Research on Electro-Optical Characteristics of Infrared Detectors with HgCdTe Operating at Room Temperature
Abstract
:1. Introduction
2. Motivation and Novelty
3. Photodiode Design
4. Experimental Results
5. Theoretical Simulation
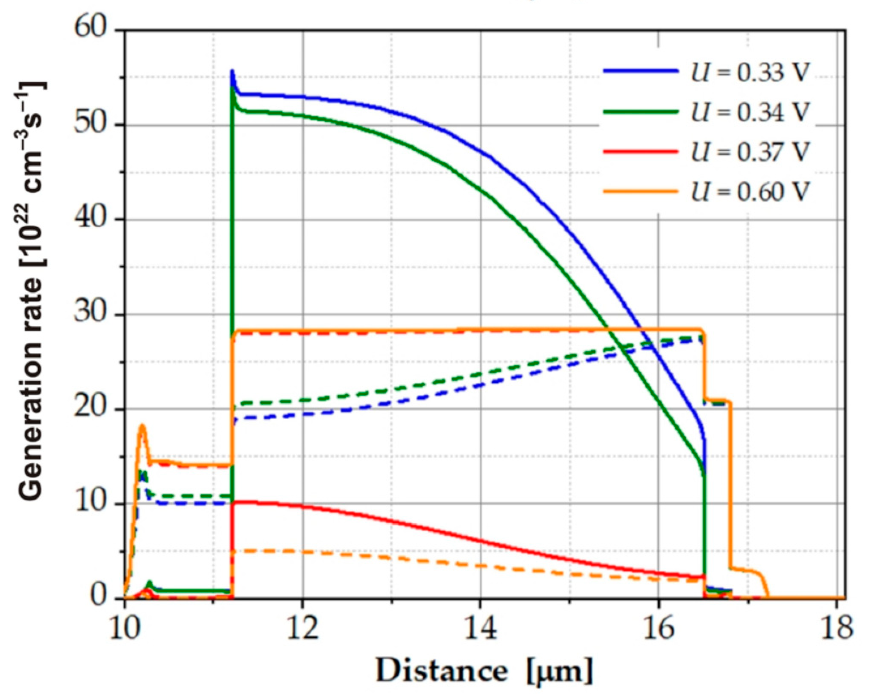
6. Results and Discussion
7. Conclusions
Author Contributions
Funding
Institutional Review Board Statement
Informed Consent Statement
Data Availability Statement
Acknowledgments
Conflicts of Interest
References
- Rogalski, A. Infrared and Terahertz Detectors, 3rd ed.; CRC Press Taylor & Francis Group: Boca Raton, FL, USA, 2020. [Google Scholar]
- Kopytko, M.; Rogalski, A. New insights into the ultimate performance of HgCdTe photodiodes. Sens. Actuators A Phys. 2022, 339, 113511. [Google Scholar] [CrossRef]
- Maxey, C.; Capper, P.; Baker, I. Metalorganic Vapor Phase Epitaxy (MOVPE): Growth, Materials Properties and Applications; Irvine, S., Capper, P., Eds.; John Wiley & Sons Ltd.: Hoboken, NJ, USA, 2020. [Google Scholar]
- Garland, J. MBE Growth of Mercury Cadmium Telluride. In Mercury Cadmium Telluride Growth, Properties and Applications; Capper, P., Garland, J., Eds.; Wiley: Hoboken, NJ, USA, 2011. [Google Scholar]
- McEwen, K.R.; Hipwood, L.; Bains, S.; Owton, D.; Maxey, C. Dual waveband infrared detectors using MOVPE grown MCT. In Proceedings of the SPIE, Baltimore, MD, USA, 14–18 April 2019; Volume 1100218. [Google Scholar]
- Jones, C.; Gordon, N. Nonequilibrium, Dual-Band and Emission Devices. In Mercury Cadmium Telluride Growth, Properties and Applications; Capper, P., Garland, J., Eds.; Wiley: Hoboken, NJ, USA, 2011. [Google Scholar]
- Rothman, J. Physics and Limitations of HgCdTe APDs: A Review. J. Electron. Mater. 2018, 47, 5657–5665. [Google Scholar] [CrossRef]
- Sun, X.; Lu, W.; Yang, G.; Babu, S.; Lauenstein, J.-M.; Le Roch, A.; Baker, I. Effects of proton irradiation on a SAPHIRA HgCdTe avalanche photodiode array. In Proceedings of the SPIE, Orlando, FL, USA, 3 April–13 June 2022; Volume 121070D. [Google Scholar]
- Lutz, H.; Breiter, R.; Eich, D.; Figgemeier, H.; Hanna, S. Towards high operating temperature and small pixel pitch MCT LWIR modules. In Proceedings of the SPIE, Orlando, FL, USA, 3 April–13 June 2022; Volume 121070T. [Google Scholar]
- Kinch, M.A. State-of-the-Art Infrared Detector Technology; SPIE Press: Bellingham, WA, USA, 2014. [Google Scholar]
- Martyniuk, P.; Rogalski, A. HOT infrared photodetectors. Opto-Electron. Rev. 2013, 21, 240–258. [Google Scholar] [CrossRef]
- Qiu, W.C.; Jiang, T.; Cheng, X.A. A bandgap-engineered HgCdTe PBπn long-wavelength infrared detector. J. Appl. Phys. 2015, 118, 124504. [Google Scholar] [CrossRef]
- Iakovleva, N.I. The study of dark currents in HgCdTe hetero-structure photodiodes. J. Commun. Technol. Electron. 2021, 66, 368–374. [Google Scholar] [CrossRef]
- Gawron, W.; Sobieski, J.; Manyk, T.; Kopytko, M.; Madejczyk, P.; Rutkowski, J. MOCVD Grown HgCdTe Heterostructures for Medium Wave Infrared Detectors. Coatings 2021, 11, 611. [Google Scholar] [CrossRef]
- Madejczyk, P.; Gawron, W.; Kębłowski, A.; Stępień, D.; Martyniuk, P.; Rogalski, A.; Rutkowski, J.; Piotrowski, J. Higher operating temperature IR detectors of the MOCVD grown HgCdTe heterostructures. J. Electron. Mater. 2020, 49, 6908–6917. [Google Scholar] [CrossRef]
- APSYS Macro/User’s Manual Ver. 2011; Crosslight Software, Inc.: Burnaby, BC, Canada, 2011.
- Schacham, S.E.; Finkman, E. Recombination mechanisms in p-type HgCdTe: Freezeout and background flux effects. J. Appl. Phys. 1985, 57, 2001–2009. [Google Scholar] [CrossRef]
- Olson, B.V.; Grein, C.H.; Kim, J.K.; Kadlec, E.A.; Klem, J.F.; Hawkins, S.D.; Shaner, E.A. Auger recombination in long-wave infrared InAs/InAsSb type-II superlattices. Appl. Phys. Lett. 2015, 107, 261104. [Google Scholar] [CrossRef]
- Beattie, A.R.; Landsberg, P.T. Auger Effect in Semiconductors. Proc. R. Soc. Lond. 1959, A249, 16–29. [Google Scholar]
- Krishnaumurthy, S.; Casselman, T.N. A detailed calculation of the Auger lifetime in p-type HgCdTe. J. Electron. 2000, 29, 828–831. [Google Scholar] [CrossRef]













| Layer | Thickness, d (µm) | Composition, x | NA-ND (cm−3) | ||||||
|---|---|---|---|---|---|---|---|---|---|
| SWIR | MWIR | LWIR1 | LWIR2 | SWIR | MWIR | LWIR1 | LWIR2 | ||
| P+ | 0.8 ÷ 2.0 | 0.3 ÷ 0.5 | +2 ÷ 5 × 1017 | ||||||
| G2 | 0.4 ÷ 0.8 | 0.25 ÷ 0.42 | +5 ÷ 7 × 1015 | ||||||
| p | 3.0 | 4.0 | 5.1 | 5.2 | 0.36 | 0.28 | 0.22 | 0.18 | +3 ÷ 7 × 1015 |
| G1 | 0.3 | 0.3 | 1.5 | 1.5 | 0.42 | 0.36 | 0.36 | 0.25 | −1.0 × 1017 |
| N+ | 9.0 | 0.4 ÷ 0.5 | −2.0 × 1017 | ||||||
| Parameter | SWIR | MWIR | LWIR1 | LWIR2 |
|---|---|---|---|---|
| F12 | 0.1 | 0.255 | 0.25 | 0.2 |
| γ | 5 | 8 | 10 | 5 |
| τSRH_n (ns) | 1400 | 400 | 15 | 0.3 |
Disclaimer/Publisher’s Note: The statements, opinions and data contained in all publications are solely those of the individual author(s) and contributor(s) and not of MDPI and/or the editor(s). MDPI and/or the editor(s) disclaim responsibility for any injury to people or property resulting from any ideas, methods, instructions or products referred to in the content. |
© 2023 by the authors. Licensee MDPI, Basel, Switzerland. This article is an open access article distributed under the terms and conditions of the Creative Commons Attribution (CC BY) license (https://creativecommons.org/licenses/by/4.0/).
Share and Cite
Madejczyk, P.; Manyk, T.; Rutkowski, J. Research on Electro-Optical Characteristics of Infrared Detectors with HgCdTe Operating at Room Temperature. Sensors 2023, 23, 1088. https://doi.org/10.3390/s23031088
Madejczyk P, Manyk T, Rutkowski J. Research on Electro-Optical Characteristics of Infrared Detectors with HgCdTe Operating at Room Temperature. Sensors. 2023; 23(3):1088. https://doi.org/10.3390/s23031088
Chicago/Turabian StyleMadejczyk, Paweł, Tetiana Manyk, and Jarosław Rutkowski. 2023. "Research on Electro-Optical Characteristics of Infrared Detectors with HgCdTe Operating at Room Temperature" Sensors 23, no. 3: 1088. https://doi.org/10.3390/s23031088
APA StyleMadejczyk, P., Manyk, T., & Rutkowski, J. (2023). Research on Electro-Optical Characteristics of Infrared Detectors with HgCdTe Operating at Room Temperature. Sensors, 23(3), 1088. https://doi.org/10.3390/s23031088

