Characterization of Defocused Coherent Imaging Systems with Periodic Objects
Abstract
1. Introduction
2. Materials and Methods
2.1. Optical Response of Coherent and Incoherent Imaging Systems
2.2. Optical Response of Incoherent Systems to a Periodic Signal
Example of Incoherent Imaging with Gaussian Apodization
3. Results
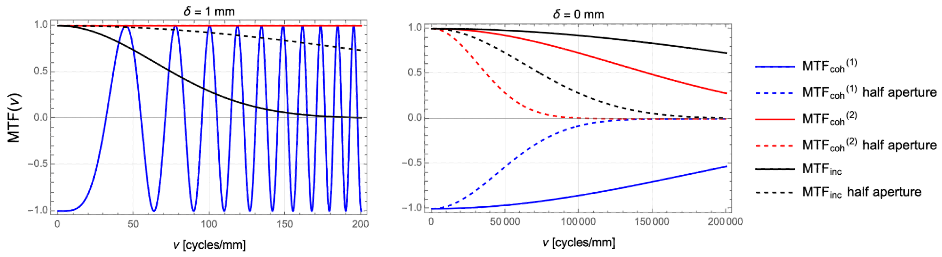
3.1. Optical Response of Coherent Imaging Systems to a Periodic Signal
3.2. Coherent Imaging of a Sinusoidal Function
- When the sample is in focus, or whenever is an even multiple of the quantity ,with . This situation thus corresponds to the condition of perfect imaging, in which the imaging system correctly reproduces the absolute squared image of the input sample.
- When the defocusing is an odd multiple of ,The image preserves the harmonic content of the original signal, but is shifted by half a period compared to the correct imaging condition.
- When ,modulation at the fundamental frequency of the original signal even disappears from the harmonic content of the image.
Coherent Imaging with a Gaussian-Apodized System
4. Discussion
5. Conclusions
Author Contributions
Funding
Data Availability Statement
Conflicts of Interest
Abbreviations
| NA | Numerical aperture |
| DOF | Depth of field |
| CoC | Circle of confusion |
| MTF | Modulation transfer function |
| PSF | Point-spread function |
References
- D’Angelo, M.; Pepe, F.V.; Garuccio, A.; Scarcelli, G. Correlation Plenoptic Imaging. Phys. Rev. Lett. 2016, 116, 223602. [Google Scholar] [CrossRef] [PubMed]
- D’Angelo, M.; Mazzilli, A.; Pepe, F.; Garuccio, A.; Tamma, V. Characterization of two distant double-slits by chaotic light secondorder interference. Sci. Rep. 2017, 7, 2247. [Google Scholar] [CrossRef] [PubMed]
- Abbattista, C.; Amoruso, L.; Burri, S.; Charbon, E.; Di Lena, F.; Garuccio, A.; Giannella, D.; Hradil, Z.; Iacobellis, M.; Massaro, G.; et al. Towards Quantum 3D Imaging Devices. Appl. Sci. 2021, 11, 6414. [Google Scholar] [CrossRef]
- Massaro, G.; Giannella, D.; Scagliola, A.; Di Lena, F.; Scarcelli, G.; Garuccio, A.; Pepe, F.V.; D’Angelo, M. Light-field microscopy with correlated beams for high-resolution volumetric imaging. Sci. Rep. 2022, 12, 16823. [Google Scholar] [CrossRef]
- Massaro, G.; Mos, P.; Vasiukov, S.; Di Lena, F.; Scattarella, F.; Pepe, F.V.; Ulku, A.; Giannella, D.; Charbon, E.; Bruschini, C.; et al. Correlated-photon imaging at 10 volumetric images per second. Sci. Rep. 2023, 13, 12813. [Google Scholar] [CrossRef] [PubMed]
- Massaro, G. Assessing the 3D resolution of refocused correlation plenoptic images using a general-purpose image quality estimator. Eur. Phys. J. Plus 2024, 139, 727. [Google Scholar] [CrossRef]
- Giannella, D.; Massaro, G.; Stoklasa, B.; D’Angelo, M.; Pepe, F.V. Light-field imaging from position-momentum correlations. Phys. Lett. A 2024, 494, 129298. [Google Scholar] [CrossRef]
- Massaro, G.; Di Lena, F.; D’Angelo, M.; Pepe, F.V. Effect of Finite-Sized Optical Components and Pixels on Light-Field Imaging through Correlated Light. Sensors 2022, 22, 2778. [Google Scholar] [CrossRef]
- Saleh, B.E.A.; Teich, M.C. Statistical Optics. In Fundamentals of Photonics; John Wiley & Sons, Ltd.: Hoboken, NJ, USA, 1991; Chapter 10; pp. 342–383. Available online: https://onlinelibrary.wiley.com/doi/pdf/10.1002/0471213748.ch10 (accessed on 23 October 2024). [CrossRef]
- Massaro, G. Analytical form of the refocused images from correlation plenoptic imaging. Opt. Express 2024, 32, 35755–35770. [Google Scholar] [CrossRef]
- Massaro, G.; Barile, B.; Scarcelli, G.; Pepe, F.V.; Nicchia, G.P.; D’Angelo, M. Direct 3D Imaging through Spatial Coherence of Light. Laser Photonics Rev. 1992, 18, 2301155. Available online: https://onlinelibrary.wiley.com/doi/pdf/10.1002/lpor.202301155 (accessed on 23 October 2024). [CrossRef]
- Murphy, D.B.; Davidson, M.W. Fundamentals of Light Microscopy. In Fundamentals of Light Microscopy and Electronic Imaging; John Wiley & Sons, Ltd.: Hoboken, NJ, USA, 2012; Chapter 1; pp. 1–19. [Google Scholar] [CrossRef]
- Murphy, D.B.; Davidson, M.W. Diffraction and Interference in Image Formation. In Fundamentals of Light Microscopy and Electronic Imaging; John Wiley & Sons, Ltd.: Hoboken, NJ, USA, 2012; Chapter 5; pp. 79–101. [Google Scholar] [CrossRef]
- Murphy, D.B.; Davidson, M.W. Diffraction and Spatial Resolution. In Fundamentals of Light Microscopy and Electronic Imaging; John Wiley & Sons, Ltd: Hoboken, NJ, USA, 2012; Chapter 6; pp. 103–113. [Google Scholar] [CrossRef]
- Stokseth, P.A. Properties of a Defocused Optical System*. J. Opt. Soc. Am. 1969, 59, 1314–1321. [Google Scholar] [CrossRef]
- Favaro, P.; Mennucci, A.; Soatto, S. Observing shape from defocused images. Int. J. Comput. Vis. 2003, 52, 25–43. [Google Scholar] [CrossRef]
- Wu, G.; Masia, B.; Jarabo, A.; Zhang, Y.; Wang, L.; Dai, Q.; Chai, T.; Liu, Y. Light field image processing: An overview. IEEE J. Sel. Top. Signal Process. 2017, 11, 926–954. [Google Scholar] [CrossRef]
- Ihrke, I.; Restrepo, J.; Mignard-Debise, L. Principles of light field imaging: Briefly revisiting 25 years of research. IEEE Signal Process. Mag. 2016, 33, 59–69. [Google Scholar] [CrossRef]
- Georgiev, T.; Lumsdaine, A. The multifocus plenoptic camera. In Proceedings of the Digital Photography VIII, Burlingame, CA, USA, 23–24 January 2012; SPIE: Bellingham, WA, USA, 2012; Volume 8299, pp. 69–79. [Google Scholar]
- Georgiev, T.; Lumsdaine, A. Resolution in plenoptic cameras. In Proceedings of the Computational Optical Sensing and Imaging, San Jose, CA, USA, 13–15 October 2009; Optica Publishing Group: Washington, DC, USA, 2009; p. CTuB3. [Google Scholar]
- Ralston, T.S.; Marks, D.L.; Carney, P.S.; Boppart, S.A. Interferometric synthetic aperture microscopy. Nat. Phys. 2007, 3, 129–134. [Google Scholar] [CrossRef]
- Tian, L.; Wang, J.; Waller, L. 3D differential phase-contrast microscopy with computational illumination using an LED array. Opt. Lett. 2014, 39, 1326–1329. [Google Scholar] [CrossRef]
- Tian, L.; Waller, L. 3D intensity and phase imaging from light field measurements in an LED array microscope. Optica 2015, 2, 104–111. [Google Scholar] [CrossRef]
- Gabor, D. Microscopy by reconstructed wave-fronts. Proc. R. Soc. Lond. Ser. A Math. Phys. Sci. 1949, 197, 454–487. [Google Scholar] [CrossRef]
- Ferraro, P.; Wax, A.; Zalevsky, Z. Coherent Light Microscopy: Imaging and Quantitative Phase Analysis; Springer: Berlin/Heidelberg, Germany, 2011. [Google Scholar]
- Osten, W.; Faridian, A.; Gao, P.; Körner, K.; Naik, D.; Pedrini, G.; Singh, A.K.; Takeda, M.; Wilke, M. Recent advances in digital holography. Appl. Opt. 2014, 53, G44–G63. [Google Scholar] [CrossRef]
- Zheng, G.; Horstmeyer, R.; Yang, C. Wide-field, high-resolution Fourier ptychographic microscopy. Nat. Photonics 2013, 7, 739–745. [Google Scholar] [CrossRef]
- Rodenburg, J.; Maiden, A. Ptychography. In Springer Handbook of Microscopy; Springer International Publishing: Berlin/Heidelberg, Germany, 2019; pp. 819–904. [Google Scholar] [CrossRef]
- Zheng, G.; Shen, C.; Jiang, S.; Song, P.; Yang, C. Concept, Implementations and Applications of Fourier Ptychography. Nat. Rev. Phys. 2021, 3, 207–223. [Google Scholar] [CrossRef]
- Horstmeyer, R.; Ou, X.; Zheng, G.; Willems, P.; Yang, C. Digital pathology with Fourier ptychography. Comput. Med Imaging Graph. 2015, 42, 38–43. [Google Scholar] [CrossRef] [PubMed]
- Liu, T.; De Haan, K.; Rivenson, Y.; Wei, Z.; Zeng, X.; Zhang, Y.; Ozcan, A. Deep learning-based super-resolution in coherent imaging systems. Sci. Rep. 2019, 9, 3926. [Google Scholar] [CrossRef] [PubMed]
- Liu, C.; Liu, Z.; Bo, F.; Wang, Y.; Zhu, J. Super-resolution digital holographic imaging method. Appl. Phys. Lett. 2002, 81, 3143–3145. [Google Scholar] [CrossRef]
- Schnars, U.; Falldorf, C.; Watson, J.; Jüptner, W. Digital Holography and Wavefront Sensing; Springer: Berlin/Heidelberg, Germany, 2015. [Google Scholar]
- Yelleswarapu, C.S.; Kothapalli, S.R.; Rao, D. Optical Fourier techniques for medical image processing and phase contrast imaging. Opt. Commun. 2008, 281, 1876–1888. [Google Scholar] [CrossRef][Green Version]
- Goodman, J.W. Introduction to Fourier Optics, 3rd ed.; Goodman, J.W., Ed.; Roberts & Co. Publishers: Englewood, CO, USA, 2005; Volume 1. [Google Scholar]
- Blackledge, J.M. Quantitative Coherent Imaging: Theory, Methods and Some Applications; Elsevier: Amsterdam, The Netherlands, 2012; Volume 11. [Google Scholar]
- Goodman, J.W. Speckle Phenomena in Optics: Theory and Applications; Roberts and Company Publishers: Greenwood Village, CO, USA, 2007. [Google Scholar]
- Patra, D.; Gregor, I.; Enderlein, J.; Sauer, M. Defocused imaging of quantum-dot angular distribution of radiation. Appl. Phys. Lett. 2005, 87, 101103. Available online: https://pubs.aip.org/aip/apl/article-abstract/87/10/101103/328769/Defocused-imaging-of-quantum-dot-angular?redirectedFrom=PDF (accessed on 23 October 2024). [CrossRef]
- Patra, D.; Gregor, I.; Enderlein, J. Image Analysis of Defocused Single-Molecule Images for Three-Dimensional Molecule Orientation Studies. J. Phys. Chem. A 2004, 108, 6836–6841. [Google Scholar] [CrossRef]
- Aert, S.V.; Dyck, D.V.; den Dekker, A.J. Resolution of coherent and incoherent imaging systems reconsidered - Classical criteria and a statistical alternative. Opt. Express 2006, 14, 3830–3839. [Google Scholar] [CrossRef]
- Boreman, G.D. Modulation Transfer Function in Optical and Electro-Optical Systems; SPIE Press: Bellingham, WA, USA, 2001. [Google Scholar]
- Scattarella, F.; Massaro, G.; Stoklasa, B.; D’Angelo, M.; Pepe, F.V. Periodic patterns for resolution limit characterization of correlation plenoptic imaging. Eur. Phys. J. Plus 2023, 138, 710. [Google Scholar] [CrossRef]
- Braat, J.J.; van Haver, S.; Janssen, A.J.; Dirksen, P. Chapter 6 Assessment of optical systems by means of point-spread functions. In Progress in Optics; Elsevier: Amsterdam, The Netherlands, 2008; Volume 51, pp. 349–468. [Google Scholar] [CrossRef]
- Rossmann, K. Point Spread-Function, Line Spread-Function, and Modulation Transfer Function. Radiology 1969, 93, 257–272. [Google Scholar] [CrossRef] [PubMed]
- Tolstov, G.P. Fourier Series; Courier Corporation: North Chelmsford, MA, USA, 2012. [Google Scholar]
- Massaro, G.; Pepe, F.V.; D’Angelo, M. Refocusing Algorithm for Correlation Plenoptic Imaging. Sensors 2022, 22, 6665. [Google Scholar] [CrossRef] [PubMed]
- Massaro, G.; Scala, G.; D’Angelo, M.; Pepe, F.V. Comparative analysis of signal-to-noise ratio in correlation plenoptic imaging architectures. Eur. Phys. J. Plus 2022, 137, 1123. [Google Scholar] [CrossRef]
- Erkmen, B.I.; Shapiro, J.H. Signal-to-noise ratio of Gaussian-state ghost imaging. Phys. Rev. A—At. Mol. Opt. Phys. 2009, 79, 023833. [Google Scholar] [CrossRef]
- Erkmen, B.I.; Shapiro, J.H. Ghost imaging: From quantum to classical to computational. Adv. Opt. Photonics 2010, 2, 405–450. [Google Scholar] [CrossRef]
- Lugiato, L.; Gatti, A.; Brambilla, E. Quantum imaging. arXiv 2002, arXiv:quant-ph/0203046. [Google Scholar] [CrossRef]
- Paniate, A.; Massaro, G.; Avella, A.; Meda, A.; Pepe, F.V.; Genovese, M.; D’Angelo, M.; Ruo-Berchera, I. Light-field ghost imaging. Phys. Rev. Appl. 2024, 21, 024032. [Google Scholar] [CrossRef]
- Ferri, F.; Magatti, D.; Lugiato, L.; Gatti, A. Differential ghost imaging. Phys. Rev. Lett. 2010, 104, 253603. [Google Scholar] [CrossRef] [PubMed]
- O’Sullivan, M.N.; Chan, K.W.C.; Boyd, R.W. Comparison of the signal-to-noise characteristics of quantum versus thermal ghost imaging. Phys. Rev. A—At. Mol. Opt. Phys. 2010, 82, 053803. [Google Scholar] [CrossRef]
- Gatti, A.; Brambilla, E.; Lugiato, L. Chapter 5 Quantum imaging. Prog. Opt. 2008, 51, 251–348. [Google Scholar]
- Shih, Y. Quantum imaging. IEEE J. Sel. Top. Quantum Electron. 2007, 13, 1016–1030. [Google Scholar] [CrossRef]
- Gilaberte Basset, M.; Setzpfandt, F.; Steinlechner, F.; Beckert, E.; Pertsch, T.; Gräfe, M. Perspectives for applications of quantum imaging. Laser Photonics Rev. 2019, 13, 1900097. [Google Scholar] [CrossRef]
- Zickus, V.; Wu, M.L.; Morimoto, K.; Kapitany, V.; Fatima, A.; Turpin, A.; Insall, R.; Whitelaw, J.; Machesky, L.; Bruschini, C.; et al. Fluorescence lifetime imaging with a megapixel SPAD camera and neural network lifetime estimation. Sci. Rep. 2020, 10, 20986. [Google Scholar] [CrossRef] [PubMed]
- Zhao, J.; Lyons, A.; Ulku, A.C.; Defienne, H.; Faccio, D.; Charbon, E. Light detection and ranging with entangled photons. Opt. Express 2022, 30, 3675–3683. [Google Scholar] [CrossRef] [PubMed]
- Ndagano, B.; Defienne, H.; Branford, D.; Shah, Y.D.; Lyons, A.; Westerberg, N.; Gauger, E.M.; Faccio, D. Quantum microscopy based on Hong–Ou–Mandel interference. Nat. Photonics 2022, 16, 384–389. [Google Scholar] [CrossRef]
- Moreau, P.A.; Toninelli, E.; Gregory, T.; Padgett, M.J. Imaging with quantum states of light. Nat. Rev. Phys. 2019, 1, 367–380. [Google Scholar] [CrossRef]
- Bruschini, C.; Homulle, H.; Antolovic, I.M.; Burri, S.; Charbon, E. Single-photon avalanche diode imagers in biophotonics: Review and outlook. Light Sci. Appl. 2019, 8, 87. [Google Scholar] [CrossRef]
- Niclass, C.; Rochas, A.; Besse, P.A.; Charbon, E. Design and characterization of a CMOS 3-D image sensor based on single photon avalanche diodes. IEEE J. Solid-State Circuits 2005, 40, 1847–1854. [Google Scholar] [CrossRef]
- Zarghami, M.; Gasparini, L.; Parmesan, L.; Moreno-Garcia, M.; Stefanov, A.; Bessire, B.; Unternährer, M.; Perenzoni, M. A 32× 32-pixel CMOS imager for quantum optics with per-SPAD TDC, 19.48% fill-factor in a 44.64-μm pitch reaching 1-MHz observation rate. IEEE J. Solid-State Circuits 2020, 55, 2819–2830. [Google Scholar] [CrossRef]





Disclaimer/Publisher’s Note: The statements, opinions and data contained in all publications are solely those of the individual author(s) and contributor(s) and not of MDPI and/or the editor(s). MDPI and/or the editor(s) disclaim responsibility for any injury to people or property resulting from any ideas, methods, instructions or products referred to in the content. |
© 2024 by the authors. Licensee MDPI, Basel, Switzerland. This article is an open access article distributed under the terms and conditions of the Creative Commons Attribution (CC BY) license (https://creativecommons.org/licenses/by/4.0/).
Share and Cite
Massaro, G.; D’Angelo, M. Characterization of Defocused Coherent Imaging Systems with Periodic Objects. Sensors 2024, 24, 6885. https://doi.org/10.3390/s24216885
Massaro G, D’Angelo M. Characterization of Defocused Coherent Imaging Systems with Periodic Objects. Sensors. 2024; 24(21):6885. https://doi.org/10.3390/s24216885
Chicago/Turabian StyleMassaro, Gianlorenzo, and Milena D’Angelo. 2024. "Characterization of Defocused Coherent Imaging Systems with Periodic Objects" Sensors 24, no. 21: 6885. https://doi.org/10.3390/s24216885
APA StyleMassaro, G., & D’Angelo, M. (2024). Characterization of Defocused Coherent Imaging Systems with Periodic Objects. Sensors, 24(21), 6885. https://doi.org/10.3390/s24216885

