Three-Dimensional Gravity Inversion Based on Attention Feature Fusion
Abstract
1. Introduction
2. Background
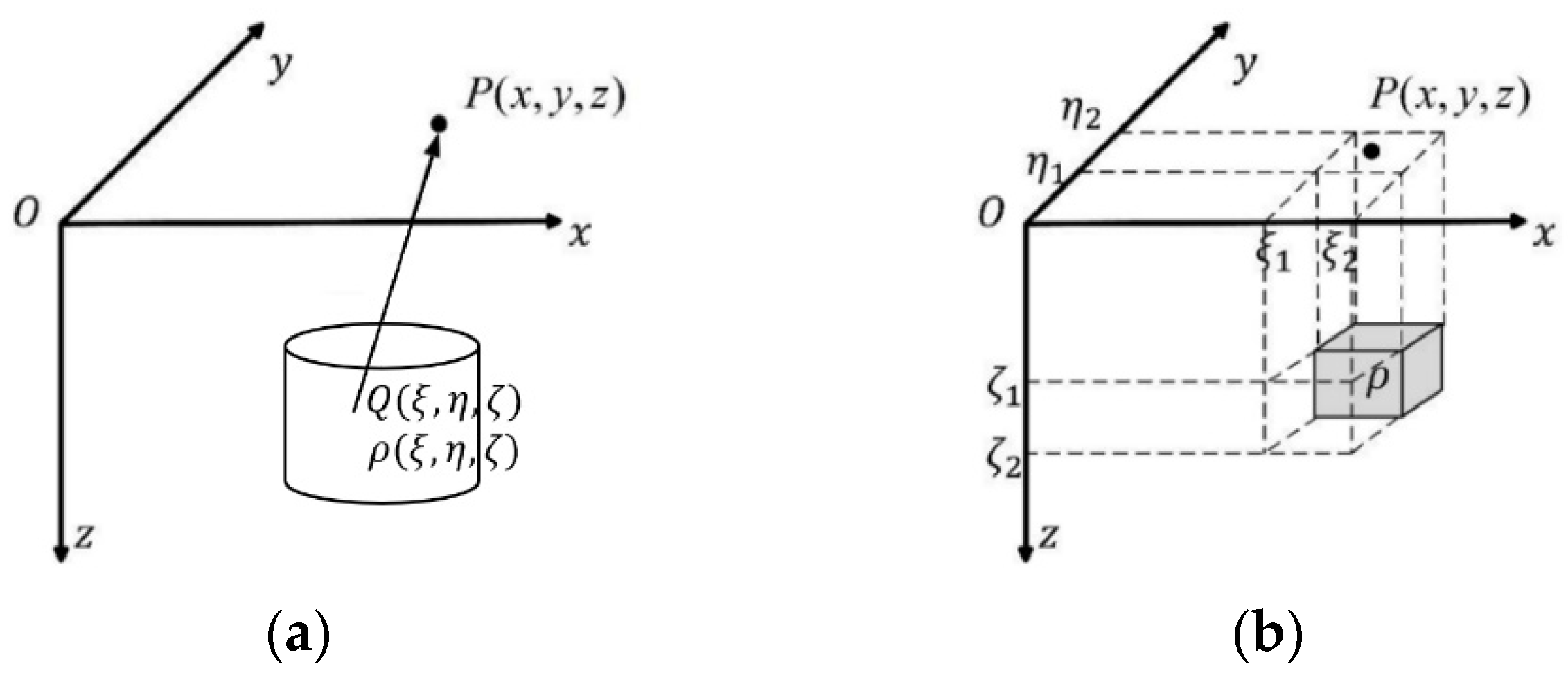
2.1. Forward Modeling
2.2. Inversion Modeling
3. Methodology
3.1. Construction of the Inversion Network
3.2. Loss Function
| Algorithm 1: A 3D gravity inversion method based on the attention fusion mechanism | 
| Input: Training data pair , , Batch size , Learning rate | 
| Initialization: weight , offset , | 
| Repeat: | 
| (1) Forward propagation | 
| Encoding | 
| Decoding | 
| (2) Back propagation | 
| Until the neural network converges | 
| The gravity anomaly data of the area to be reconstructed are input d, and the reconstructed model is predicted. | 
4. Experiments
4.1. Simulation Datasets
4.2. Implementation Details
4.3. Evaluation Metrics
4.4. Simulation Datasets Experiment
4.4.1. Ternary Inversion
4.4.2. Noise Experiment
4.4.3. Contrast Experiment
4.4.4. Ablation Experiment
4.4.5. Comparison of Reconstruction Effects at Different Depths
4.5. Field Example
5. Conclusions
Author Contributions
Funding
Institutional Review Board Statement
Informed Consent Statement
Data Availability Statement
Acknowledgments
Conflicts of Interest
References
- Li, Y.; Oldenburg, D.W. 3-D inversion of gravity data. Geophysics 1998, 63, 109–119. [Google Scholar] [CrossRef]
- Zhang, M.-H.; Qiao, J.-H.; Zhao, G.-X.; Lan, X.-Y. Regional gravity survey and application in oil and gas exploration in China. China Geol. 2019, 2, 382–390. [Google Scholar] [CrossRef]
- Gross, L. Weighted cross-gradient function for joint inversion with the application to regional 3-D gravity and magnetic anomalies. Geophys. J. Int. 2019, 217, 2035–2046. [Google Scholar] [CrossRef]
- Ghalenoei, E.; Dettmer, J.; Ali, M.Y. Trans-dimensional gravity and magnetic joint inversion for 3-D earth models. Geophys. J. Int. 2022, 230, 363–376. [Google Scholar] [CrossRef]
- Backus, G.E.; Gilbert, J. Numerical applications of a formalism for geophysical inverse problems. Geophys. J. Int. 1967, 13, 247–276. [Google Scholar] [CrossRef]
- Parker, R.L. Understanding inverse theory. Annu. Rev. Earth Planet. Sci. 1977, 5, 35–64. [Google Scholar] [CrossRef]
- Zhdanov, M.S. Geophysical Inverse Theory and Regularization Problem; Elsevier: Amsterdam, The Netherlands, 2002; pp. 29–88. [Google Scholar]
- Mirjalili, S. Genetic Algorithm; Springer: Berlin, Germany, 2019; pp. 43–55. [Google Scholar]
- Kirkpatrick, S.; Gelatt, C.D.; Vecchi, M.P. Optimization by simulated annealing. Science 1983, 220, 671–680. [Google Scholar] [CrossRef]
- Dorigo, M.; Stützle, T. Ant colony optimization: Overview and recent advances. Handb. Metaheuristics 2019, 272, 311–351. [Google Scholar]
- Essa, K.S.; Geraud, Y. Parameters estimation from the gravity anomaly caused by the two-dimensional horizontal thin sheet applying the global particle swarm algorithm. J. Pet. Sci. Eng. 2020, 193, 107421. [Google Scholar] [CrossRef]
- Ai, H.; Essa, K.S.; Ekinci, Y.L.; Balkaya, Ç.; Géraud, Y. Hunger Games Search optimization for the inversion of gravity anomalies of active mud diapir from SW Taiwan using inclined anticlinal source approximation. J. Appl. Geophys. 2024, 227, 105443. [Google Scholar] [CrossRef]
- Li, H.; Wang, X.; Ding, S. Research and development of neural network ensembles: A survey. Artif. Intell. Rev. 2018, 49, 455–479. [Google Scholar] [CrossRef]
- Essa, K.S.; Mehanee, S.A.; Soliman, K.S.; Diab, Z.E. Gravity profile interpretation using the R-parameter imaging technique with application to ore exploration. Ore Geol. Rev. 2020, 126, 103695. [Google Scholar] [CrossRef]
- Araya-Polo, M.; Jennings, J. Deep-learning tomography. Lead. Edge 2018, 37, 58–66. [Google Scholar] [CrossRef]
- Yang, F.; Ma, J. Deep-learning inversion: A next-generation seismic velocity model building method. Geophysics 2019, 84, R583–R599. [Google Scholar] [CrossRef]
- Kattenborn, T.; Leitloff, J.; Schiefer, F.; Hinz, S. Review on Convolutional Neural Networks (CNN) in vegetation remote sensing. ISPRS J. Photogramm. Remote Sens. 2021, 173, 24–49. [Google Scholar] [CrossRef]
- Li, S.C.; Liu, B.; Ren, Y.X. Deep-learning inversion of seismic data. IEEE Trans. Geosci. Remote Sens. 2020, 58, 2135–2149. [Google Scholar] [CrossRef]
- Puzyrev, V. Deep learning electromagnetic inversion with convolutional neural networks. Geophys. J. Int. 2019, 218, 817–832. [Google Scholar] [CrossRef]
- Oh, S.; Noh, K.; Seol, S.J.; Byun, J. Cooperative deep learning inversion of controlled-source electromagnetic data for salt delineation. Geophys. J. Soc. Explor. Geophys. 2020, 85, E121–E137. [Google Scholar] [CrossRef]
- Jiao, J.; Dong, S.; Zhou, S.; Zeng, Z.; Lin, T. 3-D Gravity and Magnetic Joint Inversion Based on Deep Learning Combined with Measurement Data Constraint. IEEE Trans. Geosci. Remote Sens. 2024, 62, 5900814. [Google Scholar] [CrossRef]
- Huang, R.; Liu, S.; Qi, R.; Zhang, Y. Deep Learning 3D Sparse Inversion of Gravity Data. J. Geophys. Res. Solid Earth 2021, 126, e2021JB022476. [Google Scholar] [CrossRef]
- Huang, R.; Zhang, Y.; Vatankhah, S.; Liu, S.; Qi, R. Inversion of large-scale gravity data with application of VNet. Geophys. J. Int. 2022, 231, 306–318. [Google Scholar] [CrossRef]
- Yang, Q.; Hu, X.; Liu, S.; Jie, Q.; Wang, H.; Chen, Q. 3-D Gravity Inversion Based on Deep Convolution Neural Networks. IEEE Geosci. Remote Sens. Lett. 2022, 19, 3001305. [Google Scholar] [CrossRef]
- Li, Y.; Chen, S.; Zhang, B.; Li, H. Fast imaging for the 3D density structures by machine learning approach. Front. Earth Sci. 2023, 10, 1028399. [Google Scholar] [CrossRef]
- Xu, Z.; Wang, R.; Zhdanov, M.S.; Wang, X.; Li, J.; Zhang, B.; Wang, Y. Inversion of the Gravity Gradiometry Data by ResUnet Network: An Application in Nordkapp Basin, Barents Sea. IEEE Trans. Geosci. Remote Sens. 2023, 61, 4502410. [Google Scholar] [CrossRef]
- Lv, M.Z.; Zhang, Y.J.; Liu, S. Fast forward approximation and multitask inversion of gravity anomaly based on UNet3+. Geophys. J. Int. 2023, 234, 972–984. [Google Scholar] [CrossRef]
- Wang, R.; Ding, Y.; Xu, Z.; Zhdanov, M.S.; Xian, M.; Zhang, Y.; Li, J.; Jiang, C.; Guo, Z. Employing MS-UNets Networks for Multiscale 3-D Gravity Data Inversion: A Case Study in the Nordkapp Basin, Barents Sea. IEEE Trans. Geosci. Remote Sens. 2024, 62, 4502813. [Google Scholar] [CrossRef]
- Zhang, L.; Zhang, G.; Liu, Y.; Fan, Z. Deep learning for 3-D inversion of gravity data. IEEE Trans. Geosci. Remote Sens. 2022, 60, 5905918. [Google Scholar] [CrossRef]
- Rezaie, M.; Moradzadeh, A.; Kalate, A.N. Fast 3D focusing inversion of gravity data using reweighted regularized Lanczos bidiagonalization method. Pure Appl. Geophys. 2017, 174, 359–374. [Google Scholar] [CrossRef]
- Zhang, L.; Zhang, G.; Fan, Z.; Ma, J. A Multitask Deep Learning for Simultaneous Denoising and Inversion of 3-D Gravity Data. IEEE Trans. Geosci. Remote Sens. 2022, 60, 5923117. [Google Scholar] [CrossRef]
- Tikhonov, A.N.; Arsenin, V.Y. Solutions of Ill-Posed Problems; Wiley: Hoboken, NJ, USA, 1977; pp. 1–30. [Google Scholar]
- Li, Y.; Jia, Z.; Lu, W. Self-Supervised Deep Learning for 3D Gravity Inversion. IEEE Trans. Geosci. Remote Sens. 2022, 60, 5924311. [Google Scholar] [CrossRef]
- Ronneberger, O.; Fischer, P.; Brox, T. U-Net: Convolutional networks for biomedical image segmentation. In Medical Image Computing and Computer-Assisted Intervention–MICCAI 2015, Proceedings of the 18th International Conference, Munich, Germany, 5–9 October 2015; Springer International Publishing: Cham, Switzerland, 2015; pp. 234–241. [Google Scholar]
- He, K.; Zhang, X.; Ren, S.; Sun, J. Deep Residual Learning for Image Recognition. In Proceedings of the IEEE Conference on Computer Vision and Pattern Recognition, Las Vegas, NV, USA, 27–30 June 2016; pp. 770–778. [Google Scholar]
- Dai, Y.; Gieseke, F.; Oehmcke, S.; Wu, Y.; Barnard, K. Attentional Feature Fusion. In Proceedings of the IEEE/CVF Winter Conference on Applications of Computer Vision, Snowmass Village, CO, USA, 1–5 March 2020; pp. 3559–3568. [Google Scholar]
- Li, Z.; Yao, C.; Zheng, Y.; Wang, J.; Zhang, Y. 3D magnetic sparse inversion using an interior-point method. Geophys. J. Soc. Explor. Geophys. 2018, 83, J15–J32. [Google Scholar] [CrossRef]
- Milletari, F.; Navab, N.; Ahmadi, S.-A. V-Net: Fully Convolutional Neural Networks for Volumetric Medical Image Segmentation. In Proceedings of the 2016 Fourth International Conference on 3D Vision (3DV), Stanford, CA, USA, 25–28 October 2016; pp. 565–571. [Google Scholar]
- Li, X.; Sun, X.; Meng, Y.; Liang, J.; Wu, F.; Li, J. Dice Loss for Data-imbalanced NLP Tasks. Annu. Meet. Assoc. Comput. Linguist. 2019. [Google Scholar] [CrossRef]
- Phillips, N.; Oldenburg, D.; Chen, J.; Li, Y.; Routh, P. Cost effectiveness of geophysical inversions in mineral exploration: Applications at San Nicolas. Lead. Edge 2001, 20, 1351–1360. [Google Scholar] [CrossRef]
- Johnson, B.J.; Montante-Martinez, A.; Canela-Barboza, M.A.R.I.O.; Danielson, T.J.; Sherlock, R.; Logan, M.A.V. Geology of the San Nicolas deposit, Zacatecas, Mexico, VMS Deposits of Latin America: Geological Association of Canada. Miner. Depos. Div. Spec. Publ. 2000, 2, 71–85. [Google Scholar]
- Vassallo, L.F.; Aranda-Gómez, J.J.; Solorio-Munguía, J.G. Hydrothermal alteration of volcanic rocks hosting the Late Jurassic-Early Cretaceous San Nicolas VMS deposit, southern Zacatecas, Mexico. Rev. Mex. De Cienc. Geológicas 2015, 32, 254–272. [Google Scholar]
























| U-Net | Our Method (W/O AFF) | Our Method (Add Noise) | Our Method | |
|---|---|---|---|---|
| MAE | 0.0074 | 0.0175 | 0.0114 | 0.0072 | 
| Em | 0.3648 | 1.9173 | 0.4649 | 0.3605 | 
| R2 | 0.9447 | 0.2859 | 0.9162 | 0.9813 | 
| U-Net | Our Method (Add Noise) | Our Method | |
|---|---|---|---|
| Inclined levee model | 93.51% | 94.92% | 96.43% | 
| Syncline model | 94.81% | 95.07% | 96.47% | 
| Stochastic model | 93.09% | 92.68% | 92.71% | 
| Rock Type | ) | 
|---|---|
| Tertiary breccia | 2.3 | 
| Mafic volcanics | 2.7 | 
| Sulphide | 3.5 | 
| Quartz rhyolite | 2.4 | 
| Graphitic mudstone | 2.1 | 
| Disclaimer/Publisher’s Note: The statements, opinions and data contained in all publications are solely those of the individual author(s) and contributor(s) and not of MDPI and/or the editor(s). MDPI and/or the editor(s) disclaim responsibility for any injury to people or property resulting from any ideas, methods, instructions or products referred to in the content. | 
© 2024 by the authors. Licensee MDPI, Basel, Switzerland. This article is an open access article distributed under the terms and conditions of the Creative Commons Attribution (CC BY) license (https://creativecommons.org/licenses/by/4.0/).
Share and Cite
Chen, C.; Li, H.; Zhang, Y.; Jin, X.; Liu, J. Three-Dimensional Gravity Inversion Based on Attention Feature Fusion. Sensors 2024, 24, 5697. https://doi.org/10.3390/s24175697
Chen C, Li H, Zhang Y, Jin X, Liu J. Three-Dimensional Gravity Inversion Based on Attention Feature Fusion. Sensors. 2024; 24(17):5697. https://doi.org/10.3390/s24175697
Chicago/Turabian StyleChen, Chen, Houpu Li, Yujie Zhang, Xiaomei Jin, and Jianfeng Liu. 2024. "Three-Dimensional Gravity Inversion Based on Attention Feature Fusion" Sensors 24, no. 17: 5697. https://doi.org/10.3390/s24175697
APA StyleChen, C., Li, H., Zhang, Y., Jin, X., & Liu, J. (2024). Three-Dimensional Gravity Inversion Based on Attention Feature Fusion. Sensors, 24(17), 5697. https://doi.org/10.3390/s24175697
 
        

 
       