IMF-Based MF and HS Energy Feature Information of F5, and F6 Movement and Motor Imagery EEG Signals in Delta Rhythms Using HHT
Abstract
1. Introduction
2. Materials and Methods
2.1. Datasets
2.2. Methods
- Step 1 Input the EEG samples.
- Step 2 Decompose the EEG samples adaptively into N IMFs and one RF using the EMD method.
- Step 3 Calculate the , , and IMFRFERDD values.
- Step 4 If the IMFRFERDD values of the ith IMF or RF exceed 1, denoted them as the important IMFs or RF, respectively.
- Step 5 Extract the IMFRFERDD values of the important IMFs or RF as feature information.
- Step 6 Calculate of the important IMFs or RF.
- Step 7 Calculate the , , and IMFRFMFERDD values of the important IMFs or RF.
- Step 8 If the IMFRFMFERDD values exceed 3, denote the MF as the important MFs of the important IMFs or RF.
- Step 9 Extract the IMFRFMFERDD values of the important MFs as feature information.
- Step 10 Calculate the , , and IMFRFHSERDD values of the important MFs.
- Step 11 If the IMFRFHSERDD values exceed 6, denote the HS as the important HS.
- Step 12 Extract the IMFRFHSERDD values of the important HSs as feature information.
3. Results
3.1. Average IMF-Energy Distributions of F5AM, F5MI, F6AM and F6MI EEG Signals
3.2. Average MF Feature Information of IMF3 and IMF4 for F5AM, F5MI, F6AM, and F6MI EEG Signals
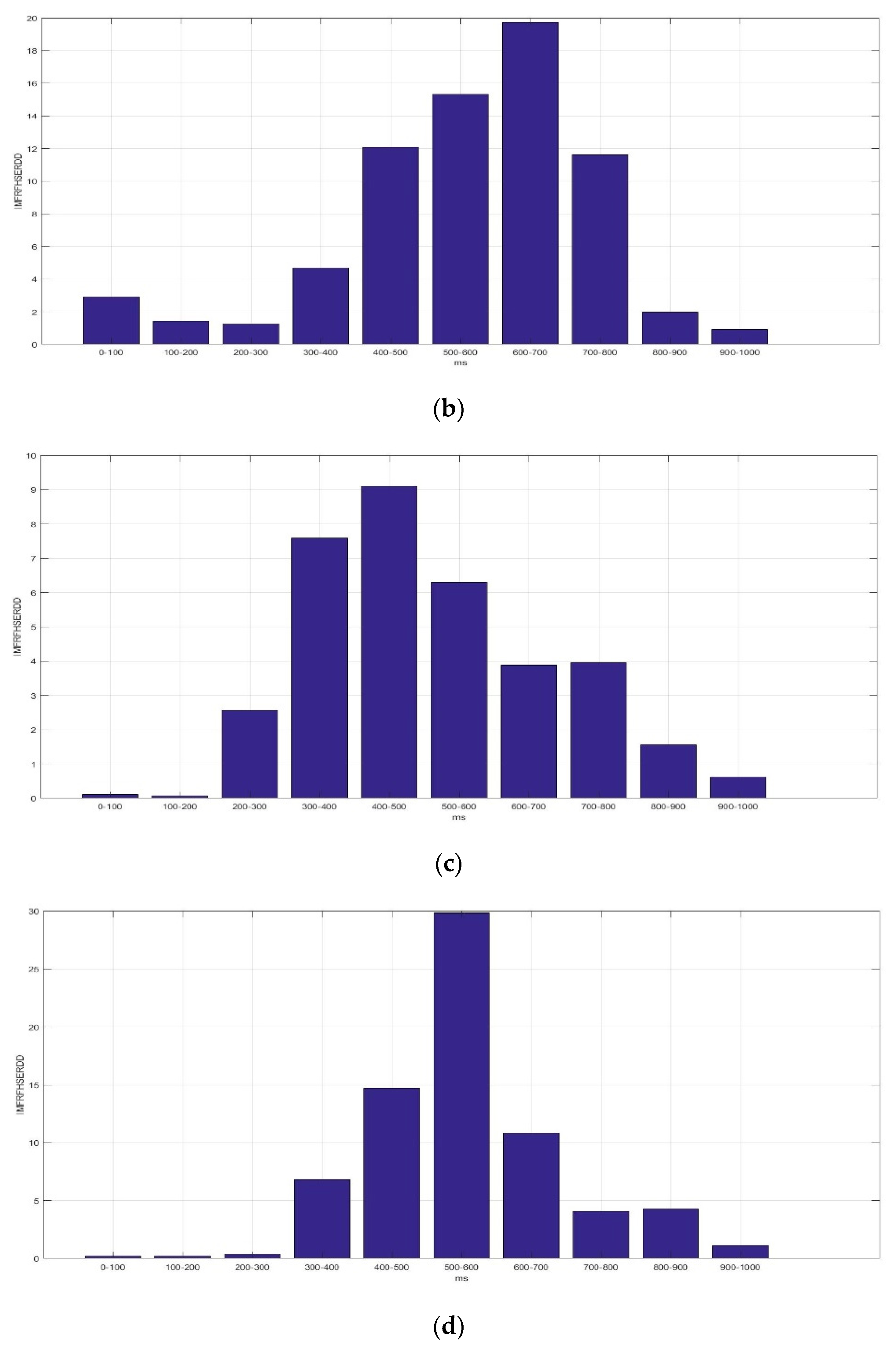
3.3. Average HS Feature Information of IMF3 and IMF4 for F5AM, F5MI, F6AM, and F6MI EEG Signals
4. Discussions
5. Conclusions
Author Contributions
Funding
Institutional Review Board Statement
Informed Consent Statement
Data Availability Statement
Acknowledgments
Conflicts of Interest
Abbreviations
| AM | actual movement |
| BCI | brain computer interface |
| EEG | electroencephalogram |
| EMD | empirical mode decomposition |
| HLT | Hand laterality test |
| HT | Hilbert transform |
| HHT | Hilbert Huang transform |
| HS | Hilbert spectrum |
| IF | instantaneous frequency |
| IMF | intrinsic mode function |
| MF | marginal frequency |
| MI | motor imagery |
| PCC | Pearson’s correlation coefficient |
| RF | residue functions |
| RTE | refereed total energy |
| TF | time-frequency |
References
- Decety, J. The neurophysiological basis of motor imagery. Behav. Brain Res. 1996, 77, 44–54. [Google Scholar] [CrossRef] [PubMed]
- Hortal, E. Brain-Machine Interfaces for Assistance and Rehabilitation of People with Reduced Mobility; Springer International Publishing AG: New York, NY, USA, 2019; pp. 1–118. [Google Scholar]
- Yi, W.; Qiu, S.; Qi, H.; Zhang, L.; Wan, B.; Ming, D. EEG feature comparison and classification of simple and compound limb motor imagery. J. Neuro Eng. Rehabil. 2013, 106, 1–12. [Google Scholar] [CrossRef] [PubMed]
- Bethel, A.; Osuagwu, A.; Vuckovic, A. Similarities between explicit and implicit motor imagery in mental rotation of hands: An EEG study. Neuropsychologia 2014, 65, 197–210. [Google Scholar]
- Kaneko, N.; Yokoyama, H.; Masugi, Y.; Watanabe, K.; Nakazawa, K. Phase dependent modulation of cortical activity during action observation and motor imagery of walking: An EEG study. NeuroImage 2021, 225, 117486. [Google Scholar] [CrossRef] [PubMed]
- Meziania, A.; Djouania, K.; Medkourb, T.; Chibania, A. A lasso quantile periodogram based feature extraction for EEG-Based motor imagery. J. Neurosci. Methods 2019, 328, 108434. [Google Scholar] [CrossRef]
- Montri, P.; Masahiro, N. Fractal-based EEG data analysis of body parts movement imagery tasks. J. Physiol. Sci. 2007, 57, 217–226. [Google Scholar]
- Eltaf, A.; Mohd, Z.Y.; Nidal, K.; Aamir, S.M.; Dalia, M. Classification of four class motor imagery for brain computer interface. In Lecture Notes in Electrical Engineering; Ibrahim, H., Iqbal, S., Teoh, S.S., Mustaffa, M.T., Eds.; SpringerLLink: Berlin/Heidelberg, Germany, 2017; Volume 398, pp. 297–305. [Google Scholar]
- Javier, J.G.R.; Fabrizio, N.; Andrea, T.; Marco, C.; Svetla, V.; Giancarlo, C.; Roberto, G.; Letizia, L. Action observation and motor imagery in performance of complex movements: Evidence from EEG and kinematics analysis. Behav. Brain Res. 2015, 281, 290–300. [Google Scholar]
- Cheng, L.; Li, D.; YU, G.; Zhang, Z.; Li, X.; Yu, S. A motor imagery EEG feature extraction method based on energy principal component analysis and deep belief networks. IEEE Access 2020, 8, 21453–21472. [Google Scholar] [CrossRef]
- Akbar, S.; Martinez-Enriquez, A.M.; Aslam, M.; Rabeeya Saleem, R. Feature analysis of EEG based brain-computer interfaces to detect motor imagery. In Part of the Lecture Notes in Computer Science Book Series (LNAI); Mahmud, M., Kaiser, M.S., Vassanelli, S., Dai, Q., Zhong, N., Eds.; Springer Nature Switzerland AG: Cham, Switzerland, 2021; Volume 12960, pp. 509–518. [Google Scholar]
- Andrade, J.; Cecílio, J.; Simões, M.; Sales, F.; Miguel, C.B. Separability of motor imagery of the self from interpretation of motor intentions of others at the single trial level: An EEG study. J. NeuroEng. Rehabil. 2017, 14, 63. [Google Scholar] [CrossRef]
- Debarnot, U.; Rienzo, F.D.; ·Daligault, S.; Schwartz, S. Motor Imagery Training During Arm Immobilization Prevents Corticomotor Idling: An EEG Resting-State Analysis. Brain Topogr. 2020, 33, 327–335. [Google Scholar] [CrossRef]
- García-Murillo, D.G.; Alvarez-Meza, A.; Castellanos-Dominguez, G. Single-trial kernel-based functional connectivity for enhanced feature extraction in motor-related task. Sensors 2021, 21, 2750. [Google Scholar] [CrossRef] [PubMed]
- Singh, A.; Hussain, A.A.; Lal, S.; Guesgen, H.W. A comprehensive review on critical issues and possible solutions of motor imagery based electroencephalography brain-computer interface. Sensors 2021, 21, 2173. [Google Scholar] [CrossRef] [PubMed]
- Huang, N.E.; Chen, S.S.P. Hilbert-Huang Transform and Its Applications; World Scientific Publishing Company: Singapore, 2014. [Google Scholar]
- Huang, N.E.; Shen, Z.; Long, S.R.; Wu, M.C.; Shih, H.H.; Zheng, Q.; Yen, N.C.; Tung, C.C.; Liu, H.H. The empirical mode decomposition and the Hilbert spectrum for nonlinear and non-stationary time series analysis. Proc. R. Soc. Lond. 1998, 454, 903–995. [Google Scholar] [CrossRef]
- Ming-Chya Wu, M.C.; Norden, E.; Huang, N.E. Biomedical data processing using HHT: A review. In Advanced Biosignal Processing; Nait-Ali, A., Ed.; Springer: Berlin/Heidelberg, Germany, 2009; pp. 335–352. [Google Scholar]
- Fonseca-Pinto, R. A new tool for nonstationary and nonlinear signals: The Hilbert-Huang transform in biomedical applications. In Biomedical Engineering Trends in Electronics, Communications and Software; Laskovski, A.N., Ed.; Intechopen Publisher: London, UK, 2011; pp. 481–504. [Google Scholar]
- Guragai, B.; AlShorman, O.; Masadeh, M.; Heyat, M.B.B. A survey on deep learning classification algorithms for motor imagery. In Proceedings of the IEEE International Conference on Microelectronics (ICM), Aqaba, Jordan, 14–17 December 2020. [Google Scholar]
- Lai, D.; Heyat, M.B.B.; Khan, F.I.K.; Zhang, Y. Prognosis of sleep bruxism using power spectral density approach applied on EEG Signal of both EMG1-EMG2 and ECG1-ECG2. Channels. IEEE Access 2019, 7, 82533–82562. [Google Scholar] [CrossRef]
- Heyat, M.B.B.; Lai, D.; Faez Iqbal Khan, F.I.; Zhang, Y. Sleep bruxism detection using decision tree method by the combination of C4-P4 and C4-A1 channels of scalp EEG. IEEE Access 2019, 7, 102542–102553. [Google Scholar] [CrossRef]
- Lin, C.F.; Zhu, J.D. Hilbert-Huang transformation based time-frequency analysis methods in biomedical signal applications. Proc. Inst. Mech. Eng. H 2012, 226, 208–216. [Google Scholar] [CrossRef]
- Lin, C.F.; Su, J.Y.; Wang, H.M. Hilbert-Huang transformation based analyses of FP1, FP2, and Fz electroencephalogram signals in alcoholism. J. Med. Syst. 2015, 39, 83. [Google Scholar] [CrossRef]
- Zhu, J.D.; Lin, C.F.; Chang, S.H.; Wang, J.H.; Peng, T.I.; Chein, Y.Y. Analysis of spike waves in epilepsy using Hilbert-Huang transform. J. Med. Syst. 2015, 39, 170. [Google Scholar] [CrossRef]
- Lin, C.F.; Chung, Y.C.; Zhu, J.D.; Chang, S.H.; Wen, C.C.; Parinov, I.A.; Shevtsov, S.N. The energy based characteristics of sperm whale clicks using the Hilbert Hunag transform analysis method. J. Acoust. Soc. Am. 2017, 142, 504–511. [Google Scholar] [CrossRef]
- Wen, C.S.; Lin, C.F.; Chang, S.H. Extraction of energy characteristics of blue whale vocalizations based on empirical mode decomposition. Sensors 2022, 22, 2737. [Google Scholar] [CrossRef]
- Lee, J.H.; Choi, Y.S. A data driven Information theoretic feature extraction in EEG-based motor imagery BCI. In Proceedings of the IEEE International Conference on Information and Communication Technology Convergence (ICTC), Jeju, Republic of Korea, 16–18 October 2019. [Google Scholar]
- Yung, Y.Z.; Li, S.L.; Shi, L.; Li, Z.; Dong, B. Motor imagery EEG discrimination using Hilbert-Huang entropy. Biomed. Res. 2017, 28, 727–733. Available online: https://www.biomedres.info/biomedical-research/motor-imagery-eeg-discrimination-using-hilberthuang-entropy.html (accessed on 3 April 2022).
- Trad, D.; Tarik, A.; Jemni, M. A feature extraction technique of EEG based on EMD-BP for motor imagery classification in BCI. In Proceedings of the IEEE 5th International Conference on Information & Communication Technology and Accessibility (ICTA), Marrakech, Morocco, 21–23 December 2015. [Google Scholar]
- Ortiz, M.; Iáñez, E.; José, L.C.; Azorín, J.M. Analysis of the EEG rhythms based on the empirical mode decomposition during motor imagery when using a lower-limb exoskeleton: A case study. Front. Neurobotics 2020, 41, 48. [Google Scholar] [CrossRef] [PubMed]
- PhysioBank ATM (physionet.org), EEG Motor Movement/Imagery Dataset. Available online: https://archive.physionet.org/cgi-bin/atm/ATM (accessed on 8 January 2023).
- Schalk, G.; McFarland, D.J.; Hinterberger, T.; Birbaumer, N.; Wolpaw, J.R. BCI2000: A general-purpose brain-computer interface (BCI) system. IEEE Trans. Biomed. Eng. 2004, 51, 1034–1043. [Google Scholar] [CrossRef] [PubMed]
- Goldberger, A.L.; Amaral, L.A.; Glass, L.; Hausdorff, J.M.; Ivanov, P.C.; Mark, R.G.; Mietus, J.E.; Moody, G.B.; Peng, C.K.; Stanley, H.E. Physiobank, physiotoolkit, and physionet: Components of a new research resource for complex physiologic signals. Circulation 2000, 101, e215–e220. [Google Scholar] [CrossRef] [PubMed]
- The Pearson’s Correlation Coefficient (PCC). Available online: https://en.wikipedia.org/wiki/Pearson_correlation_coefficient (accessed on 17 April 2022).














| EEG Channels | Analysis Time Window | Analysis Method | Characteristics Rhythm | MI Task | |
|---|---|---|---|---|---|
| Yi et al. [2] | C3, Cz, C4 | 10 s |
|
| Three tasks of compound limb motor imagery (both hands, left hand combined with right foot, right hand combined with left foot) and rest state. |
| Bethel et al. [3] | C3, C4 | 2.2 s |
| 3–40 Hz | Three tasks of right counter-clockwise by 90 degree (CCW) hand laterality test (HLT), left clock wise by 90 degree (CW) HLT, right CW HLT and left CCW HLT. |
| Meziania et al. [5] | C3 | 2 s | FFT |
| Left hand movement |
| Cheng et al. [9] | C3, Cz, C4 | 9 s |
| 0.5–30 Hz | Left and right hands |
| Akbar et al. [10] | C3, Cz, C4 | 1200 s | Low-pass filter banks | 0–5 Hz | Hand movement |
| Andrade et al. [11] | C3, C4, Cz, F1, P6 | 4 s |
| 1.5–13 Hz 2.15–25 Hz | Train disorders of action and intention understanding beyond simple imitation, such as autism. |
| Debarnot et al. [12] | F3, F4, C3, C4, P3, P4 | 12 h | The coherence power spectrum revealed coherence peaks | delta (1–4 Hz) band. alpha (8–12 Hz) bands | Training administered during 12 h arm immobilization on subsequent resting-state |
| Lee et al. [22] | C3 | 3 s |
| 8–13 Hz band | Data driven information theoretic feature extraction |
| Yuyi et al. [23] | C3, C4 | 3 s |
| beta rhythm (18–25 Hz). | Executing left and right-hand |
| Trad et al. [24] | C3, C4 | 2 s |
| mu rhythm (8–12 Hz) beta rhythm (18–25 Hz) | BCI system design |
| Ortiz et al. [25] | Fc1, Fcz, Fc2, C1, Cz, C2, CP1, CPz, CP2 | 100 s |
| gamma, beta, alpha, theta, and delta rhythms. | Lower-limb exoskeleton application |
| This study | F5, F6 | 1 s |
| delta, theta rhythms. | Open fists and feet at the same time, as well as close fists and feet at the same time. |
| F5AM | F5MI | F6AM | F6MI | |
|---|---|---|---|---|
| main IMFs (IMFRFERDD values) | IMF3 (3.70) IMF4 (4.11) | IMF3 (1.52) IMF4 (3.43) | IMF3 (1.13) IMF4 (3.65) | IMF3 (1.48) IMF4 (3.69) |
| main MF3 (IMFRFMFERDD values) | delta rhythms (5.64) | delta rhythms (7.20) | delta rhythms (3.94) | delta rhythms (7.26) |
| main MF3 (IMFRFMFERDD values) | theta rhythms (1.90) | theta rhythms (1.54) | theta rhythms (2.50) | theta rhythms (1.20) |
| main MF4 (IMFRFMFERDD values) | delta rhythms (21,50) | delta rhythms (20.15) | delta rhythms (21.00) | delta rhythms (17.30) |
| main HS3 delta rhythms (IMFRFHSERDD values) | 300–400 ms (20.18) 400–500 ms (14.41) 600–700 ms (13.17) | 400–500 ms (12.09) 500–600 ms (15.32) 600–700 ms (19.71) 700–800 ms (11.62) | 300–400 ms (7.59) 400–500 ms (9.10) 500–600 ms (6.29) | 400–500 ms (14.71) 500–600 ms (29.82) 600–700 ms (10.83) |
| main HS4 delta rhythms (IMFRFHSERDD values) | 200–400 ms (48.70) 400–600 ms (72.88) 600–800 ms (46.43) 800–1000 ms (36.00) | 300–500 ms (45.18) 500–700 ms (62.63) 700–900 ms (63.64) | 200–400 ms (21.66) 400–600 ms (67.27) 600–800 ms (53.78) 800–1000 ms (54.71) | 300–500 ms (43.99) 500–700 ms (50.64) 700–900 ms (55.06) |
Disclaimer/Publisher’s Note: The statements, opinions and data contained in all publications are solely those of the individual author(s) and contributor(s) and not of MDPI and/or the editor(s). MDPI and/or the editor(s) disclaim responsibility for any injury to people or property resulting from any ideas, methods, instructions or products referred to in the content. |
© 2023 by the authors. Licensee MDPI, Basel, Switzerland. This article is an open access article distributed under the terms and conditions of the Creative Commons Attribution (CC BY) license (https://creativecommons.org/licenses/by/4.0/).
Share and Cite
Lin, C.-F.; Lin, H.-C. IMF-Based MF and HS Energy Feature Information of F5, and F6 Movement and Motor Imagery EEG Signals in Delta Rhythms Using HHT. Sensors 2023, 23, 1078. https://doi.org/10.3390/s23031078
Lin C-F, Lin H-C. IMF-Based MF and HS Energy Feature Information of F5, and F6 Movement and Motor Imagery EEG Signals in Delta Rhythms Using HHT. Sensors. 2023; 23(3):1078. https://doi.org/10.3390/s23031078
Chicago/Turabian StyleLin, Chin-Feng, and Hong-Chang Lin. 2023. "IMF-Based MF and HS Energy Feature Information of F5, and F6 Movement and Motor Imagery EEG Signals in Delta Rhythms Using HHT" Sensors 23, no. 3: 1078. https://doi.org/10.3390/s23031078
APA StyleLin, C.-F., & Lin, H.-C. (2023). IMF-Based MF and HS Energy Feature Information of F5, and F6 Movement and Motor Imagery EEG Signals in Delta Rhythms Using HHT. Sensors, 23(3), 1078. https://doi.org/10.3390/s23031078
