Performance Enhancement for B5G/6G Networks Based on Space Time Coding Schemes Assisted by Intelligent Reflecting Surfaces with Higher Modulation Orders
Abstract
1. Introduction
- The paper employs a combination of OSTBC and IRS technology, to reduce the required bit energy to noise power spectral density (Eb/No) in case of the MISO system.
- In contrast to prior work, OSTBC is utilized instead of QOSTBC to prevent ISI.
- Unlike the previous work, the paper utilizes OSTBC with a ¾ code rate combined with IRS.
- A detailed mathematical model is introduced for OSTBC combined with IRS.
- The proposed systems of OSTBC are simulated in case of different modulation techniques (QPSK, 16 QAM, 64 QAM, and 256 QAM).
- The system performance is evaluated and compared in both cases with IRS and without IRS to assess the benefits of the IRS integration.
2. System Model
3. Space Time Block Code (STBC)
3.1. Alamouti STBC System Model
3.2. OSTBC System Model
| Algorithm 1: BER calculation for the proposed system |
|
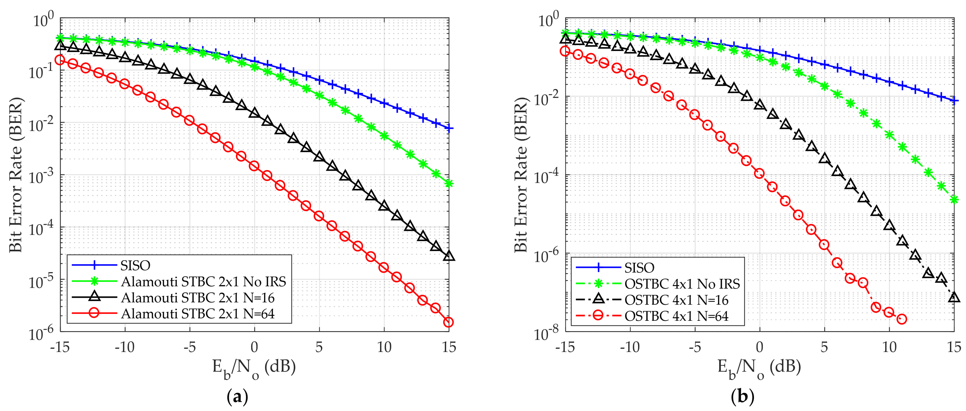
4. Results: Analysis and Discussion
5. Conclusions
Author Contributions
Funding
Institutional Review Board Statement
Informed Consent Statement
Data Availability Statement
Conflicts of Interest
References
- Sejan, M.A.S.; Rahman, M.H.; Aziz, M.A.; Kim, D.S.; You, Y.H.; Song, H.K. A Comprehensive Survey on MIMO Visible Light Communication: Current Research, Machine Learning and Future Trends. Sensors 2023, 23, 739. [Google Scholar] [CrossRef]
- Vaigandla, K.K.; Venu, N. Survey on Massive MIMO: Technology, Challenges, Opportunities and Benefits. YMER Digit. 2021, 20, 271–282. [Google Scholar] [CrossRef] [PubMed]
- Renzo, M.D.; Haas, H.; Ghrayeb, A.; Hanzo, L.; Sugiura, S. Spatial modulation for multiple-antenna communication. In Wiley Encyclopedia of Electrical and Electronics Engineering; Wiley: New York, NY, USA, 2016; pp. 1–23. [Google Scholar]
- Björnson, E.; Chae, C.B.; Heath, R.W., Jr.; Marzetta, T.L.; Mezghani, A.; Sanguinetti, L.; Rusek, F.; Castellanos, M.R.; Jun, D.; Demir, Ö.T. Towards 6G MIMO: Massive Spatial Multiplexing, Dense Arrays, and Interplay between Electromagnetics and Processing. arXiv 2024, arXiv:2401.02844. [Google Scholar]
- Lozano, A.; Jindal, N. Transmit diversity vs. spatial multiplexing in modern MIMO systems. IEEE Trans. Wirel. Commun. 2010, 9, 186–197. [Google Scholar] [CrossRef]
- Kim, S. Performance analysis of precoding-aided differential spatial modulation systems with transmit antenna selection. ETRI J. 2021, 44, 117–124. [Google Scholar] [CrossRef]
- Mesleh, R.; Haas, H.; Ahn, C.W.; Yun, S. Spatial modulation-a new low complexity spectral efficiency enhancing technique. In Proceedings of the 2006 First International Conference on Communications and Networking in China, Beijing, China, 25–27 October 2006; pp. 1–5. [Google Scholar]
- Mesleh, R.Y.; Haas, H.; Sinanovic, S.; Ahn, C.W.; Yun, S. Spatial modulation. IEEE Trans. Veh. Technol. 2008, 57, 2228–2241. [Google Scholar] [CrossRef]
- Lau, C. Performance of MIMO Systems Using Space Time Block Codes (STBC). Open J. Appl. Sci. 2021, 11, 273–286. [Google Scholar] [CrossRef]
- Alamouti, S.M. A simple transmit diversity scheme for wireless communications. IEEE J. Sel. Areas Commun. 1998, 16, 1451–1458. [Google Scholar] [CrossRef]
- Dala Pegorara Souto, V.; Dester, P.S.; Soares Pereira Facina, M.; Gomes Silva, D.; de Figueiredo, F.A.P.; Rodrigues de Lima Tejerina, G.; Silveira Santos Filho, J.C.; Silveira Ferreira, J.; Mendes, L.L.; Souza, R.D.; et al. Emerging MIMO Technologies for 6G Networks. Sensors 2023, 23, 1921. [Google Scholar] [CrossRef]
- Zhao, J. A survey of intelligent reflecting surfaces (IRSs): Towards 6G wireless communication networks. arXiv 2019, arXiv:1907.04789. [Google Scholar]
- Tan, X.; Sun, Z.; Jornet, J.M.; Pados, D. Increasing indoor spectrum sharing capacity using smart reflect-array. In Proceedings of the 2016 IEEE International Conference on Communications (ICC), Kuala Lumpur, Malaysia, 22–27 May 2016; pp. 1–6. [Google Scholar]
- Tan, X.; Sun, Z.; Koutsonikolas, D.; Jornet, J.M. Enabling Indoor Mobile Millimeter-wave Networks Based on Smart Reflect-arrays. In Proceedings of the IEEE INFOCOM 2018—IEEE Conference on Computer Communications, Honolulu, HI, USA, 16–19 April 2018; pp. 270–278. [Google Scholar]
- Okogbaa, F.C.; Ahmed, Q.Z.; Khan, F.A.; Bin Abbas, W.; Che, F.; Zaidi, S.A.R.; Alade, T. Design and Application of Intelligent Reflecting Surface (IRS) for Beyond 5G Wireless Networks: A Review. Sensors 2022, 22, 2436. [Google Scholar] [CrossRef] [PubMed]
- ETSI.GR RIS 002 V1.1.1; Reconfigurable Intelligent Surfaces (RIS); Technological Challenges, Architecture and Impact on Standardization. ETSI: Sophia Antipolis, France, 2023.
- Sur, S.N.; Bera, R. Intelligent reflecting surface assisted MIMO communication system: A review. Phys. Commun. 2021, 47, 101386:1–101386:24. [Google Scholar] [CrossRef]
- Rihan, M.; Zappone, A.; Buzzi, S.; Fodor, G.; Debbah, M. Passive Versus Active Reconfigurable Intelligent Surfaces for Integrated Sensing and Communication: Challenges and Opportunities. IEEE Netw. 2024, 38, 218–226. [Google Scholar] [CrossRef]
- Demmer, D.; Foglia Manzillo, F.; Gharbieh, S.; Śmierzchalski, M.; D’Errico, R.; Doré, J.B.; Clemente, A. Hybrid Precoding Applied to Multi-Beam Transmitting Reconfigurable Intelligent Surfaces (T-RIS). Electronics 2023, 13, 1162. [Google Scholar] [CrossRef]
- Omid, Y.; Shahabi, S.M.M.; Pan, C.; Deng, Y.; Nallanathan, A. Low-Complexity Beamforming Design for IRS-Aided NOMA Communication System with Imperfect CSI. arXiv 2022, arXiv:2203.03004. [Google Scholar]
- Freni, A.; Beccaria, M.; Mazzinghi, A.; Massaccesi, A.; Pirinoli, P. Low-Profile and Low-Visual Impact Smart Electromagnetic Curved Passive Skins for Enhancing Connectivity in Urban Scenarios. Electronics 2023, 12, 4491. [Google Scholar] [CrossRef]
- Martinez-de-Rioja, E.; Vaquero, Á.F.; Arrebola, M.; Carrasco, E.; Encinar, J.A.; Achour, M. Passive intelligent reflecting surfaces based on reflectarray panels to enhance 5G millimeter-wave coverage. Int. J. Microw. Wirel. Tech. 2022, 15, 1–12. [Google Scholar] [CrossRef]
- Zhao, Y.; Zhai, W.; Zhao, J.; Zhang, T.; Sun, S.; Niyato, D.; Lam, K.-Y. A comprehensive survey of 6G wireless communications. arXiv 2020, arXiv:2101.03889. [Google Scholar]
- Han, Y.; Zhang, S.; Duan, L.; Zhang, R. Double-IRS Aided MIMO Communication Under LoS Channels: Capacity Maximization and Scaling. IEEE Trans. Commun. 2022, 70, 2820–2837. [Google Scholar] [CrossRef]
- Elganimi, T.Y.; Rabie, K.M.; Nauryzbayev, G. IRS-Assisted Millimeter-wave Massive MIMO with Transmit Antenna Selection for IoT Networks. In Proceedings of the IEEE Vehicular Technology Conference, Florence, Italy, 20–23 June 2023; pp. 1–6. [Google Scholar]
- Shalaby, M.; Helmy, D.; Lamie, M.W.; Shokair, M. Intelligent Reflecting Surfaces: Performance Simulation in Millimeter Wave Channels. IJT 2023, 3, 1–12. [Google Scholar] [CrossRef]
- Khaleel, A.; Basar, E. Reconfigurable intelligent surface-empowered MIMO systems. IEEE Syst. J. 2021, 15, 4358–4366. [Google Scholar] [CrossRef]
- Song, W.; Guan, B. Reconfigurable Intelligent Surface-Based Space-Time Block Transmission on 6G. Wirel. Commun. Mob. Comput. 2021, 2021, 5569006. [Google Scholar] [CrossRef]
- Tang, W.; Dai, J.Y.; Chen, M.Z.; Han, Y. Realization of Reconfigurable Intelligent Surface-Based Alamouti Space-Time Transmission. In Proceedings of the 12th International Conference on Wireless Communications and Signal Processing, Nanjing, China, 21–23 October 2020; pp. 904–909. [Google Scholar]
- Jana, M.; Kumar, S. Performance analysis of IRS-assist wireless communication system with Alamouti transmit diversity scheme. AEU-Int. J. Electron. C. 2023, 171, 154878. [Google Scholar] [CrossRef]
- Li, Q.; Wen, M.; Wang, S.; Alexandropoulos, G.C.; Wu, Y.C. Space Shift Keying With Reconfigurable Intelligent Surfaces: Phase Configuration Designs and Performance Analysis. IEEE Open J. Commun. Soc. 2021, 2, 322–333. [Google Scholar] [CrossRef]
- Bayar, F.; Salan, O.; Ilhan, H.; Aydin, E. Space-Time Block Coded Reconfigurable Intelligent Surface-Based Received Spatial Modulation. IEEE Trans. Mob. Comput. 2024, 1–13. [Google Scholar] [CrossRef]
- Xu, J.; Shang, P. Robust STBC scheme for IRS-assisted SWIPT systems. 2024, 0–10, Preprint. [Google Scholar] [CrossRef]
- Tarokh, V.; Jafarkhani, H.; Calderbank, A.R. Space-time block coding for wireless communications: Performance results. IEEE J. Sel. Areas Commun. 1999, 17, 451–460. [Google Scholar] [CrossRef]
- Vucetic, B.; Jinhong, Y. Space-Time Coding, 1st ed.; Wiley: New York, NY, USA, 2003. [Google Scholar]
- Tarokh, V.; Jafarkhani, H.; Calderbank, A.R. Space—Time Block Codes from Orthogonal Designs. IEEE Trans. Inf. Theory 1999, 45, 1456–1467. [Google Scholar] [CrossRef]
- Hai, H.; Li, C.; Li, J.; Peng, Y.; Hou, J.; Jiang, X.-Q. Space-Time Block Coded Cooperative MIMO Systems. Sensors 2021, 21, 109. [Google Scholar] [CrossRef]
- Kadan, F.E.; Haliloğlu, Ö.; Reial, A. Alamouti-Like Transmission Schemes in Distributed MIMO Networks. IEEE Wirel. Commun. Lett. 2023, 12, 2098–2102. [Google Scholar] [CrossRef]
- Raviteja, P.; Narasimhan, T.L.; Chockalingam, A. Multiuser SM-MIMO versus Massive MIMO: Uplink Performance Comparison. arXiv 2013, arXiv:1311.1291. [Google Scholar]
- Jafarkhani, H. Space-Time Coding: Theory and Practice; Cambridge University Press: Cambridge, UK, 2005. [Google Scholar]
- Zhou, G.; Pan, C.; Ren, H.; Wang, K.; Nallanathan, A. Intelligent Reflecting Surface Aided Multigroup Multicast MISO Communication Systems. IEEE Trans. Signal Process. 2020, 68, 3236–3251. [Google Scholar] [CrossRef]
- Li, D.; An, Q.; Shi, Y.; Zhou, Y. Multigroup multicast transmission via intelligent reflecting surface. In Proceedings of the 2020 IEEE 92nd Vehicular Technology Conference (VTC), Victoria, BC, Canada, 18 November 2020; pp. 1–6. [Google Scholar]
- Shi, W.; Li, J.; Xia, G.; Wang, Y.; Zhou, X.; Zhang, Y.; Shu, F. Secure multigroup multicast communication systems via intelligent reflecting surface. China Commun. 2021, 18, 39–51. [Google Scholar] [CrossRef]
- Kaviani, S.; Tellambura, C. Closed-form BER analysis for antenna selection using orthogonal space-time block codes. IEEE Commun. Lett. 2006, 10, 461–464. [Google Scholar] [CrossRef]
- Cho, Y.S.; Kim, J.; Yang, W.Y.; Kang, C.G. MIMO-OFDM Wireless Communications with MATLAB; John Wiley & Sons: Hoboken, NJ, USA, 2010. [Google Scholar]
- Khalid, A.; Suksompong, P. Application of maximum rank distance codes in designing of STBC-OFDM system for next-generation wireless communications. Digit. Commun. Netw. 2023, in press. [Google Scholar] [CrossRef]
- Tang, R.; Zhou, X.; Wang, C. Kalman filter channel estimation in 2 × 2 and 4 × 4 STBC MIMO-OFDM systems. IEEE Access 2020, 8, 189089–189105. [Google Scholar] [CrossRef]










| Parameter | Description |
|---|---|
| The amplitude coefficient with values from 0 to 1 | |
| ) | |
| Diagonal matrix of the adjustable phase | |
| Energy per symbol | |
| H | The cascaded fading channel coefficient |
| The channel between the gNodeB and the IRS (N × Nt) | |
| The channel between the UE and the gNodeB (Nt × 1) | |
| The channel between the UE and the IRS (N × 1) | |
| The cascaded channel between transmitting antenna i and IRS | |
| The recovered cascaded channel of the transmitting antenna i | |
| K | The number of modulated symbols during each Ts |
| M | Modulation order |
| m | Number of information bits |
| N | Number of IRS reflecting elements |
| Nt | Number of transmitting antennas |
| Additive White Gaussian Noise Vector (AWGN) (1 × Nt) | |
| R | Space time block code rate |
| S | Set of all possible symbols in the constellation |
| Symbol i in the set of all possible symbols in the constellation S | |
| Ts | The number of transmission time slots |
| The transmission orthogonal symbol matrix | |
| The conjugate transpose of the matrix X (X Hermitian) | |
| x | Modulated Symbol |
| The likelihood received symbol | |
| Decision statistics of the symbol | |
| The row vector for the received signals (1 × Nt) | |
| The received signal at time slot i |
| Simulation Parameters | Value(s) |
|---|---|
| Modulation scheme | QPSK, 16-QAM, 64-QAM, 256-QAM |
| Number of transmitting antennas (Nt) | 2 (Alamouti), 4 (OSTBC) |
| Number of receiving antennas | 1 |
| Number of simulated bits | 108 |
| Channel models | Rayleigh flat fading, with (0, 1) |
| Number of IRS elements (N) | 16, 64 |
| M_QAM | Alamouti | OSTBC | ||||
|---|---|---|---|---|---|---|
| No IRS | N = 16 | N = 64 | No IRS | N = 16 | N = 64 | |
| QPSK | 8 dB | 1 dB | −5 dB | 6 dB | −1 dB | −7 dB |
| 16 QAM | 11 dB | 4 dB | −2 dB | 9 dB | 2 dB | −4 dB |
| 64 QAM | 15 dB | 8 dB | 2 dB | 13 dB | 6 dB | 0 dB |
| 256 QAM | N/A | 12 dB | 6 dB | N/A | 10 dB | 4 dB |
| N | 49 | 100 | 144 | 256 | 289 | |
|---|---|---|---|---|---|---|
| M_QAM | ||||||
| QPSK | 2.50 × 10−4 | 2.03 × 10−5 | 5.29 × 10−6 | 4.00 × 10−7 | 2.90 × 10−7 | |
| 16 QAM | 2.70 × 10−3 | 3.40 × 10−4 | 1.05 × 10−4 | 1.37 × 10−5 | 8.64 × 10−6 | |
| 64 QAM | 1.80 × 10−2 | 4.40 × 10−3 | 1.79 × 10−3 | 3.40 × 10−4 | 2.31 × 10−4 | |
| 256 QAM | 5.80 × 10−2 | 2.68 × 10−2 | 1.56 × 10−2 | 5.20 × 10−3 | 4.00 × 10−3 | |
Disclaimer/Publisher’s Note: The statements, opinions and data contained in all publications are solely those of the individual author(s) and contributor(s) and not of MDPI and/or the editor(s). MDPI and/or the editor(s) disclaim responsibility for any injury to people or property resulting from any ideas, methods, instructions or products referred to in the content. |
© 2024 by the authors. Licensee MDPI, Basel, Switzerland. This article is an open access article distributed under the terms and conditions of the Creative Commons Attribution (CC BY) license (https://creativecommons.org/licenses/by/4.0/).
Share and Cite
El-Hussien, M.; Abdelhamid, B.; Elbadawy, H.; El-Hennawy, H.; Ahmed, M. Performance Enhancement for B5G/6G Networks Based on Space Time Coding Schemes Assisted by Intelligent Reflecting Surfaces with Higher Modulation Orders. Sensors 2024, 24, 6169. https://doi.org/10.3390/s24196169
El-Hussien M, Abdelhamid B, Elbadawy H, El-Hennawy H, Ahmed M. Performance Enhancement for B5G/6G Networks Based on Space Time Coding Schemes Assisted by Intelligent Reflecting Surfaces with Higher Modulation Orders. Sensors. 2024; 24(19):6169. https://doi.org/10.3390/s24196169
Chicago/Turabian StyleEl-Hussien, Mariam, Bassant Abdelhamid, Hesham Elbadawy, Hadia El-Hennawy, and Mehaseb Ahmed. 2024. "Performance Enhancement for B5G/6G Networks Based on Space Time Coding Schemes Assisted by Intelligent Reflecting Surfaces with Higher Modulation Orders" Sensors 24, no. 19: 6169. https://doi.org/10.3390/s24196169
APA StyleEl-Hussien, M., Abdelhamid, B., Elbadawy, H., El-Hennawy, H., & Ahmed, M. (2024). Performance Enhancement for B5G/6G Networks Based on Space Time Coding Schemes Assisted by Intelligent Reflecting Surfaces with Higher Modulation Orders. Sensors, 24(19), 6169. https://doi.org/10.3390/s24196169

