Harmonic Vibration Analysis in a Simplified Model for Monitoring Transfemoral Implant Loosening
Abstract
1. Introduction
2. Experimental Investigation on Harmonic Generation in the Axisymmetric Model
2.1. Experimental Arrangements
- a.
- Experimental setup:
- b.
- Data collection and processing method:
- c.
- Experimental procedure:
2.2. Experimental Results
3. Finite Element Analysis of Forced Response of an Axisymmetric Model
3.1. Finite Element Analysis (FEA) Setup
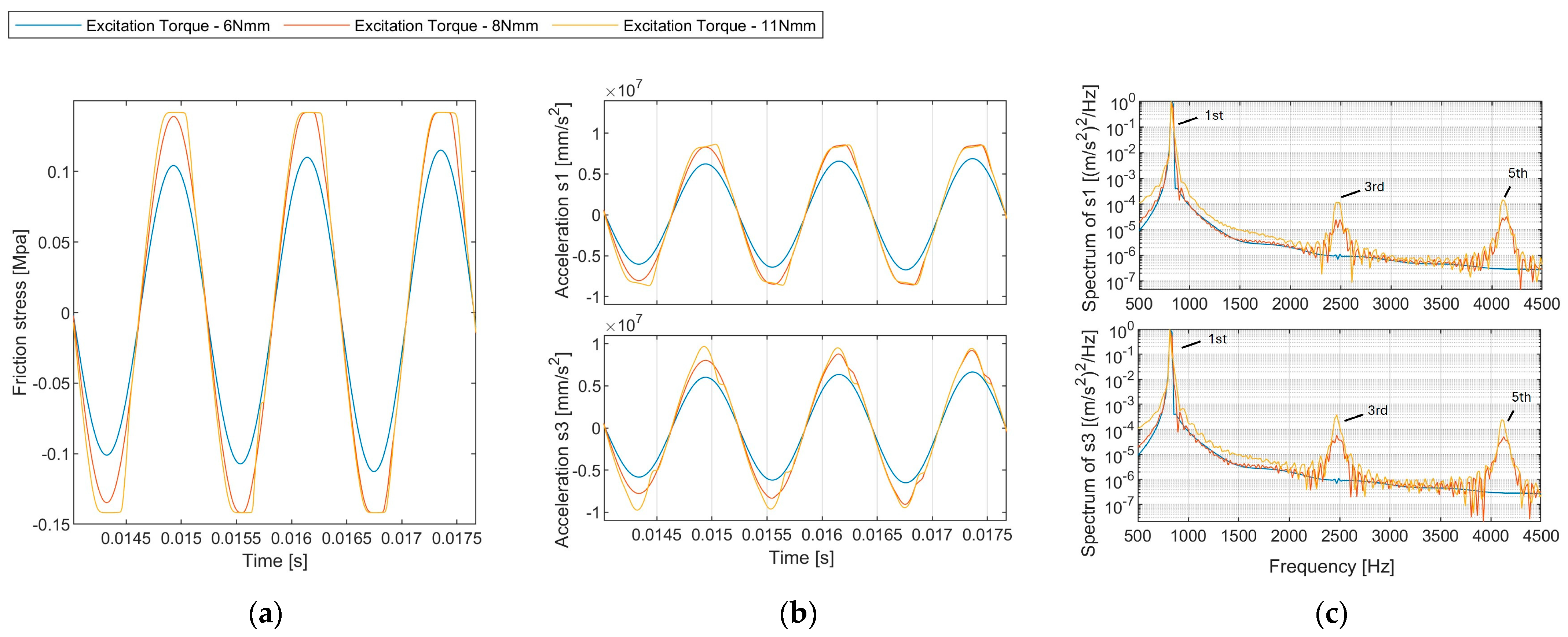
3.2. FEA Results
4. Discussion
5. Conclusions
Author Contributions
Funding
Institutional Review Board Statement
Informed Consent Statement
Data Availability Statement
Acknowledgments
Conflicts of Interest
References
- Thesleff, A.; Brånemark, R.; Håkansson, B.; Ortiz-Catalan, M. Biomechanical characterisation of bone-anchored implant systems for amputation limb prostheses: A systematic review. Ann. Biomed. Eng. 2018, 46, 377–391. [Google Scholar] [CrossRef] [PubMed]
- Overmann, A.L.; Forsberg, J.A. The state of the art of osseointegration for limb prosthesis. Biomed. Eng. Lett. 2020, 10, 5–16. [Google Scholar] [CrossRef] [PubMed]
- Reif, T.J.; Khabyeh-Hasbani, N.; Jaime, K.M.; Sheridan, G.A.; Otterburn, D.M.; Rozbruch, S.R. Early Experience with Femoral and Tibial Bone-Anchored Osseointegration Prostheses. JBJS Open Access 2021, 6, e21.00072. [Google Scholar] [CrossRef]
- Atallah, R.; Leijendekkers, R.A.; Hoogeboom, T.J.; Frölke, J.P. Complications of bone-anchored prostheses for individuals with an extremity amputation: A systematic review. PLoS ONE 2018, 13, e0201821. [Google Scholar] [CrossRef] [PubMed]
- Hagberg, K.; Häggström, E.; Jönsson, S.; Rydevik, B.; Brånemark, R. Osseoperception and Osseointegrated Prosthetic Limbs. In Psychoprosthetics; Gallagher, P., Desmond, D., MacLachlan, M., Eds.; Springer: London, UK, 2008; pp. 131–140. [Google Scholar]
- Haque, R.; Al-Jawazneh, S.; Hoellwarth, J.; Akhtar, M.A.; Doshi, K.; Tan, Y.C.; Lu, W.Y.-R.; Roberts, C.; Al Muderis, M. Osseointegrated reconstruction and rehabilitation of transtibial amputees: The Osseointegration Group of Australia surgical technique and protocol for a prospective cohort study. BMJ Open 2020, 10, e038346. [Google Scholar] [CrossRef]
- Hagberg, K.; Brånemark, R. One hundred patients treated with osseointegrated transfemoral amputation prostheses—Rehabilitation perspective. J. Rehabil. Res. Dev. 2009, 46, 331–344. [Google Scholar] [CrossRef]
- Gstoettner, C.; Salminger, S.; Sturma, A.; Moser, V.; Hausner, T.; Brånemark, R.; Aszmann, O.C. Successful salvage via re-osseointegration of a loosened implant in a patient with transtibial amputation. Prosthet. Orthot. Int. 2021, 45, 76–80. [Google Scholar] [CrossRef] [PubMed]
- Zhang, L.; Miramini, S.; Richardson, M.; Ebeling, P.; Little, D.; Yang, Y.; Huang, Z. Computational modelling of bone fracture healing under partial weight-bearing exercise. Med. Eng. Phys. 2017, 42, 65–72. [Google Scholar] [CrossRef]
- Robinson, D.L.; Safai, L.; Harandi, V.J.; Graf, M.; Lizama, L.E.C.; Lee, P.; Galea, M.P.; Khan, F.; Tse, K.M.; Ackland, D.C. Load response of an osseointegrated implant used in the treatment of unilateral transfemoral amputation: An early implant loosening case study. Clin. Biomech. 2020, 73, 201–212. [Google Scholar] [CrossRef] [PubMed]
- Frölke, J.P.M.; Leijendekkers, R.A.; van de Meent, H. Osseointegrated prosthesis for patients with an amputation: Multidisciplinary team approach in the Netherlands. Unfallchirurg 2017, 120, 293–299. [Google Scholar] [CrossRef]
- Prochor, P.; Sajewicz, E. The influence of geometry of implants for direct skeletal attachment of limb prosthesis on rehabilitation program and stress-shielding intensity. BioMed. Res. Int. 2019, 2019, 6067952. [Google Scholar] [CrossRef] [PubMed]
- Caouette, C.; Yahia, L.H.; Bureau, M.N. Reduced stress shielding with limited micromotions using a carbon fibre composite biomimetic hip stem: A finite element model. Proc. Inst. Mech. Eng. Part H J. Eng. Med. 2011, 225, 907–919. [Google Scholar] [CrossRef] [PubMed]
- Bragdon, C.R.; Burke, D.; Lowenstein, J.D.; O’Connor, D.O.; Ramamurti, B.; Jasty, M.; Harris, W.H. Differences in stiffness of the interface between a cementless porous implant and cancellous bone in vivo in dogs due to varying amounts of implant motion. J. Arthroplast. 1996, 11, 945–951. [Google Scholar] [CrossRef]
- Patil, N.; Goodman, S.B. 7-Wear particles and osteolysis. In Orthopaedic Bone Cements; Deb, S., Ed.; Woodhead Publishing: Cambridge, UK, 2008; pp. 140–163. [Google Scholar]
- Rupp, M.; Kern, S.; Ismat, A.; El Khassawna, T.; Knapp, G.; Szalay, G.; Heiss, C.; Biehl, C. Computed tomography for managing periprosthetic femoral fractures. A retrospective analysis. BMC Musculoskelet. Disord. 2019, 20, 258. [Google Scholar] [CrossRef]
- Georgiou, A.P.; Cunningham, J.L. Accurate diagnosis of hip prosthesis loosening using a vibrational technique. Clin. Biomech. 2001, 16, 315–323. [Google Scholar] [CrossRef]
- Lu, S.; Vien, B.S.; Russ, M.; Fitzgerald, M.; Chiu, W.K. Non-radiative healing assessment techniques for fractured long bones and osseointegrated implant. Biomed. Eng. Lett. 2020, 10, 63–81. [Google Scholar] [CrossRef] [PubMed]
- Huang, H.-M.; Chiu, C.-L.; Yeh, C.-Y.; Lin, C.-T.; Lin, L.-H.; Lee, S.-Y. Early detection of implant healing process using resonance frequency analysis. Clin. Oral. Implant. Res. 2003, 14, 437–443. [Google Scholar] [CrossRef]
- Cawley, P.; Pavlakovic, B.; Alleyne, D.N.; George, R.; Back, T.; Meredith, N. The design of a vibration transducer to monitor the integrity of dental implants. Proc. Inst. Mech. Eng. Part H J. Eng. Med. 1998, 212, 265–272. [Google Scholar] [CrossRef] [PubMed]
- Pattijn, V.; Van Lierde, C.; Van der Perre, G.; Naert, I.; Vander Sloten, J. The resonance frequencies and mode shapes of dental implants: Rigid body behaviour versus bending behaviour. A numerical approach. J. Biomech. 2006, 39, 939–947. [Google Scholar] [CrossRef] [PubMed]
- Jaecques, S.V. Analysis of the fixation quality of cementless hip prostheses using a vibrational technique. Shock. Vib. Dig. 2006, 38, 252. [Google Scholar]
- Vien, B.S.; Chiu, W.K.; Russ, M.; Fitzgerald, M. A vibration analysis strategy for quantitative fracture healing assessment of an internally fixated femur with mass-loading effect of soft tissue. Struct. Health Monit. 2020, 20, 2993–3006. [Google Scholar] [CrossRef]
- Cornelissen, P.; Cornelissen, M.; Van der Perre, G.; Christensen, A.B.; Ammitzbøll, F.; Dyrbye, C. Assessment of tibial stiffness by vibration testing in situ—II. Influence of soft tissues, joints and fibula. J. Biomech. 1986, 19, 551–561. [Google Scholar] [CrossRef] [PubMed]
- Nikiforidis, G.; Bezerianos, A.; Dimarogonas, A.; Sutherland, C. Monitoring of fracture healing by lateral and axial vibration analysis. J. Biomech. 1990, 23, 323–330. [Google Scholar] [CrossRef]
- Rowlands, A.; Duck, F.A.; Cunningham, J.L. Bone vibration measurement using ultrasound: Application to detection of hip prosthesis loosening. Med. Eng. Phys. 2008, 30, 278–284. [Google Scholar] [CrossRef]
- Vien, B.S.; Chiu, W.K.; Russ, M.; Fitzgerald, M. Modal Frequencies Associations with Musculoskeletal Components of Human Legs for Extracorporeal Bone Healing Assessment Based on a Vibration Analysis Approach. Sensors 2022, 22, 670. [Google Scholar] [CrossRef] [PubMed]
- Qi, G.; Mouchon, W.P.; Tan, T.E. How much can a vibrational diagnostic tool reveal in total hip arthroplasty loosening? Clin. Biomech. 2003, 18, 444–458. [Google Scholar] [CrossRef] [PubMed]
- Cachão, J.H.; dos Santos, M.P.S.; Bernardo, R.; Ramos, A.; Bader, R.; Ferreira, J.A.F.; Marques, A.T.; Simões, J.A.O. Altering the Course of Technologies to Monitor Loosening States of Endoprosthetic Implants. Sensors 2020, 20, 104. [Google Scholar] [CrossRef]
- Rosenstein, A.D.; McCoy, G.F.; Bulstrode, C.J.; McLardy-Smith, P.D.; Cunningham, J.L.; Turner-Smith, A.R. The differentiation of loose and secure femoral implants in total hip replacement using a vibrational technique: An anatomical and pilot clinical study. Proc. Inst. Mech. Eng. Part H J. Eng. Med. 1989, 203, 77–81. [Google Scholar] [CrossRef] [PubMed]
- Li, P.L.S.; Jones, N.B.; Gregg, P.J. Vibration analysis in the detection of total hip prosthetic loosening. Med. Eng. Phys. 1996, 18, 596–600. [Google Scholar] [CrossRef]
- Arami, A.; Delaloye, J.-R.; Rouhani, H.; Jolles, B.M.; Aminian, K. Knee Implant Loosening Detection: A Vibration Analysis Investigation. Ann. Biomed. Eng. 2018, 46, 97–107. [Google Scholar] [CrossRef]
- Mohamed, M.; Beaudry, E.; Shehata, A.W.; Raboud, D.; Hebert, J.S.; Westover, L. Evaluation of the Transfemoral Bone–Implant Interface Properties Using Vibration Analysis. Ann. Biomed. Eng. 2024. [Google Scholar] [CrossRef]
- Schumacher, N.; Geiger, F.; Spors, S.; Bader, R.; Haubelt, C.; Kluess, D. Detection of Total Hip Replacement Loosening Based on Structure-Borne Sound: Influence of the Position of the Sensor on the Hip Stem. Sensors 2024, 24, 4594. [Google Scholar] [CrossRef]
- Alshuhri, A.A.; Holsgrove, T.P.; Miles, A.W.; Cunningham, J.L. Non-invasive vibrometry-based diagnostic detection of acetabular cup loosening in total hip replacement (THR). Med. Eng. Phys. 2017, 48, 188–195. [Google Scholar] [CrossRef] [PubMed]
- Alshuhri, A.A.; Holsgrove, T.P.; Miles, A.W.; Cunningham, J.L. Development of a non-invasive diagnostic technique for acetabular component loosening in total hip replacements. Med. Eng. Phys. 2015, 37, 739–745. [Google Scholar] [CrossRef] [PubMed]
- Cairns, N.J.; Adam, C.J.; Pearcy, M.J.; Smeathers, J. Evaluation of modal analysis techniques using physical models to detect osseointegration of implants in transfemoral amputees. In Proceedings of the 2011 33 rd Annual International Conference of the IEEE Engineering in Medicine and Biology Society, Boston, MA, USA, 30 August–3 September 2011; pp. 1600–1603. [Google Scholar]
- Inman, D.J.; Singh, R.C. Engineering Vibration; Prentice Hall Englewood Cliffs: Hoboken, NJ, USA, 1994; Volume 3. [Google Scholar]
- Yoon, J.Y.; Trumper, D.L. Friction microdynamics in the time and frequency domains: Tutorial on frictional hysteresis and resonance in precision motion systems. Precis. Eng. 2019, 55, 101–109. [Google Scholar] [CrossRef]
- Balasubramanian, P.; Franchini, G.; Ferrari, G.; Painter, B.; Karazis, K.; Amabili, M. Nonlinear vibrations of beams with bilinear hysteresis at supports: Interpretation of experimental results. J. Sound. Vib. 2021, 499, 115998. [Google Scholar] [CrossRef]
- Meziane, A.; Norris, A.N.; Shuvalov, A.L. Nonlinear shear wave interaction at a frictional interface: Energy dissipation and generation of harmonics. J. Acoust. Soc. Am. 2011, 130, 1820–1828. [Google Scholar] [CrossRef]
- Biwa, S.; Hiraiwa, S.; Matsumoto, E. Pressure-Dependent Stiffnesses and Nonlinear Ultrasonic Response of Contacting Surfaces. J. Solid Mech. Mater. Eng. 2009, 3, 10–21. [Google Scholar] [CrossRef]
- Blanloeuil, P.; Croxford, A.J.; Meziane, A. Numerical and experimental study of the nonlinear interaction between a shear wave and a frictional interface. J. Acoust. Soc. Am. 2014, 135, 1709–1716. [Google Scholar] [CrossRef] [PubMed]
- Klepka, A.; Staszewski, W.; Jenal, R.; Szwedo, M.; Iwaniec, J.; Uhl, T. Nonlinear acoustics for fatigue crack detection–experimental investigations of vibro-acoustic wave modulations. Struct. Health Monit. 2012, 11, 197–211. [Google Scholar] [CrossRef]
- Gammoudi, K.; Kharrat, M.; Dammak, M.; Abdelmoula, R.; Ramtani, S. Pull-Out Response of a Steel Post Inserted in a Pre-Drilled HDPE Cylinder: Analytical and Finite Element Analyses Using Pressure-Dependent Friction. J. Adhes. Sci. Technol. 2012, 26, 1157–1167. [Google Scholar] [CrossRef]
- Mann, K.A.; Allen, M.J.; Ayers, D.C. Pre-yield and post-yield shear behavior of the cement-bone interface. J. Orthop. Res. 1998, 16, 370–378. [Google Scholar] [CrossRef] [PubMed]











| Density (kg/m3) | Poisson’s Ratio | Young’s Modulus (GPa) | |
|---|---|---|---|
| Cortical bone | 1829 | 0.3 | 17.6 |
| Titanium alloy | 4500 | 0.33 | 110 |
Disclaimer/Publisher’s Note: The statements, opinions and data contained in all publications are solely those of the individual author(s) and contributor(s) and not of MDPI and/or the editor(s). MDPI and/or the editor(s) disclaim responsibility for any injury to people or property resulting from any ideas, methods, instructions or products referred to in the content. |
© 2024 by the authors. Licensee MDPI, Basel, Switzerland. This article is an open access article distributed under the terms and conditions of the Creative Commons Attribution (CC BY) license (https://creativecommons.org/licenses/by/4.0/).
Share and Cite
Zhou, Q.; Rose, L.R.F.; Ebeling, P.; Russ, M.; Fitzgerald, M.; Chiu, W.K. Harmonic Vibration Analysis in a Simplified Model for Monitoring Transfemoral Implant Loosening. Sensors 2024, 24, 6453. https://doi.org/10.3390/s24196453
Zhou Q, Rose LRF, Ebeling P, Russ M, Fitzgerald M, Chiu WK. Harmonic Vibration Analysis in a Simplified Model for Monitoring Transfemoral Implant Loosening. Sensors. 2024; 24(19):6453. https://doi.org/10.3390/s24196453
Chicago/Turabian StyleZhou, Qingsong, Louis Raymond Francis Rose, Peter Ebeling, Matthias Russ, Mark Fitzgerald, and Wing Kong Chiu. 2024. "Harmonic Vibration Analysis in a Simplified Model for Monitoring Transfemoral Implant Loosening" Sensors 24, no. 19: 6453. https://doi.org/10.3390/s24196453
APA StyleZhou, Q., Rose, L. R. F., Ebeling, P., Russ, M., Fitzgerald, M., & Chiu, W. K. (2024). Harmonic Vibration Analysis in a Simplified Model for Monitoring Transfemoral Implant Loosening. Sensors, 24(19), 6453. https://doi.org/10.3390/s24196453

