Detection of Closing Cracks in Beams Based on Responses Induced by Harmonic Excitation
Abstract
1. Introduction
2. Analytical Investigation
2.1. Model of Geometry
2.2. Validation
3. Finite Element Modeling and Analysis
Closed Crack Model
4. Results and Discussion
4.1. Natural Frequency Cracked Beam
4.2. Detection of Closed Cracks
4.3. Effects of Crack Parameters on the Phase Diagram
4.4. Effect of Crack Location
4.5. Effect of Crack Depth
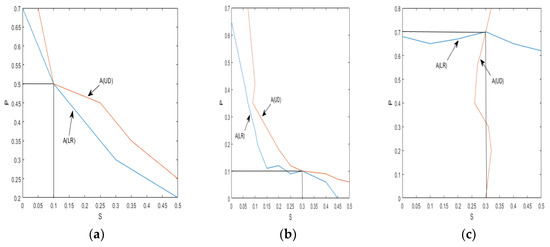
5. Crack Parameter Detection Based on Phase Diagram Geometrical Features
Vertical Segmentation Method
6. Wavelet Transform
Wavelet Transform of RMS Signals
- Effects of Crack Depth
- Effects of Crack Location
7. Comparison of the Phase Diagram Results with Wavelet Transform RMS Signal
8. Conclusions
Author Contributions
Funding
Institutional Review Board Statement
Informed Consent Statement
Data Availability Statement
Conflicts of Interest
References
- Bachschmid, N.; Pennacchi, P.; Tanzi, E.; Vania, A. Identification of Transverse Crack Position and Depth in Rotor Systems. Meccanica 2000, 35, 563–582. [Google Scholar] [CrossRef]
- Dharmaraju, N.; Tiwari, R.; Talukdar, S. Identification of an Open Crack Model in a Beam Based on Force–response Measurements. Comput. Struct. 2004, 82, 167–179. [Google Scholar] [CrossRef]
- Liu, H.; Al-Mahaidi, R.; Zhao, X.-L. Experimental Study of Fatigue Crack Growth Behaviour in Adhesively Reinforced Steel Structures. Compos. Struct. 2009, 90, 12–20. [Google Scholar] [CrossRef]
- Lee, H.; Forth, J.P.; Neville, A.; Jones, R.; Hodgson, T. Behaviour of Cracked Reinforced Concrete Beams under Repeated and Sustained Load Types. Eng. Struct. 2013, 56, 457–465. [Google Scholar]
- Grzegorz, L.; Correia, J.A.F.O.; De Jesus, A.M.P.; Kucharski, P. Fatigue Crack Propagation Behavior of Old Puddle Iron Including Crack Closure Effects. Procedia Struct. Integr. 2016, 2, 3218–3225. [Google Scholar]
- Ji-Shun, P.; Yuan, S.-X.; Jiang, T.; Cui, C.-H. Experimental Study on Crack Characteristics and Acoustic Emission Characteristics in Rock-like Material with Pre-Existing Cracks. Sci. Rep. 2021, 11, 23790. [Google Scholar]
- Shihao, C.; Maghoul, P.; Liang, X.; Wu, N.; Wang, Q. Structural Fatigue Crack Localisation Based on Spatially Distributed Entropy and Wavelet Transform. Eng. Struct. 2022, 266, 114544. [Google Scholar]
- Manoach, E.; Cao, M.; Doneva, S. Vibration-based methods for damage detection of plates. AIP Conf. Proc. 2018, 1922, 100014. [Google Scholar] [CrossRef]
- Mehdi, B.; Ghadami, A.; Maghsoodi, A.; Hale, J.M. Vibration-Based Algorithm for Crack Detection in Cantilever Beam Containing Two Different Types of Cracks. J. Sound Vib. 2013, 332, 6312–6320. [Google Scholar]
- Shushannah, S.; Wang, G.; Wu, D. Bayesian Approach to Breathing Crack Detection in Beam Structures. Eng. Struct. 2017, 148, 829–838. [Google Scholar]
- Wei, X.; Su, Z.; Radzieński, M.; Cao, M.; Ostachowicz, W. Nonlinear Pseudo-Force in a Breathing Crack to Generate Harmonics. J. Sound Vib. 2021, 492, 115734. [Google Scholar]
- Viola, E.; Ricci, P.; Aliabadi, M.H. Free Vibration Analysis of Axially Loaded Cracked Timoshenko Beam Structures Using the Dynamic Stiffness Method. J. Sound Vib. 2007, 304, 124–153. [Google Scholar] [CrossRef]
- Paolo, C.; Vestroni, F.; Giannini, O. Crack Detection in Beam-like Structures by Nonlinear Harmonic Identification. Frat. Integrità Strutt. 2014, 8, 313–324. [Google Scholar]
- Uğur, G. Longitudinal Vibration of Cracked Beams under Magnetic Field. Mech. Syst. Signal Process. 2016, 81, 308–317. [Google Scholar]
- Kaushar, H.B.; Sharma, D.S.; Vyas, V. Crack Detection in Cantilever Beam by Frequency Based Method. Procedia Eng. 2013, 51, 770–775. [Google Scholar][Green Version]
- Reza, T.; Nashta, M.R.; Bozorgnasab, M.; Mirgolbabaei, H. A New Index for Damage Identification in Beam Structures Based on Modal Parameters. Arch. Mech. Eng. 2021, 68, 375–394. [Google Scholar]
- Elshamy, M.; Crosby, W.A.; Elhadary, M. Crack Detection of Cantilever Beam by Natural Frequency Tracking Using Experimental and Finite Element Analysis. Alex. Eng. J. 2018, 57, 3755–3766. [Google Scholar] [CrossRef]
- Mousa, R.; Hassannejad, R. Free Vibration Analysis of Simply Supported Beam with Breathing Crack Using Perturbation Method. Acta Mech. Solida Sin. 2010, 23, 459–470. [Google Scholar]
- Broda, D.; Pieczonka, L.; Hiwarkar, V.; Staszewski, W.J.; Silberschmidt, V.V. Generation of Higher Harmonics in Longitudinal Vibration of Beams with Breathing Cracks. J. Sound Vib. 2016, 381, 206–219. [Google Scholar] [CrossRef]
- Krzysztof, C.; Staszewski, W.J.; Aymerich, F. Local Bispectral Characteristics of Nonlinear Vibro-Acoustic Modulations for Structural Damage Detection. Mech. Syst. Signal Process. 2022, 178, 109199. [Google Scholar]
- Prawin, J.; Lakshmi, K.; Rao, A.R.M. A Novel Vibration Based Breathing Crack Localization Technique Using a Single Sensor Measurement. Mech. Syst. Signal Process. 2019, 122, 117–138. [Google Scholar] [CrossRef]
- Buddhi, R.; Senake, W. Identification of Breathing Cracks in a Beam Structure with Entropy; University of Manitoba: Winnipeg, MB, Canada, 2016. [Google Scholar]
- Maosen, C.; Lu, Q.; Su, Z.; Radzieński, M.; Xu, W.; Ostachowicz, W. A Nonlinearity-Sensitive Approach for Detection of ‘Breathing’ Cracks Relying on Energy Modulation Effect. J. Sound Vib. 2022, 524, 116754. [Google Scholar]
- Anastasio, D.; Marchesiello, S. Nonlinear Frequency Response Curves Estimation and Stability Analysis of Randomly Excited Systems in the Subspace Framework. Nonlinear Dyn. 2023, 111, 8115–8133. [Google Scholar] [CrossRef]
- Bovsunovsky, A.P.; Surace, C. Considerations regarding superharmonic vibrations of a cracked beam and the variation in damping caused by the presence of the crack. J. Sound Vib. 2005, 288, 865–886. [Google Scholar] [CrossRef]
- Ja, J.C. Phase Diagram Analysis for Predicting Nonlinearities and Transient Responses. In Recent Advances in Vibrations Analysis; IntechOpen: London, UK, 2011. [Google Scholar]
- Cheng, C.; Nie, Z.H.; Ma, H.W. Structural damage detection of the simple beam based on responses phase space. Adv. Mater. Res. 2013, 605–607, 989–995. [Google Scholar] [CrossRef]
- Rezaee, M.; Shaterian-Alghalandis, V. A new crack detection method in a beam under geometrically nonlinear vibration. Arch. Appl. Mech. 2018, 88, 1491–1506. [Google Scholar] [CrossRef]
- Ugo, A.; Paolo, B. Cracked beam identification by numerically analysing the nonlinear behaviour of the harmonically forced response. J. Sound Vib. 2011, 330, 721–742. [Google Scholar] [CrossRef]
- Voggu, S.; Sasmal, S. Dynamic nonlinearities for identification of the breathing crack type damage in reinforced concrete bridges. Struct. Health Monit. 2021, 20, 339–359. [Google Scholar] [CrossRef]
- Nigam, R.; Singh, S.K. Crack detection in a beam using wavelet transform and photographic measurements. Structures 2020, 25, 436–447. [Google Scholar] [CrossRef]
- Andreaus, U.; Baragatti, P.; Casini, P.; Iacoviello, D. Experimental damage evaluation of open and fatigue cracks of multi-cracked beams by using wavelet transform of static response via image analysis. Struct. Contr. Health Monit. 2017, 24, e1902. [Google Scholar] [CrossRef]
- He, W.-Y.; Zhu, S.; Ren, W.-X. Two-phase damage detection of beam structures under moving load using multi-scale wavelet signal processing and wavelet finite element model. Appl. Math. Model. 2019, 66, 728–744. [Google Scholar] [CrossRef]
- Santos, D.; Viriato, J.; Manuel, C.; Soares, C.; Maia, N.M.M. Structural damage identification: Influence of model incompleteness and errors. Compos. Struct. 2003, 62, 303–313. [Google Scholar] [CrossRef]
- Holt, J.M. (Ed.) Structural Alloy Handbook, ASM Material Data Sheet, C; CINDAS/Purdue University: West Lafayette, IN, USA, 1996. [Google Scholar]
- Pilkey, W.D.; Pilkey, W.D. Formulas for Stress, Strain, and Structural Matrices. Available online: https://www.academia.edu/download/32608912/78383718-Formulas-for-Stress-Strain-and-Structural-Matrices.pdf (accessed on 4 May 2023).
- Huang, Y.H.; Chen, J.-E.; Ge, W.-M.; Bian, X.-L.; Hu, W.-H. Research on Geometric Features of Phase Diagram and Crack Identification of Cantilever Beam with Breathing Crack. Results Phys. 2019, 15, 102561. [Google Scholar] [CrossRef]
- Wang, X.; Liu, D.; Zhang, J.; Jiao, Y. Damage Identification for Nonlinear Fatigue Crack of Cantilever Beam under Harmonic Excitation. J. Vibroengineering 2022, 24, 435–452. [Google Scholar] [CrossRef]
- Kumar, R.; Singh, S.K. Crack detection near the ends of a beam using wavelet transform and high-resolution beam deflection measurement. Eur. J. Mech. A/Solids 2021, 88, 104259. [Google Scholar] [CrossRef]


















| Material Properties | Value | Unit |
| Elastic modulus (E) | 206.8 | GPa |
| Poisson Ratio | 0.3 | - |
| Density | 7850 | kg/m3 |
| S | P | A(UD) | A(LR) |
|---|---|---|---|
| 0.3 | 0.5 | 0.8031 | 0.9648 |
| 0.5 | 0.5 | 0.8320 | 1.0001 |
| 0.5 | 0.7 | 0.9983 | 1.0051 |
| S | P | A(UD) | A(LR) |
|---|---|---|---|
| 0.1 | 0.5 | 0.1022 | 0.6865 |
| 0.3 | 0.1 | 0.2322 | 0.6899 |
| 0.3 | 0.7 | 0.8831 | 0.9583 |
| Scenario | Crack Position (Lc/L) | Damage Severity (a/h) |
|---|---|---|
| Case 1 | 0.5 | 0.1 |
| Case 2 | 0.7 | 0.1 |
| Case 3 | 0.06 | 0.1 |
| Case 4 | 0.7 | 0.3 |
| Case 5 | 0.7 | 0.5 |
Disclaimer/Publisher’s Note: The statements, opinions and data contained in all publications are solely those of the individual author(s) and contributor(s) and not of MDPI and/or the editor(s). MDPI and/or the editor(s) disclaim responsibility for any injury to people or property resulting from any ideas, methods, instructions or products referred to in the content. |
© 2023 by the authors. Licensee MDPI, Basel, Switzerland. This article is an open access article distributed under the terms and conditions of the Creative Commons Attribution (CC BY) license (https://creativecommons.org/licenses/by/4.0/).
Share and Cite
Tewelde, S.A.; Krawczuk, M. Detection of Closing Cracks in Beams Based on Responses Induced by Harmonic Excitation. Sensors 2024, 24, 247. https://doi.org/10.3390/s24010247
Tewelde SA, Krawczuk M. Detection of Closing Cracks in Beams Based on Responses Induced by Harmonic Excitation. Sensors. 2024; 24(1):247. https://doi.org/10.3390/s24010247
Chicago/Turabian StyleTewelde, Samrawit A., and Marek Krawczuk. 2024. "Detection of Closing Cracks in Beams Based on Responses Induced by Harmonic Excitation" Sensors 24, no. 1: 247. https://doi.org/10.3390/s24010247
APA StyleTewelde, S. A., & Krawczuk, M. (2024). Detection of Closing Cracks in Beams Based on Responses Induced by Harmonic Excitation. Sensors, 24(1), 247. https://doi.org/10.3390/s24010247

