person to keep their head above water by performing ladder-climbing-like motions with their arms. The Backward Stroke involves vigorous splashing and arm rotations [31]. This dataset was constructed around these three manifestations to ensure accuracy and validity.
To simulate the scenarios of drowning while ensuring the diversity of the dataset, four volunteers with different figures, including slim, average, and strong, were recruited to reveal the variation in underwater movements between different figures. Prior to data collection, the volunteers were trained to ensure data quality. By referring to the aforementioned drowning behavior studies, three typical drowning behaviors were simulated to ensure the reliability of the drowning data in the dataset: Instinctive Drowning Response, ladder climbing action, and back-paddling.
In addition, an indoor swimming pool was selected for data collection. Under normal illumination and water conditions, the body movements and facial expressions of the drowning individuals are more easily identifiable. Due to the diverse backgrounds in the pool, with other swimmers engaging in backstroke, breaststroke, freestyle, water treading, and other playful movements, the diversity of dataset was enriched to better simulate the complex scenarios in the real world. Because of such diverse data, not only were drowning behaviors included in the custom-built dataset as positive samples, but other safe behaviors were also included as negative samples, which improved the regularization performance during model training. Furthermore, data were collected from three different perspectives, aerial, shore, and water-level views, thus enriching the data collected to comprise the dataset with varying intensities of lighting as much as possible. This was conducive to the simulation of drowning in different scenarios such as in daylight, at nighttime, under insufficient lighting, and with reflection on the water surface. See Figure 1.
For this paper, the dataset was captured using cameras and annotated with a labeling tool. Six thousand five hundred and ninety-four images were collected and divided on a random basis into training (5149 images) and validation sets (1445 images) at an 8:2 ratio. The images were classed into two categories: drowning and non-drowning. These annotated images were used for experimental analysis. Figure 2 shows the annotations and visualizations of the experiment results. In this figure, each matrix cell represents the labels used during model training, with the correlation between labels indicated by the intensity of the color. Darker cells indicate more robust learning of label correlations by the model, while lighter cells represent weaker correlations. Figure 2a displays a histogram of the number of samples per class. Figure 2b illustrates the lengths and widths of bounding boxes when the x and y values of all labels are set to the same position. Figure 2c depicts the distribution of x and y coordinates for the labels in the images. Figure 2d shows the aspect ratio of bounding box widths to heights. Figure 2e provides a detailed view of the label distribution within the original dataset. According to the analytical results, there was an uneven distribution of drowning incidents in the custom dataset. Meanwhile, the applicability of this method to drowning detection scenarios was confirmed by the precise positioning of the bounding boxes.

3. Methods

3.1. YOLOv8 Improved Model

Herein, a novel algorithm is introduced. Named MS-YOLO, it is based on the YOLOv8 model constructed by Ultralytics. According to Figure 3a, the YOLOv8 model comprises four main components: the input module, backbone structure, Neck structure, and Head structure. The input module deals with adaptive image scaling, dimensional adjustments, and Mosaic data augmentation. Involving C2F and SPPF structures, the backbone module enhances gradient flow while enabling multi-scale feature integration. By incorporating a FPN and PAN, the Neck structure improves the outcome of feature fusion. The Head enhances performance through a decoupled head structure.
Despite the compact design and fast inference capabilities of YOLOv8, its performance remains unsatisfactory under complex scenarios. It performs poorly in the presence of inconsistent or overlapping object scales, producing unsatisfactory results. As shown in Figure 3b, the MS-YOLO model introduces new components to address this problem, including MD-C2F and MDE-C2F modules. Therefore, the outcome of feature extraction is enhanced, particularly for the detection of drowning behaviors and small objects. Moreover, the newly designed multi-scale spatial pyramid fusion module (MSI-SPPF) is involved to differentiate drowning behaviors from the background. With the BiFPN module in place, performance is improved by removing the irrelevant information via weighted feature fusion. Because of these enhancements, there is a significant increase in the overall accuracy of the model.

3.2. A Novel C2F Architecture

3.2.1. MD-C2F

Actually, there are some tough challenges presented by drowning detection in practice. The changes in image angles often lead to water surface reflections, as a result of which the visibility of a drowning individual is obscured. Additionally, there are variations in drowning behaviors and characteristics between different aquatic environments.
Therefore, the detection algorithm must be applicable to capturing subtle movements and postures in different underwater environments and identifying drowning incidents accurately against complex backgrounds. To address the occurrence of occlusion and the complexity in backgrounds, Kerdvibulvech proposed a solution that combines an extended particle filter with a deterministic clustering algorithm. It can be relied on to identify hand movements in real time and accurately track fingertips even against complex backgrounds and at varying intensities of lighting [32]. Inspired by it, dynamic convolution (DcConv) is incorporated into the design of the MD-C2F module, which allows the real-time updating of features within the bottleneck structure to cope with environmental uncertainties.
To overcome these challenges, a novel MD-C2F module is developed in this paper. Distinct from conventional C2F structures, the MD-C2F combines dynamic convolution (DcConv) within its bottleneck architecture, which enables the model to perform better in feature extraction while reducing computational complexity significantly. In addition, the bottleneck residual structure and the top-down processing approach of the C2F module are refined. Thus, the model is more capable of extracting and representing multi-level features, which leads to a higher accuracy in the detection of drowning behaviors in different environments.
The MD-C2F structure is illustrated in Figure 4. Dissimilar from the continuous residual structure of C2F structures, the MD-C2F groups input data, concatenating the output of the first DCFormer processing chain with the input of the second DCFormer processing chain. Then, the outputs of all DCFormer processing chains are concatenated. Under this architecture, the features are efficiently integrated and transmitted through multi-level convolution operations, which significantly improves the depth and breadth of feature extraction. Equations (1) and (2) illustrate the case where n = 2.
The calculation process of the MD-C2F structure is expressed as follows:
Y 1 , Y 2 = C h u n k ( C o n v ( X ) , 2 ) Y 1 = D C F o r m e r ( Y 1 ) Y 2 = D C F o r m e r ( C a t ( Y 1 , Y 2 ) )
Y = C o n v ( C a t ( Y 1 , Y 2 ) )
where two groups of data are obtained by splitting the input. “Chunk” refers to the operation of splitting the tensor, “Conv” denotes the convolution operation, “Cat” represents the feature concatenation operation, and Y stands for the final output of the module.
As an efficient component of convolutional neural networks, the DCFormer module consists of four DcConv layers and two standard convolutional layers. These layers are connected by a dual-layer residual structure. For each DcConv layer, the optimal convolutional kernel is selected in a flexible way, which enhances the efficiency and accuracy in feature extraction. The channels are adjusted by the standard convolutional layers. In comparison to the single residual structure in the bottleneck, the dual-layer connection is deepened and the process of feature extraction is refined.
As an innovative neural network unit, DcConv combines dynamic convolution, batch normalization, and activation functions. Additionally, it relies on adaptive average pooling to reduce dimensionality. DcConv selects kernels constantly based on weights. In this way, the convolutional operations are undertaken to make automatic adjustment, which improves the precision and flexibility in feature extraction.
The computational process of DCFormer is described as follows:
F 1 = D c C o n v ( C o n v ( D c C o n v ( X ) ) ) F 2 = X + F 1 Y = F 2 + D c C o n v ( C o n v ( D c C o n v ( F 2 ) ) )
P = F l a t t e n ( A d a p t i v e A v g P o o l 2 d ( X , 1 ) ) R = σ ( P · W r + b r ) V = e = 1 E R e · ( X W e ) O = σ ( B a t c h N o r m 2 d ( V ) )
where X represents the input feature information; “Flatten” denotes the dimensionality reduction operation; “AdaptiveAvgPool” refers to the adaptive average pooling operation; R represents the expert weights for each sample; Wr and br denote the weights and biases of the fully connected layer, respectively; Re indicates the weight of the e expert; We represents the convolutional kernel of the e expert; * denotes the convolution operation; V indicates the output obtained through dynamic convolution, which represents the Sigmoid activation function; “BatchNorm2d” refers to the batch normalization operation; and O represents the output of the DcConv.

3.2.2. MDE-C2F

A significant breakthrough in computational methods is to introduce attention mechanisms. Because of their high efficiency, they are regarded as an effective solution for small object detection [33]. In the context of drowning detection, the limitations on viewing angle cause the difficulty in recognizing small objects. Ouyang et al. put forward the efficient multi-scale attention (EMA) module [34,35]. On this basis, the MD-C2F model is further improved. With the EMA module incorporated into the DCFormer, the MDE-C2F model is developed. Due to this enhancement, the lightweight nature of the model is maintained. Meanwhile, it performs significantly better in detecting small objects.
As an attention mechanism, the EMA module relies on channel grouping. During forward propagation, the input feature map is divided into two groups. The first group is subjected to adaptive average pooling, followed by fusion based on 1 × 1 convolution. It is then split and multiplied element-wise with the original feature map. Subsequently, group normalization is performed. The second group is also subjected to adaptive average pooling, with weights calculated using the Softmax function. Finally, the outputs of both groups are first weighted and then combined for the final output. Through channel grouping, the mechanism improves the performance in feature extraction. Moreover, feature map interaction is enhanced. This leads to an efficient attention mechanism. The pooling operation is presented as follows:
Z C H = 1 W 0 i W x C ( H , i ) Z C W = 1 H 0 j H x C ( j , W ) f = σ ( 1 H × W j H i M x C ( i , j ) )
h c ( i , j ) = x c ( i , j ) × f ( w i ) × f ( h j )
where x C represents the feature map with the input dimensions of H × W × C. Under the EMA mechanism, a pooling kernel of size H × W is used to encode the coordinates of each channel in the horizontal and vertical directions. Z C H refers to the encoding result in the horizontal direction after a fixed height (H). Similarly, Z C W indicates the encoding result in the vertical direction after a fixed width (W). f is the intermediate feature map of spatial information in the horizontal and vertical directions. × represents the weighting operation. h C refers to the weighted output of the intermediate feature map f and the input feature map x C . See Figure 5.

3.2.3. MSI-SPPF

In the context of drowning detection, what is crucial to reducing false positives and negatives lies in the relationship between the background and the target. False positives can be easily caused by reflections, ripples, or floating objects on the water surface. Additionally, it is possible that occlusion or murky conditions cause the targets in the water to be missed. Therefore, a Multi-Scale Spatial Pyramid Pooling (MSI-SPPF) structure is developed to address these issues. Apart from enhancing the understanding of complex backgrounds by the model, this structure also improves the accuracy of detection.
In the research on object recognition, the Spatial Pyramid Pooling (SPP) module and its improved versions, such as the Fast Spatial Pyramid Pooling (SPPF) [36], Atrous Spatial Pyramid Pooling (ASPP) [37], and the pooling modules combined with Cross-Stage Partial Networks SPPCSPC [38,39] and SPPFCSPC [40], have been widely used in object detection algorithms. As shown in Figure 6, the pooling layers of different sizes are used by the SPP structure to extract features. However, independent processing may result in incompleteness of the information.
Despite the connections created by the SPPF structure between pooling layers, the original feature map is not integrated. This may result in information loss, leading to false or missed detection of drowning. To solve this problem, the MSI-SPPF structure is developed. This module starts by reducing the number of channels and computational complexity through a convolutional layer. Then, the output is concatenated with the original feature map. The feature map passes through max-pooling layers, and each pooled map is concatenated with the initial feature map. Finally, all pooled feature maps are combined into a multi-scale fused feature map. Thus, feature extraction and computational efficiency are significantly enhanced. The calculation of MSI-SPPF is expressed as Equations (7) and (8).
y 1 = C o n v ( x ) y 2 = M a x ( C a t ( y 1 , x ) ) y 3 = M a x ( C a t ( y 2 , x ) ) y 4 = M a x ( C a t ( y 3 , x ) )
y o u t = C o n v ( C a t ( y 1 , y 2 , y 3 , y 4 , x ) )
where x represents the input features; “Conv” denotes the convolution operation; “Max” refers to the max-pooling operation; “Cat” indicates the feature concatenation operation; y 1 , y 2 , y 3 , y 4 refer to the output of each branch; and y o u t denotes the final output obtained.

3.2.4. BiFPN

A major challenge in drowning detection is removing the irrelevant features while highlighting critical drowning-related information. However, the model may capture unnecessary features from complex backgrounds, such as water ripples and shadows. In addition to increasing computational complexity, this also causes interference with effective feature extraction. It is proposed to resolve this issue via BiFPN weighted feature fusion with the single-channel ConCat fusion replaced.
As shown in Figure 7a–c, the BiFPN is an evolution of the FPN and PANet. The FPN extracts multi-scale features, while the PANet incorporates bottom-up path aggregation [41]. However, there is a risk of losing feature information for both structures. In response, Chiley et al. presented the BiFPN structure. Subsequent to weighting, the BiFPN module concatenates the input features, which allows the more effective integration of information from different levels. Also, feature representation is enriched. The detailed information is retained under the weighted feature fusion strategy, which improves the model in terms of detection accuracy and robustness. This process is expressed as Equation (9).
O u t = i w i I i ε + j w j
where I i denotes the input features; Out indicates the result after weighted fusion; w i and w j refer to the learnable weights; and ε = 0.0001 represents a small constant value needed for stable output.

4. Experiments and Discussion

4.1. Experimental Environment and Configuration

The experiments were conducted on a Linux platform with an NVIDIA GeForce RTX 3090 GPU and an AMD EPYC 7542 CPU as the hardware. The MS-YOLO model was implemented under the Pytorch 2.2.1 deep learning framework. The software environment included CUDA 12.1 and Python 3.9. The number of epochs for model training was set to 300, and the learning rate was set to 0.01. Below is a table showing the parameters of the experimental configuration.
For the improved reliability of the experiments, a series of tests was conducted using the original YOLOv8 model. Through repeated parameter adjustments, multiple experimental trials were performed. Finally, some key hyperparameters were standardized, with the same settings shown in Table 1 adopted for all experiments. To accelerate training, the batch size was set to 64, with an image size of 640 × 640 and a total of 300 epochs. The learning rate was set to 0.01, and SGD was taken as the optimizer. Additionally, the cache was enabled, with 16 workers configured to improve the efficiency of training, as detailed in Table 2.

4.2. Evaluation Metrics

For a thorough evaluation of how the proposed MS-YOLO model performs, the following performance metrics were adopted:
Precision: This metric reflects the performance of the model in identifying the relevant objects correctly. It is defined as the ratio of true positives to (TP) the sum of true positives and false positives (FP). The calculation formula is expressed as follows:
P = T p T P + F P × 100 %
Recall: Recall is reflective of the relationship present between the number of correctly predicted positive samples and the total number of positive samples. Below is the formula used to calculate the recall, where FN denotes the number of incorrectly predicted positive samples.
R = T P T P + F N × 100 %
Average Precision (AP): The value of average precision is equal to the area under the precision–recall curve. The calculation formula is presented as Equation (12).
A P = 0 1 P ( R ) d R
Mean Average Precision (mAP): The sum of average precision (AP) can be divided by the total number of classes (num_classes) to calculate the mean of the AP for each class (mAP). This metric of comprehensive performance is used to evaluate the model, reflecting its accuracy in identifying all categories. The method of mAP calculation is expressed as Equation (13).
m A P = 1 N i = 1 N A P i
where N represents the total number of classes, and denotes the average precision for the i class.
Aside from the aforementioned metrics of detection performance, this study also focuses on the computational complexity of the model. To assess this issue, the GFLOPs metric was introduced to thoroughly evaluate the model for its adaptability to the hardware platform.

4.3. Experimental Results and Analysis

4.3.1. Analysis of Model Training Results

Obviously, as indicated in Figure 8, 300 epochs were set during the training of the MS-YOLO model to ensure that the model could fully learn the features of the data and perform well in convergence. The loss functions of this model include Box_Loss, Cls_Loss, and DFL_Loss, all of which play a critical role in improving model performance. Among them, Box_Loss is used to measure the accuracy of bounding box predictions and indicate the degree of overlap between the predicted and ground truth boxes. Cls_Loss is used to evaluate how the model performs in classification. This is particularly significant to small object detection, and a reduction in Cls_Loss indicates overall model convergence. DFL_Loss is used to deal with the shape of complex or irregular objects, with its reduction indicating an improved model performance in processing the targets of various shapes. During the training phase, the loss functions are applied to guide the model toward the true values through weight adjustment. During the validation phase, the loss functions are used to evaluate the model performance on unseen data, for assessment of its generalization ability. Apart from indicating an improved model accuracy, the reduction in loss values also suggests that the model gradually converges during training, stabilizes, and ultimately achieves the optimal performance.
The Figure 8 shows the convergence of Box_Loss, Cls_Loss, and DFL_Loss during the training of the MS-YOLO model. Obviously, all the three loss functions exhibited a downward trend toward stable convergence during training, particularly in the first 50 epochs, where both training and validation losses converged rapidly. It is indicated that the model is effective in learning the target features in the early stage. As training progressed, the loss values stabilized, and the validation loss approached the training loss, indicating the excellent generalization performance of the model.
Comparison curves for precision, recall, and mAP@0.5 were plotted for YOLOv8n and MS-YOLO, with the gradual stabilization and improvement of each metric visualized during training. Relative to YOLOv8n, MS-YOLO performs much better in precision and recall. Additionally, it has a higher mAP@0.5 value, indicating an evident advantage of MS-YOLO in overall performance. See Figure 9.

4.3.2. Ablation Experiments

As shown in Table 3, the various improvements in the proposed MS-YOLO model were evaluated. Specifically, these included (1) the BiFPN structure, (2) the MSI-SPPF feature fusion module, and (3) the MD-C2F and MDE-C2F modules, with the EMA mechanism integrated. Based on the experimental data used in this section, clear numerical indicators are provided for evaluating the performance of each improvement in the model.
In the MS-YOLO architecture, incorporating the BiFPN structure improved the performance of the model compared to the baseline, with both precision and recall being improved. The mAP@0.5 increased to 74.2%, demonstrating the effectiveness of the BiFPN module in enhancing the feature fusion performance of the network. When the MSI-SPPF module alone was introduced, all model metrics, particularly mAP@0.5 and F1, were significantly improved, indicating the important role played by this module in efficient feature extraction and fusion. When the MD-C2F and MDE-C2F modules were introduced, the GFLOPs were reduced to 7.0, but model performance was still improved, with the mAP@0.5 reaching 79.8%. It was confirmed that the lightweight design of these modules effectively reduces computational complexity while maintaining the high accuracy of detection.
Furthermore, when the BiFPN was combined with MSI-SPPF modules, the model performed significantly better, with a 5% increase in overall mAP@0.5. This illustrates the positive role of these two modules combined in feature extraction and fusion. When the BiFPN, MSI-SPPF, MD-C2F, and MDE-C2F modules were introduced simultaneously, the model achieved the optimal performance, with mAP@0.5 reaching 86.4%, a precision of 80.9%, and a recall of 77.8%. This evidences the potential applicability of these modules in combination to improve the overall model performance. Moreover, the GFLOPs of the model were reduced to 7.3, and the inference time was only 3.86 milliseconds according to the inference test conducted on the relevant hardware platforms, which is significantly advantageous over YOLOv8. These results indicate that the model achieves a significant improvement in accuracy while satisfying the requirement of hardware platforms for real-time inference.

4.3.3. Comparison of Detection Results on the Self-Made Dataset

To evaluate the performance of MS-YOLO, tests were conducted on a self-built drowning dataset. Ablation experiments were performed to assess the importance of the MSI-SPPF, MD-C2F, MDE-C2F, and BiFPN modules, thus improving the understanding of their effect on model performance. Additionally, a comparison was drawn between the MS-YOLO model and other object detection algorithms, such as the Faster-RCNN, SSD, and the YOLO series. As indicated by the experimental results, MS-YOLO outperforms these popular algorithms in terms of accuracy.
The experimental results are shown in Table 4, where the performance of various models is compared in terms of precision, recall, mAP, F1 score, and model size. The two-stage detection model Faster-RCNN outperforms the SSD model in the accuracy of detection. However, it has a large model size which requires substantial computational power, which compromises real-time performance. The SSD model, as another single-stage detector, is outperformed by the YOLO series algorithms in model size, accuracy, and the speed of detection, which reaffirms the superiority of the YOLO series.
Regarding the YOLO series, all of them produce an excellent performance, particularly in precision and recall. YOLOv6n [42] achieves an mAP of 85.6%, illustrating a balanced performance on all metrics. However, in comparison, YOLOv9n and YOLOv10n perform slightly better in the accuracy of detection and F1 score, though the model size of YOLOv9n reaches 313.4 GFLOPs. Consequently, it is relatively more complex and less suitable for lightweight and flexible deployment.
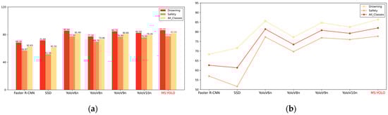
The MS-YOLO algorithm proposed in this paper significantly outperforms the existing algorithms in both the accuracy of detection and recall, with an mAP of 86.4%. It indicates a 2.6% improvement over YOLOv10 [43] and 1.6% over YOLOv9 [44], demonstrating the superior performance of the MS-YOLO model. Additionally, MS-YOLO achieves an F1 score of 82%, which further confirms its significantly improved performance in detection. Notably, the GFLOPs of the MS-YOLO model are reduced to 7.3, a 9.87% reduction compared to YOLOv8 [45]. Thus, the model becomes more lightweight while accuracy is effectively improved, which further validates the effective optimization by the MS-YOLO algorithm. See Figure 10 and Figure 11.
The prediction results were tested using five representative images. As shown in Figure 12, Faster-RCNN achieves high detection precision but is susceptible to missed detections and false positives. For instance, a single detection box in Figure 13d contains two different objects, indicating that it performs poorly in small object detection. Similar issues are encountered by the SSD model. Despite detecting most targets, YOLOv8 performs poorly in complex backgrounds, as reflected in Figure 13b. YOLOv10 performs well in various environments. However, it still performs worse than expected when compared to MS-YOLO in complex backgrounds. It also performs poorly when significant interference occurs. MS-YOLO performs much better in confidence level, with no missed or false detection. It produces an excellent outcome in small object detection, improving confidence and classification accuracy. See Figure 13.

5. Conclusions and Future Work

Herein, a novel and lightweight drowning detection model is proposed, namely MS-YOLO. By introducing the MD-C2F structure, the MDE-C2F module is developed to deal with the challenges in small object detection. Additionally, the advantages and disadvantages of SPP and SPPF are summarized, with MSI-SPPF proposed. Also, the bi-directional feature pyramid network (BiFPN) is incorporated by the model for rapid fusion and intra-channel sharing.
The results show that MS-YOLO achieves an accuracy of 86.4% in drowning detection and 77.7% in detecting safe swimming behavior. In comparison to YOLOv6, YOLOv9, and YOLOv10, the accuracy in drowning detection is improved by 0.6%, 1.2%, and 2.8%, respectively. Relative to YOLOv8, SSD, and Faster R-CNN, the accuracy increases by 8.6%, 15.4%, and 14.1%, respectively. Although YOLOv8 and YOLOv10 significantly outperform other models in computational load, MS-YOLO still reduces the load by 9.8%. MS-YOLO performs well across all metrics, which evidences its accuracy and reliability in drowning detection. Ablation experiments substantiated the advantages and effectiveness of the MS-YOLO model. According to the test results, the performance in drowning recognition is considerably improved by introducing the MD-C2F, MDE-C2F, MSI-SPPF, and BiFPN modules.
There is still room for future improvement in both the model and the custom-built dataset. The dataset used in this paper was collected indoors under normal illumination and water conditions, making it easier to identify the body movements and facial expressions of drowning individuals. However, it is necessary to take into account various unstable factors in outdoor environments, such as rainy or snowy weather, tides, and reflective ripples. Future work should focus on increasing the diversity of the dataset and deploying volunteers to collect data outdoors (e.g., at the beach, at outdoor swimming areas) with safety measures in place. Thus, the model can learn drowning characteristics in different complex environments. Additionally, drones, unmanned boats, and other devices can be used outdoors to capture images at different angles and heights for the model to better deal with the complex perspectives and variations in object size.
Moreover, in order to prevent the negative impact of complex conditions such as rain, snow, tides, and reflective ripples on drowning detection, noise reduction and light compensation, or dynamic environment improvements, are required for the detection model. By integrating visual signals with the data from other sensors (such as sonar and lidar), the limitations of computer vision in complex environments can be addressed. The detection model will be further improved in terms of weight for higher drowning detection accuracy, which is conducive to addressing the challenges in drowning rescue operations with less computational power required.

Author Contributions

Conceptualization, Q.S.; methodology, B.Y. and Y.X.; software, B.Y. and Y.X.; validation, Q.S. and S.J.; formal analysis, Q.S., S.J., B.Y. and Y.X.; investigation, B.Y. and Y.X.; resources, Q.S.; data curation, B.Y. and Y.X.; writing—original draft preparation, B.Y. and Y.X.; writing—review and editing, Q.S., B.Y., Y.X. and S.J.; visualization, B.Y.; supervision, Q.S. and S.J.; project administration, Y.X.; funding acquisition, Q.S. and B.Y. All authors have read and agreed to the published version of the manuscript.

Funding

This research was funded by the State Key Laboratory of Robotics at Shenyang Institute of Automation, Chinese Academy of Sciences, grant number 2023O04, and the Major Project of Liaoning Provincial Science and Technology Department, grant number 2023JH26/10100001.

Institutional Review Board Statement

Not applicable.

Informed Consent Statement

Informed consent was obtained from all subjects involved in the study.

Data Availability Statement

The data presented in this study are available upon request from the corresponding author. The dataset and code cannot be shared due to specific reasons.

Acknowledgments

We thank the editors and the anonymous reviewers for their valuable comments and suggestions.

Conflicts of Interest

The authors declare no conflicts of interest.

References

  1. World Health Organization (WHO). Available online: https://www.who.int/publications-detail-redirect/9789240046726 (accessed on 23 October 2023).
  2. Lanagan-Leitzel, L.K.; Skow, E.; Moore, C.M. Great expectations: Perceptual challenges of visual surveillance in lifeguarding. Appl. Cogn. Psychol. 2015, 29, 425–435. [Google Scholar]
  3. Laxton, V.; Crundall, D. The effect of lifeguard experience upon the detection of drowning victims in a realistic dynamic visual search task. Appl. Cogn. Psychol. 2018, 32, 14–23. [Google Scholar] [CrossRef]
  4. Lei, F.; Zhu, H.; Tang, F.; Wang, X. Drowning behavior detection in swimming pool based on deep learning. Signal Image Video Process. 2022, 16, 1683–1690. [Google Scholar] [CrossRef]
  5. Salehi, N.; Keyvanara, M.; Monadjemmi, S.A. An automatic video-based drowning detection system for swimming pools using active contours. Int. J. Image Graph. Signal Process. 2016, 8, 1–8. [Google Scholar] [CrossRef]
  6. Jalalifar, S.; Kashizadeh, A.; Mahmood, I.; Belford, A.; Drake, N.; Razmjou, A.; Asadnia, M. A smart multi-sensor device to detect distress in swimmers. Sensors 2022, 22, 1059. [Google Scholar] [CrossRef]
  7. Misiurewicz, J.; Bruliński, K.; Klembowski, W.; Kulpa, K.S.; Pietrusiewicz, J. Multipath propagation of acoustic signal in a swimming pool—Source localization problem. Sensors 2022, 22, 1162. [Google Scholar] [CrossRef]
  8. Liu, T.; He, X.; He, L.; Yuan, F. A video drowning detection device based on underwater computer vision. IET Image Process. 2023, 17, 1905–1918. [Google Scholar] [CrossRef]
  9. Kharrat, M.; Wakuda, Y.; Koshizuka, N.; Sakamura, K. Near drowning pattern recognition using neural network and wearable pressure and inertial sensors attached at swimmer’s chest level. In Proceedings of the 2012 19th International Conference on Mechatronics and Machine Vision in Practice (M2VIP), Fukuoka, Japan, 28–30 November 2012; IEEE: New York, NY, USA, 2012. [Google Scholar]
  10. Claesson, A.; Schierbeck, S.; Hollenberg, J.; Forsberg, S.; Nordberg, P.; Ringh, M.; Olausson, M.; Jansson, A.; Nord, A. The use of drones and a machine-learning model for recognition of simulated drowning victims—A feasibility study. Resuscitation 2020, 156, 196–201. [Google Scholar] [CrossRef]
  11. Alotaibi, A. Automated and intelligent system for monitoring swimming pool safety based on the IoT and transfer learning. Electronics 2020, 9, 2082. [Google Scholar] [CrossRef]
  12. Xie, X.; Cheng, G.; Wang, J.; Yao, X.; Han, J. Oriented R-CNN for object detection. In Proceedings of the IEEE/CVF International Conference on Computer Vision, Fukuoka, Japan, 11–17 October 2021. [Google Scholar]
  13. Girshick, R.; Donahue, J.; Darrell, T.; Malik, J. Rich feature hierarchies for accurate object detection and semantic segmenta tion. In Proceedings of the 2014 IEEE Conference on Computer Vision and Pattern Recognition (CVPR), Columbus, OH, USA, 23–28 June 2014. [Google Scholar]
  14. Wang, J.; Bi, J.; Wang, L.; Wang, X. A non-reference evaluation method for edge detection of wear particles in ferrograph Bimages. Mech. Syst. Signal Process. 2018, 100, 863–876. [Google Scholar] [CrossRef]
  15. He, K.; Zhang, X.; Ren, S.; Sun, J. Spatial pyramid pooling in deep convolutional networks for visual recognition. IEEE Trans. Pattern Anal. Mach. Intell. 2015, 37, 1904–1916. [Google Scholar] [CrossRef] [PubMed]
  16. Girshick, R. Fast R-CNN. In Proceedings of the IEEE International Conference on Computer Vision (ICCV), Santiago, Chile, 7–13 December 2015; pp. 1440–1448. [Google Scholar]
  17. Li, X.; Shang, M.; Qin, H.; Chen, L. Fast accurate fish detection and recognition of underwater images with Fast R-CNN. In Proceedings of the OCEANS 2015—MTS/IEEE Conference, Washington, DC, USA, 19–22 October 2015; pp. 1–5. [Google Scholar]
  18. Ren, S.; He, K.; Girshick, R.; Sun, J. Faster R-CNN: Towards real-time object detection with region proposal networks. IEEE Trans. Pattern Anal. Mach. Intell. 2017, 39, 1137–1149. [Google Scholar] [CrossRef]
  19. Mao, R.; Zhang, Y.; Wang, Z. Recognizing stripe rust and yellow dwarf of wheat using improved Faster-RCNN. Trans. Chin. Soc. Agric. Eng. (Trans. CSAE) 2022, 38, 176–185. [Google Scholar]
  20. He, B.; Cui, C.; Guo, W.; Du, L.; Liu, B.; Tang, Y. Ferrography wear particle recognition of gearbox based on Faster R-CNN. Lubr. Eng. 2020, 45, 105–112. [Google Scholar]
  21. Li, H.; Yan, K.; Jing, H.; Hou, R.; Liang, X.-H. Apple leaf pathology detection and recognition based on improved SSD. Sens. Microsyst. 2022, 41, 134–137. [Google Scholar]
  22. Hu, K.; Luo, R.-M.; Liu, Z.-Q.; Cao, Y.-F.; Liao, F.; Wang, W.-X.; Li, Q.; Sun, D.-Z. Detection of bergamot diseases and pests based on improved SSD. J. Nanjing Agric. Univ. 2023, 46, 813–821. [Google Scholar]
  23. Liu, W.; Anguelov, D.; Erhan, D.; Szegedy, C.; Reed, S.; Fu, C.-Y.; Berg, A.C. SSD: Single Shot MultiBox Detector. In Lecture Notes in Computer Science; Springer International Publishing: Berlin/Heidelberg, Germany, 2016; pp. 21–37. ISBN 978-3-319-46448-0. [Google Scholar]
  24. Peng, H.; Xue, C.; Shao, Y.; Chen, K.; Liu, H.; Xiong, J.; Chen, H.; Gao, Z.; Yang, Z. Litchi detection in the field using an improved YOLOv3 model. Int. J. Agric. Biol. Eng. 2022, 15, 211–220. [Google Scholar] [CrossRef]
  25. Sun, D.-Z.; Liu, H.; Liu, J.-Y.; Ding, Z.; Xie, J.-X.; Wang, W.-X. Recognition of tea diseases based on improved YOLOv4 model. J. Northwest A F Univ. (Nat. Sci. Ed.) 2023, 51, 145–154. [Google Scholar]
  26. Wang, G.; Chen, Y.; An, P.; Hong, H.; Hu, J.; Huang, T. UAV-YOLOv8: A small-object-detection model based on improved YOLOv8 for UAV aerial photography scenarios. Sensors 2023, 23, 7190. [Google Scholar] [CrossRef]
  27. Zhang, C.; Zhang, G.; Li, H.; Liu, H.; Tan, J.; Xue, X. Underwater target detection algorithm based on improved YOLOv4 with SemiDSConv and FIoU loss function. Front. Mar. Sci. 2023, 10, 1153416. [Google Scholar] [CrossRef]
  28. Jensen, M.B.; Gade, R.; Moeslund, T.B. Swimming pool occupancy analysis using deep learning on low quality video. In Proceedings of the 1st International Workshop on Multimedia Content Analysis in Sports, Seoul, Republic of Korea, 26 October 2018. [Google Scholar]
  29. Niu, Q.; Wang, Y.; Yuan, S.; Li, K.; Wang, X. An indoor pool drowning risk detection method based on improved YOLOv4. In Proceedings of the 2022 IEEE 5th Advanced Information Management, Communicates, Electronic and Automation Control Conference (IMCEC), Chongqing, China, 8–10 July 2022; IEEE: New York, NY, USA, 2022. [Google Scholar]
  30. Yang, R.; Wang, K.; Yang, L. An improved YOLOv5 algorithm for drowning detection in the indoor swimming pool. Appl. Sci. 2023, 14, 200. [Google Scholar] [CrossRef]
  31. Carballo-Fazanes, A.; Bierens, J.J.; The International Expert Group to Study Drowning Behaviour. The visible behaviour of drowning persons: A pilot observational study using analytic software and a nominal group technique. Int. J. Environ. Res. Public Health 2020, 17, 6930. [Google Scholar] [CrossRef] [PubMed]
  32. Kerdvibulvech, C. Human Hand Motion Recognition Using an Extended Particle Filter. In AMDO 2014, LNCS 8563; Perales, F.J., Santos-Victor, J., Eds.; Springer International Publishing: Cham, Switzerland, 2014; Volume 8563, pp. 71–80. [Google Scholar]
  33. Guo, M.-H.; Xu, T.-X.; Liu, J.-J.; Liu, Z.-N.; Jiang, P.-T.; Mu, T.-J.; Zhang, S.-H.; Martin, R.R.; Cheng, M.-M.; Hu, S.-M. Attention mechanisms in computer vision: A survey. Comput. Vis. Media 2022, 8, 331–368. [Google Scholar] [CrossRef]
  34. Ouyang, D.; He, S.; Zhang, G.; Luo, M.; Guo, H.; Zhan, J.; Huang, Z. Efficient multi-scale attention module with cross-spatial learning. In Proceedings of the ICASSP 2023 IEEE International Conference on Acoustics, Speech and Signal Processing (ICASSP), Rhodes, Greece, 4–10 June 2023; IEEE: New York, NY, USA, 2023. [Google Scholar]
  35. Hao, W.; Ren, C.; Han, M.; Zhang, L.; Li, F.; Liu, Z. Cattle Body Detection Based on YOLOv5-EMA for Precision Livestock Farming. Animals 2023, 13, 3535. [Google Scholar] [CrossRef] [PubMed]
  36. Bochkovskiy, A.; Wang, C.-Y.; Liao, H.-Y.M. Yolov4: Optimal speed and accuracy of object detection. arXiv 2020, arXiv:2004.10934. [Google Scholar]
  37. Chen, L.-C.; Papandreou, G.; Kokkinos, I.; Murphy, K.; Yuille, A.L. Deeplab: Semantic image segmentation with deep convolutional nets, atrous convolution, and fully connected CRFs. IEEE Trans. Pattern Anal. Mach. Intell. 2017, 40, 834–848. [Google Scholar] [CrossRef]
  38. Wang, X.; Girshick, R.; Gupta, A.; He, K. Non-local neural networks. In Proceedings of the IEEE Conference on Computer Vision and Pattern Recognition (CVPR), Salt Lake City, UT, USA, 18–22 June 2018. [Google Scholar]
  39. Yan, J.; Zhou, Z.; Zhou, D.; Su, B.; Xuanyuan, Z.; Tang, J.; Lai, Y.; Chen, J.; Liang, W. Underwater object detection algorithm based on attention mechanism and cross-stage partial fast spatial pyramidal pooling. Front. Mar. Sci. 2022, 9, 1056300. [Google Scholar] [CrossRef]
  40. Ge, Z.; Wang, C.-Y.; Liao, H.-Y.M. YOLOX: Exceeding YOLO series in 2021. arXiv 2021, arXiv:2107.08430. [Google Scholar]
  41. Qu, Z.; Gao, L.-Y.; Wang, S.-Y.; Yin, H.-N.; Yi, T.-M. An improved YOLOv5 method for large objects detection with multi-scale feature cross-layer fusion network. Image Vis. Comput. 2022, 125, 104518. [Google Scholar] [CrossRef]
  42. Li, C.; Li, L.; Jiang, H.; Weng, K.; Geng, Y.; Li, L.; Ke, Z.; Li, Q.; Cheng, M.; Nie, W.; et al. YOLOv6: A Single-Stage Object Detection Framework for Industrial Applications. arXiv 2022, arXiv:2209.02976. [Google Scholar]
  43. Hao, W.; Zhang, L.; Liu, Z.; Wang, X. YOLOv10: Real-Time End-to-End Object Detection. arXiv 2024, arXiv:2405.14458. [Google Scholar]
  44. Wang, C.Y.; Yeh, I.H.; Liao, H.-Y.M. YOLOv9: Learning What You Want to Learn Using Programmable Gradient Information. arXiv 2024, arXiv:2402.13616. [Google Scholar]
  45. Jocher, G. YOLOv8 by Ultralytics. 2023. Available online: https://github.com/ultralytics/ultralytics (accessed on 15 February 2023).
Figure 1. The scenarios of drowning from multiple perspectives: (a) aerial view, (b) water-level view, and (c,d) shoreline view. These datasets address the identification requirements of amphibious search and rescue systems, with various swimming postures and bystander safety behaviors incorporated to improve the model in terms of recognition accuracy.
Figure 1. The scenarios of drowning from multiple perspectives: (a) aerial view, (b) water-level view, and (c,d) shoreline view. These datasets address the identification requirements of amphibious search and rescue systems, with various swimming postures and bystander safety behaviors incorporated to improve the model in terms of recognition accuracy.
Sensors 24 06955 g001
Figure 2. Dataset annotation file statistics and visualization. (a) Category number. (b) Distribution of central points. (c) Distribution of central points. (d) Width and height distribution. (e) Label distribution details.
Figure 2. Dataset annotation file statistics and visualization. (a) Category number. (b) Distribution of central points. (c) Distribution of central points. (d) Width and height distribution. (e) Label distribution details.
Sensors 24 06955 g002
Figure 3. (a) The diagram shows the structure of YOLOv8. (b) The diagram shows the structure of MS-YOLO.
Figure 3. (a) The diagram shows the structure of YOLOv8. (b) The diagram shows the structure of MS-YOLO.
Sensors 24 06955 g003
Figure 4. The structural diagram of MD-C2F.
Figure 4. The structural diagram of MD-C2F.
Sensors 24 06955 g004
Figure 5. The MDE-C2F structure with EMA incorporated.
Figure 5. The MDE-C2F structure with EMA incorporated.
Sensors 24 06955 g005
Figure 6. The structures of SPP, SPPF, and MSI-SPPF are presented.
Figure 6. The structures of SPP, SPPF, and MSI-SPPF are presented.
Sensors 24 06955 g006
Figure 7. Structures of FPN, PANet, and BiFPN.
Figure 7. Structures of FPN, PANet, and BiFPN.
Sensors 24 06955 g007
Figure 8. Loss function results plot.
Figure 8. Loss function results plot.
Sensors 24 06955 g008
Figure 9. (ac) show the precision and recall curves for YOLOv8n and MS-YOLO, as well as the comparison curve for mAP@0.5.
Figure 9. (ac) show the precision and recall curves for YOLOv8n and MS-YOLO, as well as the comparison curve for mAP@0.5.
Sensors 24 06955 g009
Figure 10. (a) is a bar chart, and (b) is a line chart. The results show that MS-YOLO achieves an accuracy of 86.4% in drowning detection, outperforming Faster R-CNN, SSD, and various versions of YOLO. The average detection accuracy is 82.0%.
Figure 10. (a) is a bar chart, and (b) is a line chart. The results show that MS-YOLO achieves an accuracy of 86.4% in drowning detection, outperforming Faster R-CNN, SSD, and various versions of YOLO. The average detection accuracy is 82.0%.
Sensors 24 06955 g010
Figure 11. The GFLOPs of different detection algorithms are compared. MS-YOLO shows an exceptionally low level of computational load, with only 7.3 GFLOPs. It significantly outperforms other algorithms in this aspect. MS-YOLO reduces computational complexity substantially while maintaining high accuracy.
Figure 11. The GFLOPs of different detection algorithms are compared. MS-YOLO shows an exceptionally low level of computational load, with only 7.3 GFLOPs. It significantly outperforms other algorithms in this aspect. MS-YOLO reduces computational complexity substantially while maintaining high accuracy.
Sensors 24 06955 g011
Figure 12. The number of parameters is compared between different detection algorithms. MS-YOLO stands out with a significantly lower parameter count of only 3.27 million, outperforming other algorithms in this regard. It reduces model size while maintaining high detection performance, which reflects its efficiency in balancing computational complexity with accuracy.
Figure 12. The number of parameters is compared between different detection algorithms. MS-YOLO stands out with a significantly lower parameter count of only 3.27 million, outperforming other algorithms in this regard. It reduces model size while maintaining high detection performance, which reflects its efficiency in balancing computational complexity with accuracy.
Sensors 24 06955 g012
Figure 13. Defect detection results image. (a) Water-level view detection result, (b) aerial view detection result, (ce) shoreline view detection results.
Figure 13. Defect detection results image. (a) Water-level view detection result, (b) aerial view detection result, (ce) shoreline view detection results.
Sensors 24 06955 g013
Table 1. Experimental environment parameters.
Table 1. Experimental environment parameters.
Configuration ItemVersionParameters
Operating SystemLinux
CPUAMD EPYC 754242 cores
GPUNVIDIA GeForce RTX309024 GB
Deep Learning FrameworkPytorch2.2.1
Programming LanguagePython3.9
Computing ArchitectureCUDA12.1
Table 2. Training parameters.
Table 2. Training parameters.
Training ParametersValues
Image size640 × 640
Epochs300
Batch64
Works16
Learning rate0.01
OptimizerSGD
CacheTrue
Close music10
Table 3. The impact of module placement within the backbone network.
Table 3. The impact of module placement within the backbone network.
BiFPNMSI-SPPFMD-C2F and MDE-C2FP (%)R (%)MAP@0.5 (%)F1 (%)GFLOPs (G)
DrowningSafetyAll
75.771.777.269.773.4738.1
7672.87870.374.2748.1
78.573.982.473.878768.7
78.875.483.275.179.8777.0
79.977.282.574.278.4788.6
80.977.886.477.782797.3
Table 4. Comparison results of different network models in drowning detection.
Table 4. Comparison results of different network models in drowning detection.
AlgorithmPrecision (%)Recall (%)mAP@0.5 (%)mAP@0.5:0.95 (%)F1 (%)GFLOPs (G)
DrowningSafetyAll
Faster-RCNN64.870.268.356.9762.6328.967170
SSD84.6161.2471.0651.5661.3128.47131.4
YOLOv6n7876.185.677.381.436.17811.8
YOLOv8n75.771.777.269.773.431738.1
YOLOv9n78.27284.776.980.836.178313.4
YOLOv10n77.375.682.57679.234768.2
MS-YOLO80.977.886.477.78236.5797.3
Disclaimer/Publisher’s Note: The statements, opinions and data contained in all publications are solely those of the individual author(s) and contributor(s) and not of MDPI and/or the editor(s). MDPI and/or the editor(s) disclaim responsibility for any injury to people or property resulting from any ideas, methods, instructions or products referred to in the content.

Share and Cite

MDPI and ACS Style

Song, Q.; Yao, B.; Xue, Y.; Ji, S. MS-YOLO: A Lightweight and High-Precision YOLO Model for Drowning Detection. Sensors 2024, 24, 6955. https://doi.org/10.3390/s24216955

AMA Style

Song Q, Yao B, Xue Y, Ji S. MS-YOLO: A Lightweight and High-Precision YOLO Model for Drowning Detection. Sensors. 2024; 24(21):6955. https://doi.org/10.3390/s24216955

Chicago/Turabian Style

Song, Qi, Bodan Yao, Yunlong Xue, and Shude Ji. 2024. "MS-YOLO: A Lightweight and High-Precision YOLO Model for Drowning Detection" Sensors 24, no. 21: 6955. https://doi.org/10.3390/s24216955

APA Style

Song, Q., Yao, B., Xue, Y., & Ji, S. (2024). MS-YOLO: A Lightweight and High-Precision YOLO Model for Drowning Detection. Sensors, 24(21), 6955. https://doi.org/10.3390/s24216955

Note that from the first issue of 2016, this journal uses article numbers instead of page numbers. See further details here.

Article Metrics

Back to TopTop