Urban Advanced Mobility Dependability: A Model-Based Quantification on Vehicular Ad Hoc Networks with Virtual Machine Migration
Abstract
:1. Introduction
- Development of an SPN model to assess the reliability and availability of VANET-based VCC architectures, factoring in stochastic elements to emulate realistic scenarios. This aims to enhance the robustness of vehicular network environments, ensuring dependable and consistent performance.
 - Execution of case studies using the proposed models, offering a blueprint for other researchers in applying these models. These case studies focus on identifying and analyzing primary parameters influencing system availability, providing preliminary insights into the critical variables affecting system reliability, and facilitating enhancements and optimizations.
 - Conducting a sensitivity analysis of the SPN model components, identifying parameters with significant influence on system availability. This analysis enhances the understanding of the model and aids in its optimization.
 
2. Background
2.1. Stochastic Petri Nets
2.2. Sensitivity Analysis with DoE
| Reference | Contribution | Assessment Method | Metrics | Multiple RSUs  | Sensitivity Analysis  | 
|---|---|---|---|---|---|
| [22] | A performance modeling of media access control (MAC).  | Simulation | Performance | No | No | 
| [23] | Threat-Oriented Authentication Approach for Secure Communication.  | Simulation | Performance | No | No | 
| [24] | Modeling that integrates the transmission of the 802.11p system and the queuing process.  | Simulation | Performance | No | No | 
| [25] | A mobile agent-based information dissemination scheme in the VANET environment.  | Simulation | Performance | No | No | 
| [26] | A mobile agent migration mechanism based on location simulation experiments in the VANET environment.  | Simulation | Performance | No | No | 
| [27] | A TCP Context Migration Scheme (TOMS) method for enhancing data services in vehicular networks.  | Simulation | Performance | Yes | No | 
| [28] | Detection of anomalies, loss of messages with conventional and VEC techniques.  | Simulation | Availability | Yes | No | 
| [29] | A container-based virtualization and live migration framework for the in-vehicle ad hoc network.  | Measurement | Performance | Yes | No | 
| [30] | Provide a classification of security requirements, characteristics and security challenges.  | Measurement | Does not have | Yes | No | 
| [31] | A seamless handover system in a software- defined network (SDN) framework.  | Measurement | Performance | Yes | No | 
| [32] | BaaS (Broadcast as a Service) transmission is proposed for VANET to disseminate data efficiently to network vehicles using cloud computing.  | Measurement | Performance | Yes | No | 
| [33] | It presents a model for the connectivity patterns of chains of vehicles traveling on a highway.  | Markov Model | Availability | No | No | 
| [34] | Analytical model based on Stochastic Petri Net (SPN) theory for assessment of Vehicular Ad Hoc Network infrastructures.  | SPN Model | Performance | No | No | 
| [35] | Use SDN to improve the allocation and migration of microservices in Vehicular Fog Networks (VFN).  | Measurement | Performance | Yes | No | 
| This work | Modeling an architecture with multiple RSUs and migration to assess system availability.  | SPN Model | Availability | Yes | Yes | 
2.2.1. Simulation-Based Methods
2.2.2. Measurement-Based Methods
2.2.3. Modeling-Based Methods
2.2.4. Contributions of This Work in Relation to Others
3. Evaluated Architecture
- (1) Active RSU Coverage and Vehicle Interaction: Vehicles in transit enter the coverage area of active RSUs (represented by green circles), wherein these RSUs facilitate communication and gather data from the vehicles.
 - (2) Response to RSU Failure: In the event of an RSU malfunction, leading to a disruption in data collection, a contingency protocol is activated.
 - (3) VM Migration for Uninterrupted System Availability: To ensure continued system functionality, an allocation of data from VMs is performed that will be transferred to the subsequent RSU within the network after an RSU fails.
 - (4) Data Management: Subsequent to collection, all data are transmitted to an Edge Server for storage and further processing.
 
4. Proposed Model
4.1. System Reliability Model
4.2. Availability Model with Migration
4.3. SPN Availability Model: Non-Migration Framework
5. Sensitivity Analysis
5.1. Sensitivity Analysis of the System Incorporating Migration
5.2. Analysis of System Sensitivity in the Absence of Migration
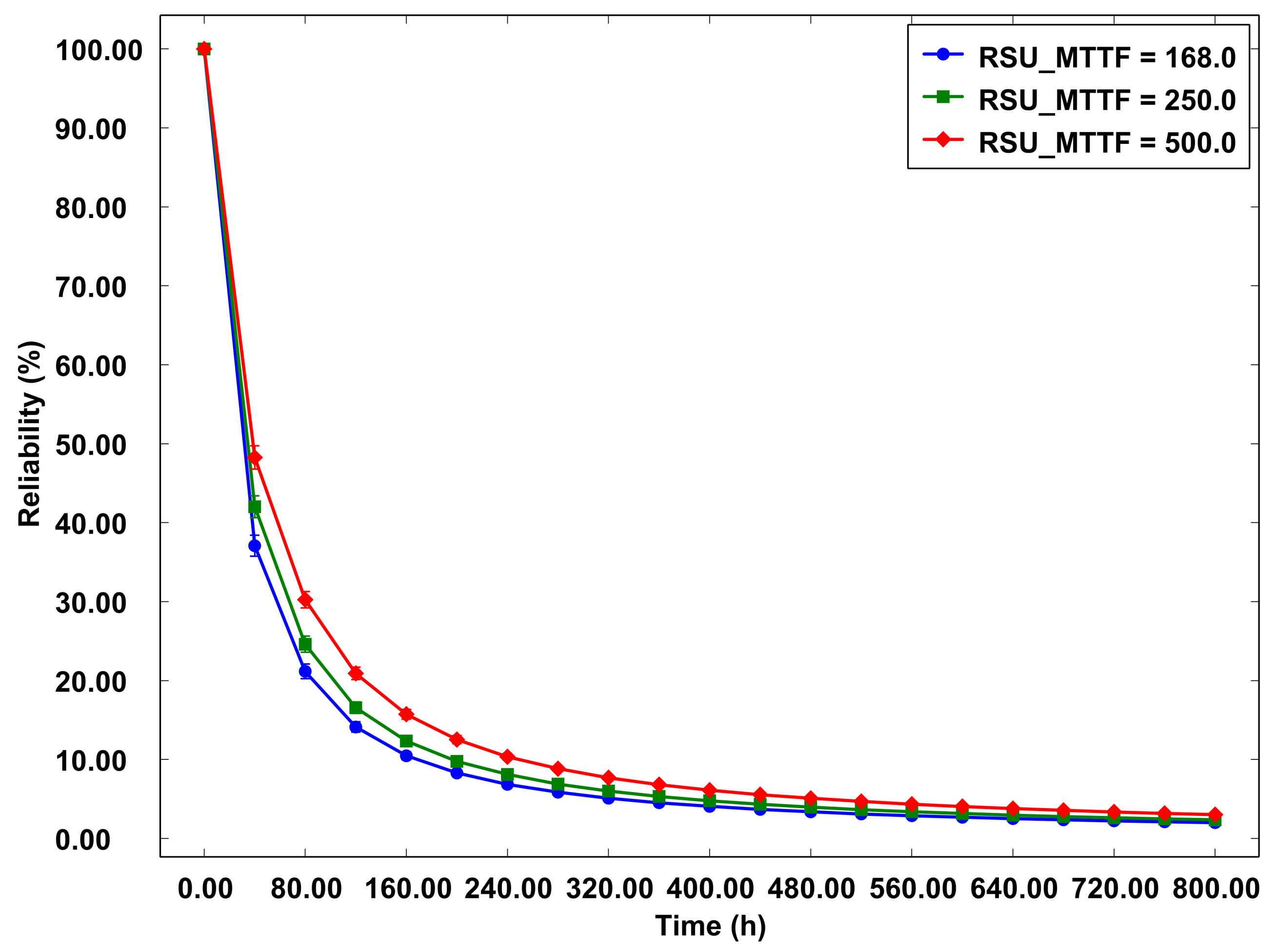
6. Case Study
- VM management policies: The development and implementation of comprehensive management policies for VMs are crucial. These policies should be designed to effectively handle resource allocation, scaling, and migration, thereby enhancing system performance.
 - Performance monitoring: Rigorous and continuous monitoring of system performance is essential. This enables the early identification and resolution of potential issues, thereby maintaining the system’s operational integrity.
 - Maintenance practices: The adoption of appropriate and systematic maintenance practices is vital in ensuring the optimal functioning of VMs. Regular maintenance activities, including updates and troubleshooting, are necessary for sustaining system health and efficiency.
 
7. Conclusions
Author Contributions
Funding
Institutional Review Board Statement
Informed Consent Statement
Data Availability Statement
Conflicts of Interest
References
- Ferreira, W. IBM Alerta Sobre Pressão de Dados dos Carros Conectados. Available online: https://www.telesintese.com.br/ibm-alerta-sobre-pressao-dos-carros-conectados-nas-redes-de-telecom/ (accessed on 9 August 2023).
 - Verma, R. An Efficient Secure VANET Communication Using Multi Authenticate Homomorphic Signature Algorithm. In Proceedings of the 2023 International Conference on Distributed Computing and Electrical Ci rcuits and Electronics (ICDCECE), Ballar, India, 29–30 April 2023; pp. 1–5. [Google Scholar] [CrossRef]
 - Manivannan, D.; Moni, S.S.; Zeadally, S. Secure authentication and privacy-preserving techniques in Vehicular Ad-hoc NETworks (VANETs). Veh. Commun. 2020, 25, 100247. [Google Scholar] [CrossRef]
 - Hussain, R.; Hussain, F.; Zeadally, S. Integration of VANET and 5G Security: A review of design and implementation issues. Future Gener. Comput. Syst. 2019, 101, 843–864. [Google Scholar] [CrossRef]
 - Shen, J.; Liu, D.; Chen, X.; Li, J.; Kumar, N.; Vijayakumar, P. Secure real-time traffic data aggregation with batch verification for vehicular cloud in VANETs. IEEE Trans. Veh. Technol. 2019, 69, 807–817. [Google Scholar] [CrossRef]
 - Zhang, X.; Li, D.; Wang, J.; Zhang, G.; Jiang, X. Faster parking and less cruise for public parking spot discovery: Modeling and analysis based on timed petri nets. In Proceedings of the 2016 IEEE 13th International Conference on Networking, Sensing, and Control (ICNSC), Mexico City, Mexico, 28–30 April 2016; pp. 1–6. [Google Scholar]
 - Karabulut, M.A.; Shah, A.F.M.S.; Ilhan, H.; Pathan, A.S.K.; Atiquzzaman, M. Inspecting VANET with Various Critical Aspects—A Systematic Review. Ad Hoc Netw. 2023, 150, 103281. [Google Scholar] [CrossRef]
 - Maria Christina Blessy, A.; Brindha, S. Maximizing VANET performance in cluster head selection using Intelligent Fuzzy Bald Eagle optimization. Veh. Commun. 2023, 100660. [Google Scholar] [CrossRef]
 - Qiong, W.; Shuai, S.; Ziyang, W.; Qiang, F.; Pingyi, F.; Cui, Z. Towards V2I age-aware fairness access: A dqn based intelligent vehicular node training and test method. Chin. J. Electron. 2023, 32, 1230–1244. [Google Scholar] [CrossRef]
 - German, R.; Telek, M. Formal relation of Markov renewal theory and supplementary variables in the analysis of stochastic Petri nets. In Proceedings of the 8th International Workshop on Petri Nets and Performance Models (Cat. No. PR00331), Zaragoza, Spain, 8–10 September 1999; pp. 64–73. [Google Scholar] [CrossRef]
 - Pinheiro, T.; Silva, F.A.; Fé, I.; Oliveira, D.; Maciel, P. Performance and Resource Consumption Analysis of Elastic Systems on Public Clouds. In Proceedings of the 2019 IEEE International Conference on Systems, Man and Cybernetics (SMC), Bari, Italy, 6–9 October 2019; pp. 2115–2120. [Google Scholar]
 - Zhan, H.; Gu, J. Study of the Normal Generalized Stochastic Petri nets and its Application in Testing System. In Proceedings of the 2006 IEEE Instrumentation and Measurement Technology Conference Proceedings, Sorrento, Italy, 24–27 April 2006; pp. 1123–1128. [Google Scholar] [CrossRef]
 - Chen, P.; Bruell, S.; Balbo, G. Alternative methods for incorporating non-exponential distributions into stochastic timed Petri nets. In Proceedings of the Third International Workshop on Petri Nets and Performance Models, PNPM89, Kyoto, Japan, 11–13 December 1989; pp. 187–197. [Google Scholar] [CrossRef]
 - Rodrigues, L.; Endo, P.T.; Silva, F.A. Stochastic Model for Evaluating Smart Hospitals Performance. In Proceedings of the 2019 IEEE Latin-American Conference on Communications (LATINCOM), Salvador, Brazil, 11–13 November 2019; pp. 1–6. [Google Scholar]
 - Nicol, D.; Miner, A. The fluid stochastic Petri net simulator. In Proceedings of the 6th International Workshop on Petri Nets and Performance Models, Durham, NC, USA, 3–6 October 1995; pp. 214–215. [Google Scholar] [CrossRef]
 - Van Voorhees, F.; Bahill, A. Sensitivity analysis by design of experiments. In Proceedings of the 1995 International Symposium and Workshop on Systems Engineering of Computer-Based Systems, Tucson, AZ, USA, 6–9 March 1995; pp. 58–65. [Google Scholar] [CrossRef]
 - Bergès, C.; Song, J.; He, C.; Qian, X.; Ren, J.; Tian, L.; Wen, G.; Zhang, H. Provocation tests, design of experiments and advanced statistical modeling to estimate product sensitivity to a defect: Delamination failure case study for automotive semiconductors. In Proceedings of the 2019 IEEE 26th International Symposium on Physical and Failure Analysis of Integrated Circuits (IPFA), Hangzhou, China, 2–5 July 2019; pp. 1–4. [Google Scholar] [CrossRef]
 - Dewey, A.; Ren, H.; Zhang, T. Behavioral modeling of microelectromechanical systems (MEMS) with statistical performance-variability reduction and sensitivity analysis. IEEE Trans. Circuits Syst. II Analog. Digit. Signal Process. 2000, 47, 105–113. [Google Scholar] [CrossRef]
 - Mach, F. Reduction of Optimization Problem by Combination of Optimization Algorithm and Sensitivity Analysis. IEEE Trans. Magn. 2016, 52, 7003104. [Google Scholar] [CrossRef]
 - Kleijnen, J. Sensitivity analysis and optimization in simulation: Design of experiments and case studies. In Proceedings of the WSC ’97: Proceedings of the 29th Conference on Winter Simulation, Arlington, VA, USA, 3–6 December 1995; pp. 133–140. [Google Scholar] [CrossRef]
 - Silva Nunes Junior, M.A.; de Oliveira, T.C.; de Carvalho Filho, J.M.; de Abreu, J.P.G. Design of experiments for sensitivity analysis of voltage sags variables. In Proceedings of the 2012 IEEE 15th International Conference on Harmonics and Quality of Power, Hong Kong, China, 17–20 June 2012; pp. 398–402. [Google Scholar] [CrossRef]
 - Shah, A.S.; Ilhan, H.; Tureli, U. Modeling and performance analysis of the IEEE 802.11 P MAC for VANETs. In Proceedings of the 2019 42nd International Conference on Telecommunications and Signal Processing (TSP), Budapest, Hungary, 1–3 July 2019; pp. 393–396. [Google Scholar]
 - Malik, A.; Pandey, B. Security Analysis of Discrete Event Based Threat Driven Authentication Approach in VANET Using Petri Nets. Int. J. Netw. Secur. 2018, 20, 601–608. [Google Scholar]
 - Li, B.; Sutton, G.J.; Hu, B.; Liu, R.P.; Chen, S. Modeling and QoS analysis of the IEEE 802.11 p broadcast scheme in vehicular ad hoc networks. J. Commun. Netw. 2017, 19, 169–179. [Google Scholar] [CrossRef]
 - Hashimoto, T.; Tsuji, T.; Aoki, J.; Ohta, T.; Kakuda, Y. A Mobile Agent Migration Mechanism for Information Dissemination Scheme in VANETs Considering Entrance and Exit of Mobile Nodes. In Proceedings of the 2015 IEEE International Symposium on Object/Component/Service-Oriented Real-Time Distributed Computing Workshops, Auckland, New Zealand, 13–17 April 2015; pp. 89–94. [Google Scholar] [CrossRef]
 - Aoki, J.; Hashimoto, T.; Ohta, T.; Kakuda, Y. Experimental Evaluation of Location-Based Mobile Agent Migration Mechanism for Information Dissemination Scheme in VANETs. In Proceedings of the 2015 Third International Symposium on Computing and Networking (CANDAR), Sapporo, Japan, 8–11 December 2015; pp. 271–274. [Google Scholar] [CrossRef]
 - Jeong, J.; Sheny, Y.C.; Jeong, J.P.; Ohx, T.T.; Jun, J.; Sang, H.S. TOMS: TCP Context Migration Scheme for Efficient Data Services in Vehicular Networks. In Proceedings of the 2017 31st International Conference on Advanced Information Networking and Applications Workshops (WAINA), Taipei, Taiwan, 27–29 March 2017; pp. 360–364. [Google Scholar] [CrossRef]
 - Weber, J.S.; Ferreto, T.; Zincir-Heywood, N. Exploring Anomaly Detection Techniques for Enhancing VANET Availability. In Proceedings of the 2023 IEEE 97th Vehicular Technology Conference (VTC2023-Spring), Florence, Italy, 20–23 June 2023; pp. 1–7. [Google Scholar] [CrossRef]
 - Khan, Z.; Abbas, F.; Hamidullah. A Conceptual Framework of Virtualization and Live-Migration for Vehicle to Infrastructure (V2I) Communications. In Proceedings of the 2019 IEEE 11th International Conference on Communication Software and Networks (ICCSN), Chongqing, China, 12–15 June 2019; pp. 590–594. [Google Scholar] [CrossRef]
 - Goyal, A.K.; Kumar Tripathi, A.; Agarwal, G. Security Attacks, Requirements and Authentication Schemes in VANET. In Proceedings of the 2019 International Conference on Issues and Challenges in Intelligent Computing Techniques (ICICT), Ghaziabad, India, 27–28 September 2019; Volume 1, pp. 1–5. [Google Scholar] [CrossRef]
 - K, S.; chinnasamy, C. Efficient VANET handover scheme using SSDN by incorporating media independent handover framework. Meas. Sens. 2023, 26, 100684. [Google Scholar] [CrossRef]
 - Mchergui, A.; Moulahi, T.; Nasri, S. BaaS: Broadcast as a service cross-layer learning-based approach in cloud assisted VANETs. Comput. Netw. 2020, 182, 107468. [Google Scholar] [CrossRef]
 - Cardote, A.; Sargento, S.; Steenkiste, P. On the connection availability between relay nodes in a VANET. In Proceedings of the 2010 IEEE Globecom Workshops, Miami, FL, USA, 6–10 December 2010; pp. 181–185. [Google Scholar] [CrossRef]
 - Lobo, A.; Matos, R.; Silva, B.; Maciel, P. Expolynomial Modelling for Supporting VANET Infrastructure Planning. In Proceedings of the 2017 IEEE 22nd Pacific Rim International Symposium on Dependable Computing (PRDC), Christchurch, New Zealand, 22–25 January 2017; pp. 86–91. [Google Scholar] [CrossRef]
 - Alvarenga, L.D.C.; Sousa, P.; Costa, A. Allocation and migration of microservices in SDN-based vehicular fog networks. In Proceedings of the 2022 17th Iberian Conference on Information Systems and Technologies (CISTI), Madrid, Spain, 22–25 June 2022; pp. 1–4. [Google Scholar] [CrossRef]
 - Selvakumar, A.; Ramesh, S.; Manikandan, T.; Michael, G.; Arul, U.; Gnanajeyaraman, R. Microgrid based VANET monitoring and energy management in 5G networks by reinforcement deep learning techniques. Comput. Electr. Eng. 2023, 111, 108933. [Google Scholar] [CrossRef]
 - da Rocha Santos, L.C.; Bruschi, S.M.; de Souza, P.S.L.; Ueyama, J.; de Jesus dos Santos, A.; Barbosa, J.S. Performance analysis of a Vehicular Ad Hoc network Using LoRa technology and IoT devices in Amazon Rivers. Ad Hoc Netw. 2024, 152, 103301. [Google Scholar] [CrossRef]
 - kumar Pulligilla, M.; Vanmathi, C. An authentication approach in SDN-VANET architecture with Rider-Sea Lion optimized neural network for intrusion detection. Internet Things 2023, 22, 100723. [Google Scholar] [CrossRef]
 - Shafi, M.; Molisch, A.F.; Smith, P.J.; Haustein, T.; Zhu, P.; De Silva, P.; Tufvesson, F.; Benjebbour, A.; Wunder, G. 5G: A tutorial overview of standards, trials, challenges, deployment, and practice. IEEE J. Sel. Areas Commun. 2017, 35, 1201–1221. [Google Scholar] [CrossRef]
 - Araújo, G.; Rodrigues, L.; Oliveira, K.; Fé, I.; Khan, R.; Silva, F.A. Vehicular cloud computing networks: Availability modelling and sensitivity analysis. Int. J. Sens. Netw. 2021, 36, 125–138. [Google Scholar] [CrossRef]
 - Maciel, P.; Matos, R.; Silva, B.; Figueiredo, J.; Oliveira, D.; Fé, I.; Maciel, R.; Dantas, J. Mercury: Performance and dependability evaluation of systems with exponential, expolynomial, and general distributions. In Proceedings of the 2017 IEEE 22nd Pacific Rim International Symposium on Dependable Computing (PRDC), Christchurch, New Zealand, 22–25 January 2017; pp. 50–57. [Google Scholar]
 - Audu, G.A.; Bhattacharya, S.; Muhtar, A.; Qazi, B.; Elmirghani, J.M. Reliability and quality of service of an off-grid wind powered roadside unit in a motorway vehicular environment. Veh. Commun. 2017, 9, 176–187. [Google Scholar] [CrossRef]
 - Andrade, E.; Nogueira, B. Dependability evaluation of a disaster recovery solution for IoT infrastructures. J. Supercomput. 2020, 76, 1828–1849. [Google Scholar] [CrossRef]
 - Melo, C.; Matos, R.; Dantas, J.; Maciel, P. Capacity-oriented availability model for resources estimation on private cloud infrastructure. In Proceedings of the 2017 IEEE 22nd Pacific Rim International Symposium on Dependable Computing (PRDC), Christchurch, New Zealand, 22–25 January 2017; pp. 255–260. [Google Scholar]
 














| Type | Components | Description | 
|---|---|---|
| Places | MIGRATE_UP MIGRATE_DW EDGE_UP EDGE_DW NET_UP NET_DW RSU_UP1, RSU_UP2, RSU_UP3 RSU_DW1, RSU_DW2, RSU_DW3 RSU_LOG_UP1, RSU_LOG_UP2, RSU_LOG_UP3 RSU_LOG_DW1, RSU_LOG_DW2, RSU_LOG_DW3  | Migration of VMs between RSUs is available Migration of VMs between RSUs is unavailable Data processing at the Edge is available Data processing at the Edge is unavailable The network connecting the RSUs is available The network connecting the RSUs is unavailable The physical RSUs are available The physical RSUs are unavailable The logical RSUs are available The logical RSUs are unavailable  | 
| Transitions | E_MTTR E_MTTF NET_MTTR NET_MTTF RSU_MTTR1, RSU_MTTR2, RSU_MTTR3 RSU_MTTF1, RSU_MTTF2, RSU_MTTF3 LOG_MTTR1, LOG_MTTR2, LOG_MTTR3 LOG_MTTF1, LOG_MTTF2, LOG_MTTF3 T1, T2, T3, T4  | Represents the MTTR of the system’s Edge computing Represents the MTTF of the system’s Edge computing Represents the MTTR of the system’s network Represents the MTTF of the system’s network Represents the MTTR of the system’s RSUs Represents the MTTF of the system’s RSUs Represents the MTTR of the logical part of the RSUs Represents the MTTF of the logical part of the RSUs Transitions between RSUs in the system  | 
| Places | Transition | Condition | 
|---|---|---|
| RSU_UP1, RSU_UP2 | T2 | IF(#RSU_LOG_DW2 =0): (N -(#RSU_UP1+#RSU_DW1)) ELSE(#RSU_UP1+(#RSU_UP1+#RSU_UP2+#RSU_UP3))  | 
| RSU_UP2, RSU_UP3 | T4 | IF(#RSU_LOG_DW3=0): (N-(#RSU_UP2+#RSU_DW2)) ELSE(#RSU_UP2+(#RSU_UP1+#RSU_UP2+#RSU_UP3))  | 
| Factor Name | Factor Description | Low Setting | High Setting | 
|---|---|---|---|
| EDGE_F | Edge MTTF | 125.892 | 157.365 | 
| NET_F | Network MTTF | 83,220.0 | 104,025.0 | 
| RSU_F | MTTF Physical Part of RSU | 500.0 | 750.0 | 
| RSU_R | MTTR Physical Part of RSU | 2.0 | 3.0 | 
| LOG_F | MTTF Logical Part of RSU | 168.0 | 210.0 | 
| EDGE_F | NET_F | RSU_F | RSU_R | LOG_F | Availability (%) | 
|---|---|---|---|---|---|
| 125.89 | 83,220.00 | 500.00 | 2.00 | 168.00 | 98.35 | 
| 125.89 | 83,220.00 | 500.00 | 2.00 | 210.00 | 97.29 | 
| 125.89 | 83,220.00 | 500.00 | 3.00 | 168.00 | 97.76 | 
| 125.89 | 83,220.00 | 500.00 | 3.00 | 210.00 | 97.41 | 
| 125.89 | 83,220.00 | 750.00 | 2.00 | 168.00 | 98.80 | 
| 125.89 | 83,220.00 | 750.00 | 2.00 | 210.00 | 98.44 | 
| 125.89 | 83,220.00 | 750.00 | 3.00 | 168.00 | 97.93 | 
| 125.89 | 83,220.00 | 750.00 | 3.00 | 210.00 | 98.20 | 
| 125.89 | 104,025.00 | 500.00 | 2.00 | 168.00 | 97.82 | 
| 125.89 | 104,025.00 | 500.00 | 2.00 | 210.00 | 98.02 | 
| 125.89 | 104,025.00 | 500.00 | 3.00 | 168.00 | 98.09 | 
| 125.89 | 104,025.00 | 500.00 | 3.00 | 210.00 | 97.77 | 
| 125.89 | 104,025.00 | 750.00 | 2.00 | 168.00 | 98.62 | 
| 125.89 | 104,025.00 | 750.00 | 2.00 | 210.00 | 98.69 | 
| 125.89 | 104,025.00 | 750.00 | 3.00 | 168.00 | 98.04 | 
| 125.89 | 104,025.00 | 750.00 | 3.00 | 210.00 | 98.61 | 
| 157.36 | 83,220.00 | 500.00 | 2.00 | 168.00 | 97.80 | 
| 157.36 | 83,220.00 | 500.00 | 2.00 | 210.00 | 98.09 | 
| 157.36 | 83,220.00 | 500.00 | 3.00 | 168.00 | 97.16 | 
| 157.36 | 83,220.00 | 500.00 | 3.00 | 210.00 | 97.30 | 
| 157.36 | 83,220.00 | 750.00 | 2.00 | 168.00 | 98.50 | 
| 157.36 | 83,220.00 | 750.00 | 2.00 | 210.00 | 98.71 | 
| 157.36 | 83,220.00 | 750.00 | 3.00 | 168.00 | 98.07 | 
| 157.36 | 83,220.00 | 750.00 | 3.00 | 210.00 | 98.50 | 
| 157.36 | 104,025.00 | 500.00 | 2.00 | 168.00 | 98.16 | 
| 157.36 | 104,025.00 | 500.00 | 2.00 | 210.00 | 98.02 | 
| 157.36 | 104,025.00 | 500.00 | 3.00 | 168.00 | 97.01 | 
| 157.36 | 104,025.00 | 500.00 | 3.00 | 210.00 | 97.92 | 
| 157.36 | 104,025.00 | 750.00 | 2.00 | 168.00 | 99.02 | 
| 157.36 | 104,025.00 | 750.00 | 2.00 | 210.00 | 98.62 | 
| 157.36 | 104,025.00 | 750.00 | 3.00 | 168.00 | 98.06 | 
| 157.36 | 104,025.00 | 750.00 | 3.00 | 210.00 | 98.16 | 
| Type | Component | Definition | Value | 
|---|---|---|---|
| MTTF | EDGE_MTTF NET_MTTF RSU_MTTF RSU_LOG_MTTF  | EGDE component failure time Network component failure time RSU component failure time RSU Logical component failure time  | 125.89284 83,220.0 500.0 168.0  | 
| MTTR | EDGE_MTTR NET_MTTR RSU_MTTR RSU_LOG_MTTR  | EGDE component recovery time Network component recovery time RSU component recovery time RSU Logical component recovery time  | 0.913794 12.0 2.0 2..0  | 
| Variável | TOKENS T_M  | Entity representing a state or resource Migration Time  | 2.0 0.083333  | 
Disclaimer/Publisher’s Note: The statements, opinions and data contained in all publications are solely those of the individual author(s) and contributor(s) and not of MDPI and/or the editor(s). MDPI and/or the editor(s) disclaim responsibility for any injury to people or property resulting from any ideas, methods, instructions or products referred to in the content.  | 
© 2023 by the authors. Licensee MDPI, Basel, Switzerland. This article is an open access article distributed under the terms and conditions of the Creative Commons Attribution (CC BY) license (https://creativecommons.org/licenses/by/4.0/).
Share and Cite
Silva, L.G.; Cardoso, I.; Brito, C.; Barbosa, V.; Nogueira, B.; Choi, E.; Nguyen, T.A.; Min, D.; Lee, J.W.; Silva, F.A. Urban Advanced Mobility Dependability: A Model-Based Quantification on Vehicular Ad Hoc Networks with Virtual Machine Migration. Sensors 2023, 23, 9485. https://doi.org/10.3390/s23239485
Silva LG, Cardoso I, Brito C, Barbosa V, Nogueira B, Choi E, Nguyen TA, Min D, Lee JW, Silva FA. Urban Advanced Mobility Dependability: A Model-Based Quantification on Vehicular Ad Hoc Networks with Virtual Machine Migration. Sensors. 2023; 23(23):9485. https://doi.org/10.3390/s23239485
Chicago/Turabian StyleSilva, Luis Guilherme, Israel Cardoso, Carlos Brito, Vandirleya Barbosa, Bruno Nogueira, Eunmi Choi, Tuan Anh Nguyen, Dugki Min, Jae Woo Lee, and Francisco Airton Silva. 2023. "Urban Advanced Mobility Dependability: A Model-Based Quantification on Vehicular Ad Hoc Networks with Virtual Machine Migration" Sensors 23, no. 23: 9485. https://doi.org/10.3390/s23239485
APA StyleSilva, L. G., Cardoso, I., Brito, C., Barbosa, V., Nogueira, B., Choi, E., Nguyen, T. A., Min, D., Lee, J. W., & Silva, F. A. (2023). Urban Advanced Mobility Dependability: A Model-Based Quantification on Vehicular Ad Hoc Networks with Virtual Machine Migration. Sensors, 23(23), 9485. https://doi.org/10.3390/s23239485
        
