Comparison of Lower-Limb Muscle Synergies Between Young and Old People During Cycling Based on Electromyography Sensors—A Preliminary Cross-Sectional Study
Abstract
1. Introduction
2. Materials and Methods
2.1. Participants
2.2. Protocol of Cycling Test
2.3. Data Collection
2.4. Data Preprocessing and Muscle Synergy Extraction
2.5. Assessment of Inter-Individual and Intra-Individual Variability
2.6. Statistical Analysis
3. Results
3.1. The Extraction of Muscle Synergies
3.2. The Inter-Individual Variability Comparison in Muscle Synergy
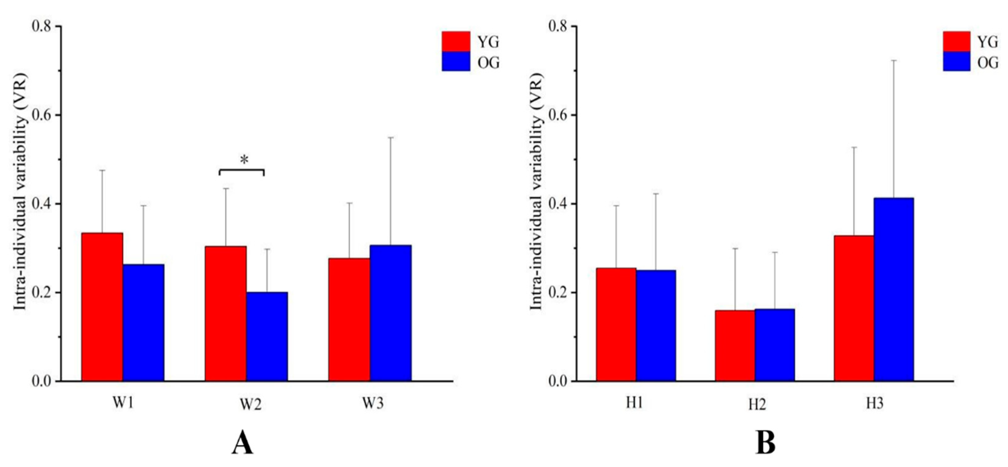
3.3. The Intra-Individual Variability Comparison in Muscle Synergy
3.4. Analysis of Muscle Synergy Structures
4. Discussion
5. Conclusions
Author Contributions
Funding
Institutional Review Board Statement
Informed Consent Statement
Data Availability Statement
Conflicts of Interest
References
- Xie, Y.J.; Liu, E.Y.; Anson, E.R.; Agrawal, Y. Age-Related Imbalance Is Associated with Slower Walking Speed: An Analysis from the National Health and Nutrition Examination Survey. J. Geriatr. Phys. Ther. 2017, 40, 183–189. [Google Scholar] [CrossRef]
- Palmer, T.B.; Thiele, R.M.; Thompson, B.J. Age-Related Differences in Maximal and Rapid Torque Characteristics of the Hip Extensors and Dynamic Postural Balance in Healthy, Young and Old Females. J. Strength. Cond. Res. 2017, 31, 480–488. [Google Scholar] [CrossRef]
- Turrini, S.; Bevacqua, N.; Cataneo, A.; Chiappini, E.; Fiori, F.; Battaglia, S.; Romei, V.; Avenanti, A. Neurophysiological Markers of Premotor-Motor Network Plasticity Predict Motor Performance in Young and Older Adults. Biomedicines 2023, 11, 1464. [Google Scholar] [CrossRef]
- Rodrigues, F.; Domingos, C.; Monteiro, D.; Morouço, P. A Review on Aging, Sarcopenia, Falls, and Resistance Training in Community-Dwelling Older Adults. Int. J. Environ. Res. Public. Health 2022, 19, 874. [Google Scholar] [CrossRef]
- Kardan, M.; Akter, T.; Iqbal, M.; Tcymbal, A.; Messing, S.; Gelius, P.; Abu-Omar, K. Cycling in Older Adults: A Scoping Review. Front. Sports Act. Living 2023, 5, 1157503. [Google Scholar] [CrossRef]
- Allen, J.R.; Satiroglu, R.; Fico, B.; Tanaka, H.; Vardarli, E.; Luci, J.J.; Coyle, E.F. Inertial Load Power Cycling Training Increases Muscle Mass and Aerobic Power in Older Adults. Med. Sci. Sports Exerc. 2021, 53, 1188–1193. [Google Scholar] [CrossRef]
- Baughn, M.; Arellano, V.; Hawthorne-Crosby, B.; Lightner, J.S.; Grimes, A.; King, G. Physical Activity, Balance, and Bicycling in Older Adults. PLoS ONE 2022, 17, e0273880. [Google Scholar] [CrossRef]
- Candow, D.G.; Chilibeck, P.D.; Forbes, S.C.; Fairman, C.M.; Gualano, B.; Roschel, H. Creatine Supplementation for Older Adults: Focus on Sarcopenia, Osteoporosis, Frailty and Cachexia. Bone 2022, 162, 116467. [Google Scholar] [CrossRef]
- Momeni, K.; D Faghri, P. Aging and Muscle Activity Patterns during Cycling. Int. J. Phys. Med. Rehabil. 2015, 3, 1–7. [Google Scholar] [CrossRef]
- Buddhadev, H.H.; Martin, P.E. Effects of Age, Power Output, and Cadence on Energy Expenditure and Lower Limb Antagonist Muscle Coactivation During Cycling. J. Aging Phys. Act. 2018, 27, 83–92. [Google Scholar] [CrossRef]
- Lin, S.-I.; Liao, C.-F.; Chen, J.-J.J.; Lin, P.-Y. Aging Changes in Muscular Control of Leg Cycling. Gait Posture 2009, 30, S106. [Google Scholar] [CrossRef]
- Weavil, J.C.; Hureau, T.J.; Thurston, T.S.; Sidhu, S.K.; Garten, R.S.; Nelson, A.D.; McNeil, C.J.; Richardson, R.S.; Amann, M. Impact of Age on the Development of Fatigue during Large and Small Muscle Mass Exercise. Am. J. Physiol. Regul. Integr. Comp. Physiol. 2018, 315, R741–R750. [Google Scholar] [CrossRef]
- Lanza, I.R.; Towse, T.F.; Caldwell, G.E.; Wigmore, D.M.; Kent-Braun, J.A. Effects of Age on Human Muscle Torque, Velocity, and Power in Two Muscle Groups. J. Appl. Physiol. 2003, 95, 2361–2369. [Google Scholar] [CrossRef]
- Singh, R.E.; Iqbal, K.; White, G.; Hutchinson, T.E. A Systematic Review on Muscle Synergies: From Building Blocks of Motor Behavior to a Neurorehabilitation Tool. Appl. Bionics Biomech. 2018, 2018, 3615368. [Google Scholar] [CrossRef]
- Santuz, A.; Brüll, L.; Ekizos, A.; Schroll, A.; Eckardt, N.; Kibele, A.; Schwenk, M.; Arampatzis, A. Neuromotor Dynamics of Human Locomotion in Challenging Settings. iScience 2020, 23, 100796. [Google Scholar] [CrossRef]
- Bernstein, B.N. The Co-Ordination and Regulation of Movements. J. Neuropathol. Exp. Neurol. 1967, 27, 348. [Google Scholar]
- Cheung, V.C.K.; Cheung, B.M.F.; Zhang, J.H.; Chan, Z.Y.S.; Ha, S.C.W.; Chen, C.-Y.; Cheung, R.T.H. Plasticity of Muscle Synergies through Fractionation and Merging during Development and Training of Human Runners. Nat. Commun. 2020, 11, 4356. [Google Scholar] [CrossRef]
- Guo, X.; He, B.; Lau, K.Y.S.; Chan, P.P.K.; Liu, R.; Xie, J.J.; Ha, S.C.W.; Chen, C.-Y.; Cheing, G.L.Y.; Cheung, R.T.H.; et al. Age-Related Modifications of Muscle Synergies and Their Temporal Activations for Overground Walking. IEEE Trans. Neural Syst. Rehabil. Eng. 2022, 30, 2700–2709. [Google Scholar] [CrossRef]
- Wang, S.; Varas-Diaz, G.; Bhatt, T. Muscle Synergy Differences between Voluntary and Reactive Backward Stepping. Sci. Rep. 2021, 11, 15462. [Google Scholar] [CrossRef]
- Collimore, A.N.; Aiello, A.J.; Pohlig, R.T.; Awad, L.N. The Dynamic Motor Control Index as a Marker of Age-Related Neuromuscular Impairment. Front. Aging Neurosci. 2021, 13, 678525. [Google Scholar] [CrossRef]
- da Silva Costa, A.A.; Moraes, R.; Hortobágyi, T.; Sawers, A. Older Adults Reduce the Complexity and Efficiency of Neuromuscular Control to Preserve Walking Balance. Exp. Gerontol. 2020, 140, 111050. [Google Scholar] [CrossRef]
- Allen, J.L.; Franz, J.R. The Motor Repertoire of Older Adult Fallers May Constrain Their Response to Balance Perturbations. J. Neurophysiol. 2018, 120, 2368–2378. [Google Scholar] [CrossRef]
- Jeon, W.; Ramadan, A.; Whitall, J.; Alissa, N.; Westlake, K. Age-Related Differences in Lower Limb Muscle Activation Patterns and Balance Control Strategies While Walking over a Compliant Surface. Sci. Rep. 2023, 13, 16555. [Google Scholar] [CrossRef]
- Baggen, R.J.; van Dieen, J.H.; Van Roie, E.; Verschueren, S.M.; Giarmatzis, G.; Delecluse, C.; Dominici, N. Age-Related Differences in Muscle Synergy Organization during Step Ascent at Different Heights and Directions. Appl. Sci. 2020, 10, 1987. [Google Scholar] [CrossRef]
- Bini, R.R.; Carpes, F.P. Biomechanics of Cycling; Springer: Berlin, Germany, 2014. [Google Scholar]
- Brown, S.J.; Ryan, H.J.; Brown, J.A. Age-Associated Changes In VO2 and Power Output—A Cross-Sectional Study of Endurance Trained New Zealand Cyclists. J. Sports Sci. Med. 2007, 6, 477–483. [Google Scholar]
- Sacchetti, M.; Lenti, M.; Di Palumbo, A.S.; De Vito, G. Different Effect of Cadence on Cycling Efficiency between Young and Older Cyclists. Med. Sci. Sports Exerc. 2010, 42, 2128–2133. [Google Scholar] [CrossRef]
- Emanuele, U.; Horn, T.; Denoth, J. The Relationship between Freely Chosen Cadence and Optimal Cadence in Cycling. Int. J. Sports Physiol. Perform. 2012, 7, 375–381. [Google Scholar] [CrossRef]
- Hermens, H.J.; Freriks, B.; Disselhorst-Klug, C.; Rau, G. Development of Recommendations for SEMG Sensors and Sensor Placement Procedures. J. Electromyogr. Kinesiol. 2000, 10, 361–374. [Google Scholar] [CrossRef]
- De Marchis, C.; Schmid, M.; Bibbo, D.; Bernabucci, I.; Conforto, S. Inter-Individual Variability of Forces and Modular Muscle Coordination in Cycling: A Study on Untrained Subjects. Hum. Mov. Sci. 2013, 32, 1480–1494. [Google Scholar] [CrossRef]
- Turpin, N.A.; Costes, A.; Moretto, P.; Watier, B. Upper Limb and Trunk Muscle Activity Patterns during Seated and Standing Cycling. J. Sports Sci. 2016, 35, 557–564. [Google Scholar] [CrossRef]
- Zych, M.; Rankin, I.; Holland, D.; Severini, G. Temporal and Spatial Asymmetries during Stationary Cycling Cause Different Feedforward and Feedback Modifications in the Muscular Control of the Lower Limbs. J. Neurophysiol. 2019, 121, 163–176. [Google Scholar] [CrossRef]
- Lee, D.D.; Seung, H.S. Algorithms for Non-Negative Matrix Factorization. In Neural Information Processing Systems; MIT Press: Cambridge, MA, USA, 2000; Volume 7. [Google Scholar]
- Rabbi, M.F.; Pizzolato, C.; Lloyd, D.G.; Carty, C.P.; Devaprakash, D.; Diamond, L.E. Non-Negative Matrix Factorisation Is the Most Appropriate Method for Extraction of Muscle Synergies in Walking and Running. Sci. Rep. 2020, 10, 8266. [Google Scholar] [CrossRef]
- Chvatal, S.A.; Ting, L.H. Voluntary and Reactive Recruitment of Locomotor Muscle Synergies during Perturbed Walking. J. Neurosci. 2012, 32, 12237–12250. [Google Scholar] [CrossRef]
- Tang, L.; Chen, X.; Cao, S.; Wu, D.; Zhao, G.; Zhang, X. Assessment of Upper Limb Motor Dysfunction for Children with Cerebral Palsy Based on Muscle Synergy Analysis. Front. Hum. Neurosci. 2017, 11, 130. [Google Scholar] [CrossRef]
- Zhao, K.; Zhang, Z.; Wen, H.; Scano, A. Intra-Subject and Inter-Subject Movement Variability Quantified with Muscle Synergies in Upper-Limb Reaching Movements. Biomimetics 2021, 6, 63. [Google Scholar] [CrossRef]
- Burden, A.M.; Trew, M.; Baltzopoulos, V. Normalisation of Gait EMGs: A Re-Examination. J. Electromyogr. Kinesiol. 2003, 13, 519–532. [Google Scholar] [CrossRef]
- Dm, R.; Ca, H. EMG Normalization to Study Muscle Activation in Cycling. J. Electromyogr. Kinesiol. Off. J. Int. Soc. Electrophysiol. Kinesiol. 2008, 18, 866–878. [Google Scholar] [CrossRef]
- Barroso, F.O.; Torricelli, D.; Bravo-Esteban, E.; Taylor, J.; Gómez-Soriano, J.; Santos, C.; Moreno, J.C.; Pons, J.L. Muscle Synergies in Cycling after Incomplete Spinal Cord Injury: Correlation with Clinical Measures of Motor Function and Spasticity. Front. Hum. Neurosci. 2015, 9, 706. [Google Scholar] [CrossRef]
- Ambrosini, E.; Parati, M.; Peri, E.; De Marchis, C.; Nava, C.; Pedrocchi, A.; Ferriero, G.; Ferrante, S. Changes in Leg Cycling Muscle Synergies after Training Augmented by Functional Electrical Stimulation in Subacute Stroke Survivors: A Pilot Study. J. Neuroeng. Rehabil. 2020, 17, 35. [Google Scholar] [CrossRef]
- Esmaeili, J.; Maleki, A. Muscle Coordination Analysis by Time-Varying Muscle Synergy Extraction during Cycling across Various Mechanical Conditions. Biocybern. Biomed. Eng. 2020, 40, 90–99. [Google Scholar] [CrossRef]
- Hug, F.; Turpin, N.A.; Guével, A.; Dorel, S. Is Interindividual Variability of EMG Patterns in Trained Cyclists Related to Different Muscle Synergies? J. Appl. Physiol. 2010, 108, 1727–1736. [Google Scholar] [CrossRef]
- Turpin, N.A.; Costes, A.; Moretto, P.; Watier, B. Can Muscle Coordination Explain the Advantage of Using the Standing Position during Intense Cycling? J. Sci. Med. Sport. 2017, 20, 611–616. [Google Scholar] [CrossRef]
- Hug, F.; Drouet, J.M.; Champoux, Y.; Couturier, A.; Dorel, S. Interindividual Variability of Electromyographic Patterns and Pedal Force Profiles in Trained Cyclists. Eur. J. Appl. Physiol. 2008, 104, 667–678. [Google Scholar] [CrossRef]








| ± SD) | ± SD) | ± SD) | |
|---|---|---|---|
| YG | 22.8 ± 1.1 | 65.3 ± 2.5 | 173.5 ± 1.9 |
| OG | 63.3 ± 1.5 | 63.4 ± 2.2 | 171.2 ± 2.1 |
| A: Inter-individual variability of W and H at 60 W | |||||||||
| 40 rpm | 60 rpm | 90 rpm | |||||||
| #1 | #2 | #3 | #1 | #2 | #3 | #1 | #2 | #3 | |
| W | |||||||||
| YG | 0.278 | 0.535 | 0.409 | 0.363 | 0.514 | 0.330 | 0.263 | 0.621 | 0.277 |
| OG | 0.435 | 0.394 | 0.362 | 0.367 | 0.370 | 0.506 | 0.252 | 0.367 | 0.349 |
| H | |||||||||
| YG | 0.340 | 0.186 | 0.197 | 0.178 | 0.373 | 0.233 | 0.200 | 0.075 | 0.316 |
| OG | 0.485 | 0.120 | 0.286 | 0.228 | 0.095 | 0.417 | 0.090 | 0.066 | 0.238 |
| B: Inter-individual variability of W and H at 100 W | |||||||||
| 40 rpm | 60 rpm | 90 rpm | |||||||
| #1 | #2 | #3 | #1 | #2 | #3 | #1 | #2 | #3 | |
| W | |||||||||
| YG | 0.371 | 0.391 | 0.260 | 0.367 | 0.449 | 0.435 | 0.366 | 0.371 | 0.413 |
| OG | 0.258 | 0.221 | 0.240 | 0.257 | 0.270 | 0.433 | 0.192 | 0.334 | 0.500 |
| H | |||||||||
| YG | 0.402 | 0.086 | 0.143 | 0.254 | 0.059 | 0.330 | 0.255 | 0.052 | 0.536 |
| OG | 0.256 | 0.047 | 0.250 | 0.211 | 0.068 | 0.551 | 0.315 | 0.245 | 0.655 |
Disclaimer/Publisher’s Note: The statements, opinions and data contained in all publications are solely those of the individual author(s) and contributor(s) and not of MDPI and/or the editor(s). MDPI and/or the editor(s) disclaim responsibility for any injury to people or property resulting from any ideas, methods, instructions or products referred to in the content. |
© 2024 by the authors. Licensee MDPI, Basel, Switzerland. This article is an open access article distributed under the terms and conditions of the Creative Commons Attribution (CC BY) license (https://creativecommons.org/licenses/by/4.0/).
Share and Cite
Kong, L.; Yang, K.; Li, H.; Wu, X.; Zhang, Q. Comparison of Lower-Limb Muscle Synergies Between Young and Old People During Cycling Based on Electromyography Sensors—A Preliminary Cross-Sectional Study. Sensors 2024, 24, 6755. https://doi.org/10.3390/s24206755
Kong L, Yang K, Li H, Wu X, Zhang Q. Comparison of Lower-Limb Muscle Synergies Between Young and Old People During Cycling Based on Electromyography Sensors—A Preliminary Cross-Sectional Study. Sensors. 2024; 24(20):6755. https://doi.org/10.3390/s24206755
Chicago/Turabian StyleKong, Li, Kun Yang, Haojie Li, Xie Wu, and Qiang Zhang. 2024. "Comparison of Lower-Limb Muscle Synergies Between Young and Old People During Cycling Based on Electromyography Sensors—A Preliminary Cross-Sectional Study" Sensors 24, no. 20: 6755. https://doi.org/10.3390/s24206755
APA StyleKong, L., Yang, K., Li, H., Wu, X., & Zhang, Q. (2024). Comparison of Lower-Limb Muscle Synergies Between Young and Old People During Cycling Based on Electromyography Sensors—A Preliminary Cross-Sectional Study. Sensors, 24(20), 6755. https://doi.org/10.3390/s24206755

