A Low-Frequency Fiber Bragg Grating Acceleration Sensor Based on Spring Support and Symmetric Compensation Structure with Flexible Hinges
Abstract
1. Introduction
2. Sensor Structure Design and Theoretical Analysis
2.1. Sensor Structure Design
2.2. Theoretical Analysis of Sensors
3. Structure Simulation
3.1. Analysis of Structural Parameters
3.2. Finite Element Analysis
4. Experimental Results and Analysis
4.1. Analysis of Output Response Characteristics
4.2. Analysis of Amplitude and Frequency Characteristics
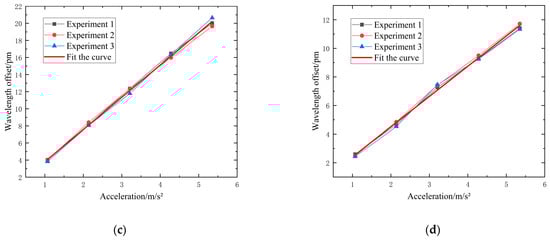
4.3. Sensitivity and Linearity Test
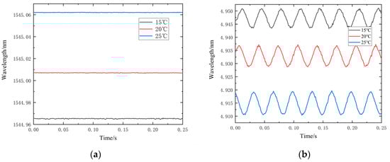
4.4. Temperature Interference Test
5. Conclusions
Author Contributions
Funding
Institutional Review Board Statement
Informed Consent Statement
Data Availability Statement
Conflicts of Interest
References
- Tiboni, M.; Remino, C.; Bussola, R.; Amici, C. A Review on Vibration-Based Condition Monitoring of Rotating Machinery. Appl. Sci. 2022, 12, 972. [Google Scholar] [CrossRef]
- Zona, A. Vision-Based Vibration Monitoring of Structures and Infrastructures: An Overview of Recent Applications. Infrastructures 2020, 6, 4. [Google Scholar] [CrossRef]
- Wu, G.; Yan, N.; Choi, K.-N.; Jung, H.; Cao, K. A two-step vibration-sound signal fusion method for weak fault feature detection in rolling bearing systems. Adv. Mech. Eng. 2021, 13, 16878140211067155. [Google Scholar] [CrossRef]
- Yang, Y.; Zhang, Y.; Tan, X. Review on Vibration-Based Structural Health Monitoring Techniques and Technical Codes. Symmetry 2021, 13, 1998. [Google Scholar] [CrossRef]
- Li, T.; Guo, J.; Tan, Y.; Zhou, Z. Recent Advances and Tendency in Fiber Bragg Grating-Based Vibration Sensor: A Review. IEEE Sens. J. 2020, 20, 12074–12087. [Google Scholar] [CrossRef]
- Suryandi, A.A.; Sarma, N.; Mohammed, A.; Peesapati, V.; Djurović, S. Fiber Optic Fiber Bragg Grating Sensing for Monitoring and Testing of Electric Machinery: Current State of the Art and Outlook. Machines 2022, 10, 1103. [Google Scholar] [CrossRef]
- Xiao, X.; Tao, J.; Song, Q.; Sun, Y.; Yang, J.; Yan, Z. Sensitivity-Tunable Oscillator-Accelerometer Based on Optical Fiber Bragg Grating. Photonics 2021, 8, 223. [Google Scholar] [CrossRef]
- Qiao, X.; Shao, Z.; Bao, W.; Rong, Q. Fiber Bragg Grating Sensors for the Oil Industry. Sensors 2017, 17, 429. [Google Scholar] [CrossRef] [PubMed]
- Zhang, Y.; Qiao, X.; Liu, Q.; Yu, D.; Gao, H.; Shao, M.; Wang, X. Study on a fiber Bragg grating accelerometer based on compliant cylinder. Opt. Fiber Technol. 2015, 26, 229–233. [Google Scholar] [CrossRef]
- Jia, Z.A.; Zhao, X.; Fan, W.; Gao, H.; Liu, Q.; Yong, Z.; Liu, Y.; Yang, K. A two-dimensional cantilever beam vibration sensor based on fiber Bragg Grating. Opt. Fiber Technol. 2021, 61, 102447. [Google Scholar] [CrossRef]
- Gutiérrez, N.; Galvín, P.; Lasagni, F. Low weight additive manufacturing FBG accelerometer: Design, characterization and testing. Measurement 2018, 117, 295–303. [Google Scholar] [CrossRef]
- Parida, O.P.; Thomas, J.; Nayak, J.; Asokan, S. Double-L Cantilever-Based Fiber Bragg Grating Accelerometer. IEEE Sens. J. 2019, 19, 11247–11254. [Google Scholar] [CrossRef]
- Zhang, F.; Jiang, S.; Wang, C.; Ni, J.; Zhao, Q. Broadband and High Sensitivity FBG Accelerometer Based on Double Diaphragms and h-Shaped Hinges. IEEE Sens. J. 2021, 21, 353–359. [Google Scholar] [CrossRef]
- Li, T.; Tan, Y.; Han, X.; Zheng, K.; Zhou, Z. Diaphragm Based Fiber Bragg Grating Acceleration Sensor with Temperature Compensation. Sensors 2017, 17, 218. [Google Scholar] [CrossRef] [PubMed]
- Le, H.-D.; Chiang, C.-C.; Nguyen, C.-N.; Hsu, H.-C. A fiber Bragg grating acceleration sensor based on a circular flexure hinge structure for medium- and high-frequency vibration measurements. Optik 2023, 280, 170790. [Google Scholar] [CrossRef]
- Li, Z.; Liang, L.; Wang, H.; Dai, S.; Jiang, K.; Song, Z. A Medium-Frequency Fiber Bragg Grating Accelerometer Based on Flexible Hinges. Sensors 2021, 21, 6968. [Google Scholar] [CrossRef] [PubMed]
- Luo, X.; Li, Y.; Feng, D.; Gao, H.; Zhang, J. Fiber Bragg grating accelerometer based on symmetrical double flexure hinges. Opt. Fiber Technol. 2022, 68, 102795. [Google Scholar] [CrossRef]
- Wang, H.; Liang, L.; Zhou, X.; Tu, B. New Fiber Bragg Grating Three-Dimensional Accelerometer Based on Composite Flexure Hinges. Sensors 2021, 21, 4715. [Google Scholar] [CrossRef] [PubMed]
- Song, H.; Wang, Q.; Liu, M.; Cai, Q. A Novel Fiber Bragg Grating Vibration Sensor Based on Orthogonal Flexure Hinge Structure. IEEE Sens. J. 2020, 20, 5277–5285. [Google Scholar] [CrossRef]
- Liang, L.; Wang, H.; Li, Z.; Dai, S.; Jiang, K. Miniature bending-resistant fiber grating accelerometer based on a flexible hinge structure. Opt. Express 2022, 30, 33502–33514. [Google Scholar] [CrossRef]
- Li, Y.; Chen, F.; Guo, T.; Wang, R.; Qiao, X. Sensitivity Enhancement of Fiber Bragg Grating Accelerometer Based on Short Grating. IEEE Trans. Instrum. Meas. 2022, 71, 7001705. [Google Scholar] [CrossRef]
- Li, H.; Gao, H.; Fan, W.; Zhou, R.; Qiao, X. Development of low frequency and high sensitivity fiber optic accelerometer based on multi-stage flexure hinges. Opt. Fiber Technol. 2022, 73, 103018. [Google Scholar] [CrossRef]
- Nguyen, T.T.-V.; Le, H.-D.; Hsu, H.-C.; Nguyen, C.-N.; Chiang, C.-C. A symmetrical dual-mass block fiber Bragg grating vibration sensor based on a V-shaped flexible hinge. Sens. Actuators A Phys. 2023, 364, 114815. [Google Scholar] [CrossRef]
- Wu, Y.; Zhou, Z. Design calculations for flexure hinges. Rev. Sci. Instrum. 2002, 73, 3101–3106. [Google Scholar] [CrossRef]
- Yong, Y.K.; Lu, T.-F.; Handley, D.C. Review of circular flexure hinge design equations and derivation of empirical formulations. Precis. Eng. 2008, 32, 63–70. [Google Scholar] [CrossRef]












| Name | Value/Unit |
|---|---|
| Center wavelength of fiber Bragg grating | 1550/nm |
| Elastic-optic coefficient of fiber Bragg grating | 0.22 |
| Cross-sectional area of fiber Bragg grating | 1.23 × 10−8/m2 |
| Elastic modulus of fiber Bragg grating | 72/GPa |
| Effective length of suspended region in the grating | 5/mm |
| Elastic modulus of the sensing element | 190/GPa |
| Density of the sensing element | 7850/kg/m3 |
| Poisson’s ratio of the sensing element | 0.3 |
| Length of the mass block | 15/mm |
| Frequency/Hz | Slope of the Fitted Curve | R2 | Sensitivity/pm/g |
|---|---|---|---|
| 10 | 0.982 | 0.9924 | 9.01 |
| 15 | 3.287 | 0.9984 | 30.16 |
| 30 | 4.035 | 0.9996 | 37.02 |
| 40 | 2.262 | 0.9967 | 20.75 |
| Frequency/Hz | Wavelength Shift/pm | Standard Deviation/pm | |||
|---|---|---|---|---|---|
| Experiment 1 | Experiment 2 | Experiment 3 | Average | ||
| 10 | 1.794 | 1.810 | 1.750 | 1.785 | 0.03 |
| 15 | 6.45 | 6.74 | 6.595 | 6.595 | 0.12 |
| 30 | 8.161 | 8.415 | 8.060 | 8.212 | 0.15 |
| 40 | 4.671 | 4.844 | 4.526 | 4.680 | 0.13 |
| Temperature/°C | 15 | 20 | 25 | |
|---|---|---|---|---|
| FBG2 | Wavelength/nm | 1544.965 | 1545.007 | 1545.061 |
| FBG1-FBG2 | Wavelength offset/pm | 7 | 8 | 9.1 |
Disclaimer/Publisher’s Note: The statements, opinions and data contained in all publications are solely those of the individual author(s) and contributor(s) and not of MDPI and/or the editor(s). MDPI and/or the editor(s) disclaim responsibility for any injury to people or property resulting from any ideas, methods, instructions or products referred to in the content. |
© 2024 by the authors. Licensee MDPI, Basel, Switzerland. This article is an open access article distributed under the terms and conditions of the Creative Commons Attribution (CC BY) license (https://creativecommons.org/licenses/by/4.0/).
Share and Cite
Meng, L.; Zhu, P.; Tan, X.; Huang, X. A Low-Frequency Fiber Bragg Grating Acceleration Sensor Based on Spring Support and Symmetric Compensation Structure with Flexible Hinges. Sensors 2024, 24, 2990. https://doi.org/10.3390/s24102990
Meng L, Zhu P, Tan X, Huang X. A Low-Frequency Fiber Bragg Grating Acceleration Sensor Based on Spring Support and Symmetric Compensation Structure with Flexible Hinges. Sensors. 2024; 24(10):2990. https://doi.org/10.3390/s24102990
Chicago/Turabian StyleMeng, Lijun, Panpan Zhu, Xin Tan, and Xiao Huang. 2024. "A Low-Frequency Fiber Bragg Grating Acceleration Sensor Based on Spring Support and Symmetric Compensation Structure with Flexible Hinges" Sensors 24, no. 10: 2990. https://doi.org/10.3390/s24102990
APA StyleMeng, L., Zhu, P., Tan, X., & Huang, X. (2024). A Low-Frequency Fiber Bragg Grating Acceleration Sensor Based on Spring Support and Symmetric Compensation Structure with Flexible Hinges. Sensors, 24(10), 2990. https://doi.org/10.3390/s24102990
