Asymmetry Optimization for 10 THz OPC Transmission over the C + L Bands Using Distributed Raman Amplification
Abstract
1. Introduction
2. Amplifier Design for Optical Phase Conjugation
2.1. C Band: 50 Transmitted Channels with 100 GHz Spacing 191.2–196.1 THz
2.2. L Band: 50 Conjugated Channels with 100 GHz Spacing 186.2–191.1 THz
3. Simulation Parameters
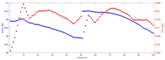
4. Results and Discussion
5. Conclusions
Author Contributions
Funding
Institutional Review Board Statement
Informed Consent Statement
Data Availability Statement
Conflicts of Interest
References
- Ellis, A.D.; McCarthy, M.E.; Al-Khateeb, M.A.Z.; Sorokina, M.; Doran, N.J. Performance limits in optical communications due to fiber nonlinearity. Adv. Opt. Photon. 2019, 9, 429–503. [Google Scholar] [CrossRef]
- Jasen, S.L.; van den Borne, D.; Spinnler, B.; Calabro, S.; Suche, H.; Krummrich, P.M.; Sohler, W.; Khoe, G.-D. Optical phase conjugation for ultra long-haul phase-shift-keyed transmission. J. Light. Technol. 2006, 24, 54–64. [Google Scholar] [CrossRef]
- Namiki, S.; Solis-Trapala, K.; Tan, H.N.; Pelusi, M.; Inoue, T. Multi-Channel Cascadable Parametric Signal Processing for Wavelength Conversion and Nonlinearity Compensation. J. Lightwave Technol. 2017, 35, 815–823. [Google Scholar] [CrossRef]
- Solis-Trapala, K.; Pelusi, M.; Tan, H.N.; Inoue, T.; Namiki, S. Optimized WDM Transmission Impairment Mitigation by Multiple Phase Conjugations. J. Light. Technol. 2016, 34, 431–440. [Google Scholar] [CrossRef]
- Du, L.B.; Morshed, M.M.; Lowery, A.J. Fiber nonlinearity compensation for OFDM super-channels using optical phase conjugation. Opt. Express 2012, 20, 19921. [Google Scholar] [CrossRef]
- Huang, C.; Shu, C. Raman-enhanced optical phase conjugator in WDM transmission systems. Opt. Express 2018, 26, 10274. [Google Scholar] [CrossRef]
- Yoshima, S.; Sun, Y.; Liu, Z.; Bottrill, K.R.H.; Parmigiani, F.; Richardson, D.J.; Petropoulos, P. Mitigation of Nonlinear Effects on WDM QAM Signals Enabled by Optical Phase Conjugation with Efficient Bandwidth Utilization. J. Light. Technol. 2017, 35, 971–978. [Google Scholar] [CrossRef]
- Sackey, I.; Schmidt-Langhorst, C.; Elschner, R.; Kato, T.; Tanimura, T.; Watanabe, S.; Hoshida, T.; Schubert, C. Waveband-Shift-Free Optical Phase Conjugator for Spectrally Efficient Fiber Nonlinearity Mitigation. J. Light. Technol. 2018, 36, 1309–1317. [Google Scholar] [CrossRef]
- Pelusi, M.D. WDM signal All-optical Precompensation of Kerr Nonlinearity in Dispersion-Managed Fibers. IEEE Photonics Technol. Lett. 2013, 25, 71–73. [Google Scholar] [CrossRef]
- Phillips, I.; Tan, M.; Stephens, M.F.; McCarthy, M.; Giacoumidis, E.; Sygletos, S.; Rosa, P.; Fabbri, S.; Le, S.T.; Kanesan, T.; et al. Exceeding the Nonlinear-Shannon Limit using Raman Laser Based Amplification and Optical Phase Conjugation. In Proceedings of the Optical Fiber Communication Conference, OSA Technical Digest, San Francisco, CA, USA, 9–13 March 2014. [Google Scholar]
- Da Ros, F.; Yankov, M.P.; Silva, E.P.D.; Pu, M.; Ottaviano, L.; Hu, H.; Semenova, E.; Forchhammer, S.; Zibar, D.; Galili, M.; et al. Characterization and Optimization of a High-Efficiency AlGaAs-On-Insulator-Based Wavelength Convertor for 64- and 256-QAM Signals. J. Light. Technol. 2017, 35, 3750–3757. [Google Scholar] [CrossRef]
- Umeki, T.; Kazama, T.; Sano, A.; Shibahara, K.; Suzuki, K.; Abe, M.; Takenouchi, H.; Miyamoto, Y. Simultaneous nonlinearity mitigation in 92 × 180-Gbit/s PDM-16QAM transmission over 3840 km using PPLN-based guard-band-less optical phase conjugation. Opt. Express 2016, 24, 16945. [Google Scholar] [CrossRef]
- Hu, H.; Jopson, R.M.; Gnauck, A.H.; Randel, S.; Chandrasekhar, S. Fiber nonlinearity mitigation of WDM-PDM QPSK/16-QAM signals using fiber-optic parametric amplifiers based multiple optical phase conjugations. Opt. Express 2017, 25, 1618. [Google Scholar] [CrossRef]
- Bidaki, E.; Kumar, S. A Raman-pumped Dispersion and Nonlinearity Compensating Fiber For Fiber Optic Communications. IEEE Photonics J. 2020, 12, 720017. [Google Scholar] [CrossRef]
- Kaminski, P.M.; Da Ros, F.; Yankov, M.P.; Clausen, A.T.; Forchhammer, S.; Oxenløwe, L.K.; Galili, M. Symmetry enhancement through advanced dispersion mapping in OPC-aided transmission. J. Light. Technol. 2021, 39, 2820–2829. [Google Scholar] [CrossRef]
- Minzioni, P.; Cristiani, I.; Degiorgio, V.; Marazzi, L.; Martinelli, M.; Langrock, C.; Fejer, M.M. Experimental Demonstration of Nonlinearity and Dispersion Compensation in an Embedded Link by Optical Phase Conjugation. IEEE Photonics Technol. Lett. 2006, 18, 995–997. [Google Scholar] [CrossRef]
- Rosa, P.; Martella, G.R.; Tan, M. Bandwidth Extension in a Mid-Link Optical Phase Conjugation. Sensors 2022, 22, 6385. [Google Scholar] [CrossRef]
- Tan, M.; Rosa, P.; Nguyen, T.T.; Al-Khateeb, M.A.Z.; Iqbal, M.A.; Xu, T.; Wen, F.; Ania-Castañón, J.D.; Ellis, A.D. Distributed Raman Amplification for Fiber Nonlinearity Compensation in a Mid-Link Optical Phase Conjugation System. Sensors 2022, 22, 758. [Google Scholar] [CrossRef]
- Tan, M.; Nguyen, T.T.; Rosa, P.; Al-Khateeb, M.A.Z.; Zhang, T.T.; Ellis, A.D. Enhancing the Signal Power Symmetry for Optical Phase Conjugation Using Erbium-Doped-Fiber-Assisted Raman Amplification. IEEE Access 2020, 8, 222766–222773. [Google Scholar] [CrossRef]
- Al-Khateeb, M.; Tan, M.; Zhang, T.; Ellis, A. Combating Fiber Nonlinearity Using Dual-Order Raman Amplification and OPC. IEEE Photonics Technol. Lett. 2019, 31, 877–880. [Google Scholar] [CrossRef]
- Rosa, P.; Rizzelli, G.; Ania-Castañón, J.D. Link optimization for DWDM transmission with an optical phase conjugation. Opt. Express 2016, 24, 16450–16455. [Google Scholar] [CrossRef]
- Al-Khateeb, M.A.Z.; Tan, M.; Iqbal, M.A.; Ali, A.; McCarthy, M.E.; Harper, P.; Ellis, A.D. Experimental demonstration of 72% reach enhancement of 3.6 Tbps optical transmission system using mid-link optical phase conjugation. Opt. Express 2018, 26, 23960–23968. [Google Scholar] [CrossRef] [PubMed]
- Ellis, A.D.; Tan, M.; Iqbal, M.A.; Al-Khateeb, M.A.Z.; Gordienko, V.; Saavedra Mondaca, G.; Fabbri, S.; Stephens, M.F.C.; McCarthy, M.E.; Perentos, A.; et al. 4 Tb/s Transmission Reach Enhancement Using 10 × 400 Gb/s Super-Channels and Polarization Insensitive Dual Band Optical Phase Conjugation. J. Light. Technol. 2016, 34, 1717–1723. [Google Scholar] [CrossRef]
- Rosa, P.; Le, S.T.; Rizzelli, G.; Tan, M.; Harper, P.; Ania-Castañón, J.D. Signal power asymmetry optimisation for optical phase conjugation using Raman amplification. Opt. Express 2015, 23, 31772–31778. [Google Scholar] [CrossRef] [PubMed]
- Rapp, L.; Eiselt, M. Optical amplifiers for multi-band optical transmission systems. J. Light. Technol. 2022, 40, 1579–1589. [Google Scholar] [CrossRef]
- Hazarika, P.; Tan, M.; Donodin, A.; Noor, S.; Phillips, I.; Harper, P.; Stone, J.S.; Li, M.J.; Forysiak, W. E-, S-, C- and L-band coherent transmission with a multistage discrete Raman amplifier. Opt. Express 2022, 30, 43118–43126. [Google Scholar] [CrossRef]
- Puttnam, B.J.; Luis, R.S.; Rademacher, G.; Mendez-Astudillio, M.; Awaji, Y.; Furukawa, H. S-, C- and L-band transmission over a 157 nm bandwidth using doped fiber and distributed Raman amplification. Opt. Express 2022, 30, 10011–10018. [Google Scholar] [CrossRef]
- Liang, S.; Jain, S.; Xu, L.; Bottrill, K.R.H.; Taengnoi, N.; Guasoni, M.; Zhang, P.; Xiao, M.; Kang, Q.; Jung, Y.; et al. High Gain, Low Noise, Spectral-Gain-Controlled, Broadband Lumped Fiber Raman Amplifier. J. Light. Technol. 2021, 39, 1458–1463. [Google Scholar] [CrossRef]
- Rosa, P.; Rizzelli, G.; Tan, M.; Harper, P.; Ania-Castañón, J.D. Characterisation of random DFB Raman laser amplifier for WDM transmission. Opt. Express 2015, 23, 28634–28639. [Google Scholar] [CrossRef]
- Rizzelli, G.; Iqbal, M.A.; Gallazzi, F.; Rosa, P.; Tan, M.; Ania-Castañón, J.D.; Krzczanowicz, L.; Corredera, P.; Phillips, I.; Forysiak, W.; et al. Impact of input FBG reflectivity and forward pump power on RIN transfer in ultralong Raman laser amplifiers. Opt. Express 2016, 24, 29170–29175. [Google Scholar] [CrossRef]
- Tan, M.; Rosa, P.; Le, S.T.; Iqbal, M.A.; Phillips, I.D.; Harper, P. Transmission performance improvement using random DFB laser based Raman amplification and bidirectional second-order pumping. Opt. Express 2016, 24, 2215–2221. [Google Scholar] [CrossRef]
- Tan, M.; Rosa, P.; Le, S.T.; Dvoyrin, V.; Iqbal, M.A.; Sugavanam, S.; Turitsyn, S.; Harper, P. RIN Mitigation and Transmission Performance Enhancement with Forward Broadband Pump. IEEE Photonics Technol. Lett. 2018, 30, 254–257. [Google Scholar] [CrossRef]
- Ania-Castañón, J. Quasi-lossless transmission using second-order Raman amplification and fibre Bragg gratings. Opt. Express 2004, 12, 4372–4377. [Google Scholar] [CrossRef]
- Ania-Castañón, J.; Karalekas, V.; Harper, P.; Turitsyn, S. Simultaneous Spatial and Spectral Transparency in Ultralong Fiber Lasers. Phys. Rev. Lett. 2008, 101, 123903. [Google Scholar] [CrossRef]
- Mohammad, A.; Al-Khateeb, Z.; Iqbal, M.A.; Tan, M.; Ali, A.; McCarthy, M.; Harper, P.; Ellis, A.D. Analysis of the nonlinear Kerr effects in optical transmission systems that deploy optical phase conjugation. Opt. Express 2018, 26, 3145–3160. [Google Scholar]














| 50 Transmitted Channels C Band 191.2–196.1 THz | 50 Conjugated Channels L Band 186.2–191.1 THz | |
|---|---|---|
| Wavelength | 1370 nm | 1410 nm |
| FBG Wavelength | 1458 nm | 1498 nm |
| Pump Power | 1.3 W | 0.7 W |
| Pump Power | 1.838 W | 1.717 W |
Disclaimer/Publisher’s Note: The statements, opinions and data contained in all publications are solely those of the individual author(s) and contributor(s) and not of MDPI and/or the editor(s). MDPI and/or the editor(s) disclaim responsibility for any injury to people or property resulting from any ideas, methods, instructions or products referred to in the content. |
© 2023 by the authors. Licensee MDPI, Basel, Switzerland. This article is an open access article distributed under the terms and conditions of the Creative Commons Attribution (CC BY) license (https://creativecommons.org/licenses/by/4.0/).
Share and Cite
Rosa, P.; Martella, G.R.; Ania Castañón, J.D.; Tan, M. Asymmetry Optimization for 10 THz OPC Transmission over the C + L Bands Using Distributed Raman Amplification. Sensors 2023, 23, 2906. https://doi.org/10.3390/s23062906
Rosa P, Martella GR, Ania Castañón JD, Tan M. Asymmetry Optimization for 10 THz OPC Transmission over the C + L Bands Using Distributed Raman Amplification. Sensors. 2023; 23(6):2906. https://doi.org/10.3390/s23062906
Chicago/Turabian StyleRosa, Paweł, Giuseppe Rizzelli Martella, Juan Diego Ania Castañón, and Mingming Tan. 2023. "Asymmetry Optimization for 10 THz OPC Transmission over the C + L Bands Using Distributed Raman Amplification" Sensors 23, no. 6: 2906. https://doi.org/10.3390/s23062906
APA StyleRosa, P., Martella, G. R., Ania Castañón, J. D., & Tan, M. (2023). Asymmetry Optimization for 10 THz OPC Transmission over the C + L Bands Using Distributed Raman Amplification. Sensors, 23(6), 2906. https://doi.org/10.3390/s23062906

