Simulation Optimization and Application of Shearer Strapdown Inertial Navigation System Modulation Scheme
Abstract
1. Introduction
2. Basic Principle of Rotation Modulation Technology
3. Analysis of Rotary Modulation Scheme and Mechanism
3.1. Single-Axis Continuous Rotation Modulation
3.1.1. Single-Axis Continuous Rotation Modulation Scheme
- The turning mechanism starts from point s at zero time, accelerates to point a through time ta with angular acceleration α, and the rotation angle during acceleration is θa;
- After the angular velocity reaches the set value ω, it will rotate continuously at a constant speed.
3.1.2. Modulation Mechanism Analysis of Single-Axis Continuous Rotation
3.2. Single-Axis Continuous Positive and Negative Rotation Modulation
3.2.1. Single-Axis Continuous Positive and Negative Rotation Modulation Scheme
- The turning mechanism starts from point s at zero time and rotates to point a with angular acceleration α to reach the set angular velocity ω. The rotation angle of the process is θa and the duration is ta;
- Then, rotate to point d at a constant speed of angular velocity ω. The rotation angle of this process is 2π − 2θa and the duration is tc = (2π − 2θa)/ω;
- Then, decelerate to the starting point s with the angular acceleration −α. The rotation angle is θa and the residence time is ts;
- Accelerate to point d with acceleration α again to reach the set angular velocity −ω;
- Then, rotate to point a at a constant speed with angular speed −ω;
- Then, rotate to the starting point s at a constant deceleration of angular acceleration α, and the dwell time is ts.
3.2.2. Modulation Mechanism Analysis of Single-Axis Continuous Positive and Negative Rotation
3.3. Four-Position Turn–Stop Modulation with Rotation >360°
3.3.1. Four-Position Turn–Stop Modulation Scheme with Rotation >360°
- The turning mechanism starts from point A, with angular acceleration α accelerating the rotation to point a2 to reach the set angular velocity ω. The process rotation angle is θa;
- Then, rotate to point b1 at a constant speed with an angular velocity ω, and the rotation angle of the process is 0.5π − 2θa;
- Then, decelerate to point B with angular acceleration −α. The rotation angle is θa and the residence time is ts;
- Then, rotate to points C, D, and A in the same way, and the residence time at each point is still ts;
- Then, reverse the rotation of points B, C, D, and A in the same way to form a complete modulation cycle.
3.3.2. Modulation Mechanism Analysis of Four-Position Turn–Stop with Rotation >360°
3.4. Four-Position Turn–Stop Modulation with Rotation <360°
3.4.1. Four-Position Turn–stop Modulation Scheme with Rotation <360°
- The turning mechanism starts from point A, with angular acceleration α accelerating the rotation to point a1 to reach the set angular velocity ω. The process rotation angle is θa;
- Then, rotate to point c1 at a constant speed, and the rotation angle is π − 2θa and the rotation time is tc1 = (π − 2θa)/ω;
- From point c1, decelerate uniformly to point C with angular acceleration −α, and the rotation angle during this process is θa;
- Accelerate the rotation from point C to point c2 at the angular acceleration α to reach the set angular speed ω, and the rotation angle during this process is θa;
- Thereafter, it continuously rotates to point d1 at a constant speed. The rotation angle in this process is 0.5π − 2θa, and the rotation time is tc2 = (0.5π − 2θa)/ω. It decelerates uniformly from point d1 to point D at an angular acceleration of −α. The rotation angle in this process is θa;
- Then, reverse the rotation of points B and A in the same way to form a complete modulation cycle, and the residence time of points A, B, C, and D is ts.
3.4.2. Modulation Mechanism Analysis of Four-Position Turn–Stop with Rotation <360°
3.5. Improved Four-Position Turn–Stop Modulation with Rotation <360°
4. Simulation Analysis and Determination of Optimal Modulation Scheme
4.1. Simulation Analysis
4.2. Determination of Optimal Modulation Scheme
5. Research on Error Modulation Experiment and Engineering Application
5.1. Experimental Study on the Improved Four-Position Turn–Stop with <360°
5.2. Analysis on the Compensation Effect of Shearer Operating Attitude Perception Error
6. Conclusions
- (1)
- This paper theoretically analyzed the propagation rules of inertial sensor drift error, scale factor error, and installation error in single-axis continuous rotation, single-axis continuous positive and negative rotation, >360° four-position stop, <360° four-position stop, and the <360° improved four-position stop error modulation scheme. It was proved theoretically that the <360° improved four-position stop scheme can eliminate the influence of gyro drift in the vertical rotation axis direction. Moreover, it achieves a relatively good error self-compensation effect.
- (2)
- In this paper, five single-axis rotation error modulation schemes were studied through simulation analysis. The research shows that the positioning error of the improved four-position turn stop scheme <360° was about 0.01 nmile within 72 h of simulation time. After a comprehensive analysis, this scheme was determined to be the best rotation modulation scheme in practical engineering applications. Based on the optimal rotation modulation scheme, a single-axis rotation error modulation experiment was carried out, which verified that the scheme can effectively improve the sensing accuracy of SINS.
- (3)
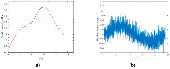
- The field application of shearer operation attitude perception was analyzed and studied. The field application showed that the plane positioning error after error compensation was about 17% of that before compensation, and the heading angle error was 75% of that before compensation, which verifies the effectiveness of the error compensation algorithm in this paper, and the shearer operation attitude perception accuracy has been significantly improved.
- (4)
- Although the single-axis rotation error modulation of the SINS of the shearer was studied in this paper, there is a lack of specific research on the rotation error effect of the turning mechanism in the vibration environment, which will affect the system error self-compensation effect of the single-axis rotation modulation IMU applied to the long flight and the selection of the optimal attitude solution structure of the shearer. Therefore, the rotation error effect in the vibration environment needs to be further explored.
Author Contributions
Funding
Institutional Review Board Statement
Informed Consent Statement
Data Availability Statement
Acknowledgments
Conflicts of Interest
References
- Zheng, J.; Li, S.; Liu, S.; Fu, Q. Research on the Shearer Positioning Method Based on SINS and LiDAR with Velocity and Absolute Position Constraints. Remote Sens. 2021, 13, 3708. [Google Scholar] [CrossRef]
- Shirong, G.; Shijia, W.; Bo, C.; Shibo, G.; Jiachen, L. Principle and Technology of Autonomous Positioning of Intelligent Mining and Transportation Units. J. Coal Ind. 2022, 47, 75–86. [Google Scholar]
- Wu, G.; Fang, X.; Zhang, L.; Liang, M.; Lv, J.; Quan, Z. Positioning accuracy of the shearer based on a strapdown inertial navigation system in underground coal mining. Appl. Sci. 2020, 10, 2176. [Google Scholar] [CrossRef]
- Zheng, J.; Li, S.; Li, N.; Fu, Q.; Liu, S.; Yan, G. A lidar-aided inertial positioning approach for a longwall shearer in underground coal mining. Math. Probl. Eng. 2021, 2021, 6616090. [Google Scholar] [CrossRef]
- Kelly, M.; Hainsworth, D.; Reid, D.; Caris, C. Longwall Automation: A new approach. In Proceedings of the 3th International Symposium “High Performance Mine Production”, Aachen, Germany, 11–12 June 2003; CSIRO Exploration & Mining: Aachen, Germany, 2003; pp. 5–16. [Google Scholar]
- Shanjun, M.; Shouming, L.; Cunlu, L.; Huazhou, C.; Pengpeng, Z.; Jihong, F.; Xinchao, L.; Jinchuan, C. Research and system application of adaptive coal cutting key technology for transparent intelligent fully mechanized coal mining face based on precise geodetic coordinates. J. Coal Ind. 2022, 47, 515–526. [Google Scholar]
- Shoubin, L. Research progress and development trend of intelligent mining. Coal Sci. Technol. 2019, 47, 102–110. [Google Scholar]
- Ralston, J.C.; Hargrave, C.O.; Dunn, M.T. Longwall automation: Trends, challenges and opportunities. Int. J. Min. Sci. Technol. 2017, 27, 733–739. [Google Scholar] [CrossRef]
- Enxian, T.; Yuliang, Z.; Cheng, M. Research status and prospect of intelligent coal mining technology. Coal Sci. Technol. 2019, 47, 111–115. [Google Scholar]
- Wang, S.; Wang, S. Longwall mining automation horizon control: Coal seam gradient identification using piecewise linear fitting. J. Min. Sci. Technol. 2022, 32, 821–829. [Google Scholar] [CrossRef]
- Ru, X.; Gu, N.; Shang, H.; Zhang, H. MEMS Inertial Sensor Calibration Technology: Current Status and Future Trends. Micromachines 2022, 13, 879. [Google Scholar] [CrossRef]
- Ren, C.; Guo, D.; Zhang, L.; Wang, T. Research on Nonlinear Compensation of the MEMS Gyroscope under Tiny Angular Velocity. Sensors 2022, 22, 6577. [Google Scholar] [CrossRef]
- Pan, G.; Wang, M.; Cao, J.; Xiong, Z.; Yu, R.; Cai, S. Improving the Horizontal Components Accuracy of Strapdown Airborne Vector Gravimetry by Yaw Continuous Rotation Modulation. IEEE Trans. Instrum. Meas. 2021, 70, 8503611. [Google Scholar] [CrossRef]
- Huang, W.; Li, M. A Self-Alignment Method of MEMS Biaxial Rotation Modulation Strapdown Compass for Marine Applications. IEEE Access 2019, 7, 151595–151609. [Google Scholar] [CrossRef]
- Yan, M.; Wang, Z. Engineering M. Precise Shearer Positioning Technology Using Shearer Motion Constraint and Magnetometer Aided SINS. Math. Probl. Eng. 2021, 2021, 1679014. [Google Scholar] [CrossRef]
- Lin, Y.; Miao, L.; Zhou, Z. A high-accuracy initial alignment method based on backtracking process for strapdown inertial navigation system. Measurement 2022, 201, 111712. [Google Scholar] [CrossRef]
- Chang, L.; Qin, F.; Jiang, S. Strapdown Inertial Navigation System Initial Alignment Based on Modified Process Model. IEEE Sens. J. 2019, 15, 6381–6391. [Google Scholar] [CrossRef]
- Sun, J.; Ye, Q.; Lei, Y. In-Motion Alignment Method of SINS Based on Improved Kalman Filter under Geographic Latitude Uncertainty. Remote Sens. 2022, 14, 2581. [Google Scholar] [CrossRef]
- Zhang, J.; Li, J.; Zhang, X.; Che, X.; Huang, Y.; Feng, K. Analysis and Compensation of Modulation Angular Rate Error Based on Missile-Borne Rotation Semi-Strapdown Inertial Navigation System. Sensors 2018, 5, 1430. [Google Scholar] [CrossRef]
- Zhang, C.; Li, J.; Yuan, X.; Zhang, X.; Wei, X.; Feng, K.; Hu, C.; Zhang, D.; Jiao, Y. Optimal Rotational Angular Velocity Determination Method Based on Compound Rotary Semi-Strapdown Inertial Navigation System. Sensors 2022, 22, 4583. [Google Scholar] [CrossRef] [PubMed]
- Xiaozhu, S.; Jie, H. Error analysis and transposition scheme for single-axis rotating SINS. Navig. Control 2018, 17, 7–13. [Google Scholar]
- Zharkov, M.; Veremeenko, K.; Kuznetsov, I.; Pronkin, A. Experimental Results of Attitude Determination Functional Algorithms Implementation in Strapdown Inertial Navigation System. Sensors 2022, 22, 1849. [Google Scholar] [CrossRef] [PubMed]
- Gao, K.; Ren, S.; Chen, X.; Yi, G.; Xu, Z. High Precision SINS/OD Dead Reckoning Algorithm Considering Lever Arm Effect. In Proceedings of the IECON 2017—43rd Annual Conference of the IEEE Industrial Electronics Society, Beijing, China, 29 October–1 November 2017. [Google Scholar]
- Shen, Y.; Wang, P.; Zheng, W.; Ji, X.; Jiang, H.; Wu, M. Error Compensation of Strapdown Inertial Navigation System for the Boom-Type Roadheader under Complex Vibration. Axioms 2021, 10, 224. [Google Scholar] [CrossRef]
- Wen, Z.; Yang, G.; Cai, Q. An Improved Calibration Method for the IMU Biases Utilizing KF-Based AdaGrad Algorithm. Sensors 2021, 21, 5055. [Google Scholar] [CrossRef]
- Gusinsky, V.Z.; Lesyuchevsky, V.M.; Litmanovich, Y.A.; Musoff, H.; Schmidt, G.T. A New Procedure for Strapdown Attitude Algorithms Optimization as Applied to Stochastic Motion Input. J. GCD 2007, 20, 673–680. [Google Scholar]












| Parameter | Value |
|---|---|
| 0.01°/h | |
| Kgx = Kgy = Kgz | 10 ppm |
| Egxy | −10″ |
| Egxz | −20″ |
| Egyx | 15″ |
| Egyz | −10″ |
| Egzx | 20″ |
| Egzy | 5″ |
| ω | 6°/s |
| α | 10°/s2 |
Disclaimer/Publisher’s Note: The statements, opinions and data contained in all publications are solely those of the individual author(s) and contributor(s) and not of MDPI and/or the editor(s). MDPI and/or the editor(s) disclaim responsibility for any injury to people or property resulting from any ideas, methods, instructions or products referred to in the content. |
© 2023 by the authors. Licensee MDPI, Basel, Switzerland. This article is an open access article distributed under the terms and conditions of the Creative Commons Attribution (CC BY) license (https://creativecommons.org/licenses/by/4.0/).
Share and Cite
Wu, G.; Fang, X.; Song, Y.; Chen, N.; Liang, M.; Li, J.; Qiao, F. Simulation Optimization and Application of Shearer Strapdown Inertial Navigation System Modulation Scheme. Sensors 2023, 23, 4290. https://doi.org/10.3390/s23094290
Wu G, Fang X, Song Y, Chen N, Liang M, Li J, Qiao F. Simulation Optimization and Application of Shearer Strapdown Inertial Navigation System Modulation Scheme. Sensors. 2023; 23(9):4290. https://doi.org/10.3390/s23094290
Chicago/Turabian StyleWu, Gang, Xinqiu Fang, Yang Song, Ningning Chen, Minfu Liang, Jiaxuan Li, and Fukang Qiao. 2023. "Simulation Optimization and Application of Shearer Strapdown Inertial Navigation System Modulation Scheme" Sensors 23, no. 9: 4290. https://doi.org/10.3390/s23094290
APA StyleWu, G., Fang, X., Song, Y., Chen, N., Liang, M., Li, J., & Qiao, F. (2023). Simulation Optimization and Application of Shearer Strapdown Inertial Navigation System Modulation Scheme. Sensors, 23(9), 4290. https://doi.org/10.3390/s23094290
