Multi-Adaptive Strategies-Based Higher-Order Quantum Genetic Algorithm for Agile Remote Sensing Satellite Scheduling Problem
Abstract
1. Introduction
2. Refined Satellite Scheduling Model with Multi-Constraints
2.1. Parameter Definition
2.2. Scheduling Model Constraints
2.2.1. Payload Constraints
2.2.2. Maneuverability Constraints
2.2.3. Energy Constraints
2.2.4. Data Storage Constraints
2.2.5. Comprehensive Revenue Scheduling Function
3. Solution Methodology
3.1. Quantum Chromosome Encoding and Register Initialization
3.2. Quantum Registers Measurement
| Algorithm 1 Quantum registers measurement |
|
3.3. Adaptive Evolution for Quantum Registers
| Algorithm 2 Quantum register evolution |
|
3.4. Adaptive Mutation Transfer in Quantum Registers
| Algorithm 3 Adaptive mutation transfer for quantum registers |
|
4. Computational Experiment
4.1. Experimental Environment
4.2. Parameter Settings
4.3. Experimental Results and Analyses
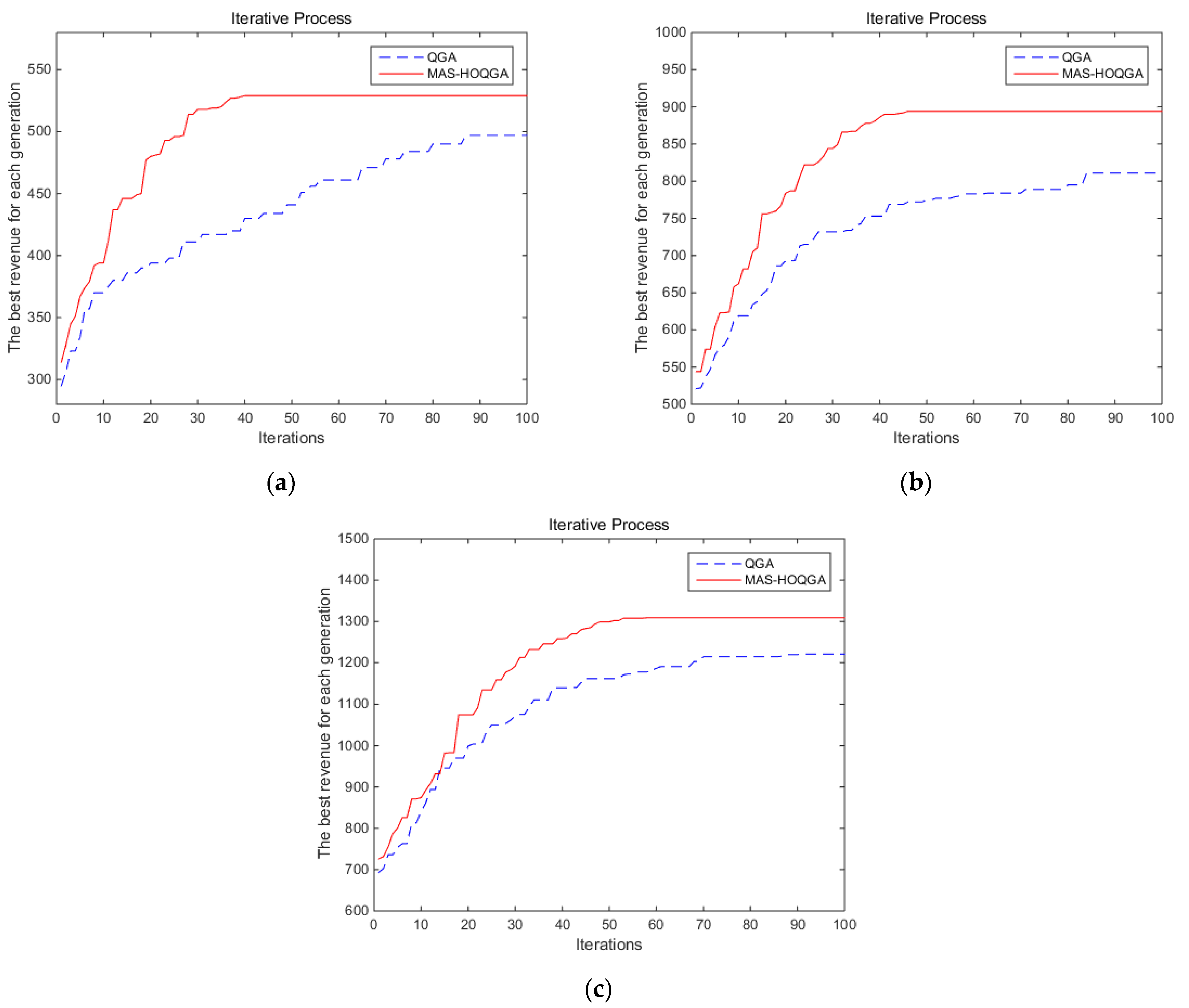
4.3.1. Comparison of Results between MAS-HOQGA and QGA
4.3.2. Performance Analysis of MAS-HOQGA
- 1.
- The impact of probability amplitude adjustment parameter on the MAS-HOQGA
- 2.
- Computational complexity analysis of MAS-HOQGA
- 3.
- The Impact of Task Scale and Constraints on MAS-HOQGA
5. Conclusions
Author Contributions
Funding
Institutional Review Board Statement
Informed Consent Statement
Data Availability Statement
Conflicts of Interest
References
- Neeck, S.P.; Magner, T.J.; Paules, G.E. NASA’s small satellite missions for Earth observation. Acta Astronaut. 2005, 56, 187–192. [Google Scholar] [CrossRef]
- Wang, X.; Wu, G.; Xing, L.; Pedrycz, W. Agile earth observation satellite scheduling over 20 years: Formulations, methods, and future directions. IEEE Syst. J. 2021, 15, 3881–3892. [Google Scholar] [CrossRef]
- Agn, J.C.; Bataille, N.; Blumstein, D.; Bensana, E.; Verfaillie, G. Exact and approximate methods for the daily management of an earth observation satellite. RAIRO-Oper. Res. 2007, 41, 381–398. [Google Scholar]
- Bensana, E.; Lemaitre, M.; Verfaillie, G. Earth observation satellite management. Constraints 1999, 4, 293–299. [Google Scholar] [CrossRef]
- Lemaître, M.; Verfaillie, G.; Jouhaud, F.; Lachiver, J.; Bataille, N. How to manage the new generation of agile earth observation satellites. In Proceedings of the International Symposium on Artificial Intelligence, Robotics and Automation in Space, Toulouse, France, 19 April 2000; pp. 1–10. [Google Scholar]
- Liu, H.; Pang, L.; Zhang, L.; Huo, X.; Luan, J.Y.; Lan, K.X.; Jing, C.F.; Li, W. A cooperation earth observation model of SAR satellite and optical remote sensing satellite. In Proceedings of the 2014 IEEE Geoscience and Remote Sensing Symposium, Quebec City, QC, Canada, 13–18 July 2014; pp. 584–587. [Google Scholar] [CrossRef]
- Abramson, M.; Carter, D.; Kolitz, S.; Ricard, M.; Scheidler, P. Real-time optimized earth observation autonomous planning. In Proceedings of the NASA Earth Science Technology Conference, Houston, TX, USA, 11–15 March 2002; pp. 9–12. [Google Scholar]
- Bianchessi, N.; Righini, G. Planning and scheduling algorithms for the COSMO-SkyMed constellation. Aerosp. Sci. Technol. 2008, 12, 535–544. [Google Scholar] [CrossRef]
- Florio, S.D. Performances optimization of remote sensing satellite constellations: A heuristic method. In Proceedings of the 5th International Workshop on Planning and Scheduling for Space, Baltimore, MD, USA, 1–4 September 2006. [Google Scholar]
- Lemaître, M.; Verfaillie, G.; Jouhaud, F.; Lachiver, J.M.; Bataille, N. Selecting and scheduling observations of agile satellites. Aerosp. Sci. Technol. 2002, 6, 367–381. [Google Scholar] [CrossRef]
- He, R.; Gao, P.; Bai, B.C.; Li, J.; Yao, F.; Xing, L.N. Models, algorithms and applications to the mission planning system of imaging satellites. Syst. Eng. Theory Pract. 2011, 31, 411–422. [Google Scholar]
- He, C.; Zhu, X.M.; Qiu, D.S. Cooperative scheduling method of multi-satellites for imaging reconnaissance in emergency condition. J. Syst. Eng. Electron. 2012, 34, 726–731. [Google Scholar]
- Peng, G.; Song, G.; He, Y.; Yu, J.; Vansteenwegen, P. Solving the agile earth observation satellite scheduling problem with time-dependent transition times. IEEE Trans. Syst. Man. Cybern. 2002, 52, 1614–1625. [Google Scholar] [CrossRef]
- Xu, R.; Chen, H.; Liang, X.; Wang, H. Priority-based constructive algorithms for scheduling agile earth observation satellites with total priority maximization. Expert. Syst. Appl. 2016, 51, 195–206. [Google Scholar] [CrossRef]
- He, L.; Liu, X.L.; Laporte, G.; Chen, Y.W.; Chen, Y.G. An improved adaptive large neighborhood search algorithm for multiple agile satellites scheduling. Comput. Oper. Res. 2018, 100, 12–25. [Google Scholar] [CrossRef]
- She, Y.; Li, S.; Zhao, Y. Onboard mission planning for agile satellite using modified mixed-integer linear programming. Aerosp. Sci. Technol. 2018, 72, 204–216. [Google Scholar] [CrossRef]
- Du, B.; Li, S. A new multi-satellite autonomous mission allocation and planning method. Acta Astronaut. 2019, 163, 287–298. [Google Scholar] [CrossRef]
- Qiu, D.; Guo, H.; He, C.; Wu, G. Intensive task scheduling method for multi-agile imaging satellites. Acta Aeronaut. Astronaut. Sin. 2013, 34, 882–889. [Google Scholar] [CrossRef]
- Li, Y.; Wang, R.; Xu, M. Rescheduling of observing spacecraft using fuzzy neural network and ant colony algorithm. Chin. J. Aeronaut. 2014, 27, 678–687. [Google Scholar] [CrossRef]
- Lu, Z.; Shen, X.; Li, D.; Chen, Y. Integrated Imaging Mission Planning Modeling Method for Multi-Type Targets for Super-Agile Earth Observation Satellite. IEEE J-Stars. 2022, 15, 4156–4169. [Google Scholar] [CrossRef]
- Han, P.; He, Z.; Geng, Y.; Guo, Y.; Li, C.; Zhao, G. Mission planning for agile earth observing satellite based on genetic algorithm. In Proceedings of the 2019 Chinese Control Conference, Guangzhou, China, 27–30 July 2019; pp. 2118–2123. [Google Scholar] [CrossRef]
- Li, Y.; Xu, M.; Wang, R. Scheduling observations of agile satellites with combined genetic algorithm. In Proceedings of the Third International Conference on Natural Computation, Haikou, China, 24–27 August 2007; pp. 29–33. [Google Scholar] [CrossRef]
- Chen, C.; Xing, L.; Tan, Y. Improved genetic algorithm for cooperating multi air vehicle mission planning. Ordnance Ind. Autom. 2010, 29, 28–31. [Google Scholar] [CrossRef]
- Zheng, Z.; Guo, J.; Gill, E. Onboard autonomous mission re-planning for multi-satellite system. Acta Astronaut. 2018, 145, 28–43. [Google Scholar] [CrossRef]
- Han, C.; Bai, S.; Zhang, S.; Wang, X. Visibility optimization of satellite constellations using a hybrid method. Acta Astronaut. 2019, 163, 250–263. [Google Scholar] [CrossRef]
- Du, Y.; Liao, K.F.; Ouyang, S.; Li, J.J.; Huang, G.J. Time and Aperture Resource Allocation Strategy for Multitarget ISAR Imaging in a Radar Network. IEEE Sens. J. 2020, 20, 3196–3206. [Google Scholar] [CrossRef]
- Zhang, J.; Xing, L. An improved genetic algorithm for the integrated satellite imaging and data transmission scheduling problem. Comput. Oper. Res. 2022, 139, 105626. [Google Scholar] [CrossRef]
- Dilkina, B.; Havens, B. Agile Satellite Scheduling via Permutation Search with Constraint Propagation; Actenum Corporation: Vancouver, BC, Canada, 2005; pp. 1–20. [Google Scholar]
- Globus, A.; Crawford, J.; Lohn, J.; Pryor, A. A comparison of techniques for scheduling earth observing satellites. In Proceedings of the National Conference on Artificial Intelligence, San Jose, CA, USA, 25–29 July 2004; pp. 836–843. [Google Scholar]
- Han, C.; Gu, Y.; Wu, G.; Wang, X. Simulated Annealing-Based Heuristic for Multiple Agile Satellites Scheduling Under Cloud Coverage Uncertainty. IEEE T Syst. Man Cybern. Syst. 2023, 53, 2863–2874. [Google Scholar] [CrossRef]
- Bianchessi, N.; Cordeau, J.F.; Desrosiers, J.; Laporte, G.; Raymond, V. A heuristic for the multi-satellite, multi-orbit and multi-user management of Earth observation satellites. Eur. J. Oper. Res. 2007, 177, 750–762. [Google Scholar] [CrossRef]
- Habet, D.; Vasquez, M. Saturated and consistent neighborhood for selecting and scheduling photographs of agile earth observing satellite. In Proceedings of the 5th Metaheuristics International Conference, Kyoto, Japan, 25–28 August 2003; Volume 28, pp. 1–6. [Google Scholar]
- Zuo, C.; Wang, H. Research on scheduling of earth observing satellites based on taboo search algorithm. Comput. Eng. Appl. 2010, 46, 215–217. [Google Scholar] [CrossRef]
- Habet, D.; Vasquez, M.; Vimont, Y. Bounding the optimum for the problem of scheduling the photographs of an agile earth observing satellite. Comput. Optim. Appl. 2010, 47, 307–333. [Google Scholar] [CrossRef]
- Zheng, Q.; Yue, H.; Liu, D.; Jia, X. A Scheduling Method of Using Multiple SAR Satellites to Observe a Large Area. Sensors 2023, 23, 3353. [Google Scholar] [CrossRef]
- Povéda, G.; Regnier-Coudert, O.; Teichteil-Königsbuch, F.; Dupont, G.; Arnold, A.; Guerra, J.; Picard, M. Evolutionary approaches to dynamic earth observation satellites mission planning under uncertainty. In Proceedings of the Genetic and Evolutionary Computation Conference, Prague, Czech Republic, 14–18 July 2019; pp. 1302–1310. [Google Scholar] [CrossRef]
- Liu, D.; Chang, S.; Deng, Y.; He, Z.; Wang, F.; Zhang, Z.; Han, C.; Yu, C. A Novel Spaceborne SAR Constellation Scheduling Algorithm for Sea Surface Moving Target Search Tasks. IEEE J-Stars. 2024, 17, 3715–3726. [Google Scholar] [CrossRef]
- Liu, X.W.; Zhang, Q.; Luo, Y.; Lu, X.; Dong, C. Radar Network Time Scheduling for Multi-Target ISAR Task with Game Theory and Multiagent Reinforcement Learning. IEEE Sens. J. 2021, 21, 4462–4473. [Google Scholar] [CrossRef]
- Li, D.L.; Wang, H.J.; Yang, Z.; Gu, Y.F.; Shen, S. An Online Distributed Satellite Cooperative Observation Scheduling Algorithm Based on Multiagent Deep Reinforcement Learning. IEEE Geosci. Remote Sens. Lett. 2021, 18, 1901–1905. [Google Scholar] [CrossRef]
- Liu, Y.; Chen, Q.; Li, C.; Wang, F. Mission planning for Earth observation satellite with competitive learning strategy. Aerosp. Sci. Technol. 2021, 118, 107047. [Google Scholar] [CrossRef]
- Chen, J.; Chen, M.; Wen, J.; He, L.; Liu, X. A heuristic construction neural network method for the time-dependent agile earth observation satellite scheduling problem. Mathematics 2022, 10, 3498. [Google Scholar] [CrossRef]
- Du, Y.; Wang, T.; Xin, B.; Wang, L.; Xing, L. A data-driven parallel scheduling approach for multiple agile earth observation satellites. IEEE Trans. Evol. Comput. 2020, 24, 679–693. [Google Scholar] [CrossRef]
- He, Y.; Xing, L.; Chen, Y.; Pedrycz, W.; Wu, G. A generic Markov decision process model and reinforcement learning method for scheduling agile earth observation satellites. IEEE Trans. Syst. Man. Cybern. 2022, 52, 1463–1474. [Google Scholar] [CrossRef]
- Xu, Z.; Wang, H.; Xing, C.; Tao, T.; Mao, J.; Liu, Y. Physics guided wavelet convolutional neural network for wind-induced vibration modeling with application to structural dynamic reliability analysis. Eng. Struct. 2023, 297, 117027. [Google Scholar] [CrossRef]
- Narayanan, A.; Moore, M. Quantum-inspired genetic algorithms. In Proceedings of the IEEE International Conference on Evolutionary Computation, Nagoya, Japan, 20–22 May 1996; pp. 61–66. [Google Scholar] [CrossRef]
- Da Silveira, L.R.; Tanscheit, R.; Vellasco, M.M.B.R. Quantum inspired evolutionary algorithm for ordering problems. Expert. Syst. Appl. 2017, 67, 71–83. [Google Scholar] [CrossRef]
- Nowotniak, R.; Kucharski, J. Higher-order quantum-inspired genetic algorithms. In Proceedings of the 2014 Federated Conference on Computer Science and Information Systems, Warsaw, Poland, 7–10 September 2014; pp. 465–470. [Google Scholar] [CrossRef]








| Orbit Parameter | Set Value |
|---|---|
| Epoch Time (UTCG) | 21 March 2023 00:00:00.000 |
| Semi-major Axis (km) | 6862.92 |
| Eccentricity | 1.89 × 10−16 |
| Inclination (deg) | 97.6000 |
| RAAN (deg) | 44.5853 |
| Arg of Perigee (deg) | 0.0000 |
| True Anomaly (deg) | 0.0000 |
| Algorithm\Task Scales | 226 | 426 | 626 | |||
|---|---|---|---|---|---|---|
| Rev | Time/s | Rev | Time/s | Rev | Time/s | |
| QGA | 497 | 56.62 | 811 | 89.83 | 1221 | 148.95 |
| MAS-HOQGA | 529 | 30.05 | 894 | 67.79 | 1309 | 100.05 |
| Parameter Settings | 0.99 | 0.985 | 0.98 | 0.975 | 0.97 | 0.95 | Adaptive Value |
|---|---|---|---|---|---|---|---|
| Rev | 1309 | 1309 | 1309 | 1299 | 1232 | 1209 | 1309 |
| Iteration Number Corresponding to the Maximum Revenue | 391 | 284 | 217 | 175 | 155 | 103 | 162 |
| Time/s | 364.09 | 347.11 | 319.38 | 301.28 | 285.93 | 284.91 | 286.65 |
Disclaimer/Publisher’s Note: The statements, opinions and data contained in all publications are solely those of the individual author(s) and contributor(s) and not of MDPI and/or the editor(s). MDPI and/or the editor(s) disclaim responsibility for any injury to people or property resulting from any ideas, methods, instructions or products referred to in the content. |
© 2024 by the authors. Licensee MDPI, Basel, Switzerland. This article is an open access article distributed under the terms and conditions of the Creative Commons Attribution (CC BY) license (https://creativecommons.org/licenses/by/4.0/).
Share and Cite
Sun, X.; Ren, Y.; Yu, L. Multi-Adaptive Strategies-Based Higher-Order Quantum Genetic Algorithm for Agile Remote Sensing Satellite Scheduling Problem. Sensors 2024, 24, 4938. https://doi.org/10.3390/s24154938
Sun X, Ren Y, Yu L. Multi-Adaptive Strategies-Based Higher-Order Quantum Genetic Algorithm for Agile Remote Sensing Satellite Scheduling Problem. Sensors. 2024; 24(15):4938. https://doi.org/10.3390/s24154938
Chicago/Turabian StyleSun, Xiaohan, Yuan Ren, and Linghui Yu. 2024. "Multi-Adaptive Strategies-Based Higher-Order Quantum Genetic Algorithm for Agile Remote Sensing Satellite Scheduling Problem" Sensors 24, no. 15: 4938. https://doi.org/10.3390/s24154938
APA StyleSun, X., Ren, Y., & Yu, L. (2024). Multi-Adaptive Strategies-Based Higher-Order Quantum Genetic Algorithm for Agile Remote Sensing Satellite Scheduling Problem. Sensors, 24(15), 4938. https://doi.org/10.3390/s24154938
