Experimental Study of Hot-Sphere Anemometer Response in Stratospheric Environment
Abstract
1. Introduction
2. Experimental System
2.1. Thermal Anemometer
2.2. Experimental System Based on Rotation Method
2.3. Measurement and Control System
3. Experimental Results and Analysis
3.1. Test Conditions
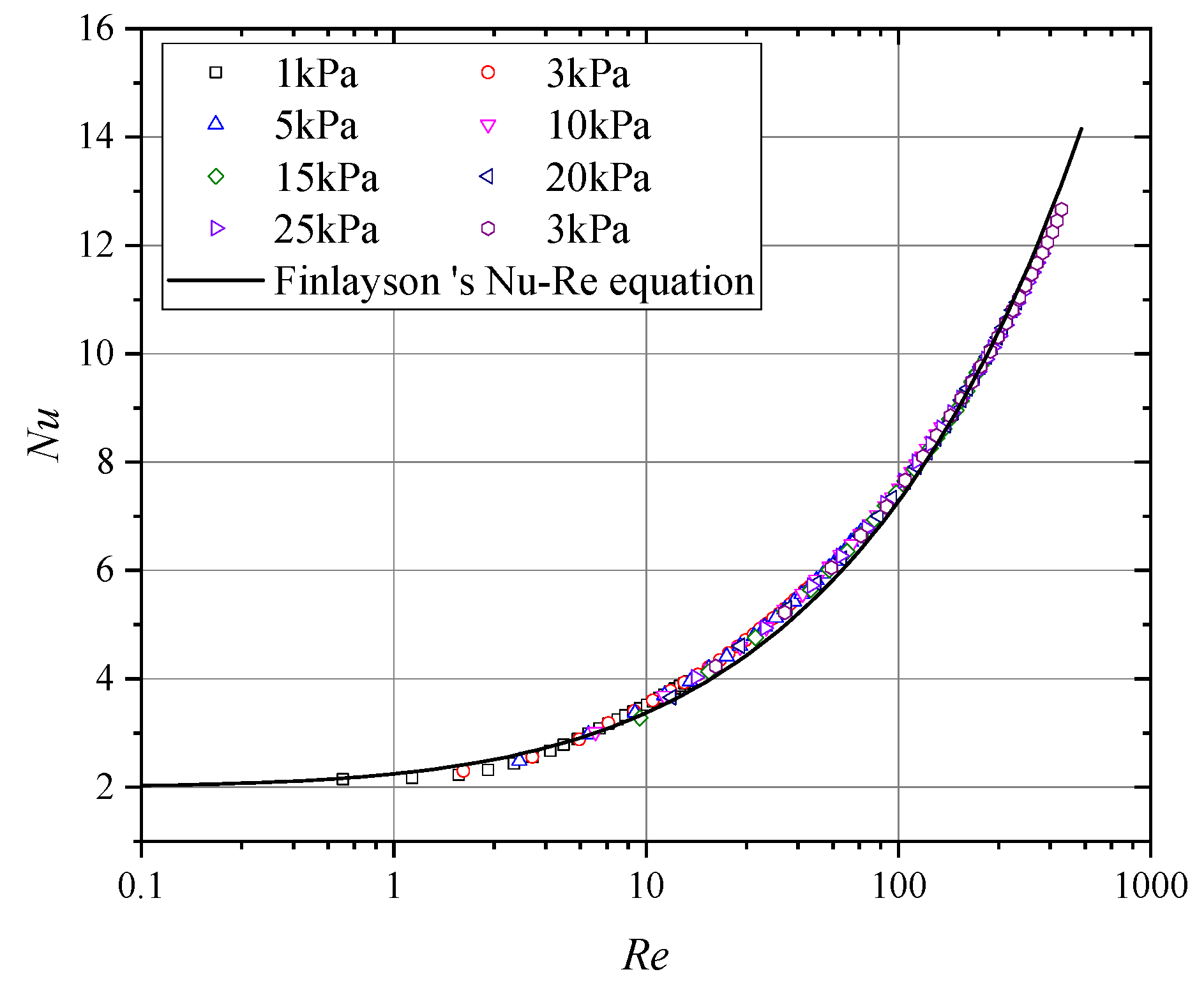
3.2. Natural Convection Analysis
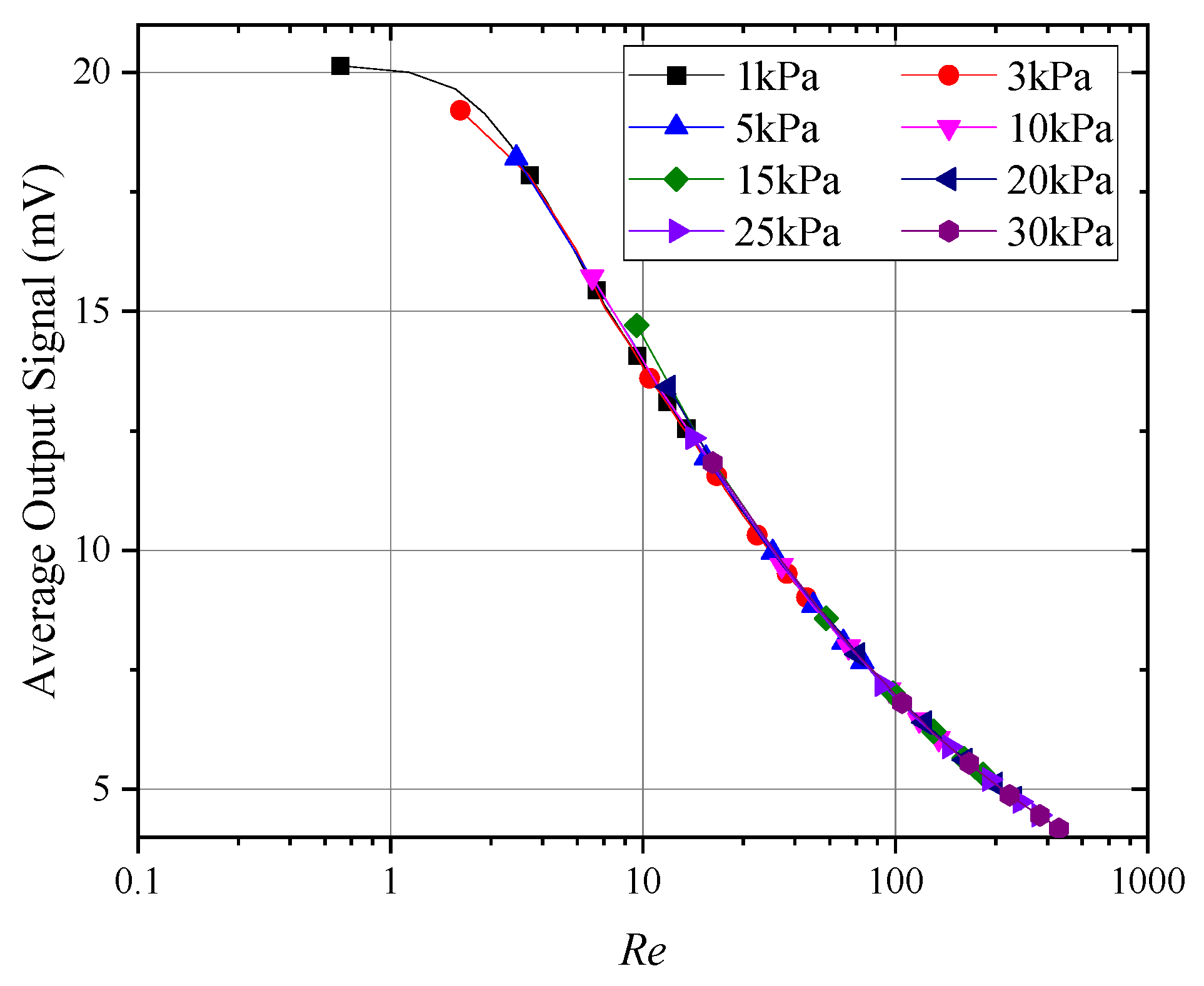
3.3. Response of Hot-Sphere Probe
3.4. Wind Speed Calibration Method under Low Pressure
4. Discussion and Conclusions
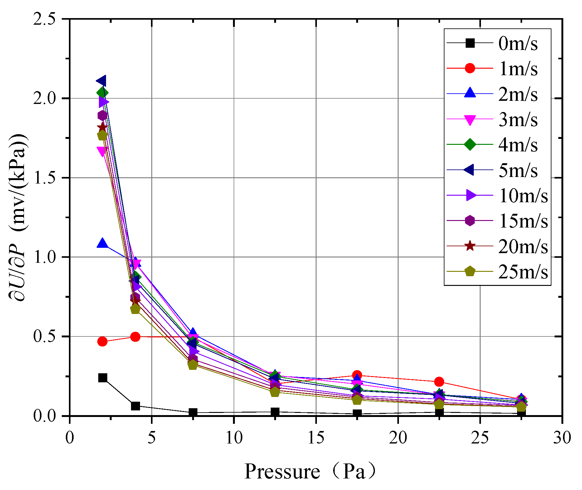
- Low pressure and low wind speed lead to a sharp decline in the Reynolds number of thermal anemometer probes, resulting in a gradual shift to nonlinearity in the output signal at these low Reynolds numbers. This nonlinearity significantly reduces wind speed measurement sensitivity in the range of 0 to 5 m/s, while sensitivity remains relatively stable for wind speeds exceeding 5 m/s. Thus, using a high-precision millivolt transmitter with a hot-sphere anemometer for measuring wind speeds at approximately 1 kPa pressure at 30 km altitude is feasible.
- At extremely low Reynolds numbers, the influence of viscous forces in the fluid becomes more pronounced, leading to greater variations in flow and heat transfer characteristics due to differences in shape and surface roughness among probes from different batches. Consequently, at approximately 1 kPa, the individual discrepancies between thermal sphere probes can be up to three times greater than those observed at 30 kPa. Therefore, to meet the requirements for wind speed measurements under low-pressure conditions, it is essential to calibrate each probe individually, as extrapolation methods may introduce significant errors.
- At around 1 kPa, the individual variations among hot-sphere anemometers can be up to three times greater compared to those at 30 kPa. Therefore, for wind speed measurement needs under low pressure, each probe should be individually calibrated, as extrapolation methods may introduce substantial errors.
- Comparisons of linear and quadratic interpolation for the wind speed–output signal curves at different pressures indicate that the interpolation truncation error for wind speeds between 1 kPa and 30 kPa does not show significant differences. Quadratic interpolation reduces the wind speed fitting truncation error by an order of magnitude. To achieve a fitting error of 0.05 m/s, a calibration interval of 1 m/s is sufficient for wind speeds above 5 m/s, while, for speeds below 5 m/s, the calibration interval should be reduced to within 0.5 m/s.
- Both linear and quadratic interpolation methods fail to adequately reflect the nonlinear impact of pressures below 10 kPa on the measurement signal. Therefore, for wind speed measurements in different low-pressure environments, it is advisable to calibrate each probe’s response individually at each wind speed to minimize the impact of pressure on measurement results.
Author Contributions
Funding
Institutional Review Board Statement
Informed Consent Statement
Data Availability Statement
Conflicts of Interest
References
- d’Oliveira, F.A.; Melo, F.C.L.D.; Campos, D.T. High-Altitude Platforms—Present Situation and Technology Trends. J. Aerosp. Technol. Manag. 2016, 8, 249–262. [Google Scholar] [CrossRef]
- Gao, W.; Bi, Y.; Li, X.; Dong, A.; Wang, J.; Yang, X. Variational Method-Based Trajectory Optimization for Hybrid Airships. Aerospace 2024, 11, 250. [Google Scholar] [CrossRef]
- Manikandan, M.; Pant, R.S. Research and advancements in hybrid airships—A review. Prog. Aerosp. Sci. 2021, 127, 100741. [Google Scholar]
- Weber, P. Validation of a Thermal Management Concept for the Avionics Compartment of a Stratosphere HALE. In Proceedings of the AIAA SCITECH 2024 Forum, Orlando, FL, USA, 8–12 January 2024; p. 1895. [Google Scholar]
- Galvão, J.; Faria, P.; Mateus, A.; Pereira, T.; Fernandes, S. Heatsinks to Cool Batteries for Unmanned Aerial Vehicles. Power Electron. 2021, 3, 7. [Google Scholar] [CrossRef]
- Wang, S.; Wang, H.; Chang, M.; Xu, J.; Wang, J.; Yang, X.; Bai, J. A novel battery thermal management system for an unmanned aerial vehicle using the graphene directional heat transfer structure. J. Power Sources 2023, 588, 233726. [Google Scholar] [CrossRef]
- Oettershagen, P. High-fidelity solar power income modeling for solar-electric uavs: Development and flight test based verification. arXiv 2017, arXiv:1703.07385. [Google Scholar]
- Li, X.; Lu, F.; Peng, F.; Fu, W.; Meng, F.; Man, G. Thermal design and analysis of payload cabin of solar UAV in near space. In Proceedings of the IOP Conference Series: Materials Science and Engineering, Shanghai, China, 26–28 April 2019; p. 012010. [Google Scholar]
- Zhu, W.; Li, J.; Xu, Y. Optimum attitude planning of near-space solar powered airship. Aerosp. Sci. Technol. 2019, 84, 291–305. [Google Scholar] [CrossRef]
- Zhang, L.; Li, J.; Wu, Y.; Lv, M. Analysis of attitude planning and energy balance of stratospheric airship. Energy 2019, 183, 1089–1103. [Google Scholar] [CrossRef]
- Wilson, C.F. Measurement of Wind on the Surface of Mars. Ph.D. Thesis, University of Oxford, Oxford, UK, 2003. [Google Scholar]
- Spelay, R.B.; Adane, K.F.; Sanders, R.S.; Sumner, R.J.; Gillies, R.G. The effect of low Reynolds number flows on pitot tube measurements. Flow Meas. Instrum. 2015, 45, 247–254. [Google Scholar] [CrossRef]
- Alfonso-Corcuera, D.; Ogueta-Gutiérrez, M.; Fernández-Soler, A.; González-Bárcena, D.; Pindado, S. Measuring relative wind speeds in stratospheric balloons with cup anemometers: The TASEC-lab mission. Sensors 2022, 22, 5575. [Google Scholar] [CrossRef]
- Hanford, A.D.; Long, L.N. The absorption of sound on Mars using the direct simulation Monte Carlo. J. Acoust. Soc. Am. 2006, 119, 3264. [Google Scholar] [CrossRef]
- Banfield, D.; Schindel, D.W.; Tarr, S.; Dissly, R.W. A Martian acoustic anemometer. J. Acoust. Soc. Am. 2016, 140, 1420–1428. [Google Scholar] [CrossRef]
- Bardera, R.; Sor, S.; Garcia-Magarino, A.; Gomez-Elvira, J.; Marin, M.; Navarro, S.; Torres, J.; Carretero, S. Experimental and numerical characterization of the flow around the Mars 2020 rover. J. Spacecr. Rocket. 2018, 55, 1136–1143. [Google Scholar] [CrossRef]
- Mallios, S.A.; Drakaki, E.; Amiridis, V. Effects of dust particle sphericity and orientation on their gravitational settling in the earth’s atmosphere. J. Aerosol Sci. 2020, 150, 105634. [Google Scholar] [CrossRef]
- Merrison, J.P.; Gunnlaugsson, H.P.; Jensen, J.; Kinch, K.; Nørnberg, P.; Rasmussen, K.R. A miniature laser anemometer for measurement of wind speed and dust suspension on Mars. Planet. Space Sci. 2004, 52, 1177–1186. [Google Scholar] [CrossRef]
- Rodriguez-Manfredi, J.A.; De la Torre Juárez, M.; Alonso, A.; Apéstigue, V.; Arruego, I.; Atienza, T.; Banfield, D.; Boland, J.; Carrera, M.; Castañer, L. The Mars Environmental Dynamics Analyzer, MEDA: A Suite of Environmental Sensors for the Mars 2020 Mission. Space Sci. Rev. 2021, 217, 1–86. [Google Scholar] [CrossRef]
- Crisp, D.; LaBaw, C.; Mahoney, C.; Serviss, O.; Harri, A.-M.; Polkko, J.; Calcutt, S.; Tillman, J.E.; Larsen, S.; Haberle, R. Netlander Atmis wind and temperature instruments. In Proceedings of the International Workshop on Mars Atmosphere Modelling and Observations, Granada, Spain, 13–15 January 2003. [Google Scholar]
- Numata, D.; Anyoji, M.; Sugino, Y.; Nagai, H.; Asai, K. Characteristics of thermal anemometers at low-pressure condition in a mars wind tunnel. In Proceedings of the 49th AIAA Aerospace Sciences Meeting Including the New Horizons Forum and Aerospace Exposition, Orlando, FL, USA, 4–7 January 2011; p. 1166. [Google Scholar]
- Li, X.; Yin, X.; Gao, Q.; Li, Q.; Wang, J. Simulation Research on Hot Bulb Anemometer Under Low Pressure. In Proceedings of the 3rd International Conference on Electromechanical Control Technology and Transportation (ICECTT 2018), Chongqing, China, 19–21 January 2018. [Google Scholar]
- Quix, H.; Quest, J.; Brzek, C. Hot-wire measurements in cryogenic environment. In Proceedings of the 49th AIAA Aerospace Sciences Meeting Including the New Horizons Forum and Aerospace Exposition, Orlando, FL, USA, 4–7 January 2011; p. 880. [Google Scholar]
- Bardera-Mora, R.; Garcia-Magariño, A.; Sor, S.; Urdiales, M. LDA characterization of the Mars 2020 rover influence on the wind measurements at low Reynolds. In Proceedings of the 2018 Applied Aerodynamics Conference, Atlanta, GA, USA, 25–29 June 2018; p. 2856. [Google Scholar]
- Pezzella, G.; Viviani, A. Mars Exploration, a Step Forward; Intechopen: London, UK, 2020. [Google Scholar]
- Domínguez-Pumar, M.; de la Torre Juárez, M.; Navarro, S.; Marin, M.; Gomez-Elvira, J.; Rosero-Pozo, C.; Manyosa, X.; Bermejo, S.; Rodríguez-Manfredi, J.A. Dynamics of constant temperature anemometers for the Martian Atmosphere. Measurement 2024, 239, 115427. [Google Scholar] [CrossRef]
- Kowalski, L.; Atienza, M.T.; Gorreta, S.; Jimenez, V.; Dominguez-Pumar, M.; Silvestre, S.; Castañer, L.M. Spherical wind sensor for the atmosphere of mars. IEEE Sens. J. 2015, 16, 1887–1897. [Google Scholar] [CrossRef]
- Nauk, A. Implementation of velocity slip and temperature jump boundary conditions for microfluidic devices. Pr. Inst. Podstawowych Probl. Tech. Pan 2007, 5, 1–50. [Google Scholar]
- Wen, G.; Boying, L.; Dongliang, W.; Xiyuan, L.; Dongxing, T.; Xiaoning, L.; Xiaoning, Y. Numerical simulation of plume flow field in vacuum chamber based on slip flow model. Spacecr. Environ. Eng. 2024, 41, 129. [Google Scholar]
- Xiyuan, L.I.; Yaqin, H.; Qinghua, G.; Lina, Z.; Jing, W. The heat transfer model of hot-sphere anemometer in Martian atmospheric environment and corresponding test validation. Spacecr. Environ. Eng. 2018, 35, 5. [Google Scholar]
- Xiyuan, L.; Xiaofang, Y.; Yaqin, H.; Qinghua, G. Research on applicability of hot-bulb anemometer under low pressure. In Proceedings of the MATEC Web of Conferences, Beijing, China, 10–13 May 2018; p. 03028. [Google Scholar]
- Merrison, J.; Gunnlaugsson, H.P.; Kinch, K.; Jacobsen, T.; Jensen, A.; Nørnberg, P.; Wahlgreen, H. An integrated laser anemometer and dust accumulator for studying wind-induced dust transport on Mars. Planet. Space Sci. 2006, 54, 1065–1072. [Google Scholar] [CrossRef]
- Anyoji, M.; Nagai, H.; Asai, K. Development of low density wind tunnel to simulate atmospheric flight on Mars. In Proceedings of the 47th AIAA Aerospace Sciences Meeting Including the New Horizons Forum and Aerospace Exposition, Orlando, FL, USA, 5–8 January 2009; p. 1517. [Google Scholar]
- Wilson, C.; Camilletti, A.; Calcutt, S.; Ligrani, P. A wind tunnel for the calibration of Mars wind sensors. Planet. Space Sci. 2008, 56, 1532–1541. [Google Scholar] [CrossRef]
- Haihua, Y.; Zejing, C.; Xingang, L.; Jianxun, R. Measurement of Low Wind Velocity under Low Pressure by an Improved Hot-bulb Probe. Space Med. Med. Eng. 2003, 16, 443–447. [Google Scholar]
- Djanali, V.; Syah, A.N.; Rizal, S. Numerical study of mixed convection around a heated circular cylinder. Appl. Mech. Mater. 2016, 836, 85–89. [Google Scholar] [CrossRef]
- Finlayson, B.A.; Olson, J.W. Heat transfer to spheres at low to intermediate Reynolds numbers. Chem. Eng. Commun. 1987, 58, 431–447. [Google Scholar] [CrossRef]

























| Parameter | Value | |
|---|---|---|
| 1 | Range | 0~75 mV |
| 2 | A/D resolution | 12 bit |
| 3 | Power consumption | <1.5 W |
| 4 | Communication protocol | Modbus |
| 5 | Standard accuracy | ±0.2% F.S |
| 6 | Temperature drift | ±0.015%/℃ |
| 7 | Response time | <0.03 s |
| 8 | Voltage influence | <0.1% |
Disclaimer/Publisher’s Note: The statements, opinions and data contained in all publications are solely those of the individual author(s) and contributor(s) and not of MDPI and/or the editor(s). MDPI and/or the editor(s) disclaim responsibility for any injury to people or property resulting from any ideas, methods, instructions or products referred to in the content. |
© 2024 by the authors. Licensee MDPI, Basel, Switzerland. This article is an open access article distributed under the terms and conditions of the Creative Commons Attribution (CC BY) license (https://creativecommons.org/licenses/by/4.0/).
Share and Cite
Li, X.; Yang, X.; Shen, X.; Lin, G.; Tao, D.; Wang, J. Experimental Study of Hot-Sphere Anemometer Response in Stratospheric Environment. Sensors 2024, 24, 6674. https://doi.org/10.3390/s24206674
Li X, Yang X, Shen X, Lin G, Tao D, Wang J. Experimental Study of Hot-Sphere Anemometer Response in Stratospheric Environment. Sensors. 2024; 24(20):6674. https://doi.org/10.3390/s24206674
Chicago/Turabian StyleLi, Xiyuan, Xiaoning Yang, Xiaobin Shen, Guiping Lin, Dongxing Tao, and Jing Wang. 2024. "Experimental Study of Hot-Sphere Anemometer Response in Stratospheric Environment" Sensors 24, no. 20: 6674. https://doi.org/10.3390/s24206674
APA StyleLi, X., Yang, X., Shen, X., Lin, G., Tao, D., & Wang, J. (2024). Experimental Study of Hot-Sphere Anemometer Response in Stratospheric Environment. Sensors, 24(20), 6674. https://doi.org/10.3390/s24206674

